Input Flux and the Risk of Heavy Metal(Loid) of Agricultural Soil in China: Based on Spatiotemporal Heterogeneity from 2000 to 2021
Abstract
1. Introduction
2. Materials and Methods
2.1. Creating the Heavy Metal Input Flux Database
2.2. Weighted Average Calculation
- (1)
- Atmospheric deposition:
- (2)
- Manure:
2.3. Spatiotemporal Heterogeneity Analysis
2.4. Soil Environment Risk Assessment
3. Results
3.1. Zoning of Heavy Metal(Loid) Input Flux
3.2. Inventory of Heavy Metal(Loid) Input Fluxes
3.2.1. Atmospheric Deposition
| Region/Country | Period | As | Cd | Cr | Cu | Hg | Ni | Pb | Zn | Ref. |
|---|---|---|---|---|---|---|---|---|---|---|
| NEC | 2000–2021 | 4.28 | 0.36 | 17.95 | 15.1 | 0.028 | 3.19 | 18.58 | 84.02 | This study |
| SC | 2000–2021 | 2.28 | 0.38 | 11.19 | 12.37 | 0.053 | 7.06 | 25.56 | 48.51 | |
| HHH | 2000–2021 | 2.86 | 0.53 | 9.77 | 12.77 | 0.052 | 5.92 | 24.06 | 67.63 | |
| LP | 2000–2021 | 3.04 | 0.49 | 9.07 | 13.35 | 0.063 | 5.76 | 26.99 | 62.07 | |
| SYR | 2000–2021 | 3.14 | 0.74 | 3.73 | 4.94 | 0.026 | 1.93 | 14.16 | 42.7 | |
| SB | 2000–2021 | 2.56 | 0.84 | 17.79 | 9.44 | 0.066 | 2.92 | 30.24 | 62.63 | |
| NWC | 2000–2021 | 0.39 | 0.06 | 16.23 | 6.78 | 0.007 | - | 4.05 | 31.88 | |
| YGP | 2000–2021 | 1.08 | 0.16 | 1.13 | 10.9 | 0.02 | 0.8 | 5.3 | 16.08 | |
| MLYR | 2000–2021 | 1.61 | 0.37 | 10.06 | 8.58 | 0.022 | 3.79 | 15.17 | 63.45 | |
| China | 2000–2021 | 2.67 | 0.49 | 10.77 | 11.54 | 0.039 | 5.06 | 20.64 | 64 | |
| Kandy, Sri Lanka | 2015 | - | 36.5 | 182.5 | 292 | - | 109.5 | 219 | 4380 | [65] |
| Izmir, Turkey | 2003–2004 | - | 15.3 | 38.3 | 37.4 | - | 55.9 | 36.1 | 774.2 | [64] |
| Huelva, Spain | 2008–2011 | - | 0.1 | 1.6 | 70 | - | 1.4 | 3.4 | - | [66] |
| Pallas, Finland | 2007 | 0.015 | 0.012 | 0.043 | 0.58 | - | 0.053 | 0.18 | 0.93 | [67] |
| Tokyo Bay, Japan | 2004–2005 | 2.9 | 0.39 | 6.2 | 16 | 0.035 | 6.8 | 9.9 | - | [74] |
| Paris, France | 2001–2002 | - | 0.24 | - | 6 | - | 0.62 | 4.2 | 30 | [69] |
| England and Wales | 1995–1998 | 0.31 | 0.19 | 0.75 | 5.7 | 0.1 | 1.6 | 5.4 | 22.1 | [11] |
3.2.2. Fertilizer
3.2.3. Manure
3.2.4. Irrigation
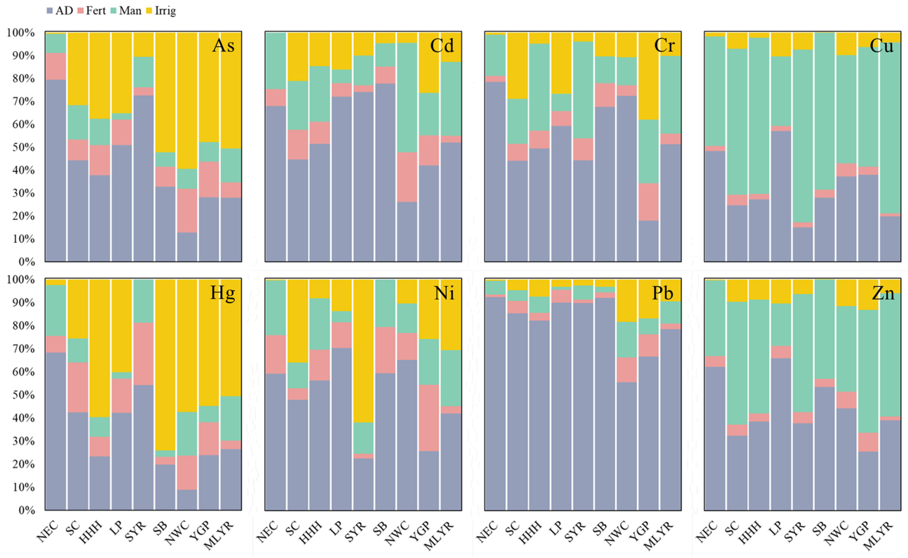
3.2.5. Contribution of Heavy Metal(Loid) Input Fluxes
4. Discussions
4.1. Soil Environmental Risk
4.2. Boiler Emissions, Mining, and Industrial Structure
4.3. Effects of Atmospheric Deposition on Crops and Human Health
4.4. Publication Bias and Uncertainty
5. Conclusions
Supplementary Materials
Author Contributions
Funding
Data Availability Statement
Conflicts of Interest
References
- Hou, Q.; Yang, Z.; Ji, J.; Yu, T.; Chen, G.; Li, J.; Xia, X.; Zhang, M.; Yuan, X. Annual net input fluxes of heavy metals of the agro-ecosystem in the Yangtze River delta, China. J. Geochem. Explor. 2014, 139, 68–84. [Google Scholar] [CrossRef]
- Yang, Y.; Xiao, C.; Wang, F.; Peng, L.; Zeng, Q.; Luo, S. Assessment of the potential for phytoremediation of cadmium polluted soils by various crop rotation patterns based on the annual input and output fluxes. J. Hazard. Mater. 2022, 423, 127–183. [Google Scholar] [CrossRef] [PubMed]
- Sall, M.L.; Diaw, A.K.D.; Gningue-Sall, D.; Efremova Aaron, S.; Aaron, J. Toxic heavy metals: Impact on the environment and human health, and treatment with conducting organic polymers, a review. Environ. Sci. Pollut. Res. 2020, 27, 29927–29942. [Google Scholar] [CrossRef] [PubMed]
