Spatial-Temporal Simulation of Carbon Storage Based on Land Use in Yangtze River Delta under SSP-RCP Scenarios
Abstract
1. Introduction
2. Materials and Methods
2.1. Study Area
2.2. Datasets and Preprocessing
2.3. Method
2.3.1. Improved Markov Model
2.3.2. The Weight Matrices of Scenarios
2.3.3. PLUS Model
2.3.4. InVEST Model
3. Results
3.1. Impact of Land Use Change on Carbon Storage
3.2. Assessment of Land Use Simulation Model Results
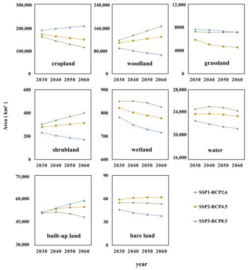
3.2.1. Forecast of Land Use Area for the Yangtze River Delta under Different Scenarios
3.2.2. Simulation of Land Use Patterns for the Yangtze River Delta under Different Scenarios
3.3. Future Carbon Storage Pattern in the Yangtze River Delta under Different Scenarios
4. Discussion
4.1. Advantages of Introducing Multi-Scenario Weight Matrices
4.2. Impact of Land Use Change on Carbon Storage
4.3. Limitation
5. Conclusions
- (1)
- The improved Markov-PLUS integrated model provides satisfactory land use prediction accuracy. The maximum relative error of 24.05% is achieved in area forecasting, and overall accuracy in spatial pattern simulation is 0.85–0.90 with kappa coefficients of 0.77–0.84. The series validation accuracy indicates that the integrated model is applicable to area forecast and spatial pattern simulation of land use types.
- (2)
- Under the SSP1-RCP2.6 scenario, the woodland area in the Yangtze River Delta expands significantly, and the carbon storage in 2060 is estimated to be 5069.31 × 106 t, with an average annual increase of 19.13 × 106 t compared to 2020. Under the SSP2-RCP4.5 scenario, the land use changes little, and the estimated value is 4583.17 × 106 t, with an average annual increase of 6.98 × 106 t. However, the built-up land expands more under the SSP5-RCP8.5 scenario, and the estimated carbon storage of 2060 is 3836.55 × 106 t, with an average decrease of 11.69 × 106 t per year.
- (3)
- The SSP1-RCP2.6 scenario causes a facilitating effect on enhancing the carbon sink capacity of ecosystems, and the SSP2-RCP4.5 scenario has a negligible effect, while the SSP5-RCP8.5 scenario causes a negative effect. Thus, policymakers should design land use policies and urban development plans according to local conditions so that the SSP5-RCP8.5 scenario should not come. Only then can the carbon storage of ecosystems be increased, and the goal of co-development of economy and ecology be achieved.
- Policy implications will be taken into account.
- The temporal trends of carbon density will be explored to improve the accuracy of carbon density estimation.
- Land use data with higher accuracy will be applied to the study to obtain more realistic simulation results.
Author Contributions
Funding
Data Availability Statement
Acknowledgments
Conflicts of Interest
References
- Lü, W.W.; Ren, H.Y.; Ding, W.C.; Li, H.; Yao, X.; Jiang, X. The effects of climate warming on microbe-mediated mechanisms of sediment carbon emission. J. Environ. Sci. 2023, 129, 16–29. [Google Scholar] [CrossRef]
- Neupane, A.; Lazicki, P.; Mayes, M.A.; Lee, J.; Jagadamma, S. The use of stable carbon isotopes to decipher global change effects on soil organic carbon: Present status, limitations, and future prospects. Biogeochemistry 2022, 160, 315–354. [Google Scholar] [CrossRef]
