Green Space Ecosystem Services and Value Evaluation of Three-Dimensional Roads for Sustainable Cities
Abstract
1. Introduction
2. Materials and Methods
2.1. Study Area
2.2. i-Tree Eco V6 Modeling and Analysis
2.3. Data Collection and Analysis
3. Results
3.1. Tree Species Structure Characteristics
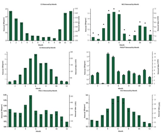
3.2. Analysis of Removal of Atmospheric Pollution Substances
3.3. Carbon and Oxygen Change Analysis
3.4. Hydrological Influence Analysis
3.5. Total Benefits and Economic Values of Trees
3.6. Limitations of the Study
4. Discussion
4.1. Overall Analysis of Results
4.2. Differentiation of Research
4.3. Reliability and Validity
4.4. Implications
5. Conclusions
5.1. Research Results
5.2. Future Suggestions
Author Contributions
Funding
Data Availability Statement
Conflicts of Interest
Appendix A
| Species | Number of Trees | Percent Population | Leaf Area (m2) | Percent Leaf Area | Leaf Biomass (ton) | Importance Value |
|---|---|---|---|---|---|---|
| Northern white cedar | 965 | 28.8 | 1428.5 | 5.9 | 0.303 | 34.7 |
| Eastern white pine | 385 | 11.5 | 3023.0 | 12.4 | 0.214 | 23.9 |
| Chinese fringe tree | 356 | 10.6 | 4394.9 | 18.1 | 0.376 | 28.7 |
| Japanese maple | 247 | 7.4 | 1813.0 | 7.5 | 0.112 | 14.8 |
| Japanese cornelia dogwood | 230 | 6.9 | 1076.5 | 4.4 | 0.073 | 11.3 |
| Japanese red pine | 192 | 5.7 | 5422.8 | 22.3 | 0.576 | 28.0 |
| Yoshino flowering cherry | 152 | 4.5 | 1112.9 | 4.6 | 0.095 | 9.1 |
| Kousa dogwood | 125 | 3.7 | 542.3 | 2.2 | 0.037 | 6.0 |
| Chinese plum | 122 | 3.6 | 817.5 | 3.4 | 0.070 | 7.0 |
| Autumn olive | 75 | 2.2 | 97.1 | 0.4 | 0.006 | 2.6 |
| Japanese yew | 57 | 1.7 | 453.2 | 1.9 | 0.061 | 3.6 |
| Katsura tree | 51 | 1.5 | 631.3 | 2.6 | 0.034 | 4.1 |
| Apricot | 40 | 1.2 | 198.3 | 0.8 | 0.017 | 2.0 |
| Giant Dogwood | 37 | 1.1 | 206.4 | 0.8 | 0.014 | 2.0 |
| Elm spp. | 37 | 1.1 | 339.9 | 1.4 | 0.026 | 2.5 |
| Ginkgo | 36 | 1.1 | 255.0 | 1.0 | 0.027 | 2.1 |
| Pagoda tree | 34 | 1.0 | 404.7 | 1.7 | 0.038 | 2.7 |
| Three-flower maple | 32 | 1.0 | 271.1 | 1.1 | 0.017 | 2.1 |
| Japanese zelkova | 31 | 0.9 | 785.1 | 3.2 | 0.056 | 4.2 |
| Japanese snowbell | 30 | 0.9 | 250.9 | 1.0 | 0.019 | 1.9 |
| Hall crabapple | 28 | 0.8 | 141.6 | 0.6 | 0.013 | 1.4 |
| Chinese-quince | 22 | 0.7 | 117.4 | 0.5 | 0.010 | 1.1 |
| Tulip tree | 19 | 0.6 | 250.9 | 1.0 | 0.016 | 1.6 |
| Korean mountain ash | 16 | 0.5 | 80.9 | 0.3 | 0.007 | 0.8 |
| Peach | 15 | 0.4 | 109.3 | 0.4 | 0.009 | 0.9 |
| Common jujube | 15 | 0.4 | 101.2 | 0.4 | 0.005 | 0.9 |
| Study Area | 3349 | 100 | 24,325.7 | 100 | 2.230 | - |