- Lu, J.; Wang, Z.; Chi, F.; Bing, L.; Wang, M. Present Situation, Potential and countermeasures of Livestock Manure Recycling in the Circular Agriculture: A Case in Liaozhong County. Ecol. Econ. 2015, 31, 107–113. [Google Scholar]
- Wang, P.; Chen, H.; Kopittke, P.M.; Zhao, F. Cadmium contamination in agricultural soils of China and the impact on food safety. Environ. Pollut. 2019, 249, 1038–1048. [Google Scholar] [CrossRef] [PubMed]
- Zhang, X.; Yang, L.; Li, Y.; Li, H.; Wang, W.; Ye, B. Impacts of lead/zinc mining and smelting on the environment and human health in China. Environ. Monit. Assess. 2012, 184, 2261–2273. [Google Scholar] [CrossRef]
- Zhou, Z.; Lu, Y.; Pi, H.; Gao, P.; Li, M.; Zhang, L.; Pei, L.; Mei, X.; Liu, L.; Zhao, Q.; et al. Cadmium exposure is associated with the prevalence of dyslipidemia. Cell. Physiol. Biochem. 2016, 40, 633–643. [Google Scholar] [CrossRef]
- Cadmium in 2018 (XLSX). 2021. Available online: https://www.usgs.gov/media/files/cadmium-2018-xlsx (accessed on 1 June 2022).
- MEP. Report on the National Soil Pollution Survey; Ministry of Environmental Protection of the PRC: Beijing, China, 2014.
- Hu, W.; Huang, B.; Shi, X.; Chen, W.; Zhao, Y.; Jiao, W. Accumulation and health risk of heavy metals in a plot-scale vegetable production system in a peri-urban vegetable farm near Nanjing, China. Ecotox. Environ. Safe. 2013, 98, 303–309. [Google Scholar] [CrossRef]
- Nicholson, F.A.; Smith, S.R.; Alloway, B.J.; Carlton-Smith, C.; Chambers, B.J. An inventory of heavy metals inputs to agricultural soils in England and Wales. Sci. Total Environ. 2003, 311, 205–219. [Google Scholar] [CrossRef]
- Desaules, A. Critical evaluation of soil contamination assessment methods for trace metals. Sci. Total Environ. 2012, 426, 120–131. [Google Scholar] [CrossRef]
- Li, X.; Feng, L. Multivariate and geostatistical analyzes of metals in urban soil of Weinan industrial areas, Northwest of China. Atmos. Environ. 2012, 47, 58–65. [Google Scholar] [CrossRef]
- Marrugo-Negrete, J.; Pinedo-Hernández, J.; Díez, S. Assessment of heavy metal pollution, spatial distribution and origin in agricultural soils along the Sinú River Basin, Colombia. Environ. Res. 2017, 154, 380–388. [Google Scholar] [CrossRef] [PubMed]
- Feng, W.; Guo, Z.; Peng, C.; Xiao, X.; Shi, L.; Han, X.; Ran, H. Modelling mass balance of cadmium in paddy soils under long term control scenarios. Environ. Sci. Process. Impacts 2018, 20, 1158–1166. [Google Scholar] [CrossRef] [PubMed]
- Vareda, J.P.; Valente, A.J.M.; Durães, L. Assessment of heavy metal pollution from anthropogenic activities and remediation strategies: A review. J. Environ. Manag. 2019, 246, 101–118. [Google Scholar] [CrossRef] [PubMed]
- Yan, X.; Zhao, W.; Yang, X.; Liu, C.; Zhou, Y. Input–output balance of cadmium in typical agriculture soils with historical sewage irrigation in China. J. Environ. Manag. 2020, 276, 111298. [Google Scholar] [CrossRef]
- Yi, K.; Fan, W.; Chen, J.; Jiang, S.; Huang, S.; Peng, L.; Zeng, Q.; Luo, S. Annual input and output fluxes of heavy metals to paddy fields in four types of contaminated areas in Hunan Province, China. Sci. Total Environ. 2018, 634, 67–76. [Google Scholar] [CrossRef] [PubMed]
- UBA. Länderübergreifende Auswertung von Daten der Boden- und Dauerbeobachtung der Länder. Available online: https://www.umweltbundesamt.de/en/publikationen/laenderuebergreifende-auswertung-von-daten-boden (accessed on 1 June 2022).
- UKCEH. Countryside Survey. Available online: https://countrysidesurvey.org.uk/publications/technical-reports (accessed on 1 June 2022).
