Accounting for and Comparison of Greenhouse Gas (GHG) Emissions between Crop and Livestock Sectors in China
Abstract
:1. Introduction
2. Materials and Methods
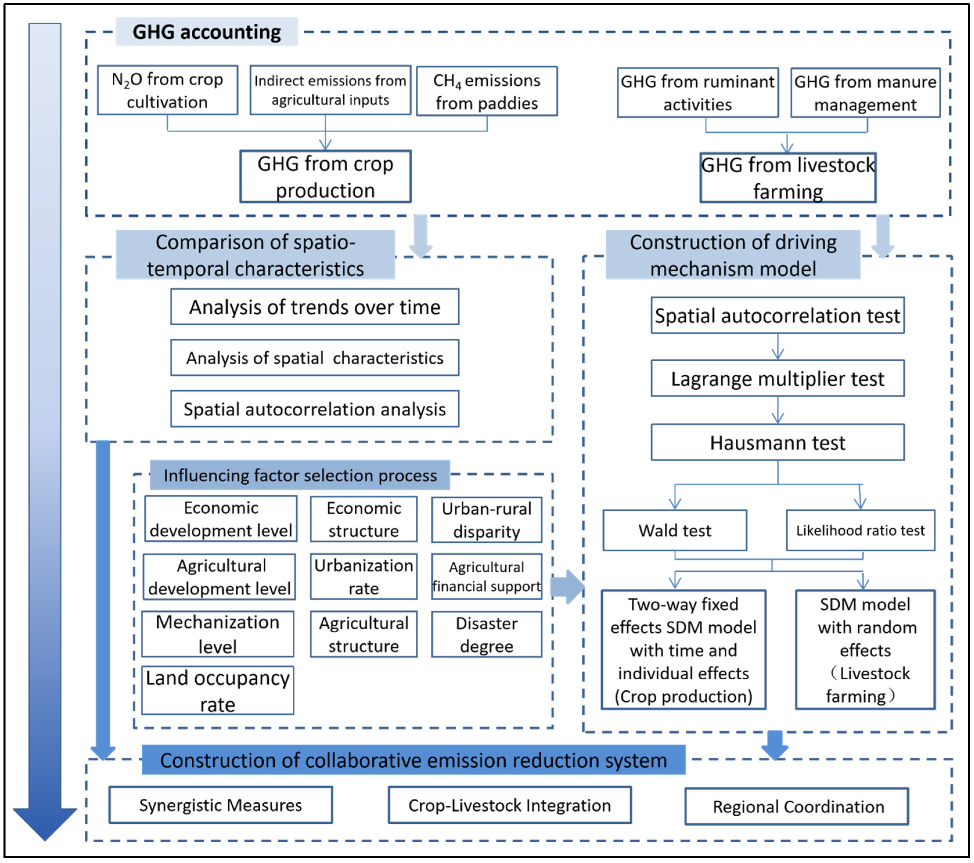
2.1. GHG Accounting
2.2. Model Setting
2.3. Variable Definition
3. Results
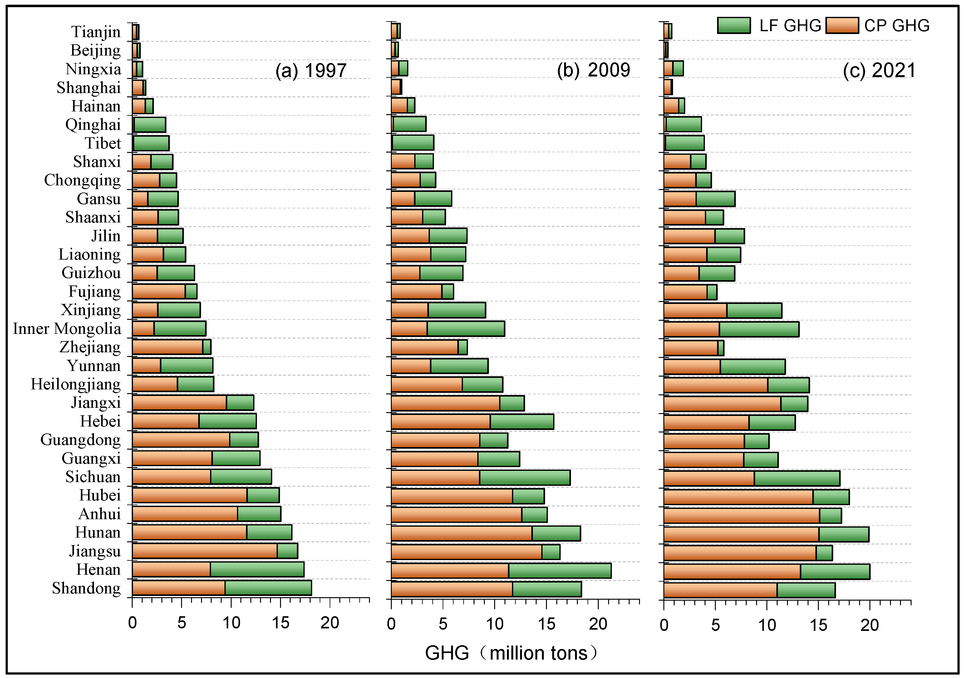
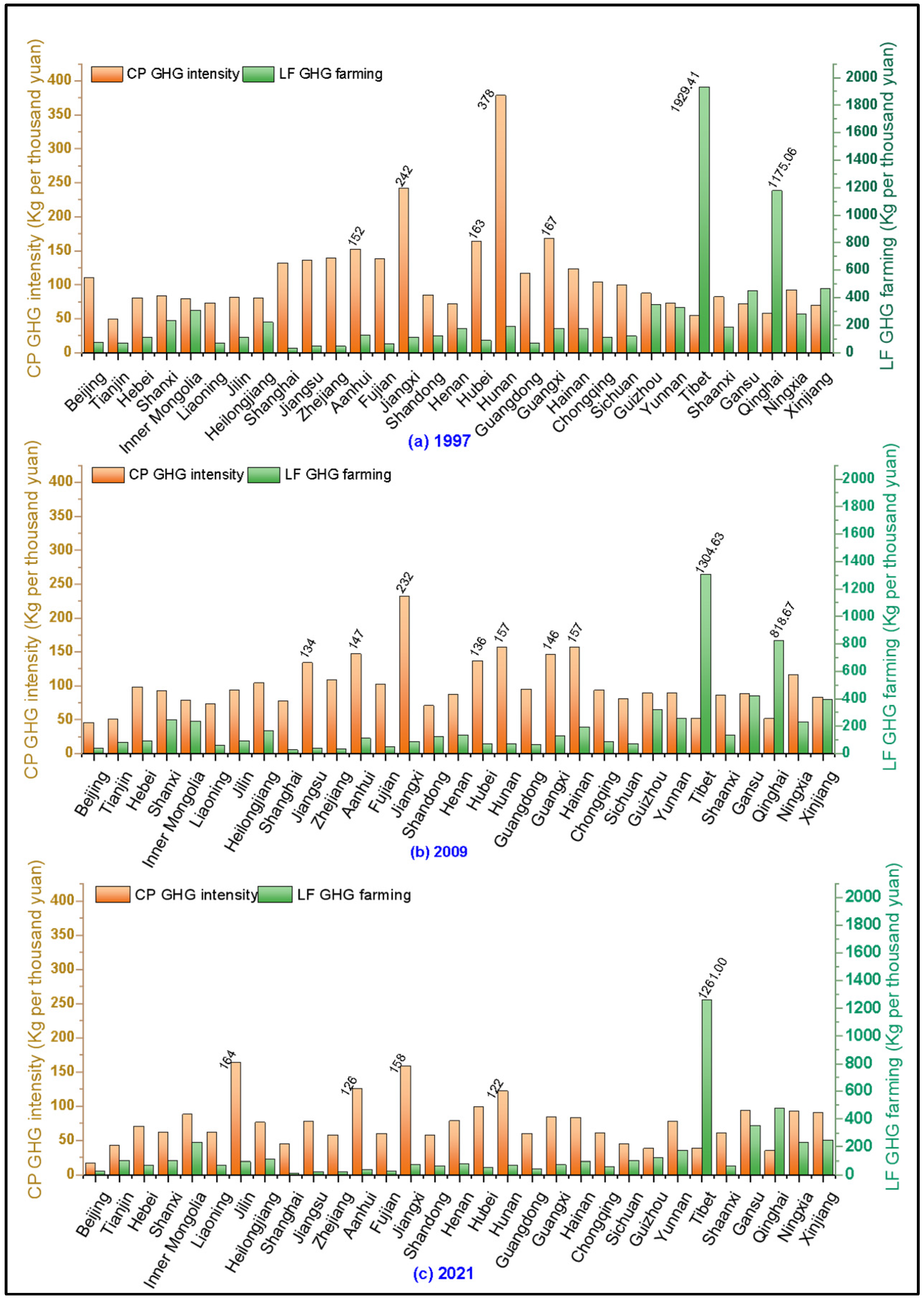
3.1. Spatial Distribution of GHG Emissions for CP and LF Sectors
3.2. Spatial Autocorrelation Test
3.3. Model Test
3.4. Results of SDM
4. Construction of a Synergistic GHG Reduction System
4.1. Synergistic Measures
4.2. Crop-Livestock Integration
4.3. Regional Coordination
5. Conclusions
Author Contributions
Funding
Data Availability Statement
Conflicts of Interest
Appendix A
| Sources | Emission Coefficients (kg·hm−2) |
|---|---|
| Rice | 0.24 |
| Spring-season wheat | 0.4 |
| Winter-season wheat | 1.75 |
| Soybean | 2.29 |
| Maize | 2.532 |
| Vegetables | 4.944 |
| Other dryland crops | 0.95 |
| GHG Sources | Emission Coefficients |
|---|---|
| Pesticide | 4.9341 kg·kg−1 |
| Chemical fertilizer | 0.8956 kg·kg−1 |
| Agricultural film | 5.18 kg·kg−1 |
| Agricultural irrigation | 266.48 kg·hm−2 |
| Agricultural machinery | 0.18 kg·kW−1 |
| Agricultural energy(diesel) | 0.5927 kg·kg−1 |
| Provinces | Early-Season Rice | Mid-Season Rice | Late-Season Rice |
|---|---|---|---|
| Beijing | 0 | 13.23 | 0 |
| Tianjin | 0 | 11.34 | 0 |
| Hebei | 0 | 15.33 | 0 |
| Shanxi | 0 | 6.62 | 0 |
| Inner Mongolia | 0 | 8.93 | 0 |
| Liaoning | 0 | 9.24 | 0 |
| Jilin | 0 | 5.57 | 0 |
| Heilongjiang | 0 | 8.31 | 0 |
| Shanghai | 12.41 | 53.87 | 27.5 |
| Jiangsu | 16.07 | 53.55 | 27.6 |
| Zhejiang | 14.37 | 57.96 | 34.5 |
| Anhui | 16.75 | 51.24 | 27.6 |
| Fujian | 7.74 | 43.47 | 52.6 |
| Jiangxi | 15.47 | 65.42 | 45.8 |
| Shandong | 0 | 21 | 0 |
| Henan | 0 | 17.85 | 0 |
| Hubei | 17.51 | 58.17 | 39 |
| Hunan | 14.71 | 56.28 | 34.1 |
| Guangdong | 15.05 | 57.02 | 51.6 |
| Guangxi | 12.41 | 47.78 | 49.1 |
| Hainan | 13.43 | 52.29 | 49.4 |
| Chongqing | 6.55 | 25.73 | 18.5 |
| Sichuan | 6.55 | 25.73 | 18.5 |
| Guizhou | 5.1 | 22.05 | 21 |
| Yunnan | 2.38 | 7.25 | 7.6 |
| Tibet | 0 | 6.83 | 0 |
| Shaanxi | 0 | 12.51 | 0 |
| Gansu | 0 | 6.83 | 0 |
| Qinghai | 0 | 0 | 0 |
| Ningxia | 0 | 7.35 | 0 |
| Xinjiang | 0 | 10.5 | 0 |
| Sources | CH4 from Ruminant Activities (kg per Year) | CH4 from Manure Management (kg per Year) | NO2 from Manure Management (kg per Year) |
|---|---|---|---|
| Non-dairy cattle | 51.4 | 1.5 | 1.37 |
