Soil Bulk Density and Matric Potential Regulate Soil CO2 Emissions by Altering Pore Characteristics and Water Content
Abstract
:1. Introduction
2. Materials and Methods
2.1. Soil Collection, Experimental Design, and Setup
2.2. Soil CO2 Emissions and Relative Gas Diffusivity Measurements
2.3. Soil Analyses and Calculations
2.4. Data Analyses
3. Results
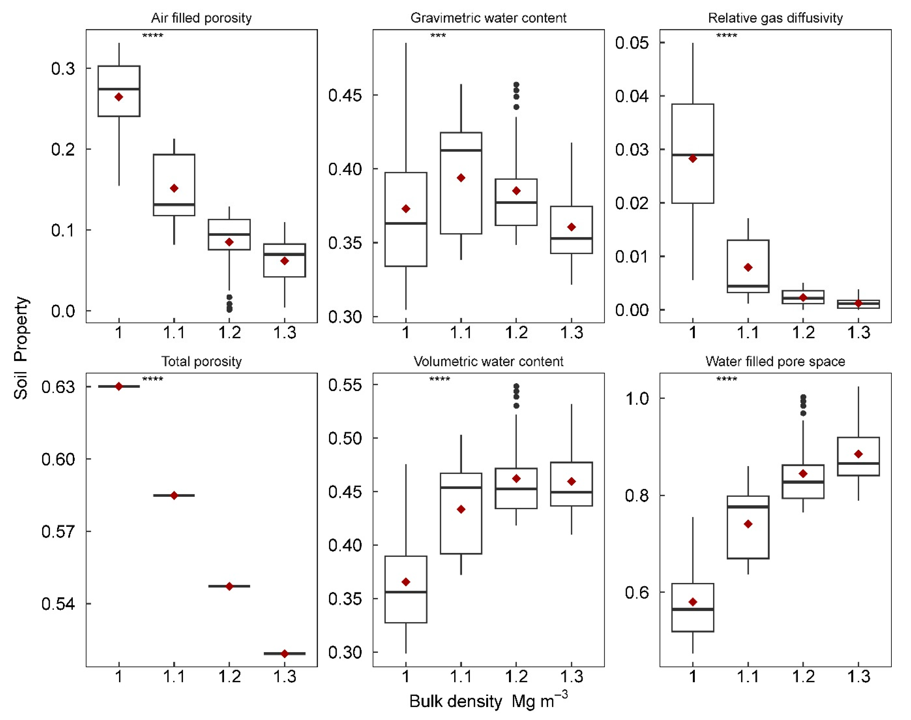
3.1. Impact of Changes in Soil Bulk Density and Matric Potential on Soil Pore Characteristics
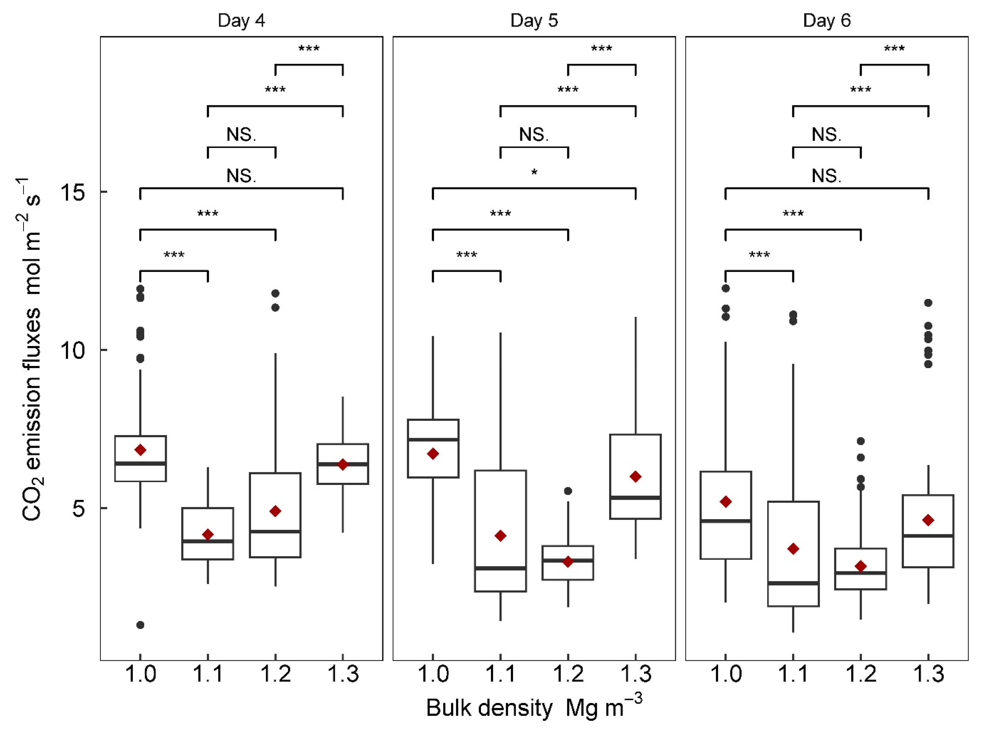
3.2. Soil CO2 Emissions in Response to Changes in Soil Bulk Density and Matric Potential
3.3. Factors Affecting Soil CO2 Emissions in Various Bulk Densities and Matric Potentials
4. Discussion
5. Conclusions
Author Contributions
Funding
Data Availability Statement
Conflicts of Interest
References
- Raich, J.W.; Schlesinger, W.H. The global carbon dioxide flux in soil respiration and its relationship to vegetation and climate. Tellus Ser. B-Chem. Phys. Meteorol. 1992, 44, 81–99. [Google Scholar] [CrossRef]
- Atmospheric CO2 Growth Rates, Decadal Average Annual Growth Rates. Available online: https://gml.noaa.gov/ccgg/trends/gl_gr.html (accessed on 17 June 2023).
- Linn, D.M.; Doran, J.W. Effect of water-filled pore space on carbon dioxide and nitrous oxide production in tilled and nontilled soils. Soil Sci. Soc. Am. J. 1984, 48, 1267–1272. [Google Scholar] [CrossRef]
- Davidson, E.A.; Trumbore, S.E. Gas diffusivity and production of CO2 in deep soils of the eastern Amazon. Tellus Ser. B-Chem. Phys. Meteorol. 1995, 47, 550–565. [Google Scholar] [CrossRef]
- Millington, R.J. Gas Diffusion in Porous Media. Science 1959, 130, 100–102. [Google Scholar] [CrossRef] [PubMed]
- Farquharson, R.; Baldock, J. Concepts in modelling N2O emissions from land use. Plant Soil 2008, 309, 147–167. [Google Scholar] [CrossRef]