- Belon, E.; Boisson, M.; Deportes, I.Z.; Eglin, T.K.; Feix, I.; Bispo, A.O.; Galsomies, L.; Leblond, S.; Guellier, C.R. An inventory of trace elements inputs to French agricultural soils. Sci. Total Environ. 2012, 439, 87–95. [Google Scholar] [CrossRef]
- Shi, T.; Ma, J.; Wu, X.; Ju, T.; Lin, X.; Zhang, Y.; Li, X.; Gong, Y.; Hou, H.; Zhao, L.; et al. Inventories of heavy metal inputs and outputs to and from agricultural soils: A review. Ecotox. Environ. Saf. 2018, 164, 118–124. [Google Scholar] [CrossRef]
- Peng, C.; Wang, M.; Chen, W.; Chang, A.C.; Crittenden, J.C. Mass balance-based regression modeling of Cd and Zn accumulation in urban soils of Beijing. J. Environ. Sci. China 2017, 53, 99–106. [Google Scholar] [CrossRef]
- Shi, T.; Ma, J.; Wu, F.; Ju, T.; Gong, Y.; Zhang, Y.; Wu, X.; Hou, H.; Zhao, L.; Shi, H. Mass balance-based inventory of heavy metals inputs to and outputs from agricultural soils in Zhejiang Province, China. Sci. Total Environ. 2019, 649, 1269–1280. [Google Scholar] [CrossRef]
- Wang, S.; Zhang, Y.; Cheng, J.; Li, Y.; Li, F.; Li, Y.; Shi, Z. Pollution assessment and source apportionment of soil heavy metals in a coastal industrial city, Zhejiang, southeastern China. Int. J. Environ. Res. Public Health 2022, 19, 3335. [Google Scholar] [CrossRef]
- Xie, Y.; Zhu, J.; Liu, S.; Pan, S.; Ji, X. Input and output of cadmium (Cd) for paddy soil in central south China: Fluxes, mass balance, and model predictions. Environ. Sci. Pollut. Res. 2020, 27, 21847–21858. [Google Scholar] [CrossRef] [PubMed]
- Cai, K.; Li, C. Ecological risk, input flux, and source of heavy metals in the agricultural plain of Hebei Province, China. Int. J. Environ. Res. Public Health 2022, 19, 2288. [Google Scholar] [CrossRef] [PubMed]
- Chen, L.; Zhou, S.; Wu, S.; Wang, C.; Li, B.; Li, Y.; Wang, J. Combining emission inventory and isotope ratio analyses for quantitative source apportionment of heavy metals in agricultural soil. Chemosphere 2018, 204, 140–147. [Google Scholar] [CrossRef] [PubMed]
- Zhou, Y.; Jia, Z.; Wang, J.; Chen, L.; Zou, M.; Li, Y.; Zhou, S. Heavy metal distribution, relationship and prediction in a wheat-rice rotation system. Geoderma 2019, 354, 113886. [Google Scholar] [CrossRef]
- Yang, Y.; Li, Y.; Dai, Y.; Wang, M.; Chen, W.; Wang, T. Historical and future trends of cadmium in rice soils deduced from long-term regional investigation and probabilistic modeling. J. Hazard. Mater. 2021, 415, 125746. [Google Scholar] [CrossRef]
- Luo, L.; Ma, Y.; Zhang, S.; Wei, D.; Zhu, Y. An inventory of trace element inputs to agricultural soils in China. J. Environ. Manag. 2009, 90, 2524–2530. [Google Scholar] [CrossRef]
- Ye, S.; Song, C.; Shen, S.; Gao, P.; Cheng, C.; Cheng, F.; Wan, C.; Zhu, D. Spatial pattern of arable land-use intensity in China. Land Use Policy 2020, 99, 104845. [Google Scholar] [CrossRef]
- Liu, C.; Song, C.; Ye, S.; Cheng, F.; Zhang, L.; Li, C. Estimate provincial-level effectiveness of the arable land requisition-compensation balance policy in mainland China in the last 20 years. Land Use Policy 2023, 131, 106733. [Google Scholar] [CrossRef]
- Arabi, Z.; Rinklebe, J.; El-Naggar, A.; Hou, D.; Sarmah, A.K.; Moreno-Jiménez, E. (Im)mobilization of arsenic, chromium, and nickel in soils via biochar: A meta-analysis. Environ. Pollut. 2021, 286, 117199. [Google Scholar] [CrossRef]
- Huang, Y.; Wang, L.; Wang, W.; Li, T.; He, Z.; Yang, X. Current status of agricultural soil pollution by heavy metals in China: A meta-analysis. Sci. Total Environ. 2019, 651, 3034–3042. [Google Scholar] [CrossRef] [PubMed]
- Shao, D.; Zhan, Y.; Zhou, W.; Zhu, L. Current status and temporal trend of heavy metals in farmland soil of the Yangtze River Delta Region: Field survey and meta-analysis. Environ. Pollut. 2016, 219, 329–336. [Google Scholar] [CrossRef] [PubMed]
- Yuan, X.; Xue, N.; Han, Z. A meta-analysis of heavy metals pollution in farmland and urban soils in China over the past 20 years. J. Environ. Sci. China 2021, 101, 217–226. [Google Scholar] [CrossRef]
- Ren, S.; Song, C.; Ye, S.; Cheng, C.; Gao, P. The spatiotemporal variation in heavy metals in China’s farmland soil over the past 20 years: A meta-analysis. Sci. Total Environ. 2022, 806, 150322. [Google Scholar] [CrossRef]
- MOA. China Agriculture Yearbook; China Agriculture Press: Beijing, China, 2019. [Google Scholar]