| Species | Number of Trees | Carbon Storage | Gross Carbon Sequestration | Avoided Runoff | Pollution Removal | Replacement Value | Replacement Value per Tree | ||||
|---|---|---|---|---|---|---|---|---|---|---|---|
| (ton) | (USD) | (ton/year) | (USD/year) | (m3/year) | (USD/year) | (ton/year) | (USD/year) | (USD) | (USD) | ||
| Japanese maple | 247 | 4.38 | 734.4 | 0.71 | 118.6 | 8.41 | 19.2 | 0.01 | 337.0 | 52,039.7 | 210.7 |
| Three-flower maple | 32 | 1.08 | 181.7 | 0.19 | 32.3 | 1.26 | 2.9 | 0.00 | 50.6 | 5655.1 | 176.7 |
| Katsura tree | 51 | 0.92 | 154.6 | 0.18 | 29.4 | 2.93 | 6.7 | 0.00 | 117.4 | 23,760.5 | 465.9 |
| Chinese fringe tree | 356 | 20.52 | 3441.2 | 3.64 | 610.0 | 20.39 | 46.5 | 0.01 | 817.1 | 159,368.2 | 447.7 |
| Giant Dogwood | 37 | 0.34 | 57.3 | 0.16 | 26.1 | 0.96 | 2.2 | 0.00 | 38.4 | 3932.5 | 106.3 |
| Kousa dogwood | 125 | 2.14 | 358.6 | 0.50 | 83.1 | 2.51 | 5.7 | 0.00 | 100.8 | 13,285.4 | 106.3 |
| Japanese cornelia dogwood | 230 | 11.97 | 2007.3 | 1.67 | 279.3 | 4.98 | 11.4 | 0.00 | 199.8 | 49,539.0 | 215.4 |
| Autumn olive | 75 | 0.19 | 32.7 | 0.17 | 28.4 | 0.46 | 1.0 | 0.00 | 18.4 | 3346.7 | 44.6 |
| Ginkgo | 36 | 0.19 | 32.5 | 0.04 | 6.5 | 1.18 | 2.7 | 0.00 | 47.2 | 7785.3 | 216.3 |
| Tulip tree | 19 | 0.64 | 107.4 | 0.15 | 25.9 | 1.16 | 2.7 | 0.00 | 46.6 | 9673.8 | 509.1 |
| Hall crabapple | 28 | 0.27 | 45.8 | 0.10 | 16.6 | 0.66 | 1.5 | 0.00 | 26.4 | 2975.9 | 106.3 |
| Japanese red pine | 192 | 13.93 | 2336.2 | 1.22 | 205.4 | 25.15 | 57.3 | 0.02 | 1008.2 | 164,135.7 | 854.9 |
| Eastern white pine | 385 | 7.92 | 1327.5 | 1.66 | 278.7 | 14.02 | 31.9 | 0.01 | 561.8 | 157,748.9 | 409.7 |
| Apricot | 40 | 0.63 | 105.7 | 0.23 | 38.1 | 0.92 | 2.1 | 0.00 | 36.8 | 3321.7 | 83.0 |
| Peach | 15 | 0.57 | 95.7 | 0.16 | 27.0 | 0.50 | 1.1 | 0.00 | 20.1 | 4374.3 | 291.6 |
| Chinese plum | 122 | 3.56 | 596.3 | 0.84 | 140.7 | 3.80 | 8.7 | 0.00 | 152.2 | 26,551.3 | 217.6 |
| Yoshino flowering cherry | 152 | 3.76 | 630.6 | 0.89 | 148.9 | 5.16 | 11.8 | 0.01 | 207.0 | 32,963.6 | 216.9 |
| Chinese-quince | 22 | 0.61 | 101.8 | 0.12 | 19.7 | 0.55 | 1.2 | 0.00 | 21.9 | 3653.5 | 166.1 |
| Korean mountain ash | 16 | 0.26 | 42.9 | 0.09 | 15.5 | 0.37 | 0.8 | 0.00 | 14.7 | 1700.5 | 106.3 |
| Japanese snowbell | 30 | 2.75 | 461.6 | 0.22 | 36.6 | 1.17 | 2.7 | 0.00 | 46.8 | 14,445.8 | 481.5 |
| Pagoda tree | 34 | 1.79 | 299.8 | 0.31 | 52.2 | 1.87 | 4.3 | 0.00 | 74.9 | 16,712.7 | 491.5 |
| Japanese yew | 57 | 2.01 | 336.6 | 0.20 | 34.2 | 2.11 | 4.8 | 0.00 | 84.4 | 26,307.3 | 461.5 |
| Northern white cedar | 965 | 0.29 | 49.5 | 0.45 | 75.6 | 6.62 | 15.1 | 0.01 | 265.3 | 40,654.4 | 42.1 |