- Liu, F.; Zhu, Q.; Wang, Y.; Lai, X.; Liao, K.; Guo, C. Storages and leaching losses of soil water dissolved CO2 and N2O on typical land use hillslopes in southeastern hilly area of China. Sci. Total Environ. 2023, 886, 163780. [Google Scholar] [CrossRef]
- Vremec, M.; Forstner, V.; Herndl, M.; Collenteur, R.; Schaumberger, A.; Birk, S. Sensitivity of evapotranspiration and seepage to elevated atmospheric CO2 from lysimeter experiments in a montane grassland. J. Hydrol. 2023, 617, 128875. [Google Scholar] [CrossRef]
- Davidson, E.A.; Verchot, L.V.; Cattanio, J.H.; Ackerman, I.L.; Carvalho, J.E.M. Effects of soil water content on soil respiration in forests and cattle pastures of eastern Amazonia. Biogeochemistry 2000, 48, 53–69. [Google Scholar] [CrossRef]
- Li, Z.; Cui, S.; Zhang, Q.; Xu, G.; Feng, Q.; Chen, C.; Li, Y. Optimizing Wheat Yield, Water, and Nitrogen Use Efficiency With Water and Nitrogen Inputs in China: A Synthesis and Life Cycle Assessment. Front. Plant Sci. 2022, 13, 930484. [Google Scholar] [CrossRef]
- Orchard, V.A.; Cook, F.J. Relationship between soil respiration and soil moisture. Soil Biol. Biochem. 1983, 15, 447–453. [Google Scholar] [CrossRef]
- Balaine, N.; Clough, T.J.; Beare, M.H.; Thomas, S.M.; Meenken, E.D. Soil gas diffusivity controls N2O and N2 emissions and their ratio. Soil Sci. Soc. Am. J. 2016, 80, 529–540. [Google Scholar] [CrossRef]
- Balaine, N.; Clough, T.J.; Beare, M.H.; Thomas, S.M.; Meenken, E.D.; Ross, J.G. Changes in relative gas diffusivity explain soil nitrous oxide flux dynamics. Soil Sci. Soc. Am. J. 2013, 77, 1496–1505. [Google Scholar] [CrossRef]
- Owens, J.; Clough, T.J.; Laubach, J.; Hunt, J.E.; Venterea, R.T.; Phillips, R.L. Nitrous oxide fluxes, soil oxygen, and denitrification potential of urine- and non-urine-treated soil under different irrigation frequencies. J. Environ. Qual. 2016, 45, 1169–1177. [Google Scholar] [CrossRef] [PubMed]