- Bao, W.; Liu, J.; An, J.; Xie, G. Value-taking of livestock and poultry excreta factor in China. J. China Agric. Univ. 2018, 23, 1–14. [Google Scholar]
- Bao, W.; Liu, J.; An, J.; Xie, G. Discussion on value-taking of relative parameters for assessment of livestock and poultry excrement resource in China. Trans. Chin. Soc. Agric. Eng. 2018, 34, 314–322. [Google Scholar]
- Wang, J.; Xu, C. Geodetector: Principle and prospective. Acta Geogr. Sin. 2017, 72, 116–134. [Google Scholar]
- Wang, J.F.; Li, X.H.; Christakos, G.; Liao, Y.L.; Zhang, T.; Gu, X.; Zheng, X.Y. Geographical Detectors-Based Health Risk Assessment and its Application in the Neural Tube Defects Study of the Heshun Region, China. Int. J. Geogr. Inf. Sci. 2010, 24, 107–127. [Google Scholar] [CrossRef]
- Liang, F.; Pan, Y.; Peng, H.; Zeng, M.; Huang, C. Time-space simulation, health risk warning and policy recommendations of environmental capacity for heavy metals in the Pearl River Basin, China. Int. J. Environ. Res. Public Health 2022, 19, 4694. [Google Scholar] [CrossRef]
- Lv, Y.; Xie, L.; Zhu, W.; Zhou, Y.; Sun, H. Risk prediction of heavy metals in farmland soil based on environmental capacity: Case study of the county scale in Northern Zhejiang Province. Resour. Environ. Yangtze Basin 2020, 29, 253–264. [Google Scholar]
- Pan, Y.; Ding, L.; Xie, S.; Zeng, M.; Zhang, J.; Peng, H. Spatiotemporal simulation, early warning, and policy recommendations of the soil heavy metal environmental capacity of the agricultural land in a typical industrial city in China: Case of Zhongshan City. J. Clean. Prod. 2021, 285, 124849. [Google Scholar] [CrossRef]
- Zeng, Y.; Lu, Q.; Zhao, Q.; Ma, Z.; Zhou, P. Assessment of environmental capacity based on arcgis in core area of Changsha-Zhuzhou-Xiangtan urban group. Resour. Environ. Yangtze Basin 2012, 21, 1542–1548. [Google Scholar]
- Chai, H.; He, N. Evaluation of soil bulk density in Chinese terrestrial ecosystems for determination of soil carbon storage on a regional scale. Acta Ecol. Sin. 2016, 36, 3903–3910. [Google Scholar]
- MEE. GB15618-2018; Soil Environmental Quality Risk Control Standard for Soil Contamination of Agricultural Land. Ministry of Ecology and Environment of the PRC: Beijing, China, 2018.
- Chen, T.; Zheng, Y.; Chen, H.; Zheng, G. Background concentrations of soil heavy metals in Beijing. Environ. Sci. 2004, 15, 117–122. [Google Scholar]
- MEE; CNEMC. Background Values of Soil Elements in China; China Environmental Science Press: Beijing, China, 1990. [Google Scholar]
- Chen, Q.; Gao, Y.; Ni, R.; Pan, Y.; Yan, Y.; Yang, J.; Liu, X.; Gu, X. Temporal and spatial variation characteristics of heavy metal in atmospheric deposition in china from 2000 to 2018. Environ. Sci. 2022, 43, 4413–4424. [Google Scholar]
- Cliff, A.D.; Ord, J.K. Spatial Processes: Models and Applications; Pion Ltd: London, UK, 1981. [Google Scholar]
- Anselin, L. Local Indicators of Spatial Association—LISA. Geogr. Anal. 1995, 27, 93–115. [Google Scholar] [CrossRef]
- Guo, S.; Wu, B.; Li, B.; Zhang, L.; Jing, G. Draft of soil environmental quality regionalization of China. Acta Sci. Circumstantiae 2017, 37, 3127–3138. [Google Scholar]
- Liu, B. A research on the economic regionalizing of China. China Soft Sci. 2009, 2, 81–90. [Google Scholar]
- Zheng, J.; Ying, Y.; Li, B. A new scheme for climate regionalization in China. Acta Geogr. Sin. 2010, 65, 3–12. [Google Scholar]
- Pan, Y.P.; Wang, Y.S. Atmospheric wet and dry deposition of trace elements at 10 sites in Northern China. Atmos. Chem. Phys. 2015, 15, 951–972. [Google Scholar] [CrossRef]
- Tang, Y.; Han, G. Characteristics of major elements and heavy metals in atmospheric dust in Beijing, China. J. Geochem. Explor. 2017, 176, 114–119. [Google Scholar] [CrossRef]
- Tian, H.Z.; Zhu, C.Y.; Gao, J.J.; Cheng, K.; Hao, J.M.; Wang, K.; Hua, S.B.; Wang, Y.; Zhou, J.R. Quantitative assessment of atmospheric emissions of toxic heavy metals from anthropogenic sources in China: Historical trend, spatial distribution, uncertainties, and control policies. Atmos. Chem. Phys. 2015, 15, 10127–10147. [Google Scholar] [CrossRef]
- Ni, R.; Ma, Y. Current inventory and changes of the input/output balance of trace elements in farmland across China. PLoS ONE 2018, 13, e199460. [Google Scholar] [CrossRef]
