Spatiotemporal Distribution and Driving Force Analysis of the Ecosystem Service Value in the Fujiang River Basin, China
Abstract
1. Introduction
2. Materials and Methods
2.1. Study Area
2.2. Data Source
2.3. Calculation of ESV
2.4. ESV Sensitivity Index Analysis
2.5. Spatial Heterogeneity Analysis of ESV
2.6. Driving Factor Index System Construction
2.7. The Optimal Parameter-Based Geographical Detectors Model (OPGD)
3. Results
3.1. Analysis of the Spatiotemporal Distribution Characteristics of ESVs in the FJRB
3.2. Spatial Autocorrelation Analysis of ESVs
3.3. Analysis of the Driving Force of the Spatiotemporal Distribution of ESVs
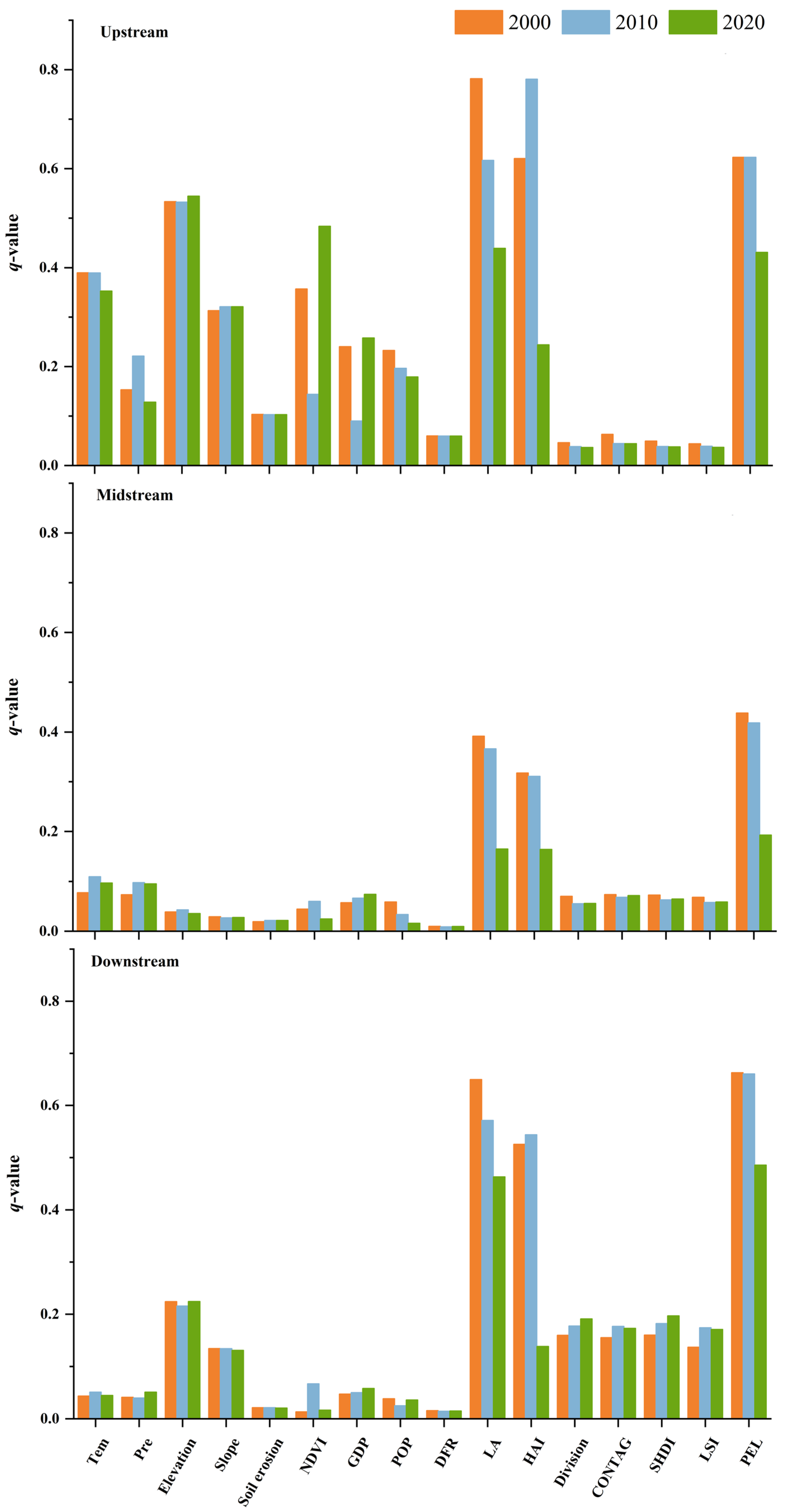
3.3.1. Factor Detector Analysis
3.3.2. Interaction Detector Analysis
4. Discussion
4.1. Analysis of the Driving Force of the Spatiotemporal Distribution of ESVs
4.2. Policy Suggestions
4.3. Limitations and Future Work
5. Conclusions
- (1)
- From 2000 to 2020, the total amount of ESV increased by 140.86 × 106 yuan, and the ESV in the FJRB displayed a tendency that increased from southeast to northwest;
- (2)
- The positive spatial autocorrelation of ESV distribution was significant. The high-value and high-high agglomerated areas were primarily distributed upstream of the FJRB, and the low-value and low-low agglomerated regions were primarily distributed in the midstream and downstream of the FRJB;
- (3)
- The most significant driving factors were elevation, HAI, LA, and PEL, and the synergistic interactions of natural factors, human activities, and landscape pattern factors contributed to the regional heterogeneity of the ESV in the research region.
Supplementary Materials
Author Contributions
Funding
Data Availability Statement
Conflicts of Interest
References
- Schägner, J.P.; Brander, L.; Maes, J.; Hartje, V. Mapping ecosystem services’ values: Current practice and future prospects. Ecosyst. Serv. 2013, 4, 33–46. [Google Scholar] [CrossRef]
- Xiao, R.; Lin, M.; Fei, X.; Li, Y.; Zhang, Z.; Meng, Q. Exploring the interactive coercing relationship between urbanization and ecosystem service value in the Shanghai–Hangzhou Bay Metropolitan Region. J. Clean. Prod. 2020, 253, 119803. [Google Scholar] [CrossRef]
