The Impact and Mechanism of the Increased Integration of Urban Agglomerations on the Eco-Efficiency of Cities in the Region—Taking the Chengdu–Chongqing Urban Agglomeration in China as an Example
Abstract
1. Introduction
2. Materials and Methods
2.1. Study Area and Data Sources
2.2. Indicator System
- (1)
- Measurement of regional integration level
- (2)
- EE measurement of cities
2.3. Weight Determination
2.4. Other Methods
- (1)
- Market Segmentation Index
- (2)
- Krugman Index
- (3)
- Similar coefficient of industrial structure
- (4)
- Super-SBM model
3. Results
3.1. The Regional Integration Level of the CCUA Is Constantly Improving
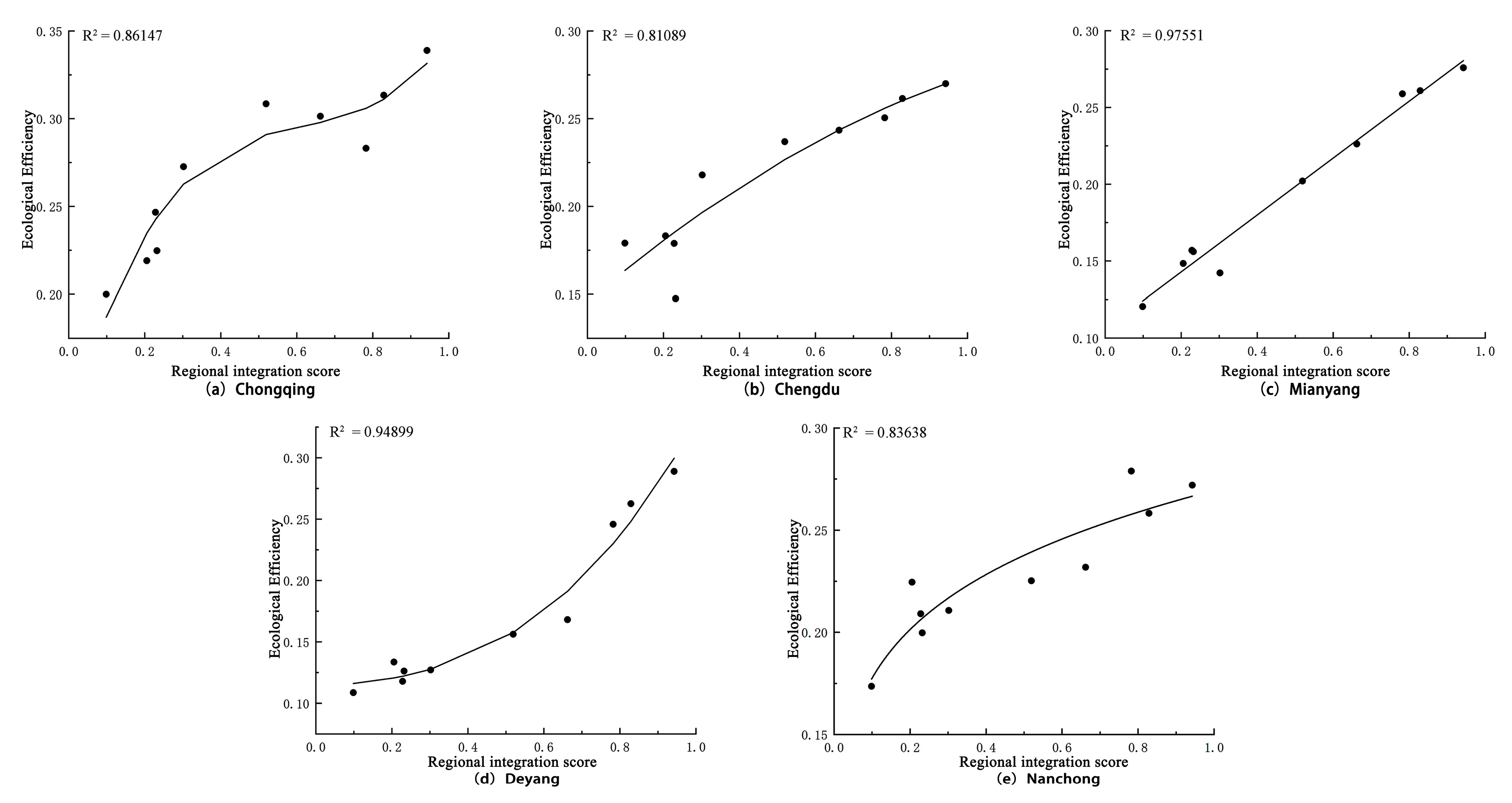
3.2. Regional Integration Has Enhanced the EEs of Cities in the Region
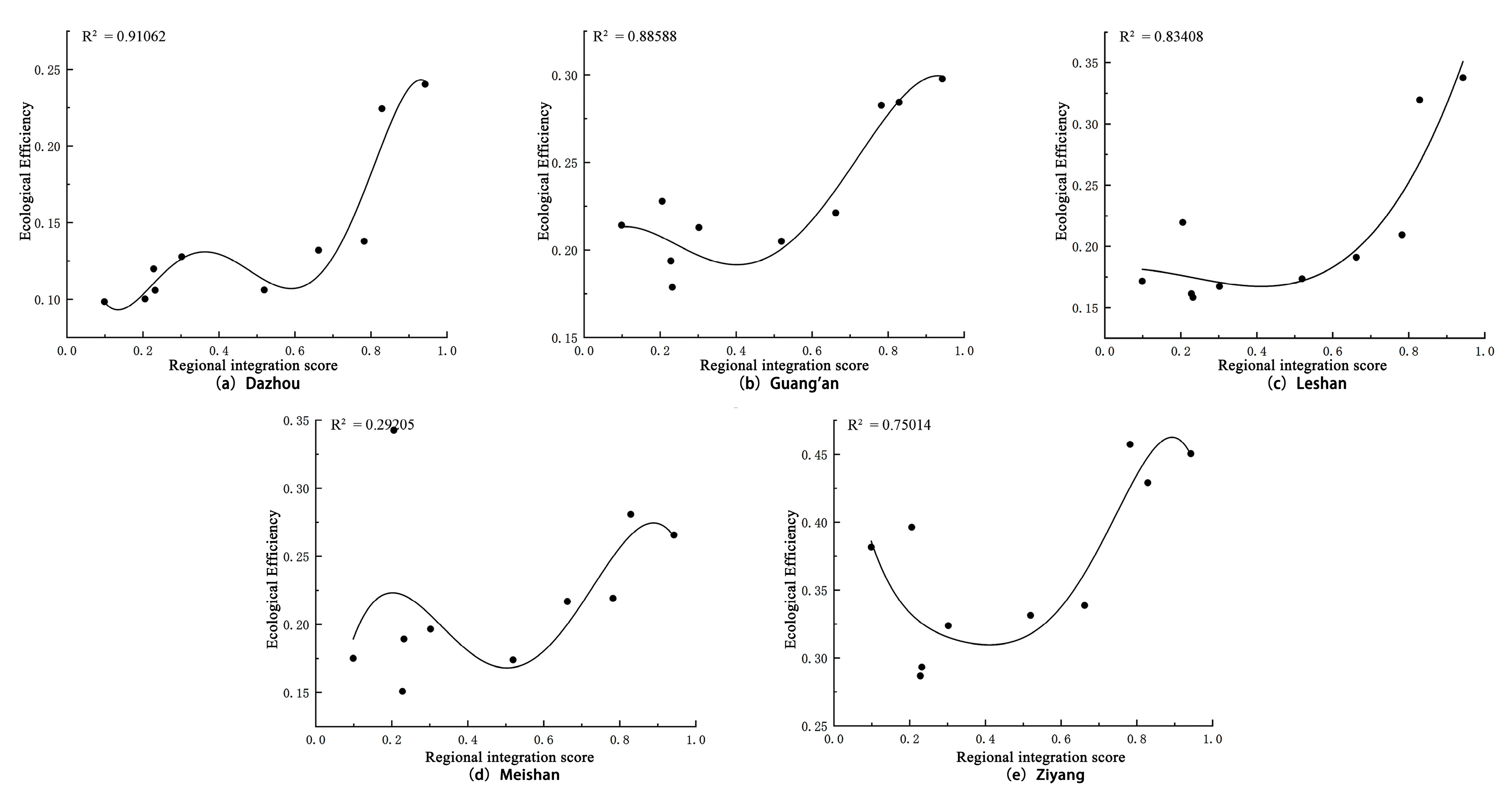
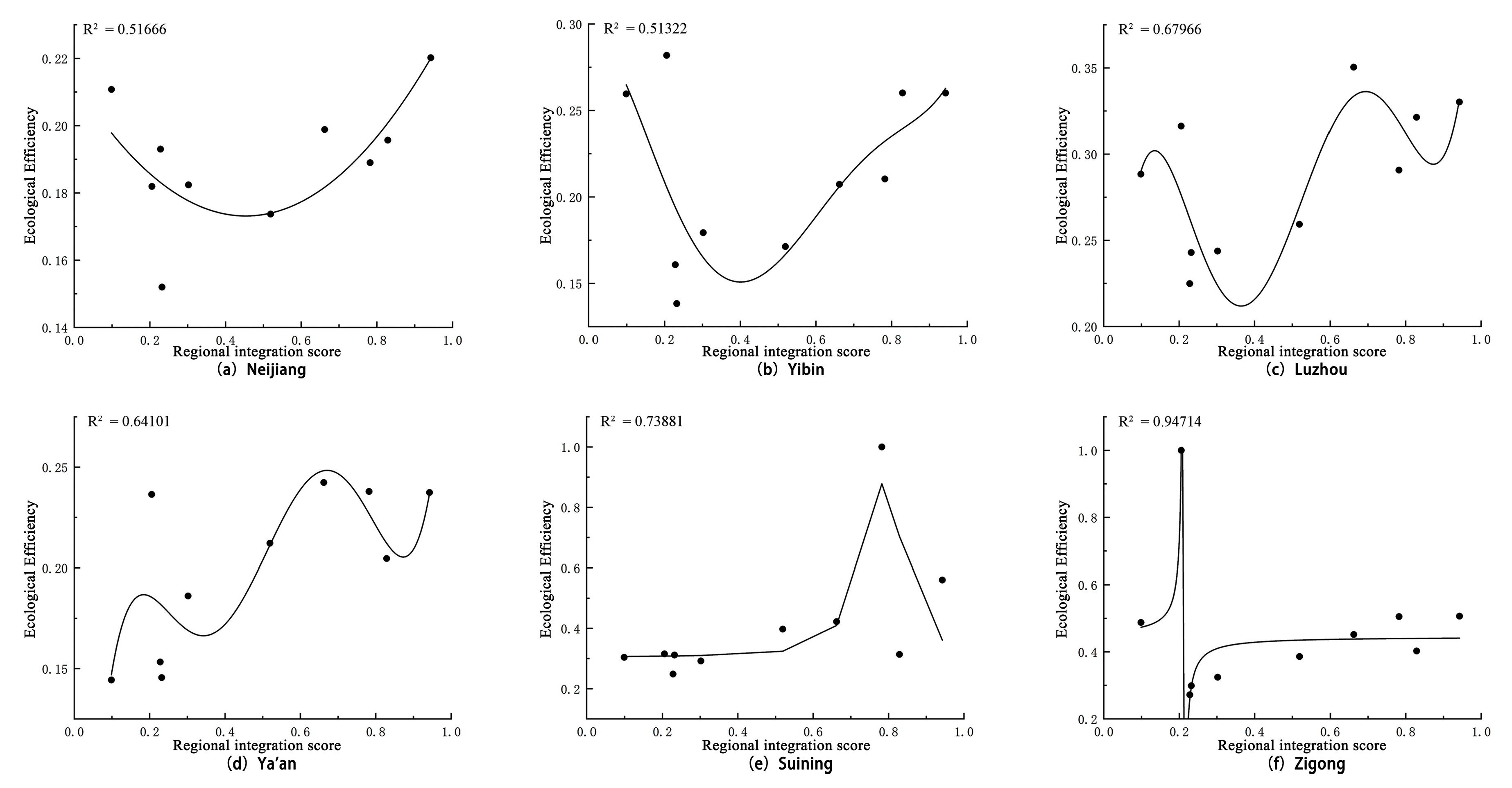
3.3. Regional Integration Has Not Really Improved the EEs of Cities in the Region
3.4. Mechanism Analysis
4. Discussion
5. Conclusions
Author Contributions