| Dairy cattle | 68 | 16 | 1 |
| Horses | 18 | 1.64 | 1.39 |
| Donkeys | 10 | 0.9 | 1.39 |
| Mules | 10 | 0.9 | 1.39 |
| Pigs | 1 | 3.5 | 0.53 |
| Sheep | 5 | 0.16 | 0.33 |
References
- Qu, J.S.; Han, J.Y.; Liu, L.N.; Xu, L.; Li, H.J.; Fan, Y.J. Inter-provincial correlations of agricultural GHG emissions in China based on social network analysis methods. China Agric. Econ. Rev. 2020, 13, 229–246. [Google Scholar] [CrossRef]
- IPCC. Climate Change 2007: Mitigation of Climate Change. Contribution of Working GroupⅢ to the Fourth Assessment Report of the Intergovernmental Panel on Climate Change; Cambridge University Press: Cambridge, UK, 2007. [Google Scholar]
- Beach, R.H.; Deangelo, B.J.; Rose, S.; Li, C.; Salas, W.; DelGrosso, S.J. Mitigation potential and costs for global agricultural greenhouse gas emissions. Agric. Econ. 2008, 38, 109–115. [Google Scholar] [CrossRef]
- Tubiello, F.N.; Salvatore, M.; Golec, R.D.C.; Ferrara, A.; Rossi, S.; Biancalani, R.; Federici, S.; Jacobs, H.; Flammini, A. Agriculture, forestry and other land use emissions by sources and removals by sinks: 1990–2011 analysis. In FAO Statistics Division; FAO: Rome, Italy, 2014; Volume 4, pp. 375–376. [Google Scholar]
- Zeng, J.J.; Han, J.Y.; Qu, J.S.; Maraseni, T.N.; Xu, L.; Li, H.J.; Liu, L.N. Ecoefficiency of China’s agricultural sector: What are the spatiotemporal characteristics and how are they determined? J. Clean. Prod. 2021, 325, 129346. [Google Scholar] [CrossRef]
- Zhang, L.; Pang, J.X.; Chen, X.P.; Lu, Z.M.N. Carbon emissions, energy consumption and economic growth: Evidence from the agricultural sector of China’s main grain-producing areas. Sci. Total Environ. 2019, 665, 1017–1025. [Google Scholar] [CrossRef] [PubMed]
- Liu, Y.S.; Zou, L.L.; Wang, Y.S. Spatial-temporal characteristics and influencing factors of agricultural eco-efficiency in China in recent 40 years. Land Use Policy 2020, 97, 104794. [Google Scholar] [CrossRef]
- He, Y.Q.; Cheng, X.Y.; Wang, F.; Cheng, Y. Spatial correlation of China’s agricultural greenhouse gas emissions: A technology spillover perspective. Nat. Hazards 2020, 104, 2561–2590. [Google Scholar] [CrossRef]
- Han, M.; Zhang, B.; Zhang, Y.; Guan, C.H. Agricultural CH4 and N2O emissions of major economies: Consumption-vs. production-based perspectives. J. Clean. Prod. 2019, 210, 276–286. [Google Scholar] [CrossRef]
- Zhang, H.Y.; Xu, Y.; Lahr, M. The greenhouse gas footprints of China’s food production and consumption (1987–2017). J. Environ. Manag. 2021, 301, 113934. [Google Scholar] [CrossRef]