| Elm spp. | 37 | 0.99 | 165.4 | 0.27 | 46.1 | 1.58 | 3.6 | 0.00 | 63.2 | 5701.1 | 154.1 |
| Japanese zelkova | 31 | 3.08 | 515.6 | 0.25 | 41.8 | 3.64 | 8.3 | 0.00 | 146.0 | 34,769.4 | 1121.6 |
| Common jujube | 15 | 0.83 | 138.7 | 0.15 | 24.8 | 0.47 | 1.1 | 0.00 | 19.0 | 7373.2 | 491.5 |
| Total | 3349 | 85.62 | 14,357.4 | 14.57 | 2441.8 | 112.81 | 257.1 | 0.07 | 4521.9 | 871,775.5 | 260.3 |
References
- Choi, B.D.; Hong, I.O.; Kang, H.S.; Ahn, Y.J. Sustainable Development and New Urbanization: A Conceptual Consideration. J. Korean Geogr. Soc. 2004, 39, 70–87. [Google Scholar]
- Park, J.C.; Kim, J.Y. Urban Planning Measurements in Pursuit of a Low-carbon Green City—Case Analyses of Basic Planning Elements and Spatial Urban Structures in Korea and Japan. J. Korean Reg. Dev. Assoc. 2010, 22, 17–51. [Google Scholar]
- Jin, J.W. Promoting Policy of the Green modes as a Sustainable Transportation System in Korea (Green modes promoting movement in Korea: Backgrounds, processing, prospect). J. KST 2000, 18, 63–72. [Google Scholar]
- Chung, Y.K.; Chang, M.S. Conception and Argumentation of Sustainable Development. Korean East-West Econ. Stud. 2007, 19, 143–164. [Google Scholar]
- National Sustainable Development Goals (K-SDGs). Available online: http://ncsd.go.kr/ksdgs (accessed on 5 October 2022).
- World Air Quality Report. Available online: https://www.iqair.com/ko/world-most-polluted-countries (accessed on 5 November 2022).
- Greenpeace Newspaper Korea, the Worst Country for Ultrafine Dust among OECD Member Countries. 25 February 2020. Available online: https://www.greenpeace.org/korea/press/12092/korean-fine-dust-airvisual (accessed on 5 November 2022).
- Ji, J.S. Significance and Expectations of the Beginning of the Road Convergence Development Era. Issue Anal. 2017, 281, 1–25. [Google Scholar]
- Addanki, S.C.; Venkataraman, H. Greening the economy: A review of urban sustainability measures for developing new cities. Sustain. Cities Soc. 2017, 32, 1–8. [Google Scholar] [CrossRef]
- Kenneth, G.; Shalizi, Z. Sustainable Transport: Priorities for Policy Reform; World Bank: Washington, DC, USA, 1996. [Google Scholar]
- Mattinzioli, T.; Sol-Sánchez, M.; Martínez, G.; Rubio-Gámez, M. A critical review of roadway sustainable rating systems. Sustain. Cities Soc. 2020, 63, 102447. [Google Scholar] [CrossRef]
- Ministry of Land, Infrastructure and Transport. Available online: http://www.molit.go.kr/USR/NEWS/m_71/dtl.jsp?lcmspage=1&id=95078869 (accessed on 5 November 2022).
- Ministry of Land, Infrastructure and Transport. Available online: http://www.molit.go.kr/USR/NEWS/m_71/dtl.jsp?lcmspage=1&id=95086492 (accessed on 5 November 2022).
