Abstract
Effects of natural processes on community building and the modification of nature by man’s hands are an intrinsic part of the co-production of the landscape between man and nature. However, the interactions of this co-production have scarcely been analyzed. Based on data from the MapBiomas project, an analysis of the variation in land use and cover over 35 years in the Quilombola São Roque and Mãe dos Homens communities in southern Brazil was carried out. The sociogeomorphological units in the study area were established, and its geomorphological units and social units were analyzed and described. There is a prevalence of more than 50% of forest formation. Cluster analysis classified the analyzed variables into two groups, with the first corresponding to forest and grassland formations associated with more natural landscape features. The second group is formed by anthropogenic activities. Social units including traditional communities seem to be more related to the stimulation of forest formation. The action of conservation units influences the variation in land use and land cover. There is a Supplementary Material which explains abbreviations concerning the manuscript.
1. Introduction
The term “landscape” seen from an ecological point of view is defined as a land area containing a mosaic of habitat patches []. However, according to [], “landscape” from a cultural perspective denotes those areas in which humans have created visible changes in the environment through land restructuring in order to better adapt its use and spatial structure to the demands of society. Furthermore, Ecosystem services [] provided by landscapes can be altered. Thus, in the present study, the term “landscape” is defined as the space of interaction between natural and social processes in the environment.
Geomorphological (natural) and social features are elements that belong to landscapes. In this context, sociogeomorphology has emerged as a research area that uses concepts from social sciences and natural sciences to understand the interactions between social activities and geomorphic processes []. In this sense, thinking about landscape analysis units also refers to a set of geomorphological and social units. Therefore, we can conclude that landscape units are very similar to sociogeomorphological units. Figure 1 shows the sociogeomorphological approach to land management.

Figure 1.
Conceptual diagram of the link between sociogeomorphology and land management.
Sociogeomorphological studies suggest that government managers and scientists execute an application of holistic approaches to study the above-mentioned interactions within the co-production of the landscape [,,]. Several studies emphasized river geomorphology [] and sociogeomorphology applied to river restoration [,]. However, concerns with river systems should not be the sole focus of sociogeomorphological studies; there are several challenges with land management that could benefit from sociogeomorphological techniques. It is worth noting that considering historical, political, and environmental conditions within the framework of sociogeomorphology is crucial to make the appropriate landscape changes. However, it is a relatively young field of study and in the process of consolidation [], which offers an opportunity for scientific development in this direction.
A first step towards this path is the definition of the concepts involved in Figure 1. Social Units (SU) can be simply defined as activities carried out by individuals or any social organization, such as the demarcation of territories, creation of social groups, and social movements with a specific goal. Here, it should be emphasized that the Land Use and Land Cover (LULC) classification is a relevant part of SU and an attempt by society to organize its territory. There is a lot of terminology related to LULC [,]; however, it usually focuses on man’s use of the various physical, chemical, and cultural factors of land in time and space []. LULC are relevant to territory management and understanding them is necessary. LULC from agricultural activities and urbanization has intensified over the past few years, while forest and grassland formations have been fragmented []. Several land use and land cover changes (LULCC) have negatively impacted the landscape and ecosystem services, including deforestation [] or occupations close to water bodies [] that normally led to disasters. In response to environmental degradation, society has encouraged the development of nature restoration, preservation, and conservation activities, such as the creation of protected areas like conservation units []. Other examples are the creation of national parks [] or river renaturalization [].
Moreover, geomorphological units (GU) are defined as areas with similar geomorphic processes, such as landslides, debris flows, and floods, which influence LULC and modify the landscape. Furthermore, plateaus, hillslopes, and floodplains are also considered kinds of GU. In this sense, sociogeomorphological units (SGU) can be delimited through the combination of SU and GU. Table 1 illustrates one example of how to establish SGU from several SU and GU. To emphasize social and geomorphological (or environmental) factors, the term SGU is more appropriate than that of landscape unit.

Table 1.
Delimitation of sociogeomorphological units (SGU) from social units (SU) and geomorphological units (GU).
Indeed, the interactions between society and nature are complex to understand, because they involve several factors and units of analysis. Although LULCC and some of their impacts have already been addressed [,], there are still few works that have holistically discussed social and environmental factors as a tool in natural resource planning. For this reason, the analysis of SGU is proposed to fill this gap in landscape management issues.
Brazil is a pioneer country, serving as a case study for the evaluation of the principles of sociogeomorphology; however, to the best of our knowledge, there are only two studies that have addressed this topic. They evaluated water resource systems [,] in non-traditional communities, which are most prevalent in the country. As such, there is still a gap in the application of sociogeomorphology in other areas, such as territorial planning and natural disaster management. Furthermore, Brazilian traditional communities have not been evaluated from a sociogeomorphological point of view.
Therefore, the objective of the present work is to evaluate the spatiotemporal changes in LULC by accounting for both the geomorphometric and social aspects of two rural communities in southern Brazil. Thus, we seek to identify and understand the interactions between natural processes and anthropogenic activities that generate changes in the landscape. The study will describe the concept of sociogeomorphological units (SGU) and their potential uses in land management. The present case study considers the region of the traditional Quilombola community of São Roque and the non-traditional community of Mãe dos Homens. Quilombola communities are defined as “ethno-racial groups, according to criteria of self-ascription, with their historical trajectory, endowed with specific territorial relationships, with the assumption of black ancestry related to the resistance to the historical oppression suffered” []. These rural communities are in the state of Santa Catarina (SC) and partially in the state of Rio Grande do Sul (RS), southern Brazil. It is worth noting that these communities overlap with the conservation units of the Aparados da Serra and Serra Geral Natural Parks, located at the headwater regions of (i.e., the upper) the Mampituba River.
According to [], Sustainable Development Goal 10 aims to “Reduce inequality within and among countries”. More specifically, target 10.2 reads as follows: “By 2030, empower and promote the social, economic and political inclusion of all, irrespective of age, sex, disability, race, ethnicity, origin, religion or economic or other status”. This problem has become increasingly serious in Brazil due to its historical and very complex racial melting pot. Studying the comparison between traditional and non-traditional communities can help improve understanding of this situation.
2. Study Area
2.1. Physiographic Characteristics
The study area was delimited as a basin with an area of 193.74 km2 and an outlet at East 595,119.72 m and North 6,765,844.29 m. This basin is in the headwaters of the Mampituba River (Figure 2). The study area partially comprises the municipalities of Cambará do Sul (RS), Mampituba (RS), Praia Grande (SC), São Francisco do Paula (RS), and Três Forquilhas (RS).