- Lepadatu, C. Effects of market reform on agricultural policy community and rural areas. Sci. Pap. 2012, 12, 39–42. [Google Scholar]
- Cui, Y.; Khan, S.U.; Deng, Y.; Zhao, M. Regional difference decomposition and its spatiotemporal dynamic evolution of Chinese agricultural carbon emission: Considering carbon sink effect. Environ. Sci. Pollut. Res. 2021, 28, 38909–38928. [Google Scholar] [CrossRef]
- Xu, X.C.; Zhang, N.; Zhao, D.X.; Liu, C.J. The effect of trade openness on the relationship between agricultural technology inputs and carbon emissions: Evidence from a panel threshold model. Environ. Sci. Pollut. Res. 2021, 28, 9991–10004. [Google Scholar] [CrossRef] [PubMed]
- He, Y.Q.; Wang, H.C.; Chen, R.; Hou, S.Q.; Xu, D.D. The Forms, Channels and Conditions of Regional Agricultural Carbon Emission Reduction Interaction: A Provincial Perspective in China. Int. J. Environ. Res. Public Health 2022, 19, 10905. [Google Scholar] [CrossRef] [PubMed]
- Gu, R.L.; Duo, L.H.; Guo, X.F.; Zou, Z.L.; Zhao, D.X. Spatiotemporal heterogeneity between agricultural carbon emission efficiency and food security in Henan, China. Environ. Sci. Pollut. Res. 2023, 30, 49470–49486. [Google Scholar] [CrossRef] [PubMed]
- Zhu, Y.; Huo, C.Y. The impact of agricultural production efficiency on agricultural carbon emissions in China. Energies 2022, 15, 4464. [Google Scholar] [CrossRef]
- Wu, H.; Huang, H.; Tang, J.; Chen, W.; He, Y. Net greenhouse gas emissions from agriculture in China: Estimation, spatial correlation and convergence. Sustainability 2019, 11, 4817. [Google Scholar] [CrossRef]
- Wu, H.J.; Yuan, Z.W.; Geng, Y.; Ren, J.Z.; Jiang, S.Y.; Sheng, H.; Gao, L.M. Temporal trends and spatial patterns of energy use efficiency and greenhouse gas emissions in crop production of Anhui province, China. Energy 2017, 133, 955–968. [Google Scholar] [CrossRef]
- Huang, X.Q.; Feng, C.; Qin, J.H.; Wang, X.; Zhang, T. Measuring China’s agricultural green total factor productivity and its drivers during 1998–2019. Sci. Total Environ. 2022, 829, 154477. [Google Scholar] [CrossRef]
- Han, J.Y.; Qu, J.S.; Maraseni, T.N.; Xu, L.; Zeng, J.J.; Li, H.J. A critical assessment of provincial-level variation in agricultural GHG emissions in China. J. Environ. Manag. 2021, 296, 113190. [Google Scholar] [CrossRef]