Funding
Institutional Review Board Statement
Informed Consent Statement
Data Availability Statement
Conflicts of Interest
References
- Spiridonov, V.; Shabiev, S.; Aliukov, S. Scientific Aspects of the Study of Transcontinental Relations and Global Settlement. Land 2022, 11, 342. [Google Scholar] [CrossRef]
- Chen, T.; He, C. Research Progress in International Trade Geography. Prog. Geogr. Sci. 2020, 39, 1732–1746. Available online: https://kns.cnki.net/kcms/detail/detail.aspx?dbcode=CJFD&dbname=CJFDLAST2020&filename=DLKJ202010012&uniplatform=NZKPT&v=Qe-SZJMirTb1TD9pJdgvs1azgLWYWUsWXzeRBjFjhw4AVyagaQuLkYYEws7BTcku (accessed on 20 January 2023). [CrossRef]
- Sun, J.; Jiang, Z. The Path of High-quality Development in Coastal Areas of China. Acta Geogr. Sin. 2021, 76, 277–294. [Google Scholar] [CrossRef]
- Havens, R.M.; Balassa, B. The Theory of Economic Integration. J. Political Econ. 1961, 29, 47. [Google Scholar] [CrossRef]
- Aggarwal, V.K.; Koo, M.G. Beyond Network Power? The Dynamics of Formal Economic Integration in Northeast Asia. Pac. Rev. 2005, 18, 189–216. [Google Scholar] [CrossRef]
- Schiff, M.; Winters, L.A. Regional Integration and Development. World Bank Publ. 2003, 82, 171. [Google Scholar] [CrossRef]
- Lu, D.; Zhang, Q. Analysis on the Degree of Regional Integration in Beijing-Tianjin Region. China Popul. Resour. Environ. 2010, 20, 162–167. [Google Scholar] [CrossRef]
- Chen, Z.; Knez, P.J. Measurement of Market Integration and Arbitrage. Rev. Financ. Stud. 2015, 2, 2. [Google Scholar] [CrossRef]
- Estrada, M. The Global Dimension of the Regional Integration Model (GDRI-Model). Mod. Econ. 2013, 4, 346–369. [Google Scholar] [CrossRef]
- Chen, H.; Li, G. Study on the Level and Procedure of Beijing-Tianjin-Hebei Metropolitan Regional Market Integration from 1985 to 2007. Geogr. Res. 2009, 28, 1476–1483. Available online: https://kns.cnki.net/kcms/detail/detail.aspx?FileName=DLYJ200906004&DbName=CJFQ2009 (accessed on 20 January 2023).