- Friedlingstein, P.; O’Sullivan, M.; Jones, M.W.; Andrew, R.M.; Hauck, J.; Olsen, A.; Peters, G.P.; Peters, W.; Pongratz, J.; Sitch, S.; et al. Global Carbon Budget 2020. Earth Syst. Sci. Data 2020, 12, 3269–3340. [Google Scholar] [CrossRef]
- Li, H.Y.; Qu, Y.; Zeng, X.Y.; Zhang, H.Q.; Cui, L.; Luo, C.Y. Dynamic response of the vegetation carbon storage in the sanjiang plain to changes in land use/cover and climate. Herit. Sci. 2021, 9, 134–146. [Google Scholar] [CrossRef]
- Piao, S.; Fang, J.; Ciais, P.; Peylin, P.; Huang, Y.; Sitch, S.; Wang, T. The carbon balance of terrestrial ecosystems in China. Nature 2009, 458, 1009–1013. [Google Scholar] [CrossRef]
- Huang, X.J.; Zhang, A.L.; Zhao, R.Q.; Gao, F.; Zhang, H.H. Carbon Emission Peak, Carbon Neutrality and Territorial Spatial Planning Implementation Mechanism. Mod. Urban Res. 2022, 1, 1–5. [Google Scholar]
- Liao, W.L.; Liu, X.P.; Xu, X.Y.; Chen, G.Z.; Liang, X.; Zhang, H.H.; Li, X. Projections of land use changes under the plant functional type classification in different SSP-RCP scenarios in China. Sci. Bull. 2020, 65, 1935–1947. [Google Scholar] [CrossRef]
- Li, J.; Gong, J.; Guldmann, J.M.; Yang, J.; Zhang, Z. Simulation of Land-Use Spatiotemporal Changes under Ecological Quality Constraints: The Case of the Wuhan Urban Agglomeration Area, China, over 2020–2030. Int. J. Environ. Res. Public Health 2022, 19, 6905. [Google Scholar] [CrossRef]
- Li, Z.J. Calculation of Terrestrial Carbon Sink Capacity in Dongying City, Shandong Province. Adv. Mater. Res. 2013, 2482, 1901–1904. [Google Scholar] [CrossRef]
- Liu, W.; Qin, B. Low-carbon city initiatives in China: A review from the policy paradigm perspective. Cities 2016, 51, 131–138. [Google Scholar] [CrossRef]
- He, H.L.; Yu, G.R.; Zhang, L.M.; Sun, X.M.; Su, W. Simulating CO2 flux of three different ecosystems in ChinaFLUX based on artificial neural networks. Sci. China Ser. D 2006, 49, 252–261. [Google Scholar] [CrossRef]
- Wang, G.C. A View on Measurement Methods for Greenhouse Gases Emission from Terrestrial Ecosystem. Clim. Environ. Res. 1997, 2, 251–263. [Google Scholar]
- Wu, H.; Xu, H. Research Progress in Estimating Carbon Storage of Forest Ecosystem. For. Resour. Manag. 2021, 6, 43–51. [Google Scholar] [CrossRef]
- Fang, J.Y.; Guo, Z.D.; Piao, S.L.; Chen, A.P. Terrestrial vegetation carbon sinks in China, 1981–2000. Sci. China Ser. D 2007, 50, 1341–1350. [Google Scholar] [CrossRef]
- Zhao, L.; Yin, M.F.; Chen, X.F.; Wang, D.Q. Summary of the Research Methods of Forest Carbon Sink Accounting. J. Northwest For. Univ. 2008, 23, 59–63. [Google Scholar]
- Filipchuk, A.; Moiseev, B.; Malysheva, N.; Strakhov, V. Russian forests: A new approach to the assessment of carbon stocks and sequestration capacity. Environ. Dev. 2018, 26, 68–75. [Google Scholar] [CrossRef]
- Schedlbauer, J.L.; Polohovich, S. Current and Future Carbon Storage Capacity a Southeastern Pennsylvania Forest. Nat. Areas J. 2020, 40, 300–308. [Google Scholar] [CrossRef]
- Lipatov, D.N.; Shcheglov, A.I.; Manakhov, D.V.; Brekhov, P.T. Spatial Variation of Organic Carbon Stocks in Peat Soils and Gleyzems in the Northeast of Sakhalin Island. Eurasian Soil Sci. 2021, 54, 226–237. [Google Scholar] [CrossRef]
- Ma, W.S.; Wu, T.H.; Wu, X.D.; Yue, G.Y.; Li, R.; Li, X.F.; Zhu, X.F.; Hu, G.J.; Qiao, Y.P.; Hao, J.M.; et al. Warming could shift steppes to carbon sinks and meadows to carbon sources in permafrost regions: Evidence from the improved IBIS model. Catena 2021, 200, 105168–105179. [Google Scholar] [CrossRef]