- Su, L.J.; Wang, Y.T.; Yu, F.F. Analysis of regional differences and spatial spillover effects of agricultural carbon emissions in China. Heliyon 2023, 9, E16752. [Google Scholar] [CrossRef]
- West, T.O.; Marland, G. A synthesis of carbon sequestration, carbon emissions, and net carbon flux in agriculture: Comparing tillage practices in the United States. Agric. Ecosyst. Environ. 2022, 91, 217–232. [Google Scholar] [CrossRef]
- Wu, Y.G.; Feng, K.W. Spatial-temporal differentiation features and correlation effects of provincial agricultural carbon emissions in China. Environ. Sci. Technol. 2019, 42, 180–190. [Google Scholar]
- Xiong, C.H.; Yang, D.G.; Huo, J.W.; Wang, G.L. Agricultural net carbon effect and agricultural carbon sink compensation mechanism in Hotan Prefecture, China. Pol. J. Environ. Stud. 2017, 26, 365–373. [Google Scholar] [CrossRef] [PubMed]
- Adams, S.; Acheampong, A.O. Reducing carbon emissions: The role of renewable energy and democracy. J. Clean. Prod. 2019, 240, 118245. [Google Scholar] [CrossRef]
- Warner, J.; Zawahri, N. Hegemony and asymmetry: Multiple-chessboard games on transboundary rivers. Int. Environ. Agreem. Politics Law Econ. 2012, 2, 215–229. [Google Scholar] [CrossRef]
- Zhou, W.F.; He, J.; Liu, S.Q.; Xu, D.D. How does trust influence farmers’ low-carbon agricultural technology adoption? Evidence from rural Southwest, China. Land 2023, 12, 466. [Google Scholar] [CrossRef]
- Johnson, J.M.F.; Franzluebbers, A.J.; Weyers, S.L.; Reicosky, D.C. Agricultural opportunities to mitigate greenhouse gas emissions. Environ. Pollut. 2007, 150, 107–124. [Google Scholar] [CrossRef]
- Li, B.; Zhang, J.B.; Li, H.P. Research on spatial-temporal characteristics and affecting factors decomposition of agricultural carbon emission in China. China Popul. Resour. Environ. 2011, 21, 80–86. [Google Scholar]
- Wu, G.Y.; Liu, J.D.; Yang, L.S. Dynamic evolution of China’s agricultural carbon emission intensity and carbon offset potential. China Popul. Resour. Environ. 2021, 31, 69–78. [Google Scholar]
- Anselin, L.; Syabri, I.; Kho, Y. GeoDa: An Introduction to Spatial Data Analysis. Geogr. Anal. 2006, 38, 5–22. [Google Scholar] [CrossRef]
- Sridharan, S.; Tunstall, H.; Lawder, R.; Mitchell, R. An exploratory spatial data analysis approach to understanding the relationship between deprivation and mortality in Scotland. Soc. Sci. Med. 2007, 65, 1942–1952. [Google Scholar] [CrossRef]
- Lesage, J.; Pace, R. Introduction to Spatial Econometrics; CRC Press/Taylor & Francis: Boca Raton, FL, USA, 2009. [Google Scholar]