- Rolston, D.E.; Moldrup, P. Gas Diffusivity. In Methods of Soil Analysis: Part 4 Physical Methods; Topp, G.C., Dane, J.H., Eds.; SSSA: Madison, WI, USA, 2002; pp. 1113–1139. [Google Scholar]
- Räty, M.; Termonen, M.; Soinne, H.; Nikama, J.; Rasa, K.; Järvinen, M.; Lappalainen, R.; Auvinen, H.; Keskinen, R. Improving coarse-textured mineral soils with pulp and paper mill sludges: Functional considerations at laboratory scale. Geoderma 2023, 438, 116617. [Google Scholar] [CrossRef]
- Fang, C.; Moncrieff, J.B. A model for soil CO2 production and transport 1: Model development. Agric. For. Meteorol. 1999, 95, 225–236. [Google Scholar] [CrossRef]
- Abeysinghe, A.M.S.N.; Lakshani, M.M.T.; Amarasinghe, U.D.H.N.; Li, Y.; Deepagoda, T.C.; Fu, W.; Fan, J.; Yang, T.; Ma, X.; Clough, T.; et al. Soil-gas diffusivity-based characterization of variably saturated agricultural topsoils. Water 2022, 14, 2900. [Google Scholar] [CrossRef]
- Du, Y.; Guo, S.; Wang, R.; Song, X.; Ju, X. Soil pore structure mediates the effects of soil oxygen on the dynamics of greenhouse gases during wetting–drying phases. Sci. Total Environ. 2023, 895, 165192. [Google Scholar] [CrossRef]
- Moldrup, P.; Olesen, T.; Gamst, J.; Schjønning, P.; Yamaguchi, T.; Rolston, D.E. Predicting the gas diffusion coefficient in repacked soil: Water-induced linear reduction model. Soil Sci. Soc. Am. J. 2000, 64, 1588–1594. [Google Scholar] [CrossRef]
- Jiang, J.; Gu, K.; Xu, J.; Li, Y.; Le, Y.; Hu, J. Effect of Barometric Pressure Fluctuations on Gas Transport over Soil Surfaces. Land 2023, 12, 161. [Google Scholar] [CrossRef]
- Currie, J.A. Gaseous diffusion in porous media Part 1. A non-steady state method. Br. J. Appl. Phys. 1960, 11, 314–317. [Google Scholar] [CrossRef]
- Mendiburu, F.D. Statistical Procedures for Agricultural Research. R Package Version 1.3.1. 2009. Available online: https://CRAN.R-project.org/package=agricolae (accessed on 17 June 2023).