- Liu, C.; Liang, Y.; Zhao, Y.J.; Liu, S.S.; Huang, C.B. Simulation and Analysis of the Effects of Land Use and Climate Change on Carbon Dynamics in the Wuhan City Circle Area. Int. J. Environ. Res. Public Health 2021, 18, 11617. [Google Scholar] [CrossRef]
- Nelson, E.; Mendoza, G.; Regetz, J.; Polasky, S.; Tallis, H.; Cameron, D.R.; Chan, K.M.A.; Daily, G.C.; Goldstein, J.; Kareiva, P.M.; et al. Modeling multiple ecosystem services, biodiversity conservation, commodity production, and tradeoffs at landscape scales. Front. Ecol. Environ. 2009, 7, 4–11. [Google Scholar] [CrossRef]
- Nemec, K.T.; Raudsepp-Hearne, C. The use of geographic information systems to map and assess ecosystem services. Biodivers. Conserv. 2012, 22, 1–15. [Google Scholar] [CrossRef]
- Lin, B.Q.; Ma, R.Y. Towards carbon neutrality: The role of different paths of technological progress in mitigating China’s CO2 emissions. Sci. Total Environ. 2021, 813, 152588. [Google Scholar] [CrossRef] [PubMed]
- Sheikh, M.A.; Tiwari, A.; Anjum, J.; Sharma, S. Dynamics of carbon storage and status of standing vegetation in temperate coniferous forest ecosystem of north western Himalaya India. Vegetos 2021, 34, 822–833. [Google Scholar] [CrossRef]
- Gong, W.F.; Duan, X.Y.; Mao, M.J.; Hu, J.H.; Sun, Y.X.; Wu, G.H.; Zhang, Y.Y.; Xie, Y.D.; Qiu, X.C.; Rao, X.D.; et al. Assessing the impact of land use and changes in land cover related to carbon storage by linking trajectory analysis and InVEST models in the Nandu River Basin on Hainan Island in China. Front. Environ. Sci. 2022, 10, 1038752. [Google Scholar] [CrossRef]
- Wang, C.W.; Luo, J.J.; Qing, F.; Tang, Y.; Wang, Y.F. Analysis of the Driving Force of Spatial and Temporal Differentiation of Carbon Storage in Taihang Mountains Based on InVEST Model. Appl. Sci. 2022, 12, 10662. [Google Scholar] [CrossRef]
- Pham, T.D.; Xia, J.S.; Ha, N.T.; Bui, D.T.; Le, N.N.; Tekeuchi, W. A Review of Remote Sensing Approaches for Monitoring Blue Carbon Ecosystems: Mangroves, Seagrassesand Salt Marshes during 2010–2018. Sensors 2019, 19, 1933. [Google Scholar] [CrossRef]
- Wang, H.J.; Xia, C.; Liu, X.P.; Zhang, A.Q.; Zhu, Y.R.; Wang, H.X. Theoretical and Methodological Perspectives of Fine-Scale Urban Expansion Cellular Automata for the Large Regions. Geogr. Geoinf. Sci. 2016, 32, 1–8. [Google Scholar] [CrossRef]
- Clarke, K.C.; Gaydos, L.J. Loose-coupling a cellular automaton model and GIS: Long-term urban growth prediction for San Francisco and Washington/Baltimore. Int. J. Geogr. Inf. Sci. 1998, 12, 699–714. [Google Scholar] [CrossRef]
- Luan, C.X.; Liu, R.Z. A Comparative Study of Various Land Use and Land Cover Change Models to Predict Ecosystem Service Value. Int. J. Environ. Res. Public Health 2022, 19, 16484. [Google Scholar] [CrossRef]
- Wang, F.; Marceau, D.J. A Patch-based Cellular Automaton for Simulating Land-use Changes at Fine Spatial Resolution. T. GIS 2013, 17, 828–846. [Google Scholar] [CrossRef]
- Chen, Y.M.; Li, X.; Liu, X.P.; Ai, B.; Li, S.Y. Capturing the varying effects of driving forces over time for the simulation of urban growth by using survival analysis and cellular automata. Landsc. Urban Plan. 2016, 152, 59–71. [Google Scholar] [CrossRef]
- Liang, X.; Liu, X.P.; Li, D.; Zhao, H.; Chen, G.Z. Urban growth simulation by incorporating planning policies into a CA-based future land-use simulation model. Int. J. Geogr. Inf. Sci. 2018, 32, 2294–2316. [Google Scholar] [CrossRef]