- Wang, M.; Yuan, M.; Su, D. Characteristics and spatial-temporal variation of heavy metals in atmospheric dry and wet deposition of China. China Environ. Sci. 2017, 37, 4085–4096. [Google Scholar]
- Peng, H.; Chen, Y.; Weng, L.; Ma, J.; Ma, Y.; Li, Y.; Islam, M.S. Comparisons of heavy metal input inventory in agricultural soils in North and South China: A review. Sci. Total Environ. 2019, 660, 776–786. [Google Scholar] [CrossRef] [PubMed]
- Muezzinoglu, A.; Cizmecioglu, S.C. Deposition of heavy metals in a Mediterranean climate area. Atmos. Res. 2006, 81, 1–16. [Google Scholar] [CrossRef]
- Weerasundara, L.; Amarasekara, R.W.K.; Magana-Arachchi, D.N.; Ziyath, A.M.; Karunaratne, D.G.G.P.; Goonetilleke, A.; Vithanage, M. Microorganisms and heavy metals associated with atmospheric deposition in a congested urban environment of a developing country: Sri Lanka. Sci. Total Environ. 2017, 584–585, 803–812. [Google Scholar] [CrossRef] [PubMed]
- Castillo, S.; de la Rosa, J.D.; Sánchez De La Campa, A.M.; González-Castanedo, Y.; Fernández-Camacho, R. Heavy metal deposition fluxes affecting an Atlantic coastal area in the southwest of Spain. Atmos. Environ. 2013, 77, 509–517. [Google Scholar] [CrossRef]
- Kyllönen, K.; Karlsson, V.; Ruoho-Airola, T. Trace element deposition and trends during a ten year period in Finland. Sci. Total Environ. 2009, 407, 2260–2269. [Google Scholar] [CrossRef]
- Mijić, Z.; Stojić, A.; Perišić, M.; Rajšić, S.; Tasić, M.; Radenković, M.; Joksić, J. Seasonal variability and source apportionment of metals in the atmospheric deposition in Belgrade. Atmos. Environ. 2010, 44, 3630–3637. [Google Scholar] [CrossRef]
- Motelay-Massei, A.; Ollivon, D.; Tiphagne, K.; Garban, B. Atmospheric bulk deposition of trace metals to the Seine river Basin, France: Concentrations, sources and evolution from 1988 to 2001 in Paris. Water Air Soil Pollut. 2005, 164, 119–135. [Google Scholar] [CrossRef]
- Six, L.; Smolders, E. Future trends in soil cadmium concentration under current cadmium fluxes to European agricultural soils. Sci. Total Environ. 2014, 485–486, 319–328. [Google Scholar] [CrossRef] [PubMed]
- Yang, Z.; Lu, W.; Long, Y. Atmospheric dry and wet deposition of heavy metals in Changchun City, China. Res. Environ. Sci. 2009, 22, 28–34. [Google Scholar]
- Tang, Q.; Yang, Z.; Zhang, B.; Feng, H.; Wang, H. A study of elements flux and sources from atmospheric bulk deposition in the Chengdu economic region. Earth Sci. Front. 2007, 14, 213–222. [Google Scholar]
- Feng, W.; Guo, Z.; Xiao, X.; Peng, C.; Shi, L.; Ran, H.; Xu, W. Atmospheric deposition as a source of cadmium and lead to soil-rice system and associated risk assessment. Ecotox. Environ. Saf. 2019, 180, 160–167. [Google Scholar] [CrossRef]
- Sakata, M.; Tani, Y.; Takagi, T. Wet and dry deposition fluxes of trace elements in Tokyo Bay. Atmos. Environ. 2008, 42, 5913–5922. [Google Scholar] [CrossRef]
- Si, Y.D.; Wang, H.M.; Cai, K.; Chen, L.F.; Zhou, Z.C.; Li, S.S. Long-term (2006–2015) variations and relations of multiple atmospheric pollutants based on multi-remote sensing data over the North China Plain. Environ. Pollut. 2019, 255, 113323. [Google Scholar] [CrossRef]
- Zhou, L.; Zhou, C.; Yang, F.; Che, L.; Wang, B.; Sun, D. Spatio-temporal evolution and the influencing factors of PM2.5 in China between 2000 and 2015. J. Geogr. Sci. 2019, 29, 253–270. [Google Scholar] [CrossRef]
- MEP. GB13223-2011; Emission Standards of Air Pollutants for Thermal Power Plants. Ministry of Environmental Protection of the PRC: Beijing, China, 2011.
- MEP. 12th Five-Year Plan for the Prevention and Control of Air Pollution in Crucial Regions; Ministry of Environmental Protection of the PRC: Beijing, China, 2012.
- SCPRC. Action Plan of Air Pollution Prevention and Control; State Council of the RPC: Beijing, China, 2013.
- Hou, J.; Shen, Y.; Cao, S.; Cheng, X.; Wang, W. Geochemical study of atmospheric dry and wet deposition in Tianjin City. Geol. Surv. Res. 2013, 36, 131–135. [Google Scholar]
- Wang, W.; Cao, S.; Li, G.; Zhang, Y. Sedimentation flux and its evaluation of dry and wet atmospheric deposition of heavy metal elements in north Tianjin. Environ. Sci. Manag. 2017, 42, 46–51. [Google Scholar]
- NBSC. China Statistical Yearbook 2013; China Statistics Press: Beijing, China, 2013.