- da Silva, T.S.; Pulido-Moncada, M.; Schmidt, M.R.; Katuwal, S.; Schlüter, S.; Köhne, J.M.; Mazurana, M.; Juhl Munkholm, L.; Levien, R. Soil pore characteristics and gas transport properties of a no-tillage system in a subtropical climate. Geoderma 2021, 401, 115222. [Google Scholar] [CrossRef]
- Eden, M.; Schjønning, P.; Moldrup, P.; De Jonge, L.W. Compaction and rotovation effects on soil pore characteristics of a loamy sand soil with contrasting organic matter content. Soil Use Manag. 2011, 27, 340–349. [Google Scholar] [CrossRef]
- Li, Y.; Li, Z.; Cui, S.; Jagadamma, S.; Zhang, Q. Residue retention and minimum tillage improve physical environment of the soil in croplands: A global meta-analysis. Soil Tillage Res. 2019, 194, 104292. [Google Scholar] [CrossRef]
- Schjønning, P.; Munkholm, L.J.; Moldrup, P.; Jacobsen, O.H. Modelling soil pore characteristics from measurements of air exchange: The long-term effects of fertilization and crop rotation. Eur. J. Soil Sci. 2002, 53, 331–339. [Google Scholar] [CrossRef]
- Qin, W.F.; Zhao, X.C.; Yang, F.; Chen, J.H.; Mo, Q.S.; Cui, S.; Chen, C.; He, S.J.; Li, Z. Impact of fertilization and grazing on soil N and enzyme activities in a karst pasture ecosystem. Geoderma 2023, 437, 116578. [Google Scholar] [CrossRef]
- Wolf, A.B.; Vos, M.; de Boer, W.; Kowalchuk, G.A. Impact of Matric Potential and Pore Size Distribution on Growth Dynamics of Filamentous and Non-Filamentous Soil Bacteria. PLoS ONE 2014, 8, 83661. [Google Scholar] [CrossRef]
- Killham, K.; Amato, M.; Ladd, J.N. Effect of substrate location in soil and soil pore-water regime on carbon turnover. Soil Biol. Biochem. 1993, 25, 57–62. [Google Scholar] [CrossRef]
- Li, Y.; Clough, T.J.; Moinet, G.Y.K.; Whitehead, D. Emissions of nitrous oxide, dinitrogen and carbon dioxide from three soils amended with carbon substrates under varying soil matric potentials. Eur. J. Soil Sci. 2021, 72, 2261–2275. [Google Scholar] [CrossRef]
- Steponavičienė, V.; Bogužas, V.; Sinkevičienė, A.; Skinulienė, L.; Vaisvalavičius, R.; Sinkevičius, A. Soil Water Capacity, Pore Size Distribution, and CO2 Emission in Different Soil Tillage Systems and Straw Retention. Plants 2022, 11, 614. [Google Scholar] [CrossRef]
- Neilson, J.W.; Pepper, I.L. Soil Respiration as an Index of Soil Aeration. Soil Sci. Soc. Am. J. 1990, 54, 428–432. [Google Scholar] [CrossRef]
- Toosi, E.R.; Kravchenko, A.N.; Guber, A.K.; Rivers, M.L. Pore characteristics regulate priming and fate of carbon from plant residue. Soil Biol. Biochem. 2017, 113, 219–230. [Google Scholar] [CrossRef]
- Torbert, H.A.; Wood, C.W. Effects of soil compaction and water-filled pore space on soil microbial activity and N losses. Commun. Soil Sci. Plant Anal. 1992, 23, 1321–1331. [Google Scholar] [CrossRef]
- Sang, J.; Lakshani, M.M.T.; Chamindu Deepagoda, T.K.K.; Shen, Y.; Li, Y. Drying and rewetting cycles increased soil carbon dioxide rather than nitrous oxide emissions: A meta-analysis. J. Environ. Manag. 2022, 324, 116391. [Google Scholar] [CrossRef] [PubMed]