- Lin, J.Y.; Li, X.; Wen, Y.Y.; He, P.T. Modeling urban land-use changes using a landscape-driven patch-based cellular automaton (LP-CA). Cities 2023, 132, 103906. [Google Scholar] [CrossRef]
- Liang, X.; Guan, Q.F.; Clarke, K.C.; Liu, S.S.; Wang, B.Y.; Yao, Y. Understanding the drivers of sustainable land expansion using a patch-generating land use simulation (PLUS) model: A case study in Wuhan, China. Comput. Environ. Urban Syst. 2021, 85, 101569. [Google Scholar] [CrossRef]
- Wang, Z.Y.; Huang, C.L.; Li, L.; Lin, J. Ecological zoning planning and dynamic evaluation coupled with Invest-HFI-Plus model: A case study in Bortala Mongolian Autonomous Prefecture. Acta Ecol. Sin. 2022, 42, 5789–5798. [Google Scholar] [CrossRef]
- Li, C.; Wu, Y.M.; Gao, B.P.; Zheng, K.J.; Wu, Y.; Li, C. Multi-scenario simulation of ecosystem service value for optimization of land use in the Sichuan-Yunnan ecological barrier, China. Ecol. Indic. 2021, 132, 108328–108341. [Google Scholar] [CrossRef]
- Liang, X.; Liu, X.P.; Li, X.; Chen, Y.M.; Tian, H.; Yao, Y. Delineating multi-scenario urban growth boundaries with a CA-based FLUS model and morphological method. Landsc. Urban Plan. 2018, 177, 47–63. [Google Scholar] [CrossRef]
- Liu, X.P.; Liang, X.; Li, X.; Xu, X.C.; Ou, J.P.; Chen, Y.M.; Li, S.Y.; Wang, S.J.; Pei, F.S. A future land use simulation model (FLUS) for simulating multiple land use scenarios by coupling human and natural effects. Landsc. Urban Plan. 2017, 168, 94–116. [Google Scholar] [CrossRef]
- Ghosh, P.; Mukhopadhyay, A.; Chanda, A.; Mondal, P.; Akhand, A.; Mukherjee, S.; Nayak, S.K.; Ghosh, S.; Mitra, D.; Ghosh, T.; et al. Application of Cellular automata and Markov-chain model in geospatial environmental modeling—A review. Remote Sens. Appl. Soc. Environ. 2017, 5, 64–77. [Google Scholar] [CrossRef]
- Jenerette, G.D.; Harlan, S.L.; Buyantuev, A.; Stefanov, W.L.; Declet-Barreto, J.; Ruddell, B.L.; Myint, S.W.; Kaplan, S.; Li, X.X. Micro-scale urban surface temperatures are related to land-cover features and residential heat related health impacts in Phoenix, AZ USA. Landsc. Ecol. 2016, 31, 745–760. [Google Scholar] [CrossRef]
- Pandey, K.; Mitra, D.; Maithani, S.; Karnatak, H. Urban Growth Modelling Using Cellular Automata—Markov (CA-Markov) Technique. J. Appl. Math. Comput. 2018, 2, 178–187. [Google Scholar] [CrossRef]
- Sun, D.Z.; Liang, Y.J. Multi-scenario simulation of land use dynamic in the Loess Plateau using an improved Markov-CA model. J. Geoinf. Sci. 2021, 23, 825–836. [Google Scholar] [CrossRef]
- Lang, Y.Q.; Song, W. Quantifying and mapping the responses of selected ecosystem services to projected land use changes. Ecol. Indic. 2019, 102, 186–198. [Google Scholar] [CrossRef]
- Jiang, H.L.; Xu, X.; Guan, X.; Wang, L.F.; Huang, Y.M.; Liu, Y.H. Simulation of Spatiotemporal Land Use Changes for Integrated Model of Socioeconomic and Ecological Processes in China. Sustainability 2019, 11, 3627. [Google Scholar] [CrossRef]
- Fan, Z.M. Simulation of land-cover change in Jing-Jin-Ji region under different scenarios of SSP-RCP. J. Geogr. Sci. 2022, 32, 421–440. [Google Scholar] [CrossRef]
- Su, B.D.; Huang, J.L.; Mondal, S.K.; Zhai, J.Q.; Wang, Y.J.; Wen, S.S.; Gao, M.N.; Lv, Y.R.; Jiang, S.; Jiang, T.; et al. Insight from CMIP6 SSP-RCP scenarios for future drought characteristics in China. Atmos. Res. 2021, 250, 105375–105393. [Google Scholar] [CrossRef]