- Li, Y.; Feng, Y.; Guo, X.; Peng, F. Changes in coastal city ecosystem service values based on land use—A case study of Yingkou, China. Land Use Policy 2017, 65, 287–293. [Google Scholar] [CrossRef]
- Xie, G.; Lu, C.; Leng, Y.; Zheng, D.; Li, S. Ecological assets valuation of the Tibetan Plateau. J. Nat. Resour. 2003, 18, 189–196. [Google Scholar]
- Daily, G.C.; Söderqvist, T.; Aniyar, S.; Arrow, K.; Dasgupta, P.; Ehrlich, P.R.; Folke, C.; Jansson, A.; Jansson, B.-O.; Kautsky, N. The value of nature and the nature of value. Science 2000, 289, 395–396. [Google Scholar] [CrossRef]
- Wainger, L.A.; King, D.M.; Mack, R.N.; Price, E.W.; Maslin, T. Can the concept of ecosystem services be practically applied to improve natural resource management decisions? Ecol. Econ. 2010, 69, 978–987. [Google Scholar] [CrossRef]
- Crossman, N.D.; Burkhard, B.; Nedkov, S.; Willemen, L.; Petz, K.; Palomo, I.; Drakou, E.G.; Martín-Lopez, B.; McPhearson, T.; Boyanova, K. A blueprint for mapping and modelling ecosystem services. Ecosyst. Serv. 2013, 4, 4–14. [Google Scholar] [CrossRef]
- Costanza, R.; De Groot, R.; Sutton, P.; Van der Ploeg, S.; Anderson, S.J.; Kubiszewski, I.; Farber, S.; Turner, R.K. Changes in the global value of ecosystem services. Glob. Environ. Chang. 2014, 26, 152–158. [Google Scholar] [CrossRef]
- Gomes, E.; Inácio, M.; Bogdzevič, K.; Kalinauskas, M.; Karnauskaitė, D.; Pereira, P. Future land-use changes and its impacts on terrestrial ecosystem services: A review. Sci. Total Environ. 2021, 781, 146716. [Google Scholar] [CrossRef]
- Zhan, J.; Zhang, F.; Chu, X.; Liu, W.; Zhang, Y. Ecosystem services assessment based on emergy accounting in Chongming Island, Eastern China. Ecol. Indic. 2019, 105, 464–473. [Google Scholar] [CrossRef]
- Fu, B.; Lv, Y.; Gao, G. Major research progresses on the ecosystem service and ecological safety of main terrestrial ecosystems in China. Chin. J. Nat. 2012, 34, 261–272. [Google Scholar]
- King, D.M.; Mazzotta, M.J.; Markowitz, K.J. Ecosystem Valuation. Available online: http://www.ecosystemvaluation.org/default.htm (accessed on 3 February 2023).
