Assessing Effects of Urban Greenery on the Regulation Mechanism of Microclimate and Outdoor Thermal Comfort during Winter in China’s Cold Region
Abstract
:1. Introduction
2. Materials and Methods
2.1. Study Area and Field Measuring Sites
2.2. Datasets
2.2.1. Greenery Data
2.2.2. Microclimatic Measurements
2.2.3. Questionnaire Surveys
2.3. Mediation Analysis
3. Results
3.1. Descriptive Analysis
3.1.1. Study Population
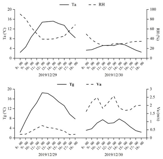
3.1.2. Meteorological Parameters
3.1.3. Thermal Comfort Vote
3.1.4. Greening Indices
3.2. Correlations between Greenery and TCV
3.3. Correlations between Microclimate and Greenery/TCV
3.4. Correlations between Greenery, Microclimate, and TCV
4. Discussion
4.1. Main Findings
4.2. Optimization Strategies
4.3. Strengths and Limitations
5. Conclusions
Author Contributions
Funding
Data Availability Statement
Acknowledgments
Conflicts of Interest
Nomenclature
| OTC: Outdoor thermal comfort | Tmrt: Mean radiant temperature |
| TCV: Thermal comfort vote | G: Global radiation |
| GVI: Green view index | FCN: Fully convolutional neural network |
| TVF: Tree view factor | |
| LAI: Leaf area index | SD: Standard deviation |
| Ta: Air temperature | SE: Standard error |
| Tg: Global temperature | Coef.: Coefficient |
| RH: Relative humidity | Sig.: Significance |
| Va: Wind speed | VIF: Variance inflation factor |
References
- Bélanger, M.; Gallant, F.; Doré, I.; O’Loughlin, J.L.; Sylvestre, M.-P.; Abi Nader, P.; Larouche, R.; Gunnell, K.; Sabiston, C.M. Physical Activity Mediates the Relationship between Outdoor Time and Mental Health. Prev. Med. Rep. 2019, 16, 101006. [Google Scholar] [CrossRef] [PubMed]
- Byrka, K.; Ryczko, N. Positive Effects of Dancing in Natural versus Indoor Settings: The Mediating Role of Engagement in Physical Activity. J. Environ. Psychol. 2018, 57, 25–33. [Google Scholar] [CrossRef]
- Jackson, S.B.; Stevenson, K.T.; Larson, L.R.; Peterson, M.N.; Seekamp, E. Outdoor Activity Participation Improves Adolescents’ Mental Health and Well-Being during the COVID-19 Pandemic. Int. J. Environ. Res. Public Health 2021, 18, 2506. [Google Scholar] [CrossRef] [PubMed]
- Li, K.; Zhang, Y.; Zhao, L. Outdoor Thermal Comfort and Activities in the Urban Residential Community in a Humid Subtropical Area of China. Energy Build. 2016, 133, 498–511. [Google Scholar] [CrossRef]
- Chen, L.; Wen, Y.; Zhang, L.; Xiang, W.-N. Studies of Thermal Comfort and Space Use in an Urban Park Square in Cool and Cold Seasons in Shanghai. Build. Environ. 2015, 94, 644–653. [Google Scholar] [CrossRef]
- Cheng, X.; Su, H. Effects of Climatic Temperature Stress on Cardiovascular Diseases. Eur. J. Intern. Med. 2010, 21, 164–167. [Google Scholar] [CrossRef]
- Ikäheimo, T.M. Cardiovascular Diseases, Cold Exposure and Exercise. Temperature 2018, 5, 123–146. [Google Scholar] [CrossRef] [PubMed]
- Medina-Ramón, M.; Schwartz, J. Temperature, Temperature Extremes, and Mortality: A Study of Acclimatisation and Effect Modification in 50 US Cities. Occup. Environ. Med. 2007, 64, 827–833. [Google Scholar] [CrossRef]
- An, L.; Hong, B.; Cui, X.; Geng, Y.; Ma, X. Outdoor Thermal Comfort during Winter in China’s Cold Regions: A Comparative Study. Sci. Total Environ. 2021, 768, 144464. [Google Scholar] [CrossRef]