- Guo, H.P.; Fan, B.J.; Pan, C.L. Study on mechanisms underlying changes in agricultural carbon emissions: A case in Jilin Province, China, 1998–2018. Int. J. Environ. Res. Publ. Health. 2021, 18, 919. [Google Scholar] [CrossRef] [PubMed]
- Xiong, C.H.; Chen, S.; Xu, L.T. Driving factors analysis of agricultural carbon emissions based on extended STIRPAT model of Jiangsu Province, China. Growth Chang. 2020, 51, 1401–1416. [Google Scholar] [CrossRef]
- Chen, Y.H.; Li, M.J.; Su, K.; Li, X.Y. Spatial-temporal characteristics of the driving factors of agricultural carbon emissions: Empirical evidence from Fujian, China. Energies 2019, 12, 3102. [Google Scholar] [CrossRef]
- Ali, B.; Ullah, A.; Khan, D. Does the prevailing Indian agricultural ecosystem cause carbon dioxide emission? A consent towards risk reduction. Environ. Sci. Pollut. Res. 2021, 28, 4691–4703. [Google Scholar] [CrossRef]
- Smith, W.N.; Grant, B.B.; Desjardins, R.L.; Kroebel, R.; Li, C.; Qian, B.; Worth, D.E.; McConkey, B.G.; Drury, C.F. Assessing the effects of climate change on crop production and GHG emissions in Canada. Agric. Ecosyst. Environ. 2013, 179, 139–150. [Google Scholar] [CrossRef]
- Xu, Q.H.; Zhang, G.S. Spatial spillover effect of agricultural mechanization on agricultural carbon emission intensity: An empirical analysis of panel data from 282 cities. China Popul. Resour. Environ. 2022, 32, 23–33. [Google Scholar]
- Zhang, D.; Shen, J.B.; Zhang, F.S.; Li, Y.E.; Zhang, W.F. Carbon footprint of grain production in China. Sci. Rep. 2017, 7, 4126. [Google Scholar] [CrossRef]
- Yang, F. Impact of agricultural modernization on agricultural carbon emissions in China: A study based on the spatial spillover effect. Environ. Sci. Pollut. Res. 2023, 30, 91300–91314. [Google Scholar] [CrossRef]
- Anselin, L.; Rey, S. Properties of Tests for Spatial Dependence in Linear Regression Models. Geogr. Anal. 1991, 23, 112–131. [Google Scholar] [CrossRef]
- Zhao, P.J.; Zeng, L.E.; Lu, H.Y.; Zhou, Y.; Hu, H.Y.; Wei, X.Y. Green economic efficiency and its influencing factors in China from 2008 to 2017: Based on the super-SBM model with undesirable outputs and spatial Dubin model. Sci. Total Environ. 2020, 741, 140026. [Google Scholar] [CrossRef]
- Yang, W.Y.; Wang, W.L.; Ouyang, S.S. The influencing factors and spatial spillover effects of CO2 emissions from transportation in China. Sci. Total Environ. 2019, 696, 133900. [Google Scholar] [CrossRef] [PubMed]