- Liu, Y.; Hou, X.; Li, X.; Song, B.; Wang, C. Assessing and predicting changes in ecosystem service values based on land use/cover change in the Bohai Rim coastal zone. Ecol. Indic. 2020, 111, 106004. [Google Scholar] [CrossRef]
- Costanza, R.; d’Arge, R.; De Groot, R.; Farber, S.; Grasso, M.; Hannon, B.; Limburg, K.; Naeem, S.; O’neill, R.V.; Paruelo, J. The value of the world’s ecosystem services and natural capital. Nature 1997, 387, 253–260. [Google Scholar] [CrossRef]
- Chen, T.; Feng, Z.; Zhao, H.; Wu, K. Identification of ecosystem service bundles and driving factors in Beijing and its surrounding areas. Sci. Total Environ. 2020, 711, 134687. [Google Scholar] [CrossRef]
- Luo, Q.; Zhou, J.; Li, Z.; Yu, B. Spatial differences of ecosystem services and their driving factors: A comparation analysis among three urban agglomerations in China’s Yangtze River Economic Belt. Sci. Total Environ. 2020, 725, 138452. [Google Scholar] [CrossRef]
- Pan, N.; Guan, Q.; Wang, Q.; Sun, Y.; Li, H.; Ma, Y. Spatial differentiation and driving mechanisms in ecosystem service value of Arid Region: A case study in the middle and lower reaches of Shule River Basin, NW China. J. Clean. Prod. 2021, 319, 128718. [Google Scholar] [CrossRef]
- Xie, G.; Zhang, C.; Zhang, C.; Xiao, Y.; Lu, C. The value of ecosystem services in China. Resour. Sci. 2015, 37, 1740–1746. [Google Scholar]
- Hong, Y.; Ding, Q.; Zhou, T.; Kong, L.; Wang, M.; Zhang, J.; Yang, W. Ecosystem service bundle index construction, spatiotemporal dynamic display, and driving force analysis. Ecosyst. Health Sustain. 2020, 6, 1843972. [Google Scholar] [CrossRef]
- Wu, C.; Chen, B.; Huang, X.; Wei, Y.D. Effect of land-use change and optimization on the ecosystem service values of Jiangsu province, China. Ecol. Indic. 2020, 117, 106507. [Google Scholar] [CrossRef]
- Rao, Y.; Zhou, M.; Ou, G.; Dai, D.; Zhang, L.; Zhang, Z.; Nie, X.; Yang, C. Integrating ecosystem services value for sustainable land-use management in semi-arid region. J. Clean. Prod. 2018, 186, 662–672. [Google Scholar] [CrossRef]
- Xue, C.; Zhang, H.; Wu, S.; Chen, J.; Chen, X. Spatial-temporal evolution of ecosystem services and its potential drivers: A geospatial perspective from Bairin Left Banner, China. Ecol. Indic. 2022, 137, 108760. [Google Scholar] [CrossRef]
- Su, S.; Li, D.; Xiao, R.; Zhang, Y. Spatially non-stationary response of ecosystem service value changes to urbanization in Shanghai, China. Ecol. Indic. 2014, 45, 332–339. [Google Scholar] [CrossRef]
- Gao, F.; Cui, J.; Zhang, S.; Xin, X.; Zhang, S.; Zhou, J.; Zhang, Y. Spatio-Temporal distribution and driving factors of ecosystem service value in a fragile hilly area of North China. Land 2022, 11, 2242. [Google Scholar] [CrossRef]
- Su, K.; Wei, D.-Z.; Lin, W.-X. Evaluation of ecosystem services value and its implications for policy making in China–a case study of Fujian province. Ecol. Indic. 2020, 108, 105752. [Google Scholar] [CrossRef]
- Zhou, D.; Tian, Y.; Jiang, G. Spatio-temporal investigation of the interactive relationship between urbanization and ecosystem services: Case study of the Jingjinji urban agglomeration, China. Ecol. Indic. 2018, 95, 152–164. [Google Scholar] [CrossRef]
