Lichenometric Dating and Its Limitations and Problems: A Guide for Practitioners
Abstract
1. Introduction
2. Problems
2.1. Lichen Identification
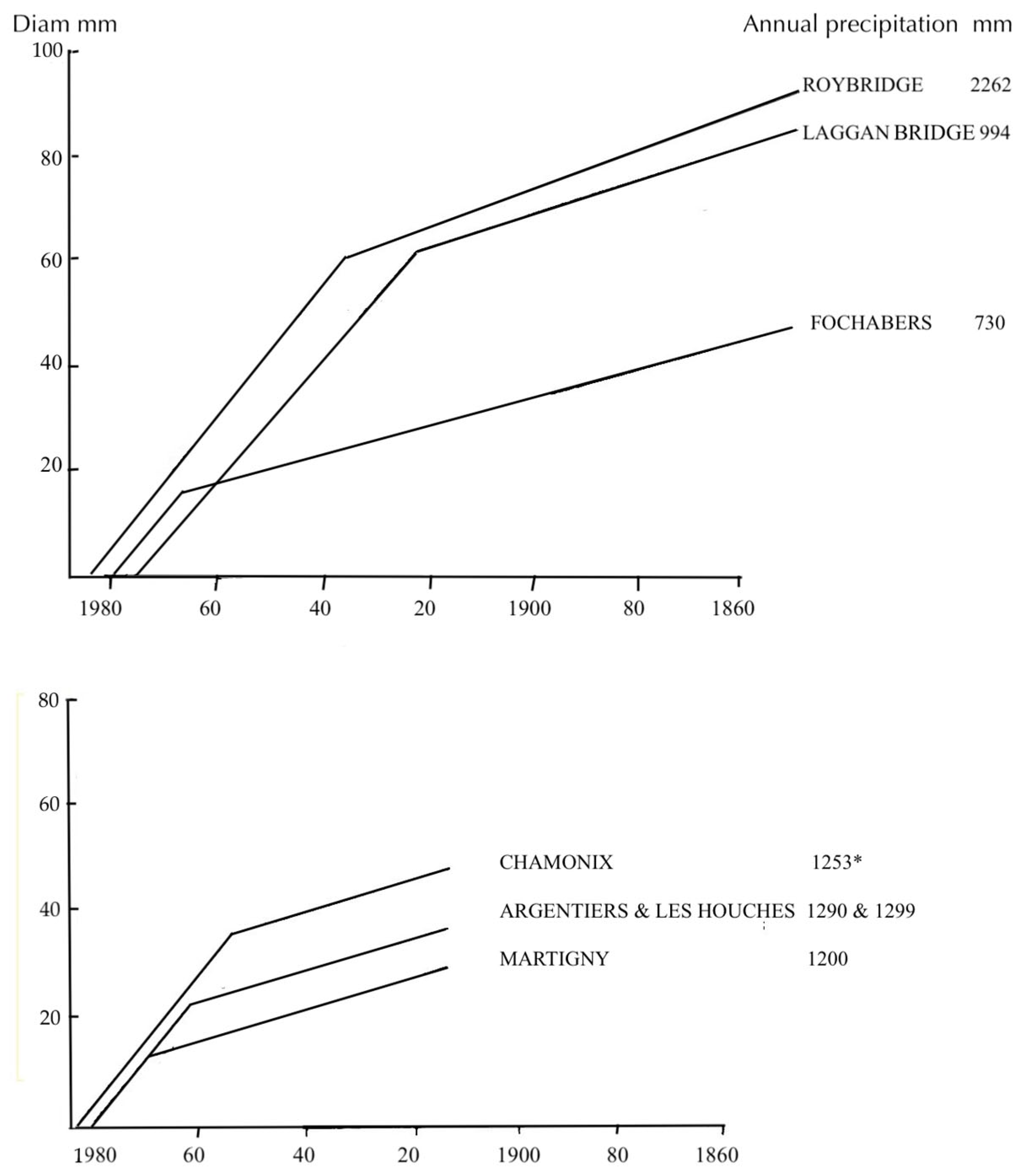
2.2. Growth Rates and Growth Curves


2.3. Colonization
2.4. Timespans
2.5. Measurement
2.6. Statistical Techniques
3. Supportive Independent Dating Methods
4. Ways Forward
4.1. Population Size-Frequency: Absolute and Relative Dating
4.2. Lichen Species Cross-Dating
5. Conclusions
Supplementary Materials
Funding
Data Availability Statement
Acknowledgments
Conflicts of Interest
References
- Beschel, R.E. Lichens as a measure of the age of recent moraines. (Translated by W. Barr, republished 1973). Arct. Alp. Res. 1950, 5, 303–309. [Google Scholar] [CrossRef]
- Beschel, R.E. Dating rock surfaces by lichen growth and its application to the glaciology and physiography (lichenometry). In Geology of the Arctic; Raasch, G.O., Ed.; University of Toronto Press: Toronto, ON, Canada, 1961; pp. 1044–1062. [Google Scholar]
- Jochimsen, M. Does the size of lichen thalli really constitute a valid measure for dating glacial deposits? Arct. Alp. Res. 1973, 5, 417–424. [Google Scholar] [CrossRef]
- Locke, W.W.; Andrews, J.T.; Webber, P.J. A manual for lichenometry. Br. Geomorphol. Res. Group Tech. Bull. 1979, 26, 1–47. [Google Scholar]
- Innes, J.L. Lichenometry. Prog. Phys. Geogr. 1985, 9, 187–254. [Google Scholar] [CrossRef]
- Jomelli, V.; Grancher, D.; Naveau, P.; Cooley, D.; Brunstein, D. Assessment study of lichenometric methods for dating surfaces. Geomorphology 2006, 86, 131–143. [Google Scholar] [CrossRef]
- Bradwell, T.; Armstrong, R.A. Growth rates of Rhizocarpon geographicum lichens: A review with new data from Iceland. J. Quat. Sci. 2007, 22, 311–320. [Google Scholar] [CrossRef]
- Benedict, J.B. A review of lichenometry dating and its application to archaeology. Am. Antiq. 2009, 74, 143–173. [Google Scholar] [CrossRef]
- Trenbirth, H.E.; Matthews, J.A. Lichen growth rates on glacier forelands in southern Norway: Preliminary results from a 25-year monitoring programme. Geogr. Ann. Ser. A Phys. Geogr. 2010, 92, 19–39. [Google Scholar] [CrossRef]
- Osborn, G.; MacCarthy, D.P.; La Brie, A.; Burke, R. Lichenometric Dating: Science or Pseudo-Science? Quat. Researc. 2015, 83, 1–12. [Google Scholar] [CrossRef]
- Osborn, G.; McCarthy, D.P. Lichenometric dating: Science or pseudo-science? Response to comments by Michael, A. O’Neal. Quat. Res. 2016, 86, 244–245. [Google Scholar] [CrossRef]
