Land Cover and Human Disturbance Impact on Water Chemistry and Ecological Health in an Asian Temperate Lotic System
Abstract
:1. Introduction
2. Materials and Methods
2.1. Study Area
2.2. Cumulative Human Pressure Data Set
2.3. Water Quality Parameters
2.4. Fish Sampling
2.5. Multi-Metric WPI Model
2.6. Multi-Metric IBI Model
2.7. Statistical Analyses
3. Results
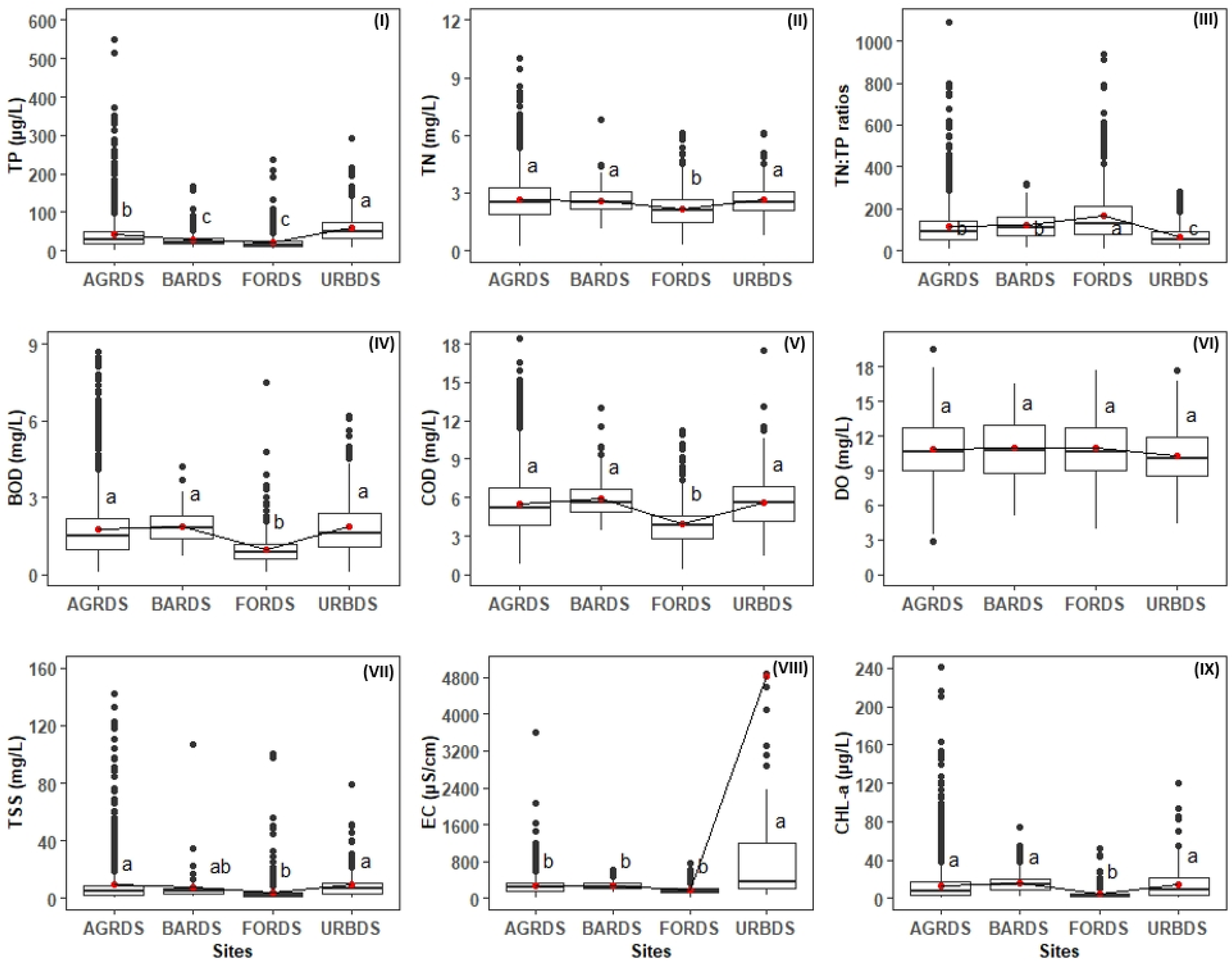
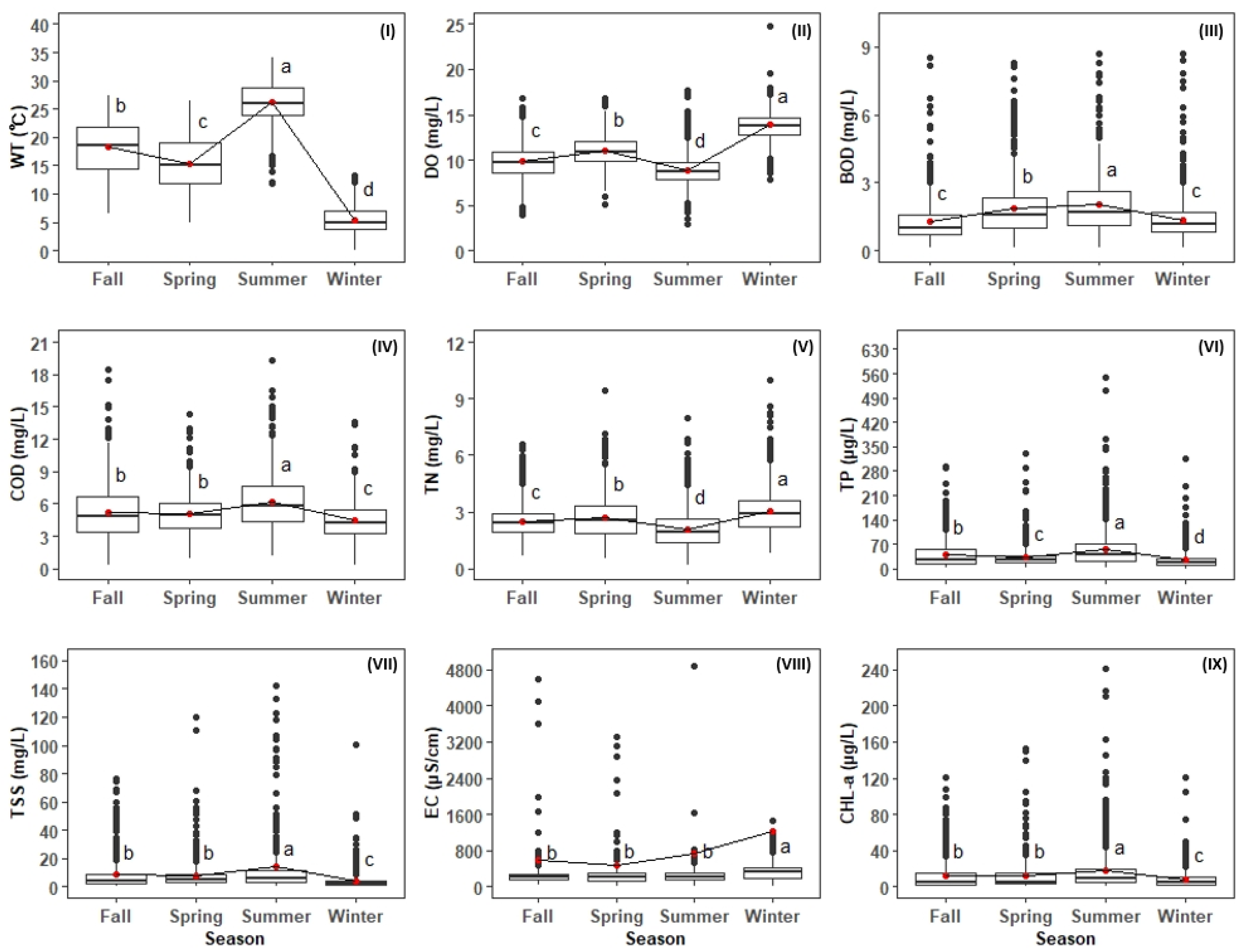
3.1. Spatial and Seasonal Variation in Water Quality Parameters
3.2. Relationships between Nutrients and CHL-a
3.3. Spatial Variation in Fish Guilds and Community Composition
3.4. Chemical and Biological Health
3.5. Correlations between Water Quality and Human Disturbance and Fish Guilds, WPI, and IBI
4. Discussion
4.1. Land Cover Type, Monsoons, and Water Quality
4.2. Nutrients and CHL-a Dynamics
4.3. The Impacts of Land Cover, Water Chemistry, and Human Disturbance on Fish Guilds, Chemical Health, and Biological Health
5. Conclusions
Supplementary Materials
Author Contributions
Funding
Institutional Review Board Statement
Informed Consent Statement
Data Availability Statement
Acknowledgments
Conflicts of Interest
References
- Wetzel, R.G. Limnology Lake and River Ecosystem; Academic Press: Cambridge, MA, USA, 2001; ISBN 9780127447605. [Google Scholar]
- Wang, Q.; Li, Y.; Liu, L.; Cui, S.; Liu, X.; Chen, F.; Jeppessen, E. Human impact on current environmental state in Chinese lakes. J. Environ. Sci. 2022, 126, 297–307. [Google Scholar] [CrossRef]
- Karr, J.R. Defining and measuring river health. Freshw. Biol. 1999, 41, 221–234. [Google Scholar] [CrossRef]
- Allan, J.D.; Castillo, M.M. Stream Ecology: Structure and Function of Running Waters: Second edition. In Stream Ecology; Springer: Berlin/Heidelberg, Germany, 2007; pp. 1–436. [Google Scholar] [CrossRef]
- Dodds, W.K.; Smith, V.H. Nitrogen, phosphorus, and eutrophication in streams. Inl. Waters 2016, 6, 155–164. [Google Scholar] [CrossRef]