- Huang, J.; Zhou, C.; Zhuo, Y.; Xu, L.; Jiang, Y. Outdoor Thermal Environments and Activities in Open Space: An Experiment Study in Humid Subtropical Climates. Build. Environ. 2016, 103, 238–249. [Google Scholar] [CrossRef] [Green Version]
- Huang, Z.; Cheng, B.; Gou, Z.; Zhang, F. Outdoor Thermal Comfort and Adaptive Behaviors in a University Campus in China’s Hot Summer-Cold Winter Climate Region. Build. Environ. 2019, 165, 106414. [Google Scholar] [CrossRef]
- Lam, C.K.C.; Gao, Y.; Yang, H.; Chen, T.; Zhang, Y.; Ou, C.; Hang, J. Interactive Effect between Long-Term and Short-Term Thermal History on Outdoor Thermal Comfort: Comparison between Guangzhou, Zhuhai and Melbourne. Sci. Total Environ. 2021, 760, 144141. [Google Scholar] [CrossRef] [PubMed]
- Xu, M.; Hong, B.; Mi, J.; Yan, S. Outdoor Thermal Comfort in an Urban Park during Winter in Cold Regions of China. Sustain. Cities Soc. 2018, 43, 208–220. [Google Scholar] [CrossRef]
- Zhang, L.; Zhan, Q.; Lan, Y. Effects of the Tree Distribution and Species on Outdoor Environment Conditions in a Hot Summer and Cold Winter Zone: A Case Study in Wuhan Residential Quarters. Build. Environ. 2018, 130, 27–39. [Google Scholar] [CrossRef]
- Perini, K.; Chokhachian, A.; Auer, T. Chapter 3.3—Green Streets to Enhance Outdoor Comfort. In Nature Based Strategies for Urban and Building Sustainability; Pérez, G., Perini, K., Eds.; Butterworth-Heinemann: Oxford, UK, 2018; pp. 119–129. [Google Scholar]
- Sun, C.; Lian, W.; Liu, L.; Dong, Q.; Han, Y. The Impact of Street Geometry on Outdoor Thermal Comfort within Three Different Urban Forms in Severe Cold Region of China. Build. Environ. 2022, 222, 109342. [Google Scholar] [CrossRef]
- Yang, Y.; Zhou, D.; Wang, Y.; Ma, D.; Chen, W.; Xu, D.; Zhu, Z. Economical and outdoor thermal comfort analysis of greening in multistory residential areas in Xi’an. Sustain. Cities Soc. 2019, 51, 101730. [Google Scholar] [CrossRef]
- Zhao, Q.; Sailor, D.J.; Wentz, E.A. Impact of Tree Locations and Arrangements on Outdoor Microclimates and Human Thermal Comfort in an Urban Residential Environment. Urban For. Urban Green. 2018, 32, 81–91. [Google Scholar] [CrossRef]
- Klemm, W.; Heusinkveld, B.G.; Lenzholzer, S.; Jacobs, M.H.; Van Hove, B. Psychological and physical impact of urban green spaces on outdoor thermal comfort during summertime in The Netherlands. Build. Environ. 2015, 83, 120–128. [Google Scholar] [CrossRef]
- Yang, S.; Zhou, D.; Wang, Y.; Li, P. Comparing impact of multi-factor planning layouts in residential areas on summer thermal comfort based on orthogonal design of experiments (ODOE). Build. Environ. 2020, 182, 107145. [Google Scholar] [CrossRef]
- Wu, Z.; Dou, P.; Chen, L. Comparative and combinative cooling effects of different spatial arrangements of buildings and trees on microclimate. Sustain. Cities Soc. 2019, 51, 101711. [Google Scholar] [CrossRef]
- Morakinyo, T.E.; Kong, L.; Lau, K.K.-L.; Yuan, C.; Ng, E. A study on the impact of shadow-cast and tree species on in-canyon and neighborhood’s thermal comfort. Build. Environ. 2017, 115, 1–17. [Google Scholar] [CrossRef]
- Morakinyo, T.E.; Lau, K.K.-L.; Ren, C.; Ng, E. Performance of Hong Kong’s common trees species for outdoor temperature regulation, thermal comfort and energy saving. Build. Environ. 2018, 137, 157–170. [Google Scholar] [CrossRef]