- Chen, L.; Ni, W.; Li, X.; Sun, J. Investigation of heavy metal concentrations in commercial fertilizers commonly-used. J. Zhejiang Sci. Tech. Univ. 2009, 26, 223–227. [Google Scholar]
- Nziguheba, G.; Smolders, E. Inputs of trace elements in agricultural soils via phosphate fertilizers in European countries. Sci. Total Environ. 2008, 390, 53–57. [Google Scholar] [CrossRef] [PubMed]
- Qiu, H. Regional differences and development tendency of livestock manure pollution in China. Environ. Sci. 2013, 34, 2766–2774. [Google Scholar]
- Mu, H.; Zhuang, Z.; Li, Y.; Qiao, Y.; Chen, Q.; Xiong, J.; Guo, L.; Jiang, R.; Li, H. Heavy metal contents in animal manure in China and the related soil accumulation risks. Environ. Sci. 2020, 41, 986–996. [Google Scholar]
- Yuan, K.; Xiong, S.; Liang, J.; Li, Y.; Qiao, Y.; Li, H.; Chen, Q. Status and risk analysis of copper and zinc pollution in livestock manure. J. Agro-Environ. Sci. 2020, 39, 1837–1842. [Google Scholar]
- MOA. The Safety Specification for Feed Additives; Ministry of Agriculture of the PRC: Beijing, China, 2009.
- MOA. NY525-2012; Organic Fertilizer. Ministry of Agriculture of the PRC: Beijing, China, 2012.
- SCPRC. The Opinions on Accelerating the Utilization of Livestock and Poultry Waste Resources; State Council of the PRC: Beijing, China, 2017.
- Ren, J. Preliminary Research on Effects and Controls of Irrigation Water on Heavy Metal Pollution of Farmlands. Master’s Thesis, Lanzhou Jiaotong University, Lanzhou, China, April 2020. [Google Scholar]
- Li, Q.; Tang, J.; Wang, T.; Wu, D. Impacts of sewage irrigation on soil properties of farmland in China: A review. Solid Earth 2017, 87, 1–24. [Google Scholar] [CrossRef]
- Geng, Y.; Zhang, C.; Zhang, Y.; Huang, D.; Yan, S.; Sun, T.; Wang, J.; Mao, Y. Heavy metal(loid)s in sewage sludge in China: Concentrations and spatial-temporal variations. Environ. Sci. Pollut. R. 2021, 28, 29146–29156. [Google Scholar] [CrossRef]
- Wang, H. Development history and future prospects of sewage treatment industry in China. Environ. Prot. 2012, 15, 19–22. [Google Scholar]
- Wang, H. Wastewater recycling is the fundamental way to break through development. Water Wastewater Eng. 2021, 57, 1–5. [Google Scholar]
- NDRC. 14th Five-Year Plan of Urban Sewage Treatment and Resource Utilization Development; National Development and Reform Commission of the PRC: Beijing, China, 2021.
- SEPA. GB18918-2002; Discharge Standard of Pollutants for Municipal Wastewater Treatment Plant. State Environmental Protection Administration of the PRC: Beijing, China, 2002.
- MEP. GB25466-2010; Emission Standard of Pollutants for Lead and Zinc Industry. Ministry of Environmental Protection of the PRC: Beijing, China, 2010.
- MEP. GB30770-2014; Emission Standards of Pollutants for Stannum, Antimony and Mercury Industries. Ministry of Environmental Protection of the PRC: Beijing, China, 2014.
- Gong, Z.; Huang, R.; Zhang, G. Soil Geography of China; Science Press: Beijing, China, 2014. [Google Scholar]
- Khatri, N.; Tyagi, S. Influences of natural and anthropogenic factors on surface and groundwater quality in rural and urban areas. Front. Life Sci. 2015, 8, 23–39. [Google Scholar] [CrossRef]
- Jaskuła, J.; Sojka, M.; Fiedler, M.; Wróżyński, R. Analysis of Spatial Variability of River Bottom Sediment Pollution with Heavy Metals and Assessment of Potential Ecological Hazard for the Warta River, Poland. Minerals 2021, 11, 327. [Google Scholar] [CrossRef]
- Zhang, J.; Li, X.; Guo, L.; Deng, Z.; Wang, D.; Liu, L. Assessment of heavy metal pollution and water quality characteristics of the reservoir control reaches in the middle Han River, China. Sci. Total Environ. 2021, 799, 149472. [Google Scholar] [CrossRef] [PubMed]
- Yu, B.; Wu, K. Eco-risk regionalization and control of heavy metal in soil with high background value. Acta Agric. Univ. Jiangxiensis 2018, 40, 629–634. [Google Scholar]