- Wang, G.F.; Deng, X.Z.; Wang, J.Y.; Zhang, F.; Liang, S.Q. Carbon emission efficiency in China: A spatial panel data analysis. China Econ. Rev. 2019, 56, 101313. [Google Scholar] [CrossRef]
- Maraseni, T.N.; Mushtaq, S.; Reardon-Smith, K. Climate change, water security and the need for integrated policy development: The case of on-farm infrastructure investment in the Australian Irrigation Sector. Environ. Res. Lett. 2012, 7, 034006. [Google Scholar] [CrossRef]






| GHG Types | GHG Sources | Accounting Process and Data Sources |
|---|---|---|
| GHG from crop production | a. N2O from crop cultivation | The planting area of different crops such as rice, wheat (spring and winter wheat), soybean, maize, vegetables, sorghum, millet, potato, and peanut are multiplied by their respective N2O emission coefficients and then converted into the CO2 equivalent. The planting area of various crops comes from the China Statistical Yearbook and the China Agricultural Yearbook. |
| b. Indirect emissions from agricultural inputs | The quantity of different inputs such as chemical fertilizer, diesel, pesticide, agricultural film, machinery power, and irrigation area is multiplied by the emission coefficients to obtain the quantity of CO2 emission. The data on various types of agricultural inputs come from the China Agricultural Yearbook and New China Agriculture 60 Years Statistics. | |
| c. CH4 emissions from paddies | CH4 emissions from early, late, and mid-season rice (single-cropping late rice, winter paddy field, and wheat stubble rice) in different provinces were obtained by multiplying the planting areas with respective emission coefficients and then converted into CO2 equivalent. The area data of various types of paddy fields come from the China Agricultural Yearbook. | |
| GHG from livestock farming | d. CH4 and NO2 from ruminant activities and manure management | After converting the sales quantity and stock quantity of pigs, cattle, sheep, horses, donkeys, and mules into the annual average feeding quantity, the CH4 and N2O emissions obtained by multiplying the annual average feeding quantity of different animals with the emission coefficients are converted into CO2 equivalent. Data on the number of animals sold out and the number of animals in stock are from the China Agricultural Yearbook. |
| Variable Type | Variable Name | Description | Max | Min. | Mean | SD |
|---|---|---|---|---|---|---|
| Independent variable | CP GHG intensity | GHG emissions/crop production value | 0.3827 | 0.0172 | 0.0966 | 0.453 |