- Lai, D.; Lian, Z.; Liu, W.; Guo, C.; Liu, W.; Liu, K.; Chen, Q. A comprehensive review of thermal comfort studies in urban open spaces. Sci. Total Environ. 2020, 742, 140092. [Google Scholar] [CrossRef]
- Liu, W.; Zhang, Y.; Deng, Q. The Effects of Urban Microclimate on Outdoor Thermal Sensation and Neutral Temperature in Hot-Summer and Cold-Winter Climate. Energy Build. 2016, 128, 190–197. [Google Scholar] [CrossRef]
- Wang, Y.; Ni, Z.; Peng, Y.; Xia, B. Local variation of outdoor thermal comfort in different urban green spaces in Guangzhou, a subtropical city in South China. Urban For. Urban Green. 2018, 32, 99–112. [Google Scholar] [CrossRef]
- Chen, X.; Xue, P.; Liu, L.; Gao, L.; Liu, J. Outdoor thermal comfort and adaptation in severe cold area: A longitudinal survey in Harbin, China. Build. Environ. 2018, 143, 548–560. [Google Scholar] [CrossRef]
- Lai, D.; Guo, D.; Hou, Y.; Lin, C.; Chen, Q. Studies of outdoor thermal comfort in northern China. Build. Environ. 2014, 77, 110–118. [Google Scholar] [CrossRef]
- Lenzholzer, S.; de Vries, S. Exploring Outdoor Thermal Perception—A Revised Model. Int. J. Biometeorol. 2020, 64, 293–300. [Google Scholar] [CrossRef]
- Klemm, W.; Heusinkveld, B.G.; Lenzholzer, S.; van Hove, B. Street greenery and its physical and psychological impact on thermal comfort. Landsc. Urban Plan. 2015, 138, 87–98. [Google Scholar] [CrossRef]
- Zhang, T.; Hong, B.; Su, X.; Li, Y.; Song, L. Effects of tree seasonal characteristics on thermal-visual perception and thermal comfort. Build. Environ. 2022, 212, 108793. [Google Scholar] [CrossRef]
- Teramoto, Y.; Tokura, H.; Ohkura, K.; Ohmasa, Y.; Suho, S.; Inoshiri, R.; Masuda, M. Effects of different light intensities during the forenoon on the afternoon thermal sensation in mild cold. J. Therm. Biol. 1996, 21, 339–343. [Google Scholar] [CrossRef]
- Pearlmutter, D.; Jiao, D.; Garb, Y. The relationship between bioclimatic thermal stress and subjective thermal sensation in pedestrian spaces. Int J Biometeorol 2014, 58, 2111–2127. [Google Scholar] [CrossRef]
- Nikolopoulou, M.; Steemers, K. Thermal comfort and psychological adaptation as a guide for designing urban spaces. Energy Build. 2003, 35, 95–101. [Google Scholar] [CrossRef]
- Wang, Y.; de Groot, R.; Bakker, F.; Wörtche, H.; Leemans, R. Thermal comfort in urban green spaces: A survey on a Dutch university campus. Int. J. Biometeorol. 2017, 61, 87–101. [Google Scholar] [CrossRef]
- Xu, X.; Sun, S.; Liu, W.; García, E.H.; He, L.; Cai, Q.; Xu, S.; Wang, J.; Zhu, J. The cooling and energy saving effect of landscape design parameters of urban park in summer: A case of Beijing, China. Energy Build. 2017, 149, 91–100. [Google Scholar] [CrossRef]
- Xu, M.; Hong, B.; Jiang, R.; An, L.; Zhang, T. Outdoor thermal comfort of shaded spaces in an urban park in the cold region of China. Build. Environ. 2019, 155, 408–420. [Google Scholar] [CrossRef]
- Khalid, Z.; Mutaz, T.; Kamoona, H.H.A. Introduction to methods for simulating urban heat islands: Subject review. J. Univ. Babylon Eng. Sci. 2022, 30, 41–57. [Google Scholar]