- Armstrong, R.A. Lichenometric dating (lichenometry) and the biology of the lichen genus Rhizocarpon: Challenges and future directions. Geogr. Ann. 2016, 98, 183–206. [Google Scholar] [CrossRef]
- Decaulne, A. Lichenometry in Iceland, results and application. Géomorphologi 2016, 22, 77–91. [Google Scholar] [CrossRef]
- McCarthy, D.P. A simple test of lichenometric dating using bidecadal growth of Rhizocarpon geographicum agg. and structure-from-motion photogrammetry. Geomorphology 2021, 385, 107736. [Google Scholar] [CrossRef]
- Winchester, V. An evaluation of lichenometry: With Field Studies in Lappland, Britain and the Western Alps. Unpublished Thesis, University of Oxford: Oxford, UK, 1989; Volume 1–2, British Library DSC shelf mark D 170885. [Google Scholar]
- Runemark, H. Studies in Rhizocarpon I: Taxonomy of the yellow species in Europe. Opera Bot. 1956, 2, 5–152. [Google Scholar]
- Thompson, J.W. Notes on Rhizocarpon in the Arctic. Nova Hedwig. 1967, 14, 421–481. [Google Scholar]
- Wirth, V. Die Silicatflecten-Gemeinschaften in Baseseralpinen Zentral-Europa. Diss. Bot. 1972, 17, 1–306. [Google Scholar]
- Feuerer, T. Zur Kentisder Flechtengattung Rhizocarpon in Bayern. Ber. Bayer. Bot. Ges. Zur Erforsch. Der Heim. Flora 1978, 49, 59–135. [Google Scholar]
- Brodo, I.M.; Duran Sharnhoff, S.; Sharnhoff, S. The lichens of North America; Yale University Press: New Haven, CT, USA, 2001. [Google Scholar]
- Poelt, J.; Černohorský, Z.; Schaefer, J. Rhizocarpon Ram. Em. Th. Fr. Subgenus Rhizocarpon in Europe. Arct. Alp. Res. 1988, 20, 292–298. [Google Scholar] [CrossRef]
- Roca-Valiente, B.; Hawksworth, D.; Peréz-Ortega, S.; Crespo, A. Type studies in the Rhizocarpon geographicum group (Rhizocarpaceae, lichenized Ascomycota). Lichenologist 2016, 48, 97–110. [Google Scholar] [CrossRef]
- Benedict, J.B. Techniques in lichenometry: Identifying the yellow Rhizocarpons. Arct. Alp. Res. 1988, 20, 285–291. [Google Scholar] [CrossRef]
- Bungartz, F. A safe and accurate method to apply spot test chemicals to lichen thalli in the laboratory and the field. Evansia 2002, 19, 123–124. [Google Scholar] [CrossRef]
- Orange, A.; James, P.W.; White, P.J. Microchemical Methods for the Identification of Lichens; British Lichen Society: London, UK, 2001; ISBN1 0954041801. ISBN2 9780954041809. [Google Scholar]
- Innes, J.L. Use of an aggregated Rhizocarpon ‘species’ in lichenometry: An evaluation. Boreas 1983, 12, 183–190. [Google Scholar] [CrossRef]