| LF GHG intensity | GHG emissions/livestock production value | 1.9294 | 0.0080 | 0.2045 | 2.952 | |
| Explanatory variable | Economic development level | Per capita GDP | 33.04 | 2.21 | 8.26 | 0.546 |
| Economic structure | Proportion of added value of primary industry | 37.840 | 0.360 | 13.426 | 7.448 | |
| Urbanization rate | Urban population/total population | 0.896 | 0.149 | 0.481 | 0.163 | |
| Urban-rural disparity | Urban/rural consumption level | 8.900 | 1.500 | 3.036 | 0.829 | |
| Agricultural structure | Output value of crop production/output value of livestock farming | 5.224 | 0.803 | 2.124 | 0.775 | |
| Agricultural financial support | The proportion of financial support for agriculture in total financial expenditure | 0.190 | 0.021 | 0.092 | 0.033 | |
| Disaster degree | Disaster-affected area/crop planting area | 0.936 | 0.000 | 0.257 | 0.163 | |
| Agriculture development level | Agricultural added value/rural population | 1.354 | 0.133 | 0.510 | 0.268 | |
| Mechanization level | Agricultural machinery power/rural population | 10.845 | 0.026 | 1.196 | 0.810 | |
| Land occupancy rate | Arable land area/rural population | 10.301 | 0.634 | 2.228 | 1.678 |
| LM Test | CP Sector | LF Sector | |
|---|---|---|---|
| Spatial error model | Lagrange multiplier | 213.494 *** | 257.791 *** |
| Robust Lagrange multiplier | 128.813 *** | 14.577 *** | |
| Spatial lag model | Lagrange multiplier | 85.530 *** | 321.804 *** |
| Robust Lagrange multiplier | 0.849 | 78.590 *** | |
| Variable Classification | Statistic | p-Value |
|---|---|---|
| CP GHG intensity | 10.59 | 0.5646 |
| LF GHG intensity | 486.05 | 0.0000 |
| Test Types | Variables | Can SDM Be Simplified to SAR? | Can SDM Be Simplified to SEM? |
|---|---|---|---|
| LR test | CP GHG intensity | 41.70 *** | 40.07 *** |
| LF GHG intensity | 86.61 *** | 157.55 *** | |
| Wald test | CP GHG intensity | 33.26 *** | 40.88 *** |
| LF GHG intensity | 87.90 *** | 150.10 *** |
| Explanatory Variables | CP GHG Intensity | LF GHG Intensity | ||
|---|---|---|---|---|
| Main Effects (Main) | Spatial Effects (Wx) | Main Effects (Main) | Spatial Effects (Wx) | |
| Economic development level | −0.315 *** (0.113) | 1.053 *** (0.304) | 0.0422 (0.0504) | −0.101 (0.107) |
| Economic structure | 0.0638 (0.0544) | 0.117 (0.135) | 0.0767 *** (0.0242) | 0.0285 (0.0361) |
| Urbanization rate | −0.244 *** (0.0552) | 0.169 (0.124) | 0.0545 ** (0.0264) | −0.202 *** (0.0560) |