- Liu, Y.; Zhang, M.; Li, Q.; Zhang, T.; Yang, L.; Liu, J. Investigation on the distribution patterns and predictive model of solar radiation in urban street canyons with panorama images. Sustain. Cities Soc. 2021, 75, 103275. [Google Scholar] [CrossRef]
- Zhou, H.; Tao, G.; Nie, Y.; Yan, X.; Sun, J. Outdoor thermal environment on road and its influencing factors in hot, humid weather: A case study in Xuzhou City, China. Build. Environ. 2022, 207, 108460. [Google Scholar] [CrossRef]
- Zhang, T.; Su, M.; Hong, B.; Wang, C.; Li, K. Interaction of emotional regulation and outdoor thermal perception: A pilot study in a cold region of China. Build. Environ. 2021, 198, 107870. [Google Scholar] [CrossRef]
- Li, H.; Wang, G.; Tian, G.; Jombach, S. Mapping and Analyzing the Park Cooling Effect on Urban Heat Island in an Expanding City: A Case Study in Zhengzhou City, China. Land 2020, 9, 57. [Google Scholar] [CrossRef] [Green Version]
- China Meteorological Administration; Tsinghua University. Meteorological Data for Built Environment Analysis in China; China Architecture and Building Press: Beijing, China, 2005.
- de Vries, S.; van Dillen, S.M.E.; Groenewegen, P.P.; Spreeuwenberg, P. Streetscape greenery and health: Stress, social cohesion and physical activity as mediators. Soc. Sci. Med. 2013, 94, 26–33. [Google Scholar] [CrossRef]
- Lu, Y.; Sarkar, C.; Xiao, Y. The effect of street-level greenery on walking behavior: Evidence from Hong Kong. Soc. Sci. Med. 2018, 208, 41–49. [Google Scholar] [CrossRef] [PubMed]
- Long, J.; Shelhamer, E.; Darrell, T. Fully Convolutional Networks for Semantic Segmentation. In Proceedings of the IEEE Conference on Computer Vision and Pattern Recognition, CVPR, Boston, MA, USA, June 8–10 2015. [Google Scholar]
- Helbich, M.; Yao, Y.; Liu, Y.; Zhang, J.; Liu, P.; Wang, R. Using deep learning to examine street view green and blue spaces and their associations with geriatric depression in Beijing, China. Environ. Int. 2019, 126, 107–117. [Google Scholar] [CrossRef] [PubMed]
- Li, X.; Zhang, C.; Li, W.; Kuzovkina, Y.A.; Weiner, D. Who lives in greener neighborhoods? The distribution of street greenery and its association with residents’ socioeconomic conditions in Hartford, Connecticut, USA. Urban For. Urban Green. 2015, 14, 751–759. [Google Scholar] [CrossRef]
- Gong, F.-Y.; Zeng, Z.-C.; Zhang, F.; Li, X.; Ng, E.; Norford, L.K. Mapping Sky, Tree, and building view factors of street canyons in a high-density urban environment. Build. Environ. 2018, 134, 155–167. [Google Scholar] [CrossRef]
- Ma, X.; Tian, Y.; Du, M.; Hong, B.; Lin, B. How to Design Comfortable Open Spaces for the Elderly? Implications of Their Thermal Perceptions in an Urban Park. Sci. Total Environ. 2021, 768, 144985. [Google Scholar] [CrossRef]
- Xu, X.; Liu, S.; Sun, S.; Zhang, W.; Liu, Y.; Lao, Z.; Guo, G.; Smith, K.; Cui, Y.; Liu, W.; et al. Evaluation of Energy Saving Potential of an Urban Green Space and Its Water Bodies. Energy Build. 2019, 188–189, 58–70. [Google Scholar]
- Lam, C.K.C.; Yang, H.; Yang, X.; Liu, J.; Ou, C.; Cui, S.; Kong, X.; Hang, J. Cross-Modal Effects of Thermal and Visual Conditions on Outdoor Thermal and Visual Comfort Perception. Build. Environ. 2020, 186, 107297. [Google Scholar] [CrossRef]
- ASHRAE Standard 55; Thermal Environmental Conditions for Human Occupancy. ANSI/ASHRAE Standard: Atlanta, GA, USA, 2017.