- Shim, J.S. How Roads and Railroads Become Parks; WP 22-13; Korea Research Institute for Human Settlements President (KRIHS): Sejong, Republic of Korea, 2022; pp. 5–8. [Google Scholar]
- Sim, J.; Bohannon, C.L.; Miller, P. What park visitors survey tells us: Comparing three elevated parks—The high line, 606, and high bridge. Sustainability 2019, 12, 121. [Google Scholar] [CrossRef]
- Seattle Parks and Recreation. Available online: https://www.seattle.gov/parks/find/parks/freeway-park (accessed on 5 October 2022).
- The Big Dig: Project Background. Available online: https://www.mass.gov/info-details/the-big-dig-project-background (accessed on 5 October 2022).
- Tajima, K. New Estimates of the Demand for Urban Green Space: Implications for Valuing the Environmental Benefits of Boston’s Big Dig Project. J. Urban Aff. 2003, 25, 641–655. [Google Scholar] [CrossRef]
- Kang, C.D.; Cervero, R. From elevated freeway to urban greenway: Land value impacts of the CGC project in Seoul, Korea. Urban Stud. 2009, 46, 2771–2794. [Google Scholar] [CrossRef]
- Lee, J.; Sohn, K. Identifying the impact on land prices of replacing at-grade or elevated railways with underground subways in the Seoul metropolitan area. Urban Stud. 2013, 51, 44–62. [Google Scholar] [CrossRef]
- Lee, H.J.; Suh, L. A Study on the Sustainable Development through Urban Regeneration of the Line Park in New York. J. Sustain. Res. 2014, 5, 1–21. [Google Scholar]
- Ma, C.-X.; Peng, F.-L. Monetary evaluation method of comprehensive benefits of complex underground roads for motor vehicles orienting urban sustainable development. Sustain. Cities Soc. 2020, 65, 102569. [Google Scholar] [CrossRef]
- Allen, W.L. Environmental reviews and case studies: Advancing green infrastructure at all scales: From landscape to site. Environ. Pract. 2012, 14, 17–25. [Google Scholar] [CrossRef]
- Mell, I.C. Can green infrastructure promote urban sustainability? In Proceedings of the Institution of Civil Engineers-Engineering Sustainability; Thomas Telford Ltd.: London, UK, 2009; Volume 162, pp. 23–34. [Google Scholar]
- Low Impact Development (LID) Center. Low Impact Development Manual for Southern California: Technical Guidance and Site Planning Strategies; Low Impact Development (LID) Center: Beltsville, MD, USA, 2010. [Google Scholar]
- Lovell, S.T.; Taylor, J.R. Supplying urban ecosystem services through multifunctional green infrastructure in the United States. Landsc. Ecol. 2013, 28, 1447–1463. [Google Scholar] [CrossRef]
- Andersson, E.; Barthel, S.; Borgström, S.; Colding, J.; Elmqvist, T.; Folke, C.; Gren, Å. Reconnecting Cities to the Biosphere: Stewardship of Green Infrastructure and Urban Ecosystem Services. Ambio 2014, 43, 445–453. [Google Scholar] [CrossRef] [PubMed]
- Langemeyer, J.; Camps-Calvet, M.; Calvet-Mir, L.; Barthel, S.; Gómez-Baggethun, E. Stewardship of urban ecosystem services: Understanding the value(s) of urban gardens in Barcelona. Landsc. Urban Plan. 2018, 170, 79–89. [Google Scholar] [CrossRef]
- Cortinovis, C.; Geneletti, D. Ecosystem services in urban plans: What is there, and what is still needed for better decisions. Land Use Policy 2018, 70, 298–312. [Google Scholar] [CrossRef]
- Lyu, R.F.; Zhang, J.M.; Xu, M.Q.; Li, J.J. Impacts of urbanization on ecosystem services and their temporal relations: A case study in Northern Ningxia, China. Land Use Policy 2018, 77, 163–173. [Google Scholar] [CrossRef]