- Lou, W. Measurement and Comparison of Regional Economic Integration in Beijing-Tianjin-Hebei, Yangtze River Delta and Pearl River Delta. Stat. Obs. 2014, 2, 90–92. [Google Scholar] [CrossRef]
- Duan, D.; Chen, Y.; Du, D. Research on the Regional Integration Development of China’s Three Major Urban Agglomerations from the Perspective of Technology Transfer. Sci. Geogr. Sin. 2019, 39, 1581–1591. [Google Scholar] [CrossRef]
- Chen, L.; Li, X.; Du, Z.; Long, R. The Spatial Effect of the Economic Growth of Changsha-Zhuzhou-Tanzhou Integration. Econ. Geogr. 2016, 36, 64–72. [Google Scholar] [CrossRef]
- Lu, X.; Bai, M.; Kuang, B.; Chen, D. Unlocking the Relationship between Land Finance and Regional Integration. Land 2021, 10, 895. [Google Scholar] [CrossRef]
- Li, H.; Huang, F.; Xu, Y. Does regional economic integration promote foreign capital inflow?—Based on empirical analysis of Yangtze River Delta Urban Agglomeration. Inq. Into Econ. Issues 2020, 10, 81–93. Available online: https://kns.cnki.net/kcms2/article/abstract?v=3uoqIhG8C44YLTlOAiTRKibYlV5Vjs7i8oRR1PAr7RxjuAJk4dHXolRJKeYjvqtwRqlWwR3u-wVBu76U-QT2Cv3K5wQp5XwC&uniplatform=NZKPT&src=copy (accessed on 2 March 2023).
- Zhang, K. Regional Integration, Environmental pollution and Social welfare. J. Financ. Res. 2020, 12, 114–131. Available online: https://kns.cnki.net/kcms2/article/abstract?v=3uoqIhG8C44YLTlOAiTRKibYlV5Vjs7iy_Rpms2pqwbFRRUtoUImHeMqUPQGxLI-4GKUlW9mryNwFIDhvwOjiYEQaYUIC_cv&uniplatform=NZKPT&src=copy (accessed on 2 March 2023).
- Baas, T.; Brücker, H. Macroeconomic Impact of Eastern Enlargement on Germany and UK: Evidence From a CGE Model. Appl. Econ. Lett. 2010, 17, 125–128. [Google Scholar] [CrossRef]
- Elsner, B. Does Emigration Benefit the Stayers? Evidence from EU Enlargement. Soc. Sci. Res. Netw. 2012, 26, 531–553. Available online: https://www.xueshufan.com/publication/3123223777 (accessed on 20 January 2023). [CrossRef]
- Wang, X.; Xie, X. The Employment Effect of Regional Integration from the Perspective of Economic Growth and Industrial Agglomeration: An Empirical Study based on the Yangtze River Economic Belt. Inq. Into Econ. Issues 2018, 6, 84–90. Available online: https://kns.cnki.net/kcms2/article/abstract?v=3uoqIhG8C44YLTlOAiTRKibYlV5Vjs7i0-kJR0HYBJ80QN9L51zrP4OHrQwwfsAoty3ZHDUs8ix-si2cM_QoNHl-rqnk0R6N&uniplatform=NZKPT&src=copy (accessed on 2 March 2023).