- International Standard 7730; Ergonomics of the Thermal Environment-Analytical Determination and Interpretation of Thermal Comfort Using Calculation of the PMV and PPD Indices and Local Thermal Comfort Criteria. International Standard Organization: Geneva, Switzerland, 2005.
- International Standard 10551; Ergonomics of the Physical Environment-Subjective Judgement Scales for Assessing Physical Environments. International Standard Organization: Geneva, Switzerland, 2019.
- Huang, T.; Li, J.; Xie, Y.; Niu, J.; Mak, C.M. Simultaneous Environmental Parameter Monitoring and Human Subject Survey Regarding Outdoor Thermal Comfort and Its Modelling. Build. Environ. 2017, 125, 502–514. [Google Scholar]
- Wang, H.; Liu, L. Experimental Investigation about Effect of Emotion State on People’s Thermal Comfort. Energy Build. 2020, 211, 109789. [Google Scholar] [CrossRef]
- Baron, R.M.; Kenny, D.A. The Moderator–Mediator Variable Distinction in Social Psychological Research: Conceptual, Strategic, and Statistical Considerations. J. Personal. Soc. Psychol. 1986, 51, 1173–1182. [Google Scholar] [CrossRef]
- Rijnhart, J.J.M.; Lamp, S.J.; Valente, M.J.; MacKinnon, D.P.; Twisk, J.W.R.; Heymans, M.W. Mediation analysis methods used in observational research: A scoping review and recommendations. BMC Med. Res. Methodol. 2021, 21, 226. [Google Scholar] [CrossRef]
- Nguyen, T.Q.; Schmid, I.; Stuart, E.A. Clarifying causal mediation analysis for the applied researcher: Defining effects based on what we want to learn. Psychol. Methods 2021, 26, 255–271. [Google Scholar] [CrossRef]
- Wang, R.; Helbich, M.; Yao, Y.; Zhang, J.; Liu, P.; Yuan, Y.; Liu, Y. Urban greenery and mental wellbeing in adults: Cross-sectional mediation analyses on multiple pathways across different greenery measures. Environ. Res. 2019, 176, 108535. [Google Scholar] [CrossRef]
- He, D.; Miao, J.; Lu, Y.; Song, Y.; Chen, L.; Liu, Y. Urban greenery mitigates the negative effect of urban density on older adults’ life satisfaction: Evidence from Shanghai, China. Cities 2022, 124, 103607. [Google Scholar] [CrossRef]
- Sobel, M.E. Asymptotic Confidence Intervals for Indirect Effects in Structural Equation Models. Sociol. Methodol. 1982, 13, 290–312. [Google Scholar] [CrossRef]
- Sun, S.; Xu, X.; Lao, Z.; Liu, W.; Li, Z.; Higueras García, E.; He, L.; Zhu, J. Evaluating the Impact of Urban Green Space and Landscape Design Parameters on Thermal Comfort in Hot Summer by Numerical Simulation. Build. Environ. 2017, 123, 277–288. [Google Scholar]
- Chen, X.; Gao, L.; Xue, P.; Du, J.; Liu, J. Investigation of outdoor thermal sensation and comfort evaluation methods in severe cold area. Sci. Total Environ. 2020, 749, 141520. [Google Scholar]
- Hystad, P.; Payette, Y.; Noisel, N.; Boileau, C. Green space associations with mental health and cognitive function. Environ. Epidemiol. 2019, 3, e040. [Google Scholar] [CrossRef]