Figure 2.
Study area location.
The semi-permanent South Atlantic anticyclone and the polar migratory anticyclone influence the study area’s climate due to its location in a transition zone of medium and subtropical latitudes. As a result, the region has a mild mesothermal climate of the Cfa type in its lower parts and Cfb in its higher parts, according to the Köppen classification. The region has regularly distributed rainfall that varies between 1450 mm and 1850 mm per year [], with municipalities such as Praia Grande (SC) and Mampituba (RS) registering the highest rainfall values. The relative humidity of the air reaches values between 76 and 81%, while the annual evapotranspiration is around 990 mm [].
The study area is a transition region in which different types of vegetation, relief, geology, and pedology are found. The soils of the plateau range from shallow to deep, with high fertility and acidity. For example, the soils in Campos de Cima da Serra, which is a kind of biogeographic community located in the plateau, contain a low organic matter content with low base saturation. The hillslopes, on the other hand, are formed from shallow soils of very recent formation, with a high fertility potential. In the part of the floodplains embedded in the rivers, there are shallow to deep soils with a reasonable content of organic matter and high chemical fertility. Rice fields are commonly encountered in this region, where the soils are shallow and poorly drained, with varying fertility and acidity potential and high organic matter levels [,,].
There are three types of primary forest vegetation in the study area. The Atlantic Forest is on the hillslopes and floodplains of the basin. The Submontane Forest is in the drainage headwaters and deep soils. Finally, the Montana Forest is on the plateau escarpments (>400 m.a.s.l.) [].
2.2. Social Characteristics
There are two rural communities in the study area: (a) the Quilombola community of São Roque and (b) the Mãe dos Homens Community. These communities are a typical example of citizenship with a sense of belonging to the landscape []. Downstream of the Mampituba River, next to the Quilombola São Roque community (QSR), there are some established communities made up of immigrant families of European descent, among them the Mãe dos Homens Community (MH). QSR is a traditional Brazilian community, and many other traditional peoples in Brazil live in or near national parks. This allows the investigation of how nature and traditional people interact today, as well as learning about culture and its interaction with the soil. The MH community is close enough to the QSR community to notice differences and similarities. The MH community also has land in the national park conservation.
The characteristics for both communities described in Table 2 correspond to information interpreted from the works of [,,]. It is clearly observed that these communities are very different.

Table 2.
Social characteristics of communities studied.
The most prominent features concern the ancestors: those of QSR were enslaved Africans, while for MH, they were European immigrant families. During the slave regime and after the slave emancipation, the Quilombola communities settled in very remote areas across the national territory. Then, QSR was first founded. Hence, QSR is older and more remote than MH.
Due to suffering over a long period of time, all Quilombola communities have a tradition of uniting residents in terms of legislation and solidarity. Thus, QSR invariably has its own social organization protected by a Brazilian royal decree [], while MH has no official organization. More details about the social characteristics of the study area can be consulted in [,,].
3. Materials and Methods
3.1. Social Units
The study basin was divided into several units of analysis using five different sections called Social Units (SU): (i) the national parks (NP), (ii) the Quilombola community of São Roque (QSR), (iii) the Mãe dos Homens community (MH), (iv) the intersection of the national parks and the Quilombola community of São Roque (NP-QSR), and (v) the intersection of the national parks and the Mãe dos Homens community (NP-MH). The NP, QSR, and MH do not have intersection areas. According to oral communication with the Mayoralty, MH lacks an official delimitation. Thus, the space corresponding to MH was an assumption based on fieldwork.
In the basin, there are unclassified areas that are not included in the aim of the study. These areas belong to other communities or social units that are outside the comparative exercise of interactions between the NP, QSR, and MH. Additionally, the MH and QSR are entirely inside the basin area, whereas the unclassified areas are social units divided by the basin area delimitation.
The division of the territory into units of analysis enables an analysis of the relationship between the SU and GU of the territory, as well as variations in LULC. Figure 3 shows the SU used in this study.

Figure 3.
Division of the study area into social units (SU).
3.2. Geomorphological Characterization
A 12.5 m resolution Digital Terrain Model (DTM) obtained from the Advanced Land Observing Satellite (ALOS) satellite and Phased Array type L-band Synthetic Aperture Radar sensor (PALSAR) [] was used to extract the terrain features. The DTM was geoprocessed using ArcGIS 10.5 tools licensed by the Federal University of Rio Grande do Sul (UFRGS). Previously, the values of altitude of different DTMs were compared (2006, 2007, 2008, 2009, 2010, and 2011), and no evidence of variations with time was identified. This confirmed that there was no remarkable topographic change in the period and scale at which data are available. Therefore, the 2011 DTM was selected for further analysis.
The slope (S), altitude (Z), and drainage density (Dd) in the study area were used for the geomorphometric characterization of the terrain. Both Z and S are direct outputs from the processing of the DTM. The Dd was obtained from the drainage network built with the DTM and rectified with satellite images. In particular, Equation (1) was used for its computing.
where Li is the length of the river channels in km, and A is the area of the region in km2.
The GU were classified according to altitude [,]. However, it is recommended to consider other criteria, such as slopes and field observations [,]. According to [], the region’s territory can be classified as plateau, hillslope, and floodplain. The altitude ranges from these classes were 820–1070 m, 230–820 m, and 86–230 m, respectively. The values of S and other characteristics identified in the field helped define altitude ranges for the delimitation of the geomorphological units.
Three slope intervals were established based on landslide susceptibility criteria: 0 to 18°, 18.01 to 25°, and greater than 25°. According to [], slopes greater than 18° favor debris flows in prolonged and high rainfall conditions. In addition, faster soil movements occur when slopes are greater than 25° [].
3.3. Description of LULC
The analysis of LULC used the information provided by the MapBiomas project [,]. The information was obtained using the Google Earth Engine—GEE [,]. LULC values were extracted for the years 1985, 1990, 1995, 2000, 2005, 2010, 2015, and 2020. In addition, the relationship between LULC and the area of the territory analysis units was calculated.
The 6th version of the MapBiomas project provides an LULC classification [,]. Therefore, based on a preliminary analysis, six classes of LULC were selected as described in Table 3. Due to their low area values, some classes representing soy, rice, flood land, and water were added to the ‘Other Temporary Crops’ class.