- Kim, G.; Miller, P.A.; Nowak, D.J. Assessing urban vacant land ecosystem services: Urban vacant land as green infrastructure in the City of Roanoke, Virginia. Urban For. Urban Green. 2015, 14, 519–526. [Google Scholar] [CrossRef]
- Vahidi, H.; Ramezani Mehrian, M.; Jalayer, A.; Esfahani Zadeh, M.; Ali Hosseini, A. Evaluating the Value of Vegetation Ecosystem Services in District 16 of Tehran Municipality using the i-Tree Model. Environ. Energy Econ. Res. 2023, 7, 1–17. [Google Scholar]
- Raum, S.; Hand, K.; Hall, C.; Edwards, D.; O’Brien, L.; Doick, K. Achieving impact from ecosystem assessment and valuation of urban greenspace: The case of i-Tree Eco in Great Britain. Landsc. Urban Plan. 2019, 190, 103590. [Google Scholar] [CrossRef]
- Nowak, D.J.; Carne, D.E.; Stevens, J.C. Air pollution removal by urban trees and shrubs in the United States. Urban For. Urban Green 2006, 4, 115–123. [Google Scholar] [CrossRef]
- Jayasooriya, V.M.; Ng, A.W.M.; Muthukumaran, S.; Perera, B.J.C. Green infrastructure practices for improvement of urban air quality. Urban For. Urban Green. 2017, 21, 34–47. [Google Scholar] [CrossRef]
- i-Tree. Available online: https://www.itreetools.org/documents/275/EcoV6_UsersManual.2021.09.22.pdf (accessed on 11 October 2022).
- Nowak, D.; Hoehn, R.; Crane, D.; Weller, L.; Davila, A. Assessing Urban Forest Effects and Values, Los Angeles’ Urban Forest; Resour. Bull. NRS-47; US Department of Agriculture, Forest Service, Northern Research Station: Newtown Square, PA, USA, 2011; p. 30.
- Baldocchi, D. A multi-layer model for estimating sulfur dioxide deposition to a deciduous oak forest canopy. Atmos. Environ. 1988, 22, 869–884. [Google Scholar] [CrossRef]
- Baldocchi, D.D.; Hicks, B.B.; Camara, P. A canopy stomatal resistance model for gaseous deposition to vegetated surfaces. Atmos. Environ. 1987, 21, 91–101. [Google Scholar] [CrossRef]
- Hirabayashi, S. Urban Forest Effects-Dry Deposition (UFORE-D) Model Enhancements. 2011. Available online: http://www.itreetools.org/eco/resources/UFORE-Denhancements.pdf (accessed on 25 September 2022).
- Hirabayashi, S.; Kroll, C.N.; Nowak, D.J. Component-based development and sensitivity analyses of an air pollutant dry deposition model. Environ. Model. Softw. 2011, 26, 804–816. [Google Scholar] [CrossRef]
- Murray, F.J.; Marsh, L.; Bradford, P.A. New York State Energy Plan, Vol. II: Issue Reports; New York State Energy Office: Albany, NY, USA, 1994. [Google Scholar]
- Von Arx, G.; Pannatier, E.G.; Thimonier, A.; Rebetez, M. Microclimate in forests with varying leaf area index and soil moisture: Potential implications for seedling establishment in a changing climate. J. Ecol. 2013, 101, 1201–1213. [Google Scholar] [CrossRef]
- Riondato, E.; Pilla, F.; Basu, A.S.; Basu, B. Investigating the effect of trees on urban quality in Dublin by combining air monitoring with i-Tree Eco model. Sustain. Cities Soc. 2020, 61, 102356. [Google Scholar] [CrossRef]
- IPCC. Available online: https://www.ipcc.ch/report/revised-1996-ipcc-guidelines-for-national-greenhouse-gas-inventories/ (accessed on 26 September 2002).
- Kim, T.W. A Study on the Measurement of Atmospheric Oxygen Concentration. Master’s Thesis, Ulsan University, Ulsan, Republic of Korea, 2002. [Google Scholar]
- i-Tree. Available online: https://www.itreetools.org/documents/61/iTree_Eco_Precipitation_Interception_Model_Descriptions.pdf (accessed on 12 October 2022).