- Stigsdotter, U.K.; Corazon, S.S.; Sidenius, U.; Refshauge, A.D.; Grahn, P. Forest design for mental health promotion—Using perceived sensory dimensions to elicit restorative responses. Landsc. Urban Plan. 2017, 160, 1–15. [Google Scholar] [CrossRef]
- Niu, J.; Hong, B.; Geng, Y.; Mi, J.; He, J. Summertime physiological and thermal responses among activity levels in campus outdoor spaces in a humid subtropical city. Sci. Total Environ. 2020, 728, 138757. [Google Scholar] [CrossRef] [PubMed]
- Dzhambov, A.M.; Lercher, P.; Browning, M.H.E.M.; Stoyanov, D.; Petrova, N.; Novakov, S.; Dimitrova, D.D. Does greenery experienced indoors and outdoors provide an escape and support mental health during the COVID-19 quarantine? Environ. Res. 2021, 196, 110420. [Google Scholar] [CrossRef] [PubMed]
- Morakinyo, T.E.; Ouyang, W.; Lau, K.K.-L.; Ren, C.; Ng, E. Right tree, right place (urban canyon): Tree species selection approach for optimum urban heat mitigation—Development and evaluation. Sci. Total Environ. 2020, 719, 137461. [Google Scholar] [CrossRef]
- Leslie, E.; Sugiyama, T.; Ierodiaconou, D.; Kremer, P. Perceived and objectively measured greenness of neighbourhoods: Are they measuring the same thing? Landsc. Urban Plan. 2010, 95, 28–33. [Google Scholar] [CrossRef]
- He, H.; Lin, X.; Yang, Y.; Lu, Y. Association of street greenery and physical activity in older adults: A novel study using pedestrian-centered photographs. Urban For. Urban Green. 2020, 55, 126789. [Google Scholar] [CrossRef]










| Greening Index | 1 | 2 | 3 | 4 | 5 | 6 | 7 | 8 | 9 | 10 | 11 | 12 |
|---|---|---|---|---|---|---|---|---|---|---|---|---|
| GVI (%) | 25.8 | 22.5 | 42.2 | 32.1 | 27.5 | 76.1 | 46.5 | 57.6 | 22.7 | 29.9 | 36.2 | 43.7 |
| TVF (%) | 2.1 | 75.8 | 36.8 | 5.7 | 9.9 | 81.9 | 10.4 | 11.4 | 5.6 | 12.7 | 9.1 | 44.8 |
| Microclimatic Parameters | Instrument | Range | Accuracy |
|---|---|---|---|
| Air temperature (Ta) | HOBO U23-001A | −40–70 °C | ±0.21 °C |
| Relative humidity (RH) | HOBO U23-001A | 0–100% | ±2.5% |
| Wind speed (Va) | HD32.3 | 0–5 m/s | ±0.05 m/s (0–1 m/s) ±0.15 m/s (1–5 m/s) |
| Global temperature (Tg) | HD32.3 | −10–100 °C | ±0.5 °C |
| Variables | Max | Min | Mean (SD) | 25% Quantile | 75% Quantile | Proportion (Number) |
|---|---|---|---|---|---|---|
| Response | ||||||
| Gender (%): Male | 65.63% (947) | |||||
| Female | 34.37% (496) | |||||
| Type of activity (%): Seated | 6.24% (90) | |||||
| Standing | 9.63% (139) | |||||
| Stroll | 81.01% (1169) | |||||
| Exercising | 3.12% (45) | |||||
| Clothing insulation (Clo) | 2.94 | 0.94 | 1.40 (0.19) | 1.23 | 1.49 | |
| TCV | 4.00 | 0.00 | 2.24 (0.76) | 1.70 | 2.80 | |
| Microclimate | ||||||
| Ta (°C) | 19.40 | 1.60 | 7.88 (4.81) | 4.00 | 12.30 | |
| Tg (°C) | 24.20 | 0.40 | 9.02 (5.78) | 4.30 | 12.60 | |
| RH (%) | 100.60 | 21.30 | 43.44 (17.59) | 31.30 | 49.80 | |
| Va (m/s) | 9.60 | 0.00 | 1.23 (1.24) | 0.35 | 1.71 | |
| Greening indices | ||||||
| GVI (%) | 76.10 | 22.50 | 38.55 (15.24) | 25.80 | 45.10 | |
| TVF (%) | 81.90 | 2.10 | 25.50 (26.84) | 7.40 | 40.80 |
| Model 3a | Model 3c | Model 3e | Model 3g | Model 3i | |