- Xu, Z.; Gao, Y.; Huo, Z. Regional Economic Integration, Producer services Agglomeration and Manufacturing Industry Transformation and Upgrading. Forum Sci. Technol. China 2022, 1, 122–130. [Google Scholar] [CrossRef]
- Xheneti, M.; Smallbone, D.; Welter, F. EU Enlargement Effects on Cross-border Informal Entrepreneurial Activities. Eur. Urban Reg. Stud. 2013, 20, 314–328. [Google Scholar] [CrossRef]
- Combes, P.P.; Mayer, T.; Thisse, J.F. Economic Geography: The Integration of Regions and Nations. Post-Print 2008, 37, 126–128. [Google Scholar] [CrossRef]
- Krugman, P. Increasing Returns and Economic Geography. Soc. Sci. Electron. Publ. 1991, 99, 83–499. [Google Scholar] [CrossRef]
- Fujita, M.; Thisse, J.F. Economics of Agglomeration: Cities, Industrial Location, and Regional Growth; Cambridge University Press: Cambridge, UK, 2002; pp. 351–387. [Google Scholar] [CrossRef]
- Wang, X.; Xie, X.; Sun, B. Technological Progress Effect Path of Regional Integration: Based on the Empirical Data of the Yangtze River Economic Belt. East China Econ. Manag. 2019, 33, 64–71. [Google Scholar] [CrossRef]
- Wu, Q.; Li, H. Study on Energy Efficiency in the Middle Reaches of the Yangtze River City Group. China Popul. Resour. Environ. 2016, 26, 140–146. [Google Scholar] [CrossRef]
- Li, P. Environment Technical Efficiency Green Productivity and Sustainable Development. Res. Quant. Econ. Technol. Econ. 2017, 34, 3–23. [Google Scholar] [CrossRef]
- You, J.; Chen, X. Whether Regional Integration Cooperation Leads to Pollution Transfer: Evidence from the Enlargementf the Yangtze River Delta Urban Cluster. China Popul. Resour. Environ. 2019, 29, 118–129. [Google Scholar] [CrossRef]
- Li, G.; Gao, D.; Lu, S. Regional Integration and Green Development of Urban Agglomerations: Quasi-natural Experiment Based on Yangtze River Delta Expansion. Econ. Surv. 2022, 39, 22–31. [Google Scholar] [CrossRef]
- Deng, R.; Zhang, A.; Tang, Y. Impact of Integrated Development of the Yangtze River Economic Belt on Urban Ecological Efficiency—An Empirical Analysis Based on PSM-DID Model. Soft Sci. 2021, 35, 22–27. [Google Scholar] [CrossRef]
- Guo, Y.; Cao, X.Z.; Wei, W.D.; Zeng, G. The Impact of Regional Integration in the Yangtze River Delta on Urban Carbon Emissions. Geogr. Res. 2022, 41, 181–192. [Google Scholar] [CrossRef]
- Zhang, K. Is Regional Integration Conducive to Reducing Emissions? J. Financ. Res. 2018, 1, 67–83. Available online: https://kns.cnki.net/kcms2/article/abstract?v=3uoqIhG8C44YLTlOAiTRKibYlV5Vjs7i0-kJR0HYBJ80QN9L51zrP-cGZW45rQ6gBqKixHdGBcX3k2lqpyjWWglrgywvZTSV&uniplatform=NZKPT&src=copy (accessed on 2 March 2023).
- Li, W.; Yang, S.; Wu, Y. The Impact of Regional Market Integration on Carbon Emission Benefit: A Spatial Econometric Analysis from the Yangtze River Delta. Soft Sci. 2019, 6, 4–26. [Google Scholar] [CrossRef]
- Huang, W.; Zhang, Y. Does Regional Integration Strategy Affect the High Quality Development of Urban Economy in China?—An Empirical Study on the Urban Agglomeration of the Yangtze River Economic Belt. Ind. Econ. Res. 2019, 6, 14–26. [Google Scholar] [CrossRef]
- Ms, A.; Xin, Z.A.; Ys, B. The Impact of Low-carbon City Construction on Ecological Efficiency: Empirical Evidence from Quasi-natural Experiments. Resour. Conserv. Recycl. 2020, 157, 104777. [Google Scholar] [CrossRef]
- Desimone, L.D.; Popoff, F. Eco-Efficiency: The Business Link to Sustainable Development. Int. J. Sustain. High. Educ. 2000, 1, 220–221. [Google Scholar] [CrossRef]
- Zheng, D.; Hao, S.; Sun, C. Spatial and Temporal Evolution of Ecological Efficiency in China. Geogr. Res. 2018, 37, 1034–1046. [Google Scholar] [CrossRef]
- Yang, Y.; Deng, X. Spatial and Temporal Evolution of Urban Ecological Efficiency and Regional Differences of Influencing Factors in China. Sci. Geogr. Sin. 2019, 33, 1111–1118. [Google Scholar] [CrossRef]
- Shen, W.; Hu, Q.; Li, J. Spatial and Temporal Evolution and Spatial Interaction of Regional Eco-efficiency in China. J. Nat. Resour. 2020, 35, 2149–2162. [Google Scholar] [CrossRef]
- Dong, F.; Zhang, Y.; Zhang, X. Applying a Data Envelopment Analysis Game Cross-efficiency Model to Examining Regional Ecological Efficiency: Evidence from China. J. Clean. Prod. 2020, 267, 122031. [Google Scholar] [CrossRef]
- Han, Y.; Zhang, F.; Huang, L. Does Industrial Upgrading Promote Eco-efficiency?—A Panel Space Estimation Based on Chinese Evidence. Energy Policy 2021, 154, 112286. [Google Scholar] [CrossRef]
- Cai, Y.; Wang, H. An Empirical Study on the Impact of Industrial Structure Upgrading on Regional Eco-efficiency. Stat. Decis. 2020, 36, 110–113. [Google Scholar] [CrossRef]
- Huang, J.; Xie, Y.; Yu, Y. Urban Competition, Spatial Spillover, and Ecological Efficiency: Effects of High Pressure and Low Suction. China Popul. Resour. Environ. 2018, 28, 1–12. [Google Scholar] [CrossRef]
- Huang, J.; Fang, X.; Huang, B. The Driving Mechanism of Spatial Spillover of Urban Eco-efficiency in China: Following the Good and Thinking Together VS Seeing the Bad and Slow Down. China Soft Sci. 2018, 3, 97–109. Available online: https://kns.cnki.net/kcms2/article/abstract?v=3uoqIhG8C44YLTlOAiTRKibYlV5Vjs7i0-kJR0HYBJ80QN9L51zrPy8W2ndCD5mHCs598lZHG7NPU3ajBvdCwnDPfArPbwXB&uniplatform=NZKPT&src=copy (accessed on 2 March 2023).