- Zhao, X.; Zhu, M.Y.; Liu, D.D.; Xu, S.Q.; Ye, S.Y.; Wang, S.; Cui, Y.P.; Zhou, S.H. Exploring the Ecological Climate Effects of Different Land Use Changes in the Yangtze River Basin from 2000 to 2020. Land 2022, 11, 1636. [Google Scholar] [CrossRef]
- Li, J.; Chunyu, X.Z.; Huang, F. Land Use Pattern Changes and the Driving Forces in the Shiyang River Basin from 2000 to 2018. Sustainability 2022, 15, 154. [Google Scholar] [CrossRef]
- Xu, D.H.; Zhang, K.; Cao, L.H.; Guan, X.R.; Zhang, H.B. Driving forces and prediction of urban land use change based on the geodetector and CA-Markov model: A case study of Zhengzhou, China. Int. J. Digit. Earth 2022, 15, 2246–2267. [Google Scholar] [CrossRef]
- Zhu, H.X.; Ou, X.J.; Yang, Z.; Yang, Y.W.; Ren, H.X.; Tang, L. Spatiotemporal Dynamics and Driving Forces of Land Urbanization in the Yangtze River Delta Urban Agglomeration. Land 2022, 11, 1365. [Google Scholar] [CrossRef]
- Mohammad, A.; Ali, A.A.; Raid, S.; Babikir, M. Land Use Land Cover Change Analysis for Urban Growth Prediction Using Landsat Satellite Data and Markov Chain Model for Al Baha Region Saudi Arabia. Forests 2022, 13, 1530. [Google Scholar] [CrossRef]
- Hurtt, G.C.; Chini, L.; Sahajpal, R.; Frolking, S.; Bodirsky, B.L.; Calvin, K.; Doelman, J.C.; Fisk, J.; Fujimori, S.; Goldewijk, K.K.; et al. Harmonization of global land use change and management for the period 850–2100 (LUH2) for CMIP6. Geosci. Model Dev. 2020, 13, 5425–5464. [Google Scholar] [CrossRef]
- Chen, L.J.; Liu, G.H.; Li, H.G. Estimating Net Primary Productivity of Terrestrial Vegetation in China Using Remote Sensing. J. Remote Sens. 2002, 6, 129–135+164. [Google Scholar]
- Xie, X.L.; Sun, B.; Zhou, H.Z.; Li, Z.P.; Li, A.B. Organic Carbon Density and Storage in soils of China and Spatial Analysis. Acta Pedol. Sin. 2004, 41, 35–43. [Google Scholar]
- Li, K.R.; Wang, S.Q.; Cao, M.K. Vegetation and Soil Carbon Storage in China. Sci. China Ser. D 2003, 01, 72–80. [Google Scholar] [CrossRef]
- Li, L.; Fu, W.; Luo, M.C. Spatial and Temporal Variation and Prediction of Ecosystem Carbon Stocks in Yunnan Province Based on Land Use Change. Int. J. Environ. Res. Public Health 2022, 19, 16059. [Google Scholar] [CrossRef]
- Li, X.; Chen, G.Z.; Liu, X.P.; Liang, X.; Wang, S.J.; Chen, Y.M.; Pei, F.S.; Xu, X.C. A New Global Land-Use and Land-Cover Change Product at a 1-km Resolution for 2010 to 2100 Based on Human–Environment Interactions. Ann. Am. Assoc. Geogr. 2017, 107, 1303357. [Google Scholar] [CrossRef]
- Schaldach, R.; Alcamo, J.; Koch, J.; Kölking, C.; Lapola, D.M.; Schüngel, J.; Priess, J.A. An integrated approach to modelling land-use change on continental and global scales. Environ. Model. Softw. 2011, 26, 1041–1051. [Google Scholar] [CrossRef]
- Tubiello, F.N.; Salvatore, M.; Ferrara, A.F.; House, J.; Federici, S.; Rossi, S.; Biancalani, R.; Condor, G.R.D.; Jacobs, H.; Flammini, A.; et al. The Contribution of Agriculture, Forestry and other Land Use activities to Global Warming, 1990–2012. Glob. Change Biol. 2015, 21, 2655–2660. [Google Scholar] [CrossRef]
- Hergoualc’h, K.; Verchot, L.V. Greenhouse gas emission factors for land use and land-use change in Southeast Asian peatlands. Mitig. Adapt. Strateg. Glob. Change 2014, 19, 789–807. [Google Scholar] [CrossRef]