- Nowak, D.J.; Crane, D.E.; Stevens, J.C.; Hoehn, R.E.; Walton, J.T.; Bond, J. A Ground-Based Method of Assessing Urban Forest Structure and Ecosystem Services. Arboric. Urban For. 2008, 34, 347–358. [Google Scholar] [CrossRef]
- Nowak, D.J. Trees pollute? A “TREE” explains it all. In Proceedings of the 7th National Urban Forestry Conference; American Forests: Washington, DC, USA; 1995. [Google Scholar]










| Stratum | Number of Trees | Tree Density (number/ha) |
|---|---|---|
| Park 1 | 572 | 381 |
| Park 2~3 | 2077 | 1039 |
| Park 4 | 700 | 824 |
| Study Area | 3349 | 770 |
| Pollutant | Removal (kg/year) | Value (USD/year) | ||||
|---|---|---|---|---|---|---|
| Mean | Max | Min | Mean | Max | Min | |
| CO | 3.783 | 12.312 | 2.156 | 5.6 | 20.1 | 4.3 |
| NO₂ | 15.817 | 42.561 | 11.312 | 94.6 | 254.5 | 67.6 |
| O₃ | 29.683 | 69.971 | 10.751 | 1188.1 | 2800.6 | 430.3 |
| PM10 | 14.757 | 23.057 | 5.764 | 103.8 | 162.1 | 40.5 |
| PM2.5 | 2.247 | 4.181 | 0.307 | 3120.9 | 5808.5 | 426.6 |
| SO₂ | 4.160 | 14.501 | 2.862 | 9.1 | 31.6 | 6.2 |
| SUM | 70.446 | 154.272 | 30.996 | 4521.9 | 9057.2 | 971.3 |
| Category | CO | NO2 | PM10 * | PM2.5 | SO2 |
|---|---|---|---|---|---|
| Pollutant emissions amount (kg/year) * | 1,233,744.2 | 2,395,323.5 | 46,119.0 | 42,429.0 | 1430.0 |
| Pollutant Removal amount (kg/year) ** | 3.8 | 15.8 | 14.8 | 2.2 | 4.2 |
| Pollutant reduction rate (%) | 0.0003 | 0.0007 | 0.0320 | 0.0053 | 0.2909 |
| Species | Carbon Storage | Carbon Storage CO₂ Equivalent | Gross Carbon Sequestration | Carbon Sequestration CO₂ Equivalent | Oxygen Production |
|---|---|---|---|---|---|
| (ton) | (ton/year) | (ton/year) | (ton/year) | (ton/year) | |
| Japanese maple | 4.4 | 16.1 | 0.71 | 2.59 | 1.71 |
| Three-flower maple | 1.1 | 4.0 | 0.19 | 0.71 | 0.47 |
| Katsura tree | 0.9 | 3.4 | 0.18 | 0.64 | 0.43 |
| Chinese fringe tree | 20.5 | 75.3 | 3.64 | 13.34 | 8.81 |
| Giant Dogwood | 0.3 | 1.3 | 0.16 | 0.57 | 0.38 |
| Kousa dogwood | 2.1 | 7.8 | 0.50 | 1.82 | 1.20 |
| Japanese cornelia dogwood | 12.0 | 43.9 | 1.67 | 6.11 | 4.03 |
| Autumn olive | 0.2 | 0.7 | 0.17 | 0.62 | 0.41 |
| Ginkgo | 0.2 | 0.7 | 0.04 | 0.14 | 0.09 |
| Tulip tree | 0.6 | 2.3 | 0.15 | 0.57 | 0.37 |
| Hall crabapple | 0.3 | 1.0 | 0.10 | 0.36 | 0.24 |
| Japanese red pine | 13.9 | 51.1 | 1.22 | 4.49 | 2.96 |
| Eastern white pine | 7.9 | 29.0 | 1.66 | 6.10 | 4.02 |
| Apricot | 0.6 | 2.3 | 0.23 | 0.83 | 0.55 |
| Peach | 0.6 | 2.1 | 0.16 | 0.59 | 0.39 |
| Chinese plum | 3.6 | 13.0 | 0.84 | 3.08 | 2.03 |
| Yoshino flowering cherry | 3.8 | 13.8 | 0.89 | 3.26 | 2.15 |
| Chinese-quince | 0.6 | 2.2 | 0.12 | 0.43 | 0.28 |
| Korean mountain ash | 0.3 | 0.9 | 0.09 | 0.34 | 0.22 |
| Japanese snowbell | 2.8 | 10.1 | 0.22 | 0.80 | 0.53 |
| Pagoda tree | 1.8 | 6.6 | 0.31 | 1.14 | 0.75 |
| Japanese yew | 2.0 | 7.4 | 0.20 | 0.75 | 0.49 |
| Northern white cedar | 0.3 | 1.1 | 0.45 | 1.65 | 1.10 |