- Chuan, L.; Zhao, T.; Zheng, H.; Zhao, J.; Zhang, X.; Tan, C.; Li, G. Research advances in remediation of heavy metal contaminated soils. Environ. Sci. Technol. 2014, 37, 213–222. [Google Scholar]
- Yao, H.; Yang, T.; He, L.; Wu, J.; Yang, Z.; Wei, H. Assessment of heavy metal pollution and potential ecological risks of the soils in karst farmland with high background levels of cadmium and arsenic in Eastern Yunnan. J. Northwest For. Univ. 2022, 37, 29–36. [Google Scholar]
- Liu, F.; Li, L.; Liu, Y.; Wei, J.; Hou, Z.; Chen, R.; Zhang, X. Evaluation and sources of heavy metal pollution in soils of cultivated land around a lead-zinc mine area in Hebei province. J. Arid. Land Resour. Environ. 2023, 37, 136–142. [Google Scholar]
- Shi, H.; Wang, P.; Zheng, J.; Xiao, R.; Deng, Y.; Zhuang, C. Spatial distribution of soil heavy metals and regional control strategies in china at province level. Environ. Sci. 2022, 1–17. [Google Scholar]
- Yue, T. Study on Temporal-Spatial Characteristics and Abatement Potential of Air Pollutants Emission from Industrial Boilers of China; Zhejiang University: Hangzhou, China, 2019. [Google Scholar]
- Liu, H.; Zhou, J.; Li, M.; Xia, R.; Wang, X.; Zhou, J. Dynamic behaviors of newly deposited atmospheric heavy metals in the soil-pak choi system. Environ. Sci. Technol. 2022, 56, 12734–12744. [Google Scholar] [CrossRef]
- Qiao, P.; Wang, S.; Lei, M.; Guo, G.; Yang, J.; Wei, Y.; Gou, Y.; Li, P.; Zhang, Z. Influencing factors identification and the nested structure analysis of heavy metals in soils in entire city and surrounding the multiple pollution sources. J. Hazard. Mater. 2023, 449, 130961. [Google Scholar] [CrossRef]







| Atmospheric Deposition | Fertilizer | Irrigation | |||||||
|---|---|---|---|---|---|---|---|---|---|
| Moran’s I | z | p | Moran’s I | z | p | Moran’s I | z | p | |
| As | 0.25 | 5.58 | 0 | 0.21 | 3.93 | 0 | 0.37 | 5.31 | 0 |
| Cd | 0.39 | 7.53 | 0 | 0.21 | 3.76 | 0 | 0.41 | 6.02 | 0 |
| Cr | 0.18 | 3.76 | 0 | 0.32 | 4.82 | 0 | 0.45 | 6.24 | 0 |
| Cu | 0.19 | 3.43 | 0 | 0.52 | 7.38 | 0 | 0.32 | 4.66 | 0 |
| Hg | 0.21 | 5.1 | 0 | 0.58 | 9.35 | 0 | 0.53 | 8.52 | 0 |
| Ni | 0.09 | 1.26 | 0.21 | 0.09 | 1.08 | 0.28 | 0.65 | 7.47 | 0 |
| Pb | 0.14 | 2.97 | 0 | 0.07 | 1.63 | 0.1 | 0.45 | 7.49 | 0 |
| Zn | 0.17 | 3.2 | 0 | 0.08 | 1.22 | 0.22 | 0.33 | 4.48 | 0 |
| Atmospheric Deposition | Fertilizer | Irrigation | |||||||
|---|---|---|---|---|---|---|---|---|---|
| Period | Region | Interaction | Period | Region | Interaction | Period | Region | Interaction | |
| As | 0.056 | 0.195 *** | 0.423 *** | 0.047 | 0.248 ** | 0.308 *** | 0.056 | 0.352 *** | 0.451 *** |
| Cd | 0.028 ** | 0.183 ** | 0.460 *** | 0.081 ** | 0.232 *** | 0.344 *** | 0.006 | 0.181 *** | 0.418 *** |
| Cr | 0.305 *** | 0.271 *** | 0.443 *** | 0.126 | 0.468 ** | 0.488 *** | 0.182 * | 0.535 *** | 0.566 *** |
| Cu | 0.067 ** | 0.137 | 0.354 *** | 0.206 ** | 0.415 *** | 0.553 *** | 0.125 * | 0.363 *** | 0.656 *** |
| Hg | 0.046 | 0.237 ** | 0.592 *** | 0.249 *** | 0.292 *** | 0.595 *** | 0.196 ** | 0.408 ** | 0.904 *** |
| Ni | 0.369 *** | 0.263 ** | 0.513 *** | 0.001 | 0.343 | 0.548 *** | 0.247 * | 0.814* ** | 0.833 *** |
| Pb | 0.073 *** | 0.182 *** | 0.489 *** | 0.059 | 0.165 * | 0.305 *** | 0.123 *** | 0.138 * | 0.493 *** |
| Zn | 0.042 | 0.078 | 0.252 *** | 0.031 | 0.129 | 0.203 | 0.047 | 0.25 * | 0.469 *** |
| Region/Country | Period | As | Cd | Cr | Cu | Hg | Ni | Pb | Zn | Ref. |
|---|---|---|---|---|---|---|---|---|---|---|
| NEC | 2000–2021 | 0.63 | 0.04 | 0.59 | 0.68 | 0.003 | - | 0.22 | 6.33 | This study |
| SC | 2000–2021 | 0.47 | 0.11 | 1.88 | 2.38 | 0.027 | 0.76 | 1.57 | 7.09 | |
| HHH | 2000–2021 | 1.01 | 0.1 | 1.57 | 1.13 | 0.019 | 1.4 | 0.97 | 6.07 | |
| LP | 2000–2021 | 0.66 | 0.04 | - | 0.51 | 0.022 | - | 1.66 | - | |
| SYR | 2000–2021 | 0.16 | 0.03 | 0.81 | 0.73 | 0.013 | 0.18 | 0.24 | 5.48 | |
| SB | 2000–2021 | 0.68 | 0.08 | 2.76 | 1.2 | 0.011 | 0.99 | 0.8 | 4.26 | |
| NWC | 2000–2021 | - | - | - | - | - | - | - | - | |
| YGP | 2000–2021 | - | - | - | - | - | - | - | - | |