Table 3.
Description of the LULC classes.
3.4. Estimation of LULC Variation
For each UA, the variation in LULC was estimated using five years as a time step, starting in 1985 and ending in 2020. This period, which was set according to the data availability in the MapBiomas project, was split into ranges of five years for analysis purposes. As a result, the trend in LULCC was determined using Equation (2).
where LULCC is the variation in LULC area during a five-year period; Yi+1 is the LULC area for class i in the subsequent time step, Yi is the LULC area for class i in the precedent time step, Xi+1 is the subsequent time step, and Xi is the precedent time step.
3.5. Statistical Analysis
3.5.1. Statistical Comparisons of LULC
The LULC variation data series for each SU (NP, QSR, MH, NP-QSR, and NP-MH) were first tested to evaluate their distribution and variance homogeneity. Subsequently, comparison tests were carried out. The used test type depended on whether the data was normally distributed and homogeneous (ANOVA and Student’s t tests) or not (Kruskal–Wallis and Mann–Whitney tests). These tests enabled a determination of whether the variations in LULC classes were statistically significant across the different units of analysis. The same procedure was also conducted for the LULC areas for each unit of analysis.
3.5.2. Cluster Analysis
Each SU (NP, QSR, MH, NP-QSR, and NP-MH) was defined by its values of area (A), length of drainage network channels (Li), drainage density (Dd), altitude (Z), average slope (S), and average variation in LULC. Before running a cluster analysis, the data were standardized by subtracting the mean from their values and dividing them by their standard deviation to avoid the scale effect. Then, a hierarchical clustering was carried out using the average method []. The analysis was configured to obtain a dendrogram with clusters with more than 50% similarity in their data. In this context, cluster analysis was performed to identify the similarity between the analyzed variables that represented natural or anthropic characteristics.
To complement the results obtained from clustering, the Pearson’s correlation test was applied to the groups obtained to identify the strength and direction of statistically significant correlations among the variables considered.
4. Results and Discussion
4.1. Sociogemorphological Characterization
The Z values varied between 86 and 1070 m above sea level, and the Z mean values for PN, QS, MH, PN-QSR, and PN-MH were 959.9 m, 592.63 m, 239.26 m, 570.35 m, and 510.92 m, respectively. In addition, the height of canyon walls was ~700 m, whereas S values of >45° in the hillslope were observed according to the literature [,]. The value of S of the territory and the division into SU and GU are shown in Figure 4. The SGU were shaped from the intersection between SU and GU, so 15 SGU were established, as shown in Table 4.

Figure 4.
Geomorphological units (GU), social units (SU), and slope information.

Table 4.
Data for area and slope corresponding to units of analysis.
The S values ranged from 0 to 79.55° over the study area. Its average across the entire basin was 17.95°, a value close to 18°, which is known as a conditioning factor for mass movements due to high slopes []. The average S values for both SU and GU are shown in Table 4, which also allows us to analyze each Sociogoemorphological Unit (SGU).
The GU hillslope presents high S values (maximum of 79.55°), which agrees with the findings of the previous literature []. This characteristic is also observed in the NP-QSR-H unit. The low average S value in the plateau region (8°) may relate to the presence of relief undulations common in Campos de Altitude [,]. In the floodplain, the mean and maximum S values were 9.6° and 35.8°, respectively. Thus, the plateau and floodplain show low values of mean slope similar to NP-P, MH-F, and NP-MH-P, which coincides with the observed reliefs and characteristics. The maximum slope indicates the transition zone between the floodplain and the hillslope, known as the foothills. A greater variation in slope values was identified for the following units: NP-P and MH-F (SGU), NP (SU), and plateau and floodplain (GU). Apart from the foothills, this can be explained by the transition zone between the plateau and hillslope, which includes the Josafaz and Faxinalzinho canyons (Figure 2), areas affected by scarp retreat and rock erosion processes [].
The hillslope is the predominant GU present in the SGU, unlike floodplain and plateau. Hillslope predominates in the SGUs associated with overlaps (PN-QSR-P, PN-QSR-H, PN-QSR-F) and QSR/SGU (QSR-P, QSR-H, QSR-F). The MH/SGU (MH-P, MH-H, MH-F) is composed of hillslopes and floodplains in a similar proportion. Furthermore, the plateau unit is predominant in the NP/SGU (NP-P, NP-H, NP-F) and shows some high S due to canyon walls in the area. NP-F and MH-P could not be analyzed because there is no overlap between the respective SU and GU.
According to [], a well-drained basin must have a Dd index greater than 3.5. Lower drainage density occurs in regions of highly permeable subsoil material, under dense vegetative cover, and where relief is low []. The Dd values of the SU vary between 0.46 and 1.62 km/km2, while SGU show values of Dd between 0.33 and 6.24 km/km2 (Table 5). The NP-MH and NP units had the lowest values of Dd for SU. This contrasts with the NP-QSR and QSR units, which showed values similar to those reported by [] for the sub-basins of the Josafaz (1.46) and Faxinalzinho (1.28) streams.