- Matthews, J.A. Lichenometric dating: A review with particular reference to ‘Little Ice Age’ moraines in southern Norway. In Dating in Exposed and Surface Contexts; Beck, C., Ed.; University of New Mexico Press: Albuquerque, NM, USA, 1994; pp. 185–212. [Google Scholar]
- Clayden, S.R.; Pentecost, A.; Dawson, R.J.M. Growth of the lichen R. lecanorinum, with comments on Aplin-Hill and lichenometric curves. Symbiosis 2004, 37, 379–393. [Google Scholar]
- Luckman, B.H. Lichenometric dating of holocene moraines at Mount EdithCavell, Jasper, Alberta. Can. J. Earth Sci. 1977, 14, 1809–1822. [Google Scholar] [CrossRef]
- Santesson, R. The lichens of Sweden and Norway. Nord. J. Bot. 1984, 4, 716. [Google Scholar]
- Dobson, F.S. An Illustrated Guide to the British and Irish Species; Richmond Publishing Co., Ltd.: Slough, UK, 2011. [Google Scholar]
- Loso, M.G.; Doak, D.F. Lichenometry’s black box: Demographic characteristics of Rhizocarpon geographicum and Pseudephebe pubescens inferred from whole population size-frequency distributions. In AGU Fall Meeting Abstracts; American Geophysical Union: Washington, DC, USA, 2003; p. 84. [Google Scholar]
- Loso, G.M.; Doak, D.F. The biology behind lichenometric dating curves. Oecologia 2006, 47, 223–229. [Google Scholar]
- Aplin, P.S.; Hill, D.J. Growth analysis of circular lichen thalli. J. Theor. Biol. 1979, 78, 347–363. [Google Scholar] [CrossRef]
- Matthews, J.A. Families of lichenometric dating curves from the Storbreen gletschervorfeld, Jotunheimen, Norway. Nor. Geogr. Tidsskr. 2008, 28, 215–235. [Google Scholar] [CrossRef]
- Hausman, E.H. Measurements of the annual growth rate of two species of rock lichens. Bull. Torrey Bot. Club 1948, 75, 116–117. [Google Scholar]
- Orwin, J. The Effect of Environment on Assemblages of Lichens Growing on Rock Surface. N. Z. J. Bot. 1972, 10, 37–47. [Google Scholar] [CrossRef]
- Ten Brink, N.W. Lichen growth rates in west Greenland. Arct. Alp. Res. 1973, 5, 323–331. [Google Scholar] [CrossRef]
- Proctor, M.C.F. Sizes and growth-rates of thalli of the lichen Rhizocarpon geographicum on the moraines of the Glacier de Valsorey, Valais, Switzerland. Lichenologist 1983, 15, 249–261. [Google Scholar] [CrossRef]
- Haworth, L.A.; Calkin, P.E. Direct measurement of lichen growth in the central Brooks Range, Alaska, U.S.A., and its application to lichenometric dating. Arct. Alp. Res. 1986, 18, 289–296. [Google Scholar] [CrossRef]
- Rogerson, R.J.; Evans, D.J.A.; McCoy, W.D. Five-year growth of rock lichens in a low-arctic mountain environment, northern Labrador. Géogr. Phys. Quat. 1986, 15, 85–91. [Google Scholar] [CrossRef][Green Version]