| MLYR | 2000–2021 | 0.39 | 0.02 | 0.91 | 0.6 | 0.003 | 0.28 | 0.49 | 2.5 | |
| China | 2000–2021 | 0.59 | 0.05 | 1.02 | 1.04 | 0.012 | 0.9 | 0.77 | 5.14 | |
| England and Wales | 2000 | 0.12 | 0.17 | 1.76 | 0.69 | <0.1 | 0.36 | 0.14 | 3.67 | [11] |
| Europe (Phosphate) | 1999–2000 | 0.23 | 0.16 | 2.07 | - | - | 0.36 | 0.1 | 4.31 | [84] |
| Region/Country | Period | As | Cd | Cr | Cu | Hg | Ni | Pb | Zn | Ref. |
|---|---|---|---|---|---|---|---|---|---|---|
| NEC | 2000–2021 | 0.45 | 0.13 | 4.11 | 14.98 | 0.009 | 1.27 | 1.2 | 44.19 | This study |
| SC | 2000–2021 | 0.78 | 0.18 | 4.97 | 32.03 | 0.013 | 1.64 | 1.4 | 79.72 | |
| HHH | 2000–2021 | 0.86 | 0.25 | 7.51 | 32.05 | 0.019 | 2.34 | 2.11 | 86.94 | |
| LP | 2000–2021 | 0.17 | 0.04 | 1.14 | 7.1 | 0.004 | 0.4 | 0.36 | 17.25 | |
| SYR | 2000–2021 | 0.57 | 0.13 | 3.57 | 24.77 | 0.009 | 1.17 | 0.96 | 57.84 | |
| SB | 2000–2021 | 0.49 | 0.11 | 3.04 | 23.2 | 0.009 | 1.01 | 0.77 | 50.23 | |
| NWC | 2000–2021 | 0.27 | 0.11 | 2.75 | 8.62 | 0.015 | 1 | 1.12 | 26.74 | |
| YGP | 2000–2021 | 0.33 | 0.07 | 1.75 | 15.03 | 0.006 | 0.62 | 0.54 | 33.58 | |
| MLYR | 2000–2021 | 0.86 | 0.23 | 6.67 | 32.41 | 0.016 | 2.18 | 1.86 | 86.64 | |
| China | 2000–2021 | 0.6 | 0.16 | 4.65 | 23.12 | 0.013 | 1.51 | 1.35 | 60.38 | |
| England and Wales | 2000 | 6.17 | 1.88 | 17.9 | 453.4 | 0.1 | 27.4 | 23.7 | 1131.2 | [11] |
| Region/Country | Period | As | Cd | Cr | Cu | Hg | Ni | Pb | Zn | Ref. |
|---|---|---|---|---|---|---|---|---|---|---|
| NEC | 2000–2021 | 0.03 | nd | 0.2 | 0.5 | 0.001 | 0.02 | 0.1 | 0.5 | This study |
| SC | 2000–2021 | 1.63 | 0.18 | 7.34 | 3.56 | 0.032 | 5.29 | 1.38 | 14.3 | |
| HHH | 2000–2021 | 2.86 | 0.15 | 0.94 | 1.03 | 0.133 | 0.85 | 2.14 | 15.11 | |
| LP | 2000–2021 | 2.1 | 0.11 | 4.1 | 2.42 | 0.06 | 1.12 | 0.95 | 9.74 | |
| SYR | 2000–2021 | 0.46 | 0.1 | 0.33 | 2.43 | 0 | 5.31 | 0.41 | 7.04 | |
| SB | 2000–2021 | 4.08 | 0.05 | 2.74 | 0.01 | 0.247 | 0 | 1.04 | 0.02 | |
| NWC | 2000–2021 | - | 0.01 | - | - | - | - | - | - | |
| YGP | 2000–2021 | - | - | - | - | - | - | - | - | |
| MLYR | 2000–2021 | 2.92 | 0.09 | 1.98 | 1.86 | 0.042 | 2.75 | 1.81 | 9.59 | |
| China | 2000–2021 | 1.83 | 0.1 | 2.39 | 1.79 | 0.046 | 0.8 | 1.34 | 8.26 | |
| England and Wales | 2000 | 0.12 | 0.01 | 0.01 | 1.6 | nd | 0.16 | 0.08 | 3.9 | [11] |
Disclaimer/Publisher’s Note: The statements, opinions and data contained in all publications are solely those of the individual author(s) and contributor(s) and not of MDPI and/or the editor(s). MDPI and/or the editor(s) disclaim responsibility for any injury to people or property resulting from any ideas, methods, instructions or products referred to in the content. |
© 2023 by the authors. Licensee MDPI, Basel, Switzerland. This article is an open access article distributed under the terms and conditions of the Creative Commons Attribution (CC BY) license (https://creativecommons.org/licenses/by/4.0/).
Share and Cite
Ma, W.; Pan, Y.; Sun, Z.; Liu, C.; Li, X.; Xu, L.; Gao, Y. Input Flux and the Risk of Heavy Metal(Loid) of Agricultural Soil in China: Based on Spatiotemporal Heterogeneity from 2000 to 2021. Land 2023, 12, 1240. https://doi.org/10.3390/land12061240
Ma W, Pan Y, Sun Z, Liu C, Li X, Xu L, Gao Y. Input Flux and the Risk of Heavy Metal(Loid) of Agricultural Soil in China: Based on Spatiotemporal Heterogeneity from 2000 to 2021. Land. 2023; 12(6):1240. https://doi.org/10.3390/land12061240
Chicago/Turabian StyleMa, Wenyu, Yuchun Pan, Zaijin Sun, Changhua Liu, Xiaolan Li, Li Xu, and Yunbing Gao. 2023. "Input Flux and the Risk of Heavy Metal(Loid) of Agricultural Soil in China: Based on Spatiotemporal Heterogeneity from 2000 to 2021" Land 12, no. 6: 1240. https://doi.org/10.3390/land12061240
APA StyleMa, W., Pan, Y., Sun, Z., Liu, C., Li, X., Xu, L., & Gao, Y. (2023). Input Flux and the Risk of Heavy Metal(Loid) of Agricultural Soil in China: Based on Spatiotemporal Heterogeneity from 2000 to 2021. Land, 12(6), 1240. https://doi.org/10.3390/land12061240