Table 5.
Drainage density (Dd) of the units of analysis (UA).
The analysis of the SGU emphasizes how the scale of analysis can change the outcomes. The NP/SGU agrees with the SU of NP, where Dd is low []. Nevertheless, for the SGU related to QSR, MH, and their intersection with NP, the floodplain region shows well-drained units according to their natural characteristics. This aspect is only observed when SGU are considered, showing the importance of integrating social and geomorphological aspects in territory analysis.
The highest density of drainage is related to an elevated relief and scarce infiltration, where erosion processes have deteriorated the surface. According to [], the capacity of infiltration derived from vegetation and low reliefs are prone to low values of Dd, which is verified in NP, NP-MH, NP-P, and NP-H.
4.2. LULC Description and Variation
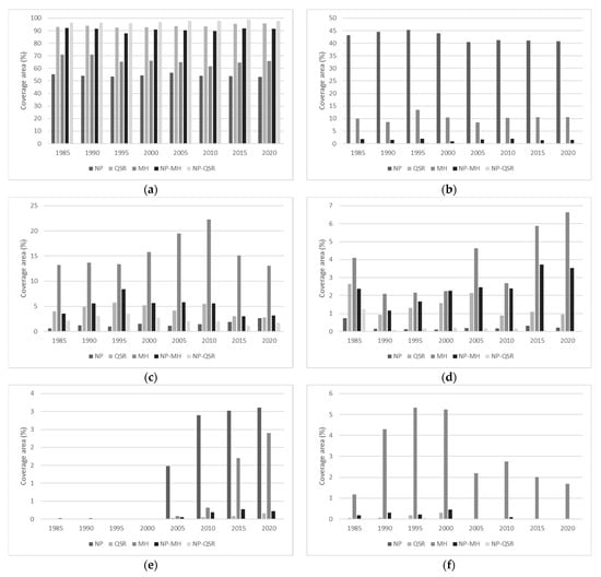
In the evaluated period, the social units of analysis showed a predominant coverage of forest formation (>50%) (Figure 5). The forest cover in this region is associated with the Atlantic Forest (Figure 6a), which has undergone intense land use changes []. The forest formation class in the QSR, NP-MH, and NP-QSR units is near or higher than 90% and can be related to the hillslope regions. The percentages are rather variable for other coverages and land uses. The grassland formation covers 40–45% of the NP unit, a value which is lower for other units, and can be associated with the plateau region. Furthermore, silviculture increased from 2005, which is a questionable event because it is a national park. Pasture (2–7%) and MAP (13–23%) are represented in the MH unit, which is characterized by being more populated and included in the floodplain region (Figure 6b). In general, silviculture cover and other temporary crops correspond to low percentages (<3.5%), except for MH (1–6%).

Figure 5.
LULC in the analysis territory units from 1985 to 2020. (a) Forest formation; (b) grassland formation; (c) mosaics of agriculture and pasture (MAP), (d) pasture; (e) silviculture; and (f) other temporary crops.

Figure 6.
Status of LULC during 2021 in (a) Quilombola community of São Roque; (b) Mãe dos Homens community.
For the units of analysis without intersections (NP, QSR, and MH), the variation in LULC areas in the previous time step varied in order of magnitudes greater than 1.03 ha/year and less than 3.53 ha/year (Figure 7).

Figure 7.
Mean variation rate of LULC in rural communities and natural parks from 1985 to 2020.
LULCC in the MH unit show decreased MAP, pasture, and forest formation and increased silviculture, grassland, and other temporary crops. The mean rates of LULCC in MH are lower than in other SU. However, the substitution of natural biomes with agricultural activities is observed, which is a common practice according to [,]. Although other temporary crops have the lowest variation rate of LULC, to the extent of not appearing in NP, this LULC has a representative coverage area in MH compared with other SU. The analysis of QSR demonstrated an increase in forest formation to the detriment of the abandonment of activities of pasture and MAP.
Variations in LULC in the QSR are associated with the departure of residents from the community due to difficult housing conditions [], such as government abandonment, lack of opportunities, and the occurrence of natural disasters such as floods and windstorms. At the same time, it is identified that the QSR unit is a region that facilitates the development of forest formation, possibly due to the hillslope conditions too. It is known through personal communication that they do not usually cultivate close to water sources to preserve territory and the landscape.
These ideas about conservation in QSR match the principles of sociogeomorphology. The QSR organized their crops keeping their distance from water resources due to their ancestral beliefs and local knowledge about floods, which was acquired over time. Forest coverage was promoted to avoid strong floods and protect the community. In this way, crop growth can be sustainable and in equilibrium with nature. LULCC result from interactions between humans and nature, so a sense of belonging to landscapes rather than their mere use can be a relevant factor for addressing LULCC according to []. Thus, the co-production of the human–nature system is verified, an idea that can be used in territory management.
In NP, there is an increase in silviculture (2.60 ha/year) and MAP (1.70 ha/year) and a decrease in forest formation (−1.70 ha/year) and grassland formation (−2.06 ha2/year). This result is a paradox considering that national parks must promote the afforestation of their areas. However, it is identified that this is an area with low Dd and low S, which facilitates silviculture and agriculture, practices that may be carried out outside the law. Areas with territorial overlaps between NP and rural communities (traditional and non-traditional) showed LULC variation rates between −1.0 and 1.50 ha/year, which are lower than those of other units (Figure 8).