- Wang, L.; Lyons, J.; Kanehl, P.; Bannerman, R. Impacts of urbanization on stream habitat and fish across multiple spatial scales. Environ. Manag. 2001, 28, 255–266. [Google Scholar] [CrossRef] [PubMed]
- Mamun, M.; An, K.-G. Ecological health assessments of 72 streams and rivers in relation to water chemistry and land-use patterns in South Korea. Turk. J. Fish. Aquat. Sci. 2018, 18, 871–880. [Google Scholar] [CrossRef]
- Choi, J.W.; Han, J.H.; Park, C.S.; Ko, D.G.; Kang, H.I.; Kim, J.Y.; Yun, Y.J.; Kwon, H.H.; An, K.G. Nutrients and sestonic chlorophyll dynamics in Asian lotic ecosystems and ecological stream health in relation to land-use patterns and water chemistry. Ecol. Eng. 2015, 79, 15–31. [Google Scholar] [CrossRef]
- Jones, J.R.; Knowlton, M.F.; An, K.G. Trophic state, seasonal patterns and empirical models in South Korean Reservoirs. Lake Reserv. Manag. 2003, 19, 64–78. [Google Scholar] [CrossRef]
- An, K.G.; Park, S.S.; Shin, J.Y. An evaluation of a river health using the index of biological integrity along with relations to chemical and habitat conditions. Environ. Int. 2002, 28, 411–420. [Google Scholar] [CrossRef]
- Kim, J.Y.; An, K.G. Integrated ecological river health assessments, based on water chemistry, physical habitat quality and biological integrity. Water 2015, 7, 6378–6403. [Google Scholar] [CrossRef] [Green Version]
- An, K.G.; Kim, D.S.; Kong, D.S.; Kim, S.D. Integrative assessments of a temperate stream based on a multimetric determination of biological integrity, physical habitat evaluations, and toxicity tests. Bull. Environ. Contam. Toxicol. 2004, 73, 471–478. [Google Scholar] [CrossRef]
- Miserendino, M.L.; Casaux, R.; Archangelsky, M.; Di Prinzio, C.Y.; Brand, C.; Kutschker, A.M. Assessing land-use effects on water quality, in-stream habitat, riparian ecosystems and biodiversity in Patagonian northwest streams. Sci. Total Environ. 2011, 409, 612–624. [Google Scholar] [CrossRef] [PubMed]
- Pacheco-Díaz, R.I.; Schmitter-Soto, J.J.; Schmook, B.; Islebe, G.A.; Weissenberger, H. Land use and biotic integrity in shallow streams of the Hondo River basin, Yucatan Peninsula, Mexico. Rev. Biol. Trop. 2017, 65, 1448. [Google Scholar] [CrossRef]