- Song, F.; Su, F.; Mi, C.; Sun, D. Analysis of driving forces on wetland ecosystem services value change: A case in Northeast China. Sci. Total Environ. 2021, 751, 141778. [Google Scholar] [CrossRef]
- Sannigrahi, S.; Zhang, Q.; Pilla, F.; Joshi, P.K.; Basu, B.; Keesstra, S.; Roy, P.; Wang, Y.; Sutton, P.C.; Chakraborti, S. Responses of ecosystem services to natural and anthropogenic forcings: A spatial regression based assessment in the world’s largest mangrove ecosystem. Sci. Total Environ. 2020, 715, 137004. [Google Scholar] [CrossRef]
- Zhu, M.; He, W.; Zhang, Q.; Xiong, Y.; Tan, S.; He, H. Spatial and temporal characteristics of soil conservation service in the area of the upper and middle of the Yellow River, China. Heliyon 2019, 5, e02985. [Google Scholar] [CrossRef]
- Braun, D.; de Jong, R.; Schaepman, M.E.; Furrer, R.; Hein, L.; Kienast, F.; Damm, A. Ecosystem service change caused by climatological and non-climatological drivers: A Swiss case study. Ecol. Appl. 2019, 29, e01901. [Google Scholar] [CrossRef]
- Wang, Y.; Liu, Z. Vertical distribution and influencing factors of soil water content within 21-m profile on the Chinese Loess Plateau. Geoderma 2013, 193, 300–310. [Google Scholar] [CrossRef]
- Fu, B.; Zhang, L. Land-use change and ecosystem services: Concepts, methods and progress. Prog. Geogr. 2014, 33, 441–446. [Google Scholar]
- Zhang, X.; Du, H.; Wang, Y.; Chen, Y.; Ma, L.; Dong, T. Watershed landscape ecological risk assessment and landscape pattern optimization: Take Fujiang River Basin as an example. Hum. Ecol. Risk Assess. Int. J. 2021, 27, 2254–2276. [Google Scholar] [CrossRef]
- Rayner, J.; Howlett, M. Introduction: Understanding integrated policy strategies and their evolution. Policy Soc. 2009, 28, 99–109. [Google Scholar] [CrossRef]
- Jun, C.; Ban, Y.; Li, S. Open access to Earth land-cover map. Nature 2014, 514, 434. [Google Scholar] [CrossRef]
- Zhuang, D.; Liu, J. Study on the model of regional differentiation of land use degree in China. J. Nat. Resour. 1997, 12, 10–16. [Google Scholar]
- Chen, F.; Ge, X.; Chen, G.; Peng, B. Spatial different analysis of landscape change and human impact in urban fringe. Sci. Geogr. Sin. 2001, 21, 210–216. [Google Scholar]
- Costanza, R.; Patten, B.C. Defining and predicting sustainability. Ecol. Econ. 1995, 15, 193–196. [Google Scholar] [CrossRef]
- Fei, L.; Shuwen, Z.; Jiuchun, Y.; Liping, C.; Haijuan, Y.; Kun, B. Effects of land use change on ecosystem services value in West Jilin since the reform and opening of China. Ecosyst. Serv. 2018, 31, 12–20. [Google Scholar] [CrossRef]
- Kindu, M.; Schneider, T.; Döllerer, M.; Teketay, D.; Knoke, T. Scenario modelling of land use/land cover changes in Munessa-Shashemene landscape of the Ethiopian Highlands. Sci. Total Environ. 2018, 622, 534–546. [Google Scholar] [CrossRef]
- Xie, H.; Kung, C.-C.; Zhao, Y. Spatial disparities of regional forest land change based on ESDA and GIS at the county level in Beijing-Tianjin-Hebei area. Front. Earth Sci. 2012, 6, 445–452. [Google Scholar] [CrossRef]
- Huang, C.; Liu, K.; Zhou, L. Spatio-temporal trends and influencing factors of PM2. 5 concentrations in urban agglomerations in China between 2000 and 2016. Environ. Sci. Pollut. Res. 2021, 28, 10988–11000. [Google Scholar] [CrossRef] [PubMed]