Figure 8.
Rate of change in intersections between communities and national parks between 1985 and 2020.
The creation of national parks and their delimitation as conservation units have brought some conflicts to rural communities []. Therefore, the implementation of land use policies must consider the territorial aspects of the settled communities. The NP-QSR area showed an increase in forest formation (1.12 ha/year) and a decrease in other temporary crops (−0.01 ha/year), MAP (−0.37 ha/year), and pasture (−0.96 ha/year). With these results, the mission and performance of national parks in QSR to preserve natural territories and stimulate rural and forest formation can be verified []. However, the opposite situation is evident in the PN-MH territory. There was an increase in pasture (0.35 ha/year) and silviculture ( ha/year). One of the possible reasons for such a situation is explained if S and Dd are considered. For the QSR and NP-QSR units, the high S values hinder the development of agricultural activities.
This contrasts with the MH unit, where S and Dd as geomorphometric characteristics enable community survival activities. In addition, the fact that the territory in the QSR has been occupied throughout the years by almost the same families should be considered. In MH, the mixing, departure, and entry of new families have diminished the sense of belonging to the territory []. As previously stated, the QSR was established approximately 200 years ago. However, the community’s founders resided longer in the territory on the farms of the plateau region.
4.3. Statistical Analysis
4.3.1. Statistical Comparison of LULC
In terms of area variation rates, each unit of analysis had at least one point of LULC data with non-normal distribution, except for NP-MH. Hence, non-parametric tests were used for comparison. The Kruskal–Wallis test pointed to an absence of statistically significant differences among the units of analysis (p-value > 0.05).
In addition, the use of the Mann–Whitney test to carry out pairwise comparisons revealed that there were no significant changes in LULC for the different units. This means that area variation rates in the different LULC classes are similar, which points to a balance, whereby one type of land cover increases, and another one decreases to a similar magnitude.
Similar to the variation in area rates, in the analysis of the area of LULC, each unit of analysis had at least one point of LULC data with non-normal distribution, except for NP-MH. Again, it was identified that these areas differed in most cases according to the Mann–Whitney test. Table 6 shows the pairwise LULC comparisons whose p-value was greater than 0.05.

Table 6.
p-values returned by the Mann–Whitney test applied to LULC areas.
In the NP unit, the lack of differences between MAP and silviculture, and between pasture and silviculture, was verified. These differences persisted when comparing pasture and MAP. These activities indicate that the area of these LULC exists in a different proportion compared to other LULC of the same unit, such as forest and grassland. In the QSR unit, grassland formation, silviculture, and other temporary crops were similar to each other. When this result is compared with Figure 5, the information is consistent because there are percentages below 4% across the time period that represent those LULCs (grassland, silviculture, and other temporary crops). In the MH unit, only pasture and other temporary crops coverages were statistically similar. In the NP-MH unit, silviculture and other temporary crops proved to be closely related, to the extent that an increase in silviculture entailed a decline in other crops (Figure 8). Furthermore, in the NP-QSR unit, grassland and pasture were similar in area, but the other results were contradictory, as shown in Figure 8.
4.3.2. Cluster Analysis
Two large groups with more than a 40% similarity in their data were identified (Figure 9). Group A (blue) corresponds to the LULC from natural formations (forest and grassland) that are similar in terms of area and geomorphological characteristics such as S mean, Dd, and the length of river channels. In addition, there is a similarity with the area of territorial UA. This implies that the delimitation of territorial units such as national parks or the Quilombola community, or even the Mãe dos Homens settlement, considers their characteristics to occupy these areas.

Figure 9.
Dendrogram to identify similarities between natural and anthropic variables.
Group B (red) refers to MAP, pasture, silviculture, and other temporary crops. In other words, group B is related to anthropogenic activities which are typical of the economic system of the region. In addition, it also had a similarity to mean altitude and maximum slope. This is because the values of Z and maximum S influence the way to work with land and determine different LULC.
Shows statistically significant results (p-value ≤ 0.10) from the Pearson’s correlation test. In group A, which focuses on geomorphological characteristics, the forest is related to the length of the main river (r = 0.922; p-value = 0.026). The correlations between the length of the main river with both Dd and the area of the units of analysis were also verified. The correlation found between forest cover and Dd contrasts with the one described by [], who pointed out an inverse correlation between Dd and dense vegetation. Extensive forest cover and many caves or grotas with water source point creeks are the natural conditions of the headwater of the Mampituba River, which explains the correlation between forest cover and Dd in this region. Headwater conditions in the Mampituba Basin include forest cover and mean values of S. The SU with high mean S values can have a large forest cover area, e.g., QSR, NP-QSR, and NP-MH (Figure 5).
In group B, silviculture and MAP showed a statistically significant correlation. Additionally, other temporary crops and maximum slopes were inversely correlated (r = −0.874). This means that crops of different types such as soy can be predominantly found along hillslopes with low S values. This result can explain the activities of MH because this SU has the highest cover area of this LULC and the least S between the maximum declivities of SU (Table 7). This result may also be derived from the MH-H (SGU), which has the same maximum slope as MH (43.38°). Furthermore, the correlation between other temporary crops and maximum slopes gives an idea about the crops of subsistence of the Quilombola community of São Roque, which is in the hillslope region. This community has historically occupied this area [,], even when many inhabitants were forced to leave the national park territory. Although many others stayed there because they had no other choice, the permanence of the Quilombola community in the region is positive considering that they take care of their environment [], since land preservation is an intrinsic feeling of this community.