- Tang, C.; Xue, Y.; Wu, H. How Does Telecommunications Infrastructure Affect Eco-efficiency? Evidence from a Quasi-natural Experiment in China. Technol. Soc. 2022, 69, 101963. [Google Scholar] [CrossRef]
- Luo, N.; Tian, M.; Yang, J. The Impact of High-speed Rail Network on Urban Eco-efficiency: Based on the Spatial Econometric Study of 277 Prefecture-level Cities in China. China Popul. Resour. Environ. 2019, 29, 1–10. [Google Scholar] [CrossRef]
- Li, L.; Xu, W.; Zheng, J. A Study on Spatial Interactive Effects Between Urbanization Process and Ecological Efficiency in the Yellow River Basin. Econ. Surv. 2022, 39, 25–34. [Google Scholar] [CrossRef]
- Wen, G.; Liu, M.; Hu, X. Spatial Correlation and Spatial Effect of Cultivated Land Use Ecological Efficiency in the Dongting Lake Plain. Sci. Geogr. Sin. 2022, 46, 1102–1112. [Google Scholar] [CrossRef]
- Zaenhaer, D.; Sun, H. Spatial Spillover of Green Technology Innovation on Urban Eco-efficiency and threshold effect analysis. Manag. Decis. 2022, 38, 169–173. [Google Scholar] [CrossRef]
- Chen, F.; Ahmad, S.; Arshad, S. Towards Achieving Eco-efficiency in Top 10 Polluted Countries: The Role of Green Technology and Natural Resource Rents. Gondwana Res. 2022, 110, 114–127. [Google Scholar] [CrossRef]
- Ren, S.; Li, X.; Yuan, B.; Li, D.; Chen, X. The effects of three types of environmental regulation on eco-efficiency: A cross-region analysis in China. J. Clean. Prod. 2018, 173, 245–255. [Google Scholar] [CrossRef]
- Xu, C.; Zhuang, G. Spatial and Temporal Effects of Industrial Agglomeration on Eco-efficiency in Bohai Rim Based on Environmental Regulation. Econ. Surv. 2020, 37, 11–19. [Google Scholar] [CrossRef]
- Wang, S.; Hua, G.; Yang, L. Coordinated Development of Economic Growth and Ecological Efficiency in Jiangsu, China. Environ. Sci. Pollut. Res. 2020, 27, 36664–36676. Available online: https://www.zhangqiaokeyan.com/journal-foreign-detail/0704019810984.html (accessed on 20 January 2023). [CrossRef] [PubMed]
- Gong, X.; Wang, M.; Zhang, H. FDI, Market Segmentation and Regional Eco-efficiency: Direct Impact and Spillover Effect. China Popul. Resour. Environ. 2018, 28, 95–104. [Google Scholar] [CrossRef]
- Pan, M.; Xie, R. Spatial Differentiation of Technological Innovation Driving Green Eco-efficiency. Soft Sci. 2019, 33, 20–25. [Google Scholar] [CrossRef]
- Zhou, C.; Shi, C.; Wang, S.; Zhang, G. Estimation of Eco-Efficiency and Its Influencing Factors in Guangdong Province Based on Super-SBM and Panel Regression Models. Ecol. Indic. 2018, 86, 67–80. [Google Scholar] [CrossRef]
- Ren, M.; Wang, X.; Liu, Z. Spatial and Temporal Changes of Regional Eco-efficiency and Its Influencing Factors in China. East China Econ. Manag. 2019, 33, 71–79. [Google Scholar] [CrossRef]
- Sun, Y.; Jia, Z.; Chen, Q.; Na, H. Spatial Pattern and Spillover Effects of the Urban Land Green Use Efficiency for the Lanzhou-Xining Urban Agglomeration of the Yellow River Basin. Land 2023, 12, 59. [Google Scholar] [CrossRef]
- Liu, X.; Liang, C. Analysis of Comprehensive Evaluation of the Integration Level of Urban Agglomerations in China and Their Temporal and Spatial Evolution Characteristics: Concurrent Discussion on the Influence of the Urban Agglomeration Scale. J. Lanzhou Univ. 2021, 49, 49–61. [Google Scholar] [CrossRef]
- Li, L. Study on the Model Selection and Mechanism of Integration of the Mid-Yangtze River Urban Agglomeration, 1st ed.; Social Science Literature Press: Beijing, China, 2019; pp. 1–20. [Google Scholar]
- Chi, M.; Guo, Q.; Mi, L.; Wang, G.; Song, W. Spatial Distribution of Agricultural Eco-Efficiency and Agriculture High-Quality Development in China. Land 2022, 11, 722. [Google Scholar] [CrossRef]