| Urban-rural disparity | −0.0360 ** (0.0297) | 0.158 ** (0.0685) | 0.0915 *** (0.0137) | 0.0808 *** (0.0230) |
| Agricultural structure | −0.296 *** (0.0436) | 0.0719 (0.0871) | 0.0859 *** (0.0196) | −0.0516 (0.0323) |
| Agricultural financial support | 0.0141 (0.0400) | 0.234 *** (0.0898) | −0.0728 *** (0.0182) | −0.158 *** (0.0272) |
| Disaster degree | −0.0255 ** (0.0189) | −0.0260 ** (0.0382) | 0.0214 ** (0.00939) | −0.0426 ** (0.0179) |
| Agriculture development level | −0.636 *** (0.0643) | −0.148 ** (0.141) | −0.00245 (0.0294) | 0.294 *** (0.0519) |
| Mechanization level | 0.0464 ** (0.0235) | 0.0210 (0.0504) | −0.0346 *** (0.0114) | −0.0148 (0.0216) |
| Land occupancy rate | 0.533 *** (0.0814) | 0.345 * (0.181) | 0.0530 ** (0.0360) | −0.0165 (0.0678) |
| Constant | 0.00997 (0.146) | |||
| ρ | 0.113 * (0.0594) | 0.440 *** (0.0458) | ||
| R2 | 0.6158 | 0.6578 | ||
| Log-likelihood | −927.1855 | −927.1855 | ||
Disclaimer/Publisher’s Note: The statements, opinions and data contained in all publications are solely those of the individual author(s) and contributor(s) and not of MDPI and/or the editor(s). MDPI and/or the editor(s) disclaim responsibility for any injury to people or property resulting from any ideas, methods, instructions or products referred to in the content. |
© 2023 by the authors. Licensee MDPI, Basel, Switzerland. This article is an open access article distributed under the terms and conditions of the Creative Commons Attribution (CC BY) license (https://creativecommons.org/licenses/by/4.0/).
Share and Cite
Han, J.; Qu, J.; Wang, D.; Maraseni, T.N. Accounting for and Comparison of Greenhouse Gas (GHG) Emissions between Crop and Livestock Sectors in China. Land 2023, 12, 1787. https://doi.org/10.3390/land12091787
Han J, Qu J, Wang D, Maraseni TN. Accounting for and Comparison of Greenhouse Gas (GHG) Emissions between Crop and Livestock Sectors in China. Land. 2023; 12(9):1787. https://doi.org/10.3390/land12091787
Chicago/Turabian StyleHan, Jinyu, Jiansheng Qu, Dai Wang, and Tek Narayan Maraseni. 2023. "Accounting for and Comparison of Greenhouse Gas (GHG) Emissions between Crop and Livestock Sectors in China" Land 12, no. 9: 1787. https://doi.org/10.3390/land12091787
APA StyleHan, J., Qu, J., Wang, D., & Maraseni, T. N. (2023). Accounting for and Comparison of Greenhouse Gas (GHG) Emissions between Crop and Livestock Sectors in China. Land, 12(9), 1787. https://doi.org/10.3390/land12091787