- Houghton, R.A. Aboveground Forest Biomass and the Global Carbon Balance. Glob. Change Biol. 2005, 11, 945–958. [Google Scholar] [CrossRef]
- Luo, Y.Q.; Niu, S.L. Mature forest shows little increase in carbon uptake in a CO2-enriched atmosphere. Nature 2020, 580, 191–192. [Google Scholar] [CrossRef] [PubMed]
- Wang, H.H.; Yue, C.; Mao, Q.Q.; Zhao, J.; Ciais, P.; Li, W.; Yu, Q.; Mu, X.M. Vegetation and species impacts on soil organic carbon sequestration following ecological restoration over the Loess Plateau, China. Geoderma 2020, 371, 114389. [Google Scholar] [CrossRef]
- Chen, W.X.; Zhao, H.B.; Li, J.F.; Zhu, L.J.; Wang, Z.Y.; Zeng, J. Land use transitions and the associated impacts on ecosystem services in the Middle Reaches of the Yangtze River Economic Belt in China based on the geo-informatic Tupu method. Sci. Total Environ. 2020, 701, 134690. [Google Scholar] [CrossRef]
- Qiao, W.Y.; Guan, W.H.; Huang, X.J. Assessing the Potential Impact of Land Use on Carbon Storage Driven by Economic Growth: A Case Study in Yangtze River Delta Urban Agglomeration. Int. J. Environ. Res. Public Health 2021, 18, 11924. [Google Scholar] [CrossRef]
- Chen, J.D.; Xu, C.; Wang, Y.Z.; Li, D.; Song, M.L. Carbon neutrality based on vegetation carbon sequestration for China’s cities and counties: Trend, inequality and driver. Resour. Policy 2021, 74, 102116–102403. [Google Scholar] [CrossRef]
- Zhao, Y.; Zhong, L.; Ma, Y.M.; Fu, Y.F.; Chen, M.X.; Ma, W.Q.; Zhao, C.; Huang, Z.Y.; Zhou, K.Q. WRF/UCM simulations of the impacts of urban expansion and future climate change on atmospheric thermal environment in a Chinese megacity. Clim. Change 2021, 169, 38. [Google Scholar] [CrossRef]
- Ren, H.Q.; Cai, G.Y.; Zhao, G.Q.; Li, Z.Q. Accuracy Assessment of the GlobeLand30 Dataset in Jiangxi Province. Int. Arch. Photogramm. Remote Sens. Spatial Inf. Sci. 2018, XLII-3, 1481–1487. [Google Scholar] [CrossRef]
- He, C.; Zhang, J.X.; Wan, Y.; Yang, W.J.; Yang, R.N. Accuracy Assessment of GlobeLand30 2020 Based on Spatial Sampling: A Case Study in Shanghai. Geospat. Inf. 2022, 20, 93–96+106. [Google Scholar]
- Wang, Z.X.; Xing, H.F.; Zhang, H.X.; Shu, Y.Q.; Meng, Y.; Li, B. Employing Crowdsourced Geographic Information for GlobeLand30 Artificial Surface Validation. Geomat. World 2021, 28, 100–105. [Google Scholar]











| Data Type | Data Name | Resolution | Year | Data Source |
|---|---|---|---|---|
| Land use data | GlobeLand30 data | 30 m | 2000, 2010, 2020 | GlobeLand30 (http://www.globallandcover.com, accessed on 16 September 2022) |
| Restricted conversion data | Nature reserve data | / | 2018 | Resource and Environment Science and Data Center (https://www.resdc.cn, accessed on 17 September 2022) |
| Meteorology factors | Total annual precipitation | 1000 m | 2000 | |
| Average annual temperature | 1000 m | |||
| Soil factors | Soil type | 1000 m | 1995 | |
| Soil erosion | 1000 m | |||
| Socio-economics factors | GDP | 1000 m | 2000 | |
| Population | 1000 m | |||
| Terrain factors | SRTMDEMUTM 90M | 90 m | 2000 | Geospatial Data Cloud (http://www.gscloud.cn, accessed on 17 September 2022) |
| SRTMSLOPE 90M | 90 m | |||
| SRTMASPECT 90M | 90 m | |||
| Transportation factors | Distance to road | / | 2014 | OpenStreetMap (https://www.openstreetmap.org, accessed on 17 September 2022) |
| Distance to railroad | / | |||
| Distance to transportation stations | / |