- Jiang, H.; Yin, J.; Qiu, Y.; Zhang, B.; Ding, Y.; Xia, R. Industrial Carbon Emission Efficiency of Cities in the Pearl River Basin: Spatiotemporal Dynamics and Driving Forces. Land 2022, 11, 1129. [Google Scholar] [CrossRef]
- Chen, M.; Lu, D.; Zhang, H. Comprehensive Evaluation and the Driving Factors of China’s Urbanization. Acta Geogr. Sin. 2009, 64, 387–398. Available online: https://kns.cnki.net/kcms/detail/detail.aspx?dbcode=CJFD&dbname=CJFD2009&filename=DLXB200904003&uniplatform=NZKPT&v=jHaxNOeVsyTa-enC6fj-7Ti3_W2YaZYpTLVhPDEFnhwDZ7BzKer8l2yJxjltlfkn (accessed on 20 January 2023).
- Li, Z.; Luo, Z.; Wang, Y. Suitability Evaluation System for the Shallow Geothermal Energy Implementation in Region by Entropy Weight Method and TOPSIS Method. Renew. Energy 2022, 184, 564–576. [Google Scholar] [CrossRef]
- Hajibaba, H.; Grün, B.; Dolnicar, S. Improving the Stability of Market Segmentation Analysis. Int. J. Contemp. Hosp. Manag. 2020, 32, 1393–1411. [Google Scholar] [CrossRef]
- Kiseleva, O.; Lebedev, A.; Pinkovetskaia, I. Specialization and Concentration of Small and Medium Enterprises Employees: Russian data. Amazon. Investig. 2019, 8, 6–15. Available online: https://amazoniainvestiga.info/index.php/amazonia/article/view/59 (accessed on 2 March 2023).
- Ye, C.; Zhu, J.; Li, S. Assessment and Analysis of Regional Economic Collaborative Development within an Urban Agglomeration: Yangtze River Delta as a Case Study. Habitat Int. 2019, 83, 20–29. [Google Scholar] [CrossRef]
- Charnes, A.; Cooper, W.W.; Rhodes, E. Measuring the Efficiency of Decision Making Units. Eur. J. Oper. Res. 1978, 2, 429–444. [Google Scholar] [CrossRef]
- Tone, K.A. Slacks-based Measure of Super-efficiency in Data Envelopment Analysis. Eur. J. Oper. Res. 2002, 143, 32–41. [Google Scholar] [CrossRef]
- Khan, S.; Cui, Y.; Khan, A. Tracking Sustainable Development Efficiency with Human-Environmental System Relationship: An Application of DPSIR and Super Efficiency SBM Model. Sci. Total Environ. 2021, 783, 146959. [Google Scholar] [CrossRef]
- Wang, L.; Shen, D. Study on the Evolution of the Industrial Structure of the Mid-Yangtze River Urban Agglomeration. Reg. Econ. Rev. 2014, 4, 30–37. [Google Scholar] [CrossRef]
- Jensen, R.; Miller, N.H. Market Integration, Demand and the Growth of Firms: Evidence from a Natural Experiment in India. Am. Econ. Rev. 2018, 108, 3583–3625. Available online: https://xueshu.baidu.com/usercenter/paper/show?paperid=177k0c90sm6f0690w27x00y0sd356091&site=xueshu_se (accessed on 20 January 2023). [CrossRef]
- Ding, J.; Meng, W.; Wang, Q. Regional Integration, Economic Growth and Regional Differences in the Yangtze River Delta—New Evidence from Synthetic Control Method. Soft Sci. 2022, 36, 38–45. [Google Scholar] [CrossRef]
- Sun, B. Does Market Integration Reduce Environmental Pollution? Empirical Analysis Based on City Panel Data of the Yangtze River Economic Belt. J. Environ. Econ. 2018, 3, 37–56. [Google Scholar] [CrossRef]
- Zhang, C.; Zhang, Z. Spatial Effects of Energy Endowments and Technological Progress on Carbon Intensity in China. China Popul. Resour. Environ. 2015, 25, 37–43. [Google Scholar] [CrossRef]
- Dong, B.; Gong, J.; Xin, Z. FDI and environmental regulation: Pollution haven or a race to the top? J. Regul. Econ. 2012, 41, 216–237. [Google Scholar] [CrossRef]
- Yan, D.; Sun, W. Impact of regional integration area enlargement on urban carbon emission intensity and mechanism: An empirical study based on the Yangtze River Delta Regional Integration, Economic Growth and Regional Differences in the Yangtze River Delta—New Evidence from Synthetic Control Method. Resour. Sci. 2022, 44, 1358–1372. [Google Scholar] [CrossRef]