Table 7.
Correlation coefficients and p-values between variables.
Some human–landscape interactions are closely associated with natural features, while others depend on community behavior. The findings of this study relate to agricultural activities and depend on the social characteristics of communities. Thus, sociogeomorphological studies in land management help to recognize relevant information derived from social characteristics, especially in traditional communities. As a result of the research findings, attention is drawn to government plans for territory management that consider human–landscape interaction. It is worth noting that due to the different characteristics of all social groups within a community, future land management strategies appropriate to them should be established. When local knowledge is included, it encourages exploration and valorization of ancestral wisdom about land management. Hence, land management policy requirements could include local knowledge and social characteristics. Furthermore, land management policies might include nature-based solutions [] that are closely related to local knowledge and human–landscape interactions, which could be considered as a requirement for government action.
5. Final Remarks
In the present work, the Quilombola São Roque (QSR) and Mãe dos Homens (MH) communities were analyzed over a period of years in terms of six different LULC classes: forest, grassland, silviculture, mosaics of agricultural and pasture (MAP), pasture, and other temporary crops (OCT). These communities are located in a region where geomorphological units such as plateau, hillslope, and floodplain are identified. Variables such as altitude and slope have been found to boost mass movements and, by extension, influence the use allocated to land covers. Thus, by using social units and geomorphological units, sociogeomorphological units were analyzed, i.e., a sociogeomorphological approach was conducted to comprehend these two rural communities.
In the study region, river discharge occurs regularly, possibly due to the high presence of vegetation, especially forests. The QSR community area and its intersection with natural parks are the units with the longest length of the main river, being two social agents that ensure the preservation of the environment. Here, we highlighted the sociogeomorphology principles where the co-production of the landscape was composed of interactions between geomorphic units and social units.
Some variations in LULC have been identified, such as an increase in forest and a decrease in crops in QSR, as well as decreased MAP, pasture, and forest formation and increased silviculture, grassland, and other temporary crops in MH. In addition, it was observed that there are different responses in the overlaps of natural parks with the communities for each LULC class.
Fifteen classes of SGU were established from the intersection of 5 SU and 3 GU. The SGU allowed for the identification of specific characteristics of the territory and helped explain some interactions between social and natural agents that impact on the landscape. From a holistic point of view, territorial analyses integrating several landscape elements can give interesting information. Thus, the study of SGU and the principles of sociogeomorphology can help government managers make better plans for their territory.
The considered variables were examined through a cluster analysis, which revealed two groups. One group represents the characteristics of the natural environment. The other group accounts for social activities such as agriculture associated with altitude. Thus, it can be seen how, consciously or unconsciously, communities consider natural characteristics for their own development when settling down, demonstrating that this aspect is relevant when thinking about land management strategies. Additionally, subsistence agriculture and forest coverage are found to be strongly related to slope, which proves that even in places with limited accessibility, land can be worked, and forest can be protected, for which there must be a balance with the environment. This is an important aspect to consider in public policies for a better organization of rural communities.
The results show the different responses of LULCC according to communities’ features and demonstrate that natural conditions influence the way that communities manage their territory, and this is related to their local knowledge and costumes. This study shows how relevant social activities can be in territory management because there are many points of view. In the near future, the Brazilian government may have to apply various traditional community practices to the integrated management of natural resources, including water resources. Territory management includes natural aspects, so taking care of the territory should mean taking care of the environment and natural resources.
Although the information from the MapBiomas Project was very useful to obtain an idea about LULC, the spatial resolution and the description of LULC was not the best to describe the details of LULCC in the study area. Therefore, fieldwork is necessary to retrieve details and information directly from inhabitants through, e.g., personal interviews. The present study analyzed only two communities and their overlaps with the national parks; however, there are more communities in the basin area that were not considered. These communities have areas inside and outside of the basin area, so this can be challenging for analysis. Further research in this line should consider expanding the study area to other communities, and reassess the results obtained here.
Supplementary Materials
The following supporting information can be downloaded at: https://www.mdpi.com/article/10.3390/land12020306/s1. A list of abbreviations is provided in Table S1 as a supplementary file.
Author Contributions