- Liao, J.; Yu, C.; Feng, Z.; Zhao, H.; Wu, K.; Ma, X. Spatial differentiation characteristics and driving factors of agricultural eco-efficiency in Chinese provinces from the perspective of ecosystem services. J. Clean. Prod. 2021, 288, 125466. [Google Scholar] [CrossRef]
- Wang, J.-F.; Zhang, T.-L.; Fu, B.-J. A measure of spatial stratified heterogeneity. Ecol. Indic. 2016, 67, 250–256. [Google Scholar] [CrossRef]
- Wang, J.F.; Li, X.H.; Christakos, G.; Liao, Y.L.; Zhang, T.; Gu, X.; Zheng, X.Y. Geographical detectors-based health risk assessment and its application in the neural tube defects study of the Heshun Region, China. Int. J. Geogr. Inf. Sci. 2010, 24, 107–127. [Google Scholar] [CrossRef]
- Song, Y.; Wang, J.; Ge, Y.; Xu, C. An optimal parameters-based geographical detector model enhances geographic characteristics of explanatory variables for spatial heterogeneity analysis: Cases with different types of spatial data. Giscience Remote Sens. 2020, 57, 593–610. [Google Scholar] [CrossRef]
- Peng, J.; Hu, X.; Zhao, M.; Liu, Y.; Tian, L. Research progress on ecosystem service trade-offs: From cognition to decision-making. Acta Geogr. Sin. 2017, 72, 960–973. [Google Scholar]
- Torres, A.V.; Tiwari, C.; Atkinson, S.F. Progress in ecosystem services research: A guide for scholars and practitioners. Ecosyst. Serv. 2021, 49, 101267. [Google Scholar] [CrossRef]
- Teng, Y.; Zhan, J.; Liu, W.; Chu, X.; Zhang, F.; Wang, C.; Wang, L. Spatial heterogeneity of ecosystem services trade-offs among ecosystem service bundles in an alpine mountainous region: A case-study in the Qilian Mountains, Northwest China. Land Degrad. Dev. 2022, 33, 1846–1861. [Google Scholar] [CrossRef]
- Shahab, S.; Hartmann, T.; Jonkman, A. Strategies of municipal land policies: Housing development in Germany, Belgium, and Netherlands. Eur. Plan. Stud. 2021, 29, 1132–1150. [Google Scholar] [CrossRef]
- Hartmann, T.; Jehling, M. From diversity to justice–Unraveling pluralistic rationalities in urban design. Cities 2019, 91, 58–63. [Google Scholar] [CrossRef]






| Driving Factor | Sources and Time | Processing | |
|---|---|---|---|
| Nature factor | Temperature (Tem) | https://www.ncdc.noaa.gov/, accessed on 15 March 2022 (2000, 2010, 2020) | Anusplin interpolation model |
| Precipitation (Pre) | |||
| Elevation | https://www.gscloud.cn/, accessed on 18 June 2022 | ArcGIS Spatial analysis tool | |
| Slop | |||
| Soil erosion | https://www.resdc.cn/, accessed on 18 June 2022 (2000, 2010, 2020) | ||
| Difference Vegetation Index (NDVI) | |||
| Human-social factors | GDP per land (GDP) | (2000, 2010, 2020) | Kriging method |
| Population density (POP) | (2000, 2010, 2020) | ||
| Distance from the road (DFR) | https://www.webmap.cn/, accessed on 18 June 2022 | Euclidean Distance | |
| Land use intensity (LA) | [36] (2000, 2010, 2020) | ||
| Human activity intensity (HAI) | [37] (2000, 2010, 2020) | ||
| Landscape pattern factors | Landscape Division Index (DIVISION) | LULC data (2000, 2010, 2020) | Fragstats software 4.0 |
| Contagion Index (CONTAG) | |||