- Matthews, J.A. ‘Little Ice Age’ glacier variations in Jotunheimen, southern Norway: A study in regionally controlled lichenometric dating of recessional moraines with implications for climate and lichen growth rates. Holocene 2005, 15, 1–19. [Google Scholar] [CrossRef]
- Sancho, L.G.; Pintado, A. Evidence of high annual growth rate for lichens in the maritime Antarctic. Polar Biol. 2004, 27, 312–319. [Google Scholar] [CrossRef]
- Armstrong, R.A.; Bradwell, T. Growth of foliose lichens: A review. Symbiosis 2011, 53, 1–16. [Google Scholar] [CrossRef]
- Hill, D.J. The growth of lichens with special reference to the modelling of circular thalli. Lichenologist 1981, 13, 265–287. [Google Scholar] [CrossRef]
- Hill, D.J. The effect of meteorological conditions on growth in the lichen Diploicia canescens. Br. Lichen Soc. Bull. 2014, 114, 29–37. [Google Scholar]
- Farrar, J.F. A method for investigating lichen growth rates and succession. Lichenologist 1974, 6, 151–155. [Google Scholar] [CrossRef]
- Winchester, V.; Chaujar, R.K. Lichenometric dating of slope movements, Nant Ffrancon, north Wales. Geomorphology 2002, 47, 61–74. [Google Scholar] [CrossRef]
- Bradwell, T.; Dugmore, D.J.; Sugden, D.E. The Little Ice Age glacier maximum in Iceland and the North Atlantic Oscillation: Evidence from Lambatungnajökull, southeast Iceland. Boreas 2006, 35, 61–80. [Google Scholar] [CrossRef]
- Benedict, J.B. Recent glacial history of an alpine area in the Colorado Front Range, U.S.A. 1. Establishing a lichen growth curve. J. Glaciol. 1967, 6, 817–832. [Google Scholar] [CrossRef][Green Version]
- Benedict, J.B. Arapaho Pass. In Glacial Geology and Archeology at the Crest of the Colorado Front Range; Center for Mountain Archeology: Ward, CO, USA, 1985; pp. 1–197. [Google Scholar]
- Innes, J.L. Size frequency distributions as a lichenometric technique: An Assessment. Arct. Alp. Res. 1983, 5, 417–424. [Google Scholar] [CrossRef]
- McCarroll, D. A new approach to lichenometry: Dating single age and diachronous surfaces. Holocene 1994, 22, 383–396. [Google Scholar] [CrossRef]
- Caseldine, C.J.; Baker, A. Frequency Distributions of Rhizocarpon geographicum s.l., Modeling, and Climate Variation in Triillaskagi, Northern Iceland. Arct. Alp. Res. 1998, 30, 175–183. [Google Scholar] [CrossRef]
- Bradwell, T. Glacier Fluctuations, Lichenometry and Climate Change in Iceland. Ph.D. Thesis, University of Edinburgh, Edinburgh, UK, 2001. Available online: https://www.researchgate.net (accessed on 1 September 2022).