Conceptualization, I.G.-Á., M.K. and D.J.-E.; methodology, I.G.-Á., D.J.-E. and M.K.; visualization, M.M.C.; formal analysis, I.G.-Á. and M.M.C.; investigation, I.G.-Á., D.J.-E., M.K. and M.A.P.; writing—original draft preparation, I.G.-Á.; writing—review and editing, I.G.-Á., D.J.-E., M.K. and M.A.P.; supervision, D.J.-E. and M.K. All authors have read and agreed to the published version of the manuscript.
Funding
The present research was partially supported by the Brazilian agencies CAPES and ANA (finance Code 001 and grant number 16/2017).
Institutional Review Board Statement
Not applicable.
Informed Consent Statement
Not applicable.
Data Availability Statement
Not applicable.
Acknowledgments
The authors thank the reviewers and editors for their valuable comments about the manuscript. The authors would also like to express their gratitude to the MapBiomas project team.
Conflicts of Interest
The authors declare no conflict of interest.
References
- González-Ávila, I.; Kobiyama, M.; Goerl, R.F.; Paixão, M.; Menezes, D. Some Considerations on Sociogeomorphology and Its Importance in Integrated Management of Natural Resources. In Proceedings of the XXIV Brazilian Symposium on Water Resources, Belo Horizonte, Brazil, 21–26 November 2021; p. 10. [Google Scholar]
- Ashmore, P. Towards a Sociogeomorphology of Rivers. Geomorphology 2015, 251, 149–156. [Google Scholar] [CrossRef]
- Mould, S.; Fryirs, K.; Howitt, R. Sociogeomorphic River Recovery: Integrating Human and Physical Processes in Rehabilitation. In Proceedings of the Australian Stream Management Conference (9th: 2018), Hobart, Tasmania, 12–15 August 2018; p. 8. [Google Scholar]
- Mould, S.A.; Fryirs, K.; Howitt, R. Practicing Sociogeomorphology: Relationships and Dialog in River Research and Management. Soc. Nat. Resour. 2018, 31, 106–120. [Google Scholar] [CrossRef]
- Dunning, J.B.; Danielson, B.J.; Pulliam, H.R. Ecological Processes That Affect Populations in Complex Landscapes. Oikos 1992, 65, 169–175. [Google Scholar] [CrossRef]
- Antrop, M. Why Landscapes of the Past Are Important for the Future. Landsc. Urban Plan. 2005, 70, 21–34. [Google Scholar] [CrossRef]
- Tallis, H.; Kareiva, P. Ecosystem Services. Curr. Biol. 2005, 15, R746–R748. [Google Scholar] [CrossRef] [PubMed]
- Sreedhar, Y.; Nagaraju, A.; Murali Krishna, G. An Appraisal of Land Use/Land Cover Change Scenario of Tummalapalle, Cuddapah Region, India—A Remote Sensing and GIS Perspective. ARS 2016, 5, 232–245. [Google Scholar] [CrossRef]
- Nedd, R.; Light, K.; Owens, M.; James, N.; Johnson, E.; Anandhi, A. A Synthesis of Land Use/Land Cover Studies: Definitions, Classification Systems, Meta-Studies, Challenges and Knowledge Gaps on a Global Landscape. Land 2021, 10, 994. [Google Scholar] [CrossRef]
- Oliveira, C.V. De Análise de Mudanças da Cobertura e Uso Do Solo No Bioma Pampa com Matrizes de Transição. Master’s Thesis, Universidade Federal do Rio Grande do Sul, Porto Alegre, Brazil, 2020. [Google Scholar]
- Eguiguren, P.; Fischer, R.; Günter, S. Degradation of Ecosystem Services and Deforestation in Landscapes With and Without Incentive-Based Forest Conservation in the Ecuadorian Amazon. Forests 2019, 10, 442. [Google Scholar] [CrossRef]
- Kittipongvises, S.; Phetrak, A.; Rattanapun, P.; Brundiers, K.; Buizer, J.L.; Melnick, R. AHP-GIS Analysis for Flood Hazard Assessment of the Communities Nearby the World Heritage Site on Ayutthaya Island, Thailand. Int. J. Disaster Risk Reduct. 2020, 48, 101612. [Google Scholar] [CrossRef]
- Drummond, J.A.; Franco, J.L.; Oliveira, D. Uma análise sobre a história e a situação das unidades de conservação no Brasil. In Conservação da Biodiversidade: Legislação e Políticas Públicas; Edições Câmara, Câmara dos Deputados: Brasilia, Brazil, 2010; pp. 341–385. [Google Scholar]
- Fonseca, V.M.; Cara, R.N.B. Os parques nacionais da argentina e do brasil: Aspectos contemporâneos do uso público. An. Uso Público Unidades Conserv. 2021, 9, 19–40. [Google Scholar] [CrossRef]
- Mazur, K. River Re-Naturalization-a Nature-Based Solution for Climate Change in Urban Areas. IOP Conf. Ser. Mater. Sci. Eng. 2021, 1203, 022044. [Google Scholar] [CrossRef]
- Caballero, C.B.; Ruhoff, A. Relação entre temperatura de superfície e mudanças de uso e cobertura do solo em áreas do bioma Pampa e Mata Atlântica. In Proceedings of the XXIV Simpósio Brasileiro de Recursos Hidrícos, Belo Horizonte, Brasil, 21–26 November 2021; p. 10. [Google Scholar]
- Sposito, E.C. Uso e Cobertura do Solo na Bacia Hidrográfica do Rio Doce (MG/ES): Inter-Relações para a Governança. Ph.D. Thesis, Tese (Doutorado em Solos e Nutrição de Plantas). Universidade Federal de Viçosa, Viçosa, Brazil, 2021. [Google Scholar]
- Ramos, A.L.D.; Sartório, M.V.O.; Saldanha, M.C.; Coelho, A.L.N. Avaliação Visual de Rios Urbanos: Metodologia e Aplicação. Acta Geográfica 2017, 11, 159–184. [Google Scholar] [CrossRef]
- Coelho, A.L.N.; Ferreira, G.A.C.; Ferreira, G.L.; Goulart, A.C.O.; Mendoca, E.M.S. Sistema Fluvial Do Rio Jacaraípe, Serra, Espírito Santo: Proposta de Análise a Partir Do Geossistema e Da Sociogeomorfologia; Universidad Federal do Espiritu Santo: Vitória, Brazil, 2018. [Google Scholar]
- Brasil. regulamenta o procedimento para identificação, reconhecimento, delimitação, demarcação e titulação das terras ocupadas por remanescentes das comunidades dos quilombos. In Decreto No 4.887, de 20 de Novembro de 2003; Diário Oficial da União de 21/11/2003; p. 4, col. 2.
- UNDRR, U.N. for D.R.R. Sendai Framework for Disaster Risk Reduction 2015–2030; Japan, 2015. [Google Scholar]
- SEMA–Secretaría de Meio Ambiente e Infraestrutura. Diagnóstico Do Plano de Recurso Hídricos Da Bacia Hidrográfica Do Rio Mampituba; SEMA: Porto Alegre, Brazil, 2020; p. 219. [Google Scholar]
- Bohn, L. Expressões de Conhecimento de Grupos Sociais Locais para a Gestão de Recursos Hídricos Na Bacia Hidrográfica Do Rio Mampituba; Universidade Federal de Santa Catarina: Florianópolis, Brazil, 2008. [Google Scholar]