- Atique, U.; An, K.G. Landscape heterogeneity impacts water chemistry, nutrient regime, organic matter and chlorophyll dynamics in agricultural reservoirs. Ecol. Indic. 2020, 110, 105813. [Google Scholar] [CrossRef]
- Mamun, M.; An, K.G. Stream health assessment using chemical and biological multi-metric models and their relationships with fish trophic and tolerance indicators. Ecol. Indic. 2020, 111, 106055. [Google Scholar] [CrossRef]
- Mamun, M.; An, K.G. The application of chemical and biological multi-metric models to a small urban stream for ecological health assessments. Ecol. Inform. 2019, 50, 1–12. [Google Scholar] [CrossRef]
- Kim, J.H.; Oh, H.M.; Kim, I.S.; Lim, B.J.; An, K.G. Ecological health assessments of an urban lotic ecosystem using a multimetric model along with physical habitat and chemical water quality assessments. Int. J. Environ. Res. 2013, 7, 659–668. [Google Scholar]
- Karr, J.R.; Larson, E.R.; Chu, E.W. Ecological integrity is both real and valuable. Conserv. Sci. Pract. 2022, 4, e583. [Google Scholar] [CrossRef]
- Walters, D.M.; Leigh, D.S.; Bearden, A.B. Urbanization, sedimentation, and the homogenization of fish assemblages in the Etowah River Basin, USA. Hydrobiologia 2003, 494, 5–10. [Google Scholar] [CrossRef]
- Allan, J.D. Landscapes and Riverscapes: The Influence of Land Use on Stream Ecosystems. Annu. Rev. Ecol. Evol. Syst. 2004, 35, 257–284. [Google Scholar] [CrossRef]
- Wohl, E. Mountain Rivers. Water Resources Monograph 14; American Geophysical Union: Washington, DC, USA, 2000; ISBN 9781118665800. [Google Scholar]
- Wang, L.; Lyons, J.; Kanehl, P. Impacts of Urban Land Cover on Trout Streams in Wisconsin and Minnesota. Trans. Am. Fish. Soc. 2003, 132, 825–839. [Google Scholar] [CrossRef]
- Atique, U.; An, K.G. Stream health evaluation using a combined approach of multi-metric chemical pollution and biological integrity models. Water 2018, 10, 661. [Google Scholar] [CrossRef]
- Kraemer, S.A.; Barbosa