- Bradwell, T. Lichenometric dating in southeast Iceland: The size-frequency approach. Geogr. Ann. 2004, 86A, 31–41. [Google Scholar] [CrossRef]
- Armstrong, R.A. Growth rate measurements of Rhizocarpon geographicum in the Snoqualimie Pass, Washington, USA. Arct. Antarct. Alp. Res. 2005, 37, 411–415. [Google Scholar] [CrossRef]
- Rydzak, J. Investigations on the growth rates of lichens. Ann. Univ. Mariae Curie-Sklodowska Sect. C 1961, 16, 1–15. [Google Scholar]
- Hooker, T.N. Factors affecting the growth of Antarctic crustose lichens. Br. Antarct. Surv. Bull. 1980, 53, 1–19. [Google Scholar]
- Benedict, J.B. Experiments on lichen growth, I. Seasonal patterns and environmental controls. Arct. Alp. Res. 1990, 22, 244–254. [Google Scholar] [CrossRef]
- Benedict, J.B. Lichen mortality due to late-lying snow: Results of a transplant study. Arct. Alp. Res. 1990, 22, 81–89. [Google Scholar] [CrossRef]
- Benedict, J.B. Experiments on lichen growth, II. Effects of a seasonal snow cover. Arct. Alp. Res. 1991, 2, 189–199. [Google Scholar] [CrossRef]
- Stone, J.O. Air pressure and cosmogenic isotope production. J. Geophys. Res. 2000, 105, 23753–23759. [Google Scholar] [CrossRef]
- Boucher, V.L.; Nash, T.H., III. Growth patterns of Ramalina menziesii in California: Coastal vs. Inland populations. Bryologist 1990, 93, 295–302. [Google Scholar] [CrossRef]
- Armstrong, R.A. Seasonal growth of the crustose lichen Rhizocarpon geographicum (L.) DC. in south Gwynedd, Wales. Symbiosis 2006, 41, 97–102. [Google Scholar]
- Fisher, P.J.; Proctor, M.C.F. Observations on a season’s growth in Parmelia Caperata and P. Sulcata in South Devon. Lichenologist 1978, 10, 81–89. [Google Scholar] [CrossRef]
- Winchester, V.; Sjöberg, R. Lichenometry and beach ridge formation at Bådamalen on the North Bothnian coast, Sweden. Z. Geomorphol. 2003, 47, 485–498. [Google Scholar] [CrossRef]
- Kędzia, S. Initial colonization by Rhizocarpon geographicum in the Tatra Mountains. J. Mt. Sci. 2021, 18, 407–415. [Google Scholar] [CrossRef]
- Matthews, J.A.; Trenbirth, H.E. Growth rate of a very large crustose lichen (Rhizocarpon subgenus) and its implications for lichenometry. Geogr. Ann. Ser. A Phys. Geogr. 2011, 93, 27–39. [Google Scholar] [CrossRef]
- Armstrong, R.A. The biology of the crustose lichen Rhizocarpon geographicum. Symbiosis 2011, 55, 53–67. [Google Scholar] [CrossRef]
- Karlén, W. Holocene glacier and climatic variations, Kebnekaise mountains, Swedish Lappland. Geogr. Ann. 1973, 55, 29–63. [Google Scholar] [CrossRef]
- Winchester, V. An assessment of lichenometry as a method for dating recent stone movements in two stone circles in Cumbria and Oxfordshire. Bot. J. Linn. Soc. 1988, 96, 57–68. [Google Scholar] [CrossRef]
- Larocque, S.J.; Smith, D.J. Calibrated Rhizocarpon spp. growth Curve for the Mount Waddington Area, British Columbia coastal mountains, Canada. Arct. Antarct. Alp. Res. 2004, 36, 407–418. [Google Scholar] [CrossRef]
- Broadbent, N.D.; Bergqvist, K.I. Lichenometric chronology and archaeological features on raised beaches: Preliminary results from the Swedish north Bothnian coastal region. Arct. Alp. Res. 1986, 18, 297–306. [Google Scholar] [CrossRef]