| Elm spp. | 1.0 | 3.6 | 0.27 | 1.01 | 0.67 |
| Japanese zelkova | 3.1 | 11.3 | 0.25 | 0.91 | 0.60 |
| Common jujube | 0.8 | 3.0 | 0.15 | 0.54 | 0.36 |
| Total | 85.6 | 314.0 | 14.56 | 53.40 | 35.26 |
| Species | Trees | Leaf Area | Potential Evapotranspiration | Evaporation | Transpiration | Water Intercepted | Avoided Runoff | Avoided Runoff Value |
|---|---|---|---|---|---|---|---|---|
| Number | (m2) | (m3/year) | (m3/year) | (m3/year) | (m3/year) | (m3/year) | (USD/year) | |
| Japanese red pine | 192 | 5422.79 | 681.68 | 112.56 | 296.95 | 112.57 | 25.15 | 57.3 |
| Chinese fringe tree | 356 | 4411.07 | 552.46 | 91.22 | 240.66 | 91.23 | 20.39 | 46.5 |
| Eastern white pine | 385 | 3035.14 | 379.83 | 62.72 | 165.46 | 62.72 | 14.02 | 31.9 |
| Japanese maple | 247 | 1821.09 | 227.82 | 37.62 | 99.24 | 37.62 | 8.41 | 19.2 |
| Northern white cedar | 965 | 1416.40 | 179.36 | 29.62 | 78.14 | 29.62 | 6.62 | 15.1 |
| Yoshino flowering cherry | 152 | 1133.12 | 139.93 | 23.10 | 60.95 | 23.11 | 5.16 | 11.8 |
| Japanese cornelia dogwood | 230 | 1092.65 | 135.06 | 22.30 | 58.83 | 22.30 | 4.98 | 11.4 |
| Chinese plum | 122 | 809.37 | 102.93 | 17.00 | 44.84 | 17.00 | 3.80 | 8.7 |
| Japanese zelkova | 31 | 768.90 | 98.73 | 16.30 | 43.01 | 16.30 | 3.64 | 8.3 |
| Katsura tree | 51 | 647.50 | 79.39 | 13.11 | 34.58 | 13.11 | 2.93 | 6.7 |
| Kousa dogwood | 125 | 526.09 | 68.15 | 11.25 | 29.69 | 11.25 | 2.51 | 5.7 |
| Japanese yew | 57 | 445.15 | 57.09 | 9.43 | 24.87 | 9.43 | 2.11 | 4.8 |
| Pagoda tree | 34 | 404.69 | 50.63 | 8.36 | 22.05 | 8.36 | 1.87 | 4.3 |
| Elm spp. | 37 | 323.75 | 42.73 | 7.06 | 18.61 | 7.06 | 1.58 | 3.6 |
| Three-flower maple | 32 | 283.28 | 34.20 | 5.65 | 14.90 | 5.65 | 1.26 | 2.9 |
| Ginkgo | 36 | 242.81 | 31.90 | 5.27 | 13.89 | 5.27 | 1.18 | 2.7 |
| Japanese snowbell | 30 | 242.81 | 31.61 | 5.22 | 13.77 | 5.22 | 1.17 | 2.7 |
| Tulip tree | 19 | 242.81 | 31.52 | 5.20 | 13.73 | 5.20 | 1.16 | 2.7 |
| Giant Dogwood | 37 | 202.34 | 25.98 | 4.29 | 11.32 | 4.29 | 0.96 | 2.2 |
| Apricot | 40 | 202.34 | 24.88 | 4.11 | 10.84 | 4.11 | 0.92 | 2.1 |
| Hall crabapple | 28 | 161.87 | 17.84 | 2.95 | 7.77 | 2.95 | 0.66 | 1.5 |
| Chinese-quince | 22 | 121.41 | 14.83 | 2.45 | 6.46 | 2.45 | 0.55 | 1.2 |
| Peach | 15 | 121.41 | 13.57 | 2.24 | 5.91 | 2.24 | 0.50 | 1.1 |
| Common jujube | 15 | 121.41 | 12.86 | 2.12 | 5.60 | 2.12 | 0.47 | 1.1 |
| Autumn olive | 75 | 80.94 | 12.42 | 2.05 | 5.41 | 2.05 | 0.46 | 1.0 |
| Korean mountain ash | 16 | 80.94 | 9.97 | 1.65 | 4.34 | 1.65 | 0.37 | 0.8 |
| Total | 3349 | 24,362.08 | 3057.34 | 504.84 | 1331.85 | 504.87 | 112.81 | 257.1 |
| Category | Purpose | Subject | Method | |
|---|---|---|---|---|