- Cook, F.J.; Orchard, V.A. Relationships between soil respiration and soil moisture. Soil Biol. Biochem. 2008, 40, 1013–1018. [Google Scholar] [CrossRef]
- Blagodatsky, S.; Smith, P. Soil physics meets soil biology: Towards better mechanistic prediction of greenhouse gas emissions from soil. Soil Biol. Biochem. 2012, 47, 78–92. [Google Scholar] [CrossRef]








| Soil Layer (cm) | SOC (g·kg−1) | TN (g·kg−1) | Nitrate N (mg·kg−1) | Ammonium N (mg·kg−1) | TP (g·kg−1) | AP (mg·kg−1) | TK (g·kg−1) |
|---|---|---|---|---|---|---|---|
| 0–5 | 27.05 | 2.82 | 23.14 | 4.95 | 0.80 | 24.08 | 27.75 |
| 5–10 | 24.46 | 2.59 | 16.83 | 5.06 | 0.66 | 14.99 | 28.79 |
| Index | Soil Aggregates Composition (%) | Soil Particle Composition (%) | |||||
|---|---|---|---|---|---|---|---|
| Clay | Silt | Sand | |||||
| Layer (cm) | 5–2 mm | 2–0.25 mm | 0.25–0.053 mm | <0.053 mm | <0.002 mm | 0.002–0.02 mm | 0.02–2 mm |
| 0–5 | 0.34 | 0.43 | 0.09 | 0.11 | 24.35 | 61.09 | 14.56 |
| 5–10 | 0.38 | 0.41 | 0.09 | 0.08 | 26.58 | 60.50 | 12.92 |
| Soil Property | Equation | R2 | p |
|---|---|---|---|
| Gravimetric water content | y = 0.0009x2 − 0.16x + 10.41 | 0.43 | <0.01 |
| Volumetric water content | y = 0.0009x2 − 0.15x + 9.96 | 0.36 | <0.01 |
Disclaimer/Publisher’s Note: The statements, opinions and data contained in all publications are solely those of the individual author(s) and contributor(s) and not of MDPI and/or the editor(s). MDPI and/or the editor(s) disclaim responsibility for any injury to people or property resulting from any ideas, methods, instructions or products referred to in the content. |
© 2023 by the authors. Licensee MDPI, Basel, Switzerland. This article is an open access article distributed under the terms and conditions of the Creative Commons Attribution (CC BY) license (https://creativecommons.org/licenses/by/4.0/).
Share and Cite
Gui, W.; You, Y.; Yang, F.; Zhang, M. Soil Bulk Density and Matric Potential Regulate Soil CO2 Emissions by Altering Pore Characteristics and Water Content. Land 2023, 12, 1646. https://doi.org/10.3390/land12091646
Gui W, You Y, Yang F, Zhang M. Soil Bulk Density and Matric Potential Regulate Soil CO2 Emissions by Altering Pore Characteristics and Water Content. Land. 2023; 12(9):1646. https://doi.org/10.3390/land12091646
Chicago/Turabian StyleGui, Weiyang, Yongliang You, Feng Yang, and Mingjun Zhang. 2023. "Soil Bulk Density and Matric Potential Regulate Soil CO2 Emissions by Altering Pore Characteristics and Water Content" Land 12, no. 9: 1646. https://doi.org/10.3390/land12091646
APA StyleGui, W., You, Y., Yang, F., & Zhang, M. (2023). Soil Bulk Density and Matric Potential Regulate Soil CO2 Emissions by Altering Pore Characteristics and Water Content. Land, 12(9), 1646. https://doi.org/10.3390/land12091646