- Viero, A.C.; Silva, D.R.A.d. Geodiversidade Do Estado Do Rio Grande Do Sul; CPRM–Serviço Geológico do Brasil, Porto Alegre, Brazil. 2010. Available online: https://rigeo.cprm.gov.br/handle/doc/16774 (accessed on 18 September 2022).
- Waterman, T.; Wolff, J.; Wall, E. Landscape Citizenships; Routledge: Milton Park Abingdon, UK, 2021. [Google Scholar]
- Spaolonse, M.B. Desamparados nas grotas do estado: Os contratempos da sobreposição entre o território quilombola de São Roque e os parques nacionais de aparados da serra e da serra geral. RURIS-Rev. Cent. Estud. Rurais-UNICAMP 2013, 7, 24. [Google Scholar] [CrossRef]
- Lummertz, C.F. Memorial Histórico-Cultural Das Vilas e Comunidades Do Município de Praia Grande SC. In Projeto de Promoção e Estruturação Do Turismo Comunitário e de Valorização Dos Produtos Associados Ao Turismo No Entorno Dos Parques Nacionais de Apa-Rados Da Serra e Serra Geral; Praia Grande, Brazil, 2015. [Google Scholar]
- dos Santos Carmo, G.M.; da Silva, N.M.; Hernandez, A.R.C. O Território Invisível: Quilombo São Roque “Os Filhos da Pedra Branca”, Praia Grande, SC, Brasil. Rev. Gestão & Políticas Públicas 2018, 8, 297–315. [Google Scholar] [CrossRef]
- ASF Data Search. Available online: https://search.asf.alaska.edu/#/ (accessed on 1 November 2022).
- Ross, J.L.S. Relevo Brasileiro: Uma Nova Proposta de Classificação. Rev. Dep. Geogr. 1985, 4, 25–39. [Google Scholar] [CrossRef]
- Rebelo, V. A Importância Do Estudo Dos Riscos Geomorfológicos No Ordenamento Do Concelho de Vieira Do Minho. Master’s Thesis, Dissertação de mestrado em Gestão de Riscos Naturais; Faculdade de Letras da Universidade de Porto, Porto, Portugal, 2007. [Google Scholar]
- González-Ávila, I.; Paixão, M.A.; Kobiyama, M. Análise Geomorfométrica de Uma Bacia Montanhosa Com Presença de Cânion. Rev. Bras. Geomorfol. 2022, 23, 1947–1959. [Google Scholar] [CrossRef]
- Sidle, R.C.; Pearce, A.J.; O’Loughlin, C.L. Hillslope Stability and Land Use; American Geophysical Union: Washington, DC, USA, 1985; ISBN 978-0-87590-315-6. [Google Scholar]
- Souza, C.M.; Azevedo, T. MapBiomas General “Handbook”. Brazil. 2017. Available online: https://www.researchgate.net/publication/345239707_MapBiomas_General_Handbook (accessed on 18 September 2022).
- Mapbiomas Descrição da Coleção 6. Brazil. 2021. Available online: https://mapbiomas-br-site.s3.amazonaws.com/downloads/Colecction%206/Cod_Class_legenda_Col6_MapBiomas_BR.pdf (accessed on 18 September 2022).
- Mapbiomas Coleção 6 da Série Anual de Mapas de Cobertura e Uso de Solo Do Brasil; 2021.
- Jarman, A. Hierarchical Cluster Analysis: Comparison of Single Linkage, Complete Linkage, Average Linkage and Centroid Linkage Method; 2020. [Google Scholar]
- Wildner, W.; Orlandi Filho, V.; Giffoni, L.E. Itaimbezinho e Fortaleza, RS e SC-Magníficos Canyons Esculpidos Nas Escarpas Aparados Da Serra Do Planalto Vulcânico Da Bacia Do Paraná. Sítios Geológicos Paleontológicos Brasil. Publ. Internet 2006, 1, 2006. [Google Scholar]
- Campagnolo, K.; Mazzali, L.H.; Diaz, L.R.; Kobiyama, M. Aplicação da NBR 15505-2:2019 na Análise dos Trechos da Trilha do Rio do Boi, no Parque Nacional de Aparados da Serra, Sul do Brasil. Biodivers. Bras. -BioBrasil 2021, 11, 134–147. [Google Scholar] [CrossRef]
- Caballero, C.B.; de Menezes, D.; Campagnolo, K.; Censi, G.; Schwarz, H.; Kobiyama, M. Dimensão Fractal e análise geomorfológica de bacias hidrográficas brasileiras. Rev. Gestão Água América Lat. 2020, 17, 12. [Google Scholar] [CrossRef]
- Singh, S.; Kanhaiya, S.; Singh, A.; Chaubey, K. Drainage Network Characteristics of the Ghaghghar River Basin (GRB), Son Valley, India. Geol. Ecol. Landsc. 2019, 3, 159–167. [Google Scholar] [CrossRef]
- Costa, C.W.; Lorandi, R.; de Lollo, J.A.; Imani, M.; Dupas, F.A. Surface Runoff and Accelerated Erosion in a Peri-Urban Wellhead Area in Southeastern Brazil. Environ. Earth Sci. 2018, 77, 160. [Google Scholar] [CrossRef]
- de Faccio Carvalho Carvalho, P.C.; Batello, C. Access to Land, Livestock Production and Ecosystem Conservation in the Brazilian Campos Biome: The Natural Grasslands Dilemma. Livest. Sci. 2009, 120, 158–162. [Google Scholar] [CrossRef]
- de Oliveira, T.E.; de Freitas, D.S.; Gianezini, M.; Ruviaro, C.F.; Zago, D.; Mércio, T.Z.; Dias, E.A.; do Lampert, V.N.; Barcellos, J.O.J. Agricultural Land Use Change in the Brazilian Pampa Biome: The Reduction of Natural Grasslands. Land Use Policy 2017, 63, 394–400. [Google Scholar] [CrossRef]
- Custódio, A.V.; da Silva Lima, F.A. O direito fundamental à titulação de terras das comunidades remanescentes de quilombos no Brasil. Espaço Jurídico J. Law 2009, 10, 275–298. [Google Scholar]
- Benedetti, A.C.; dos Anjos, J.C.G. Conflitos envolvendo quilombolas no Rio Grande do Sul: Entre raça, classe e território. Rev. Praia Vermelha 2021, 31, 315–340. [Google Scholar]
- Brasil. Lei no 12.651, de 25 de Maio de 2012; Novo Código Florestal Brasileiro. Diario Oficial da União de 28/05/2012; 2012. [Google Scholar]
- Kenny, M.L. Making Heritage in Brazilian Quilombos. Antipod. Rev. Antropol. Arqueol. 2011, 12, 93–111. [Google Scholar] [CrossRef]
- Penna-Firme, R.; Brondízio, E.S. Quilombolas as “Green Collectives”: Contesting and Incorporating Environmentalism in the Atlantic Forest, Brazil. Ambient. Soc. 2017, 20, 139–158. [Google Scholar] [CrossRef]
- Pontee, N.; Narayan, S.; Beck, M.W.; Hosking, A.H. Nature-Based Solutions: Lessons from around the World. Proc. Inst. Civ. Eng. Marit. Eng. 2016, 169, 29–36. [Google Scholar] [CrossRef]
Disclaimer/Publisher’s Note: The statements, opinions and data contained in all publications are solely those of the individual author(s) and contributor(s) and not of MDPI and/or the editor(s). MDPI and/or the editor(s) disclaim responsibility for any injury to people or property resulting from any ideas, methods, instructions or products referred to in the content. |
© 2023 by the authors. Licensee MDPI, Basel, Switzerland. This article is an open access article distributed under the terms and conditions of the Creative Commons Attribution (CC BY) license (https://creativecommons.org/licenses/by/4.0/).