| Shannon’s Diversity Index (SHDI) | |||
| Landscape Shape Index (LSI) | |||
| The Proportion of ecological land (PEL) | |||
| Statistic data | Total population | Local Bureau of Statistics (2000, 2010, 2020) | |
| Gross Domestic Product (GDP) | |||
| Total area |
| Type | Cultivated Land | Forest Land | Grassland | Waterbody | Unutilized Land | |
|---|---|---|---|---|---|---|
| Regulating service | Gas regulation | 1061.39 | 7429.70 | 1698.22 | 3820.99 | 0.00 |
| Climate regulation | 1889.26 | 5731.48 | 1910.49 | 36,299.37 | 0.00 | |
| Hydrological regulation | 1273.66 | 6792.86 | 1698.22 | 32,902.94 | 63.69 | |
| Soil conservation | 3099.24 | 8278.80 | 4139.40 | 3629.94 | 42.46 | |
| Supporting service | Waste disposal | 3481.35 | 2780.83 | 2780.83 | 38,591.96 | 21.23 |
| Maintaining biodiversity | 1507.17 | 6920.23 | 2313.82 | 5306.93 | 721.74 | |
| Provisioning service | Food production | 2122.77 | 212.28 | 636.83 | 636.83 | 21.23 |
| Raw material production | 212.28 | 5519.20 | 106.14 | 148.59 | 0.00 | |
| Cultural service | Aesthetic landscape | 21.23 | 2717.14 | 84.91 | 11,781.38 | 21.23 |
| Total | 14,668.34 | 46,382.52 | 15,368.86 | 133,118.91 | 891.57 |
| Different ESV Grade Zones | Extremely Low | Low | Medium | High | Extremely High | |
|---|---|---|---|---|---|---|
| Area (km2) | 2000 | 664.87 | 17,308.69 | 7609.63 | 4533.36 | 9082.00 |
| 2010 | 675.50 | 16,180.56 | 8434.22 | 4622.26 | 9280.00 | |
| 2020 | 2427.85 | 15,481.19 | 7656.17 | 5356.99 | 8267.35 | |
| Change (%) | 2000–2010 | 1.60 | −6.52 | 10.84 | 1.96 | 2.18 |
| 2010–2020 | 259.41 | −4.32 | −9.22 | 15.90 | −10.91 | |
| 2000–2020 | 265.16 | −10.56 | 0.61 | 18.17 | −8.97 | |
Disclaimer/Publisher’s Note: The statements, opinions and data contained in all publications are solely those of the individual author(s) and contributor(s) and not of MDPI and/or the editor(s). MDPI and/or the editor(s) disclaim responsibility for any injury to people or property resulting from any ideas, methods, instructions or products referred to in the content. |
© 2023 by the authors. Licensee MDPI, Basel, Switzerland. This article is an open access article distributed under the terms and conditions of the Creative Commons Attribution (CC BY) license (https://creativecommons.org/licenses/by/4.0/).
Share and Cite
Zhang, X.; Xie, B.; Li, J.; Yuan, C. Spatiotemporal Distribution and Driving Force Analysis of the Ecosystem Service Value in the Fujiang River Basin, China. Land 2023, 12, 449. https://doi.org/10.3390/land12020449
Zhang X, Xie B, Li J, Yuan C. Spatiotemporal Distribution and Driving Force Analysis of the Ecosystem Service Value in the Fujiang River Basin, China. Land. 2023; 12(2):449. https://doi.org/10.3390/land12020449
Chicago/Turabian StyleZhang, Xuemao, Binggeng Xie, Junhan Li, and Chuan Yuan. 2023. "Spatiotemporal Distribution and Driving Force Analysis of the Ecosystem Service Value in the Fujiang River Basin, China" Land 12, no. 2: 449. https://doi.org/10.3390/land12020449
APA StyleZhang, X., Xie, B., Li, J., & Yuan, C. (2023). Spatiotemporal Distribution and Driving Force Analysis of the Ecosystem Service Value in the Fujiang River Basin, China. Land, 12(2), 449. https://doi.org/10.3390/land12020449