- Solomina, O.; Calkin, P.E. Lichenometry as applied to moraines in Alaska. U.S.A. and Kamchatka, Russia. Arct. Antarct. Alp. Res. 2003, 35, 129–143. [Google Scholar] [CrossRef]
- Young, N.E.; Briner, J.P.; Kaufman, D.S. Late Pleistocene and Holocene glaciation of the Fish Valley north-eastern Alaska range. J. Quat. Sci. 2009, 24, 677–689. [Google Scholar] [CrossRef]
- Miller, G.H. Variations in lichen growth from direct measurements: Preliminary curves for Alectoria miniscula from eastern Baffin Island, N.W.T., Canada. Arct. Alp. Res. 1973, 5, 333. [Google Scholar]
- Guedes, P.; Oliveira, M.A.; Branquinho, C.; Silva, J.N. Image analysis for automatic measurement of crustose lichens. arXiv 2022, arXiv:2203.00787. [Google Scholar] [CrossRef]
- Hooker, T.N.; Brown, D.H. A photographic method for accurately measuring the growth of crustose and foliose saxicolous lichens. Lichenologist 1977, 9, 65–75. [Google Scholar] [CrossRef]
- Winchester, V. A Proposal for a New Approach to Lichenometry; Technical Bulletin 33 Shorter Technical Methods V; British Geomorphological Research Group: London, UK, 1984; pp. 3–20. [Google Scholar]
- Bull, W.B.; Brandon, M. Lichen dating of earthquake-generated regional rockfall events, Southern Alps, New Zealand. Geol. Soc. Am. Bull. 1998, 10, 60–84. [Google Scholar] [CrossRef]
- Bull, W.B.; Dating, S. Andreas fault earthquakes with lichenometry. Geology 1996, 24, 111–114. [Google Scholar] [CrossRef]
- Cooley, D.; Naveau, P.; Jomelli, V.; Rabatel, A.; Grancher, D. A Bayesian hierarchical extreme value model for lichenometry. Environmetrics 2006, 17, 555–574. [Google Scholar] [CrossRef]
- Naveau, P.; Jomelli, V.; Cooley, D.; Rabatel, A. Modelling uncertainties in lichenometry studies with an application: The Tropical Andes (Charquini Glacier in Bolivia). Arct. Antarct. Alp. Res. 2007, 39, 277–285. [Google Scholar] [CrossRef]
- Orwin, J.F.; McKinzey, K.M.; Stephens, M.A.; Dugmore, A.J. Identifying moraine surfaces with similar histories using lichen size distributions and the U2 statistic, southeast Iceland. Geogr. Ann. 2008, 90, 151–164. [Google Scholar] [CrossRef]
- Wiles, G.C.; Calkin, P.E. Late Holocene, high-resolution glacial chronologies and climate, Kenai Mountains, Alaska. Geol. Soc. Am. Bull. 1994, 106, 281–303. [Google Scholar] [CrossRef]
- Fritts, H.C. Tree Rings and Climate; The Blackburn Press: Caldwell, NJ, USA, 1976. [Google Scholar]
- Schweingruber, F.H. Tree Rings: Basics and Applications of Dendrochronology; Kluwer Academic Publishers: Dordrecht, The Netherland, 1989. [Google Scholar]
- Kirkbride, M.P.; Dugmore, A.J. Two millennia of glacier advances from southern Iceland dated by tephrochronology. Quat. Res. 2008, 70, 398–411. [Google Scholar] [CrossRef]
- Kirkbride, M.P. Datation des moraines holocènes d’Islande par téphrochronologie un état de l’art. In Neige et Glace de Montagne, Reconstitution, Dynamique, Pratiques; Collection EDYTEM; Deline, P., Ravanel, L., Eds.; Univesité Savoie: Annecy, France, 2009; Volume 8, pp. 65–78. [Google Scholar]
- Ivy-Ochs, S.; Kober, F. Surface exposure dating with cosmogenic nuclides. Eiszeitalt. Und Ggw. Quat. Sci. J. 2008, 57, 187–254. [Google Scholar] [CrossRef]