|---|---|---|---|---|---|
| Ta (Coef.) (SE) | Tg (Coef.) (SE) | RH (Coef.) (SE) | Va (Coef.) (SE) | Multi (Coef.) (SE) | |
| GVI | −0.581 ** (0.111)− | −0.634 *** (0.112) | −1.315 *** (0.131) | −0.990 *** (0.120) | −0.274 ** (0.110) |
| Ta | −0.091 *** (0.004) | —— | —— | —— | −0.086 *** (0.004) |
| Tg | —— | −0.073 *** (0.003) | —— | —— | —— |
| RH | —— | —— | −0.005 *** (0.001) | —— | −0.006 *** (0.001) |
| Va | —— | —— | —— | 0.246 *** (0.015) | 0.097 *** (0.016) |
| Model 3b | Model 3d | Model 3f | Model 3h | Model 3j | |
| Ta (Coef.) (SE) | Tg (Coef.) (SE) | RH (Coef.) (SE) | Va (Coef.) (SE) | Multi (Coef.) (SE) | |
| TVF | −0.461 *** (0.062)− | −0.601 *** (0.061) | −0.936 *** (0.082) | −0.532 *** (0.073) | −0.104 (0.072) |
| Ta | −0.089 *** (0.004)− | —— | —— | —— | −0.087 *** (0.004) |
| Tg | —— | −0.072 *** (0.003) | —— | —— | —— |
| RH | —— | —— | −0.003 ** (0.001) | —— | −0.006 *** (0.001) |
| Va | —— | —— | —— | 0.227 *** (0.016) | 0.095 *** (0.016) |
| Total Effect | Direct Effect | Mediation Effect | % Mediation Effect | |
|---|---|---|---|---|
| GVI | ||||
| Ta | −1.445 | −0.581 | −0.864 | 59.79% |
| Tg | −1.445 | −0.634 | −0.811 | 56.12% |
| RH | −1.445 | −1.315 | −0.13 | 9.00% |
| Va | −1.441 | −0.99 | −0.451 | 31.30% |
| Multiple mediators | −1.442 | −0.274 | −1.168 | 81.00% |
| TVF | ||||
| Ta | −0.952 | −0.461 | −0.491 | 51.58% |
| Tg | −0.95 | −0.6 | −0.35 | 36.84% |
| RH | −0.952 | −0.871 | −0.081 | 8.51% |
| Va | −0.949 | −0.532 | −0.417 | 43.94% |
| Multiple mediators | −0.948 | −0.104 | −0.844 | 89.02% |
Publisher’s Note: MDPI stays neutral with regard to jurisdictional claims in published maps and institutional affiliations. |
© 2022 by the authors. Licensee MDPI, Basel, Switzerland. This article is an open access article distributed under the terms and conditions of the Creative Commons Attribution (CC BY) license (https://creativecommons.org/licenses/by/4.0/).
Share and Cite
Wang, K.; Fang, X.; Ma, Y.; Xue, S.; Yin, S. Assessing Effects of Urban Greenery on the Regulation Mechanism of Microclimate and Outdoor Thermal Comfort during Winter in China’s Cold Region. Land 2022, 11, 1442. https://doi.org/10.3390/land11091442
Wang K, Fang X, Ma Y, Xue S, Yin S. Assessing Effects of Urban Greenery on the Regulation Mechanism of Microclimate and Outdoor Thermal Comfort during Winter in China’s Cold Region. Land. 2022; 11(9):1442. https://doi.org/10.3390/land11091442
Chicago/Turabian StyleWang, Kun, Xubin Fang, Yue Ma, Sihan Xue, and Shi Yin. 2022. "Assessing Effects of Urban Greenery on the Regulation Mechanism of Microclimate and Outdoor Thermal Comfort during Winter in China’s Cold Region" Land 11, no. 9: 1442. https://doi.org/10.3390/land11091442
APA StyleWang, K., Fang, X., Ma, Y., Xue, S., & Yin, S. (2022). Assessing Effects of Urban Greenery on the Regulation Mechanism of Microclimate and Outdoor Thermal Comfort during Winter in China’s Cold Region. Land, 11(9), 1442. https://doi.org/10.3390/land11091442