| similar studies | Kim et al. (2015) [21] | How urban open spaces function as green infrastructure that provides ecosystem services and value to society | Green infrastructure of vacant land in the city of Roanoke, Virginia | Quantification of ecosystem function and economic value: air pollution removal, carbon sequestration and storage, energy-saving, and the structural value of trees on vacant land |
| Vahidi et al. (2022) [22] | Analysis of the potential effect of urban trees for eliminating air pollutants and examining their ecosystem services | Public green areas and street tree resources in D16 of Tehran Municipality | Observing and estimating the trend of air quality: studying and modeling the removal of air pollutants by vegetation, mainly native and non-native trees, and plants | |
| Song et al. (2022) [23] | Explores the role of urban green spaces in providing ecosystem services and values and ways to maximize ecosystem services | Four types of urban green spaces in Luohe, China | Assessment of vegetation structure and various ecosystem services, including air quality improvement, rainfall interception, carbon storage, and sequestration, provided by four types of urban green spaces | |
| this study | Demonstration of environmental and economic value according to conversion of gray infrastructure (road) to green infrastructure | Park section of an expressway located between Bundang and Suseo in Seongnam city, South Korea | Modeling using park planning data (completed in June 2023): quantitative analysis of tree structure characteristics, air pollutant removal, carbon and oxygen change, hydrological impact, and economic value | |
Disclaimer/Publisher’s Note: The statements, opinions and data contained in all publications are solely those of the individual author(s) and contributor(s) and not of MDPI and/or the editor(s). MDPI and/or the editor(s) disclaim responsibility for any injury to people or property resulting from any ideas, methods, instructions or products referred to in the content. |
© 2023 by the authors. Licensee MDPI, Basel, Switzerland. This article is an open access article distributed under the terms and conditions of the Creative Commons Attribution (CC BY) license (https://creativecommons.org/licenses/by/4.0/).
Share and Cite
Lee, E.; Kim, G. Green Space Ecosystem Services and Value Evaluation of Three-Dimensional Roads for Sustainable Cities. Land 2023, 12, 505. https://doi.org/10.3390/land12020505
Lee E, Kim G. Green Space Ecosystem Services and Value Evaluation of Three-Dimensional Roads for Sustainable Cities. Land. 2023; 12(2):505. https://doi.org/10.3390/land12020505
Chicago/Turabian StyleLee, Eunjoung, and Gunwoo Kim. 2023. "Green Space Ecosystem Services and Value Evaluation of Three-Dimensional Roads for Sustainable Cities" Land 12, no. 2: 505. https://doi.org/10.3390/land12020505
APA StyleLee, E., & Kim, G. (2023). Green Space Ecosystem Services and Value Evaluation of Three-Dimensional Roads for Sustainable Cities. Land, 12(2), 505. https://doi.org/10.3390/land12020505