| Target Level | Secondary Target Layer | Control Level | First Level Indicators | Weight | Second Level Indicators | Weight |
|---|---|---|---|---|---|---|
| Measurement of the level of integration of urban agglomeration | Horizontal Development | Spatial Integration (22.7%) | Transportation | 0.227 | Number of trains scheduled | 0.119 |
| Highway density | 0.108 | |||||
| Vertical Development | Market Integration (42.1%) | Product Market | 0.045 | Product Market Segmentation Index | 0.045 | |
| Elemental Market | 0.376 | Capital Market Similarity | 0.087 | |||
| Technology Market Similarity | 0.100 | |||||
| Labor Market Similarity | 0.189 | |||||
| Industry Integration (12.0%) | Industry Integration Index | 0.12 | Krugman Index | 0.064 | ||
| Industrial structure similarity coefficient | 0.056 | |||||
| Economic Integration (8.3%) | Economic Gap | 0.083 | Standard deviation of GDP per capita | 0.083 | ||
| System Integration (14.9%) | Policy Promotion | 0.149 | Synergistic development policy of each prefecture-level city | 0.149 |
| First Level Indicators | Second Level Indicators | Explanation of Indicators |
|---|---|---|
| Inputs | Labor | Number of urban employees at year-end |
| Capital | Base period capital stock in 2011 | |
| Energy source | Nighttime light | |
| Land | Urban land area | |
| Desirable outputs | GDP | Base period deflated GDP in 2011 |
| Taxes | Base period deflated tax in 2011 | |
| Urban greening | Area of greenery coverage in built-up areas | |
| Undesirable outputs | Sulfur dioxide | Industrial sulfur dioxide emissions |
| Industrial wastewater | Industrial wastewater discharge | |
| Smoke and dust | Industrial smoke (dust) emissions |
Disclaimer/Publisher’s Note: The statements, opinions and data contained in all publications are solely those of the individual author(s) and contributor(s) and not of MDPI and/or the editor(s). MDPI and/or the editor(s) disclaim responsibility for any injury to people or property resulting from any ideas, methods, instructions or products referred to in the content. |
© 2023 by the authors. Licensee MDPI, Basel, Switzerland. This article is an open access article distributed under the terms and conditions of the Creative Commons Attribution (CC BY) license (https://creativecommons.org/licenses/by/4.0/).
Share and Cite
Jian, Y.; Yang, Y.; Xu, J. The Impact and Mechanism of the Increased Integration of Urban Agglomerations on the Eco-Efficiency of Cities in the Region—Taking the Chengdu–Chongqing Urban Agglomeration in China as an Example. Land 2023, 12, 684. https://doi.org/10.3390/land12030684
Jian Y, Yang Y, Xu J. The Impact and Mechanism of the Increased Integration of Urban Agglomerations on the Eco-Efficiency of Cities in the Region—Taking the Chengdu–Chongqing Urban Agglomeration in China as an Example. Land. 2023; 12(3):684. https://doi.org/10.3390/land12030684
Chicago/Turabian StyleJian, Yuting, Yongchun Yang, and Jing Xu. 2023. "The Impact and Mechanism of the Increased Integration of Urban Agglomerations on the Eco-Efficiency of Cities in the Region—Taking the Chengdu–Chongqing Urban Agglomeration in China as an Example" Land 12, no. 3: 684. https://doi.org/10.3390/land12030684
APA StyleJian, Y., Yang, Y., & Xu, J. (2023). The Impact and Mechanism of the Increased Integration of Urban Agglomerations on the Eco-Efficiency of Cities in the Region—Taking the Chengdu–Chongqing Urban Agglomeration in China as an Example. Land, 12(3), 684. https://doi.org/10.3390/land12030684