- Heyman, J.; Stroeven, A.P.; Harbor, J.M.; Caffee, M.W. Too young or too old: Evaluating cosmogenic exposure dating based on an analysis of compiled boulder exposure ages. Earth Planet. Sci. Lett. 2011, 302, 71–80. [Google Scholar] [CrossRef]
- Matthews, J.A. Limitations of 14C dates from buried soils in reconstructing glacier variations and Holocene climate. In Climatic Changes on a Yearly to Millennial Basis: Geological, Historical and Instrumental Records; Mörner, N.-A., Karlen, W., Eds.; D. Riedel: Dordrecht, The Netherlands, 1984; pp. 281–290. [Google Scholar]
- Orwin, J. Lichen succession on recently deposited rock surfaces. N. Z. J. Bot. 1970, 8, 452–477. [Google Scholar] [CrossRef]
- Haeberli, W.; King, L.; Flotron, A. Surface movement and lichen-cover studies at the active rock glacier near the Grubengletscher, Wallis, Swiss Alps. Arct. Alp. Res. 1979, 11, 421–441. [Google Scholar] [CrossRef]
- Gough, N.C. Lichenometric Analysis of the Cavell Glacier Moraines. Unpublished Dissertation, School of Geography, University of Oxford, Oxford, UK, 1989. [Google Scholar]
- Heusser, C.J. Postglacial environments in the Canadian Rocky Mountains. Ecol. Monogr. 1956, 26, 263–302. [Google Scholar] [CrossRef]
- Calkin, P.E.; Ellis, J.M. A lichenometric dating curve and its application to Holocene glacial studies in the Central Brooks Range, Alaska. Arct. Alp. Res. 1980, 12, 245–264. [Google Scholar]
- Sancho, L.G.; Palacios, D.; Green, A.T.G.; Vivas, M.; Pintado, A. Extreme high lichen growth rates detected in recently deglaciated areas in Tierra del Fuego. Polar Biol. 2011, 34, 13–822. [Google Scholar] [CrossRef]
- Lindsay, D.C. Estimates of lichen growth rates in the maritime Antarctic. Arct. Alp. Res. 1973, 5, 341–346. [Google Scholar] [CrossRef]
- Crowe, A.; Crowe, A. Mathematics for Biologists; Academic Press: London, UK; New York, NY, USA, 1969; pp. 176–177. [Google Scholar]









Disclaimer/Publisher’s Note: The statements, opinions and data contained in all publications are solely those of the individual author(s) and contributor(s) and not of MDPI and/or the editor(s). MDPI and/or the editor(s) disclaim responsibility for any injury to people or property resulting from any ideas, methods, instructions or products referred to in the content. |
© 2023 by the author. Licensee MDPI, Basel, Switzerland. This article is an open access article distributed under the terms and conditions of the Creative Commons Attribution (CC BY) license (https://creativecommons.org/licenses/by/4.0/).
Share and Cite
Winchester, V. Lichenometric Dating and Its Limitations and Problems: A Guide for Practitioners. Land 2023, 12, 611. https://doi.org/10.3390/land12030611
Winchester V. Lichenometric Dating and Its Limitations and Problems: A Guide for Practitioners. Land. 2023; 12(3):611. https://doi.org/10.3390/land12030611
Chicago/Turabian StyleWinchester, Vanessa. 2023. "Lichenometric Dating and Its Limitations and Problems: A Guide for Practitioners" Land 12, no. 3: 611. https://doi.org/10.3390/land12030611
APA StyleWinchester, V. (2023). Lichenometric Dating and Its Limitations and Problems: A Guide for Practitioners. Land, 12(3), 611. https://doi.org/10.3390/land12030611