| Scenario | Description |
|---|---|
| SSP5-RCP8.5 | The future socio-economic development takes a high speed development path with large-scale use of fossil fuels, and GHG emissions are at a high level, marking the upper limit of emissions. |
| SSP2-RCP4.5 | The future socio-economic development takes an intermediate path, with GHG emissions at a medium level. |
| SSP1-RCP2.6 | The future socio-economic development takes a sustainable path, with GHG emissions at a low level. |
| LUH2 Land Use | Description | GlobeLand30 Land Use |
|---|---|---|
| primf | Forested primary land | Woodland, shrubland |
| secdf | Potentially forested secondary land | |
| pastr | Managed pasture | Grassland |
| range | Rangeland | |
| c3ann | C3 annual crop | Cropland |
| c3per | C3 perennial crop | |
| c4ann | C4 annual crop | |
| c4per | C4 perennial crop | |
| c3nfx | C3 nitrogen-fixing crop | |
| urban | Urban land | Built-up land |
| primn | Non-forested primary land | Bare land |
| secdn | Potentially non-forested secondary land | |
| none | none | Water, wetland |
| Scenario | Cropland | Woodland | Grassland | Shrubland | Wetland | Water | Built-Up Land | Bare Land |
|---|---|---|---|---|---|---|---|---|
| SSP1-RCP2.6 | 0.89 | 1.14 | 0.92 | 1.14 | 1.00 | 1.00 | 0.90 | 1.01 |
| SSP2-RCP4.5 | 0.98 | 1.09 | 0.77 | 1.09 | 1.00 | 1.00 | 0.95 | 1.13 |
| SSP5-RCP8.5 | 1.14 | 0.95 | 1.05 | 0.95 | 1.00 | 1.00 | 0.99 | 0.93 |
| Land Use Type | Cabovei | Cbelowi | Csoili |
|---|---|---|---|
| Cropland | 17 | 80.7 | 108.4 |
| Grassland | 35.30 | 86.50 | 99.90 |
| Woodland | 42.40 | 115.90 | 158.80 |
| Shrubland | 5.18 | 8.75 | 151.57 |
| Wetland | 6.20 | 7.81 | 145.62 |
| Water | 0.30 | 0.00 | 0.00 |
| Built-up land | 2.50 | 27.5 | 0.00 |
| Bare land | 1.30 | 0.00 | 21.60 |
| 2010 | 2020 | |
|---|---|---|
| Overall accuracy | 0.90 | 0.85 |
| Kappa coefficient | 0.84 | 0.77 |
Disclaimer/Publisher’s Note: The statements, opinions and data contained in all publications are solely those of the individual author(s) and contributor(s) and not of MDPI and/or the editor(s). MDPI and/or the editor(s) disclaim responsibility for any injury to people or property resulting from any ideas, methods, instructions or products referred to in the content. |
© 2023 by the authors. Licensee MDPI, Basel, Switzerland. This article is an open access article distributed under the terms and conditions of the Creative Commons Attribution (CC BY) license (https://creativecommons.org/licenses/by/4.0/).
Share and Cite
Li, M.; Luo, H.; Qin, Z.; Tong, Y. Spatial-Temporal Simulation of Carbon Storage Based on Land Use in Yangtze River Delta under SSP-RCP Scenarios. Land 2023, 12, 399. https://doi.org/10.3390/land12020399
Li M, Luo H, Qin Z, Tong Y. Spatial-Temporal Simulation of Carbon Storage Based on Land Use in Yangtze River Delta under SSP-RCP Scenarios. Land. 2023; 12(2):399. https://doi.org/10.3390/land12020399
Chicago/Turabian StyleLi, Mengyao, Hongxia Luo, Zili Qin, and Yuanxin Tong. 2023. "Spatial-Temporal Simulation of Carbon Storage Based on Land Use in Yangtze River Delta under SSP-RCP Scenarios" Land 12, no. 2: 399. https://doi.org/10.3390/land12020399
APA StyleLi, M., Luo, H., Qin, Z., & Tong, Y. (2023). Spatial-Temporal Simulation of Carbon Storage Based on Land Use in Yangtze River Delta under SSP-RCP Scenarios. Land, 12(2), 399. https://doi.org/10.3390/land12020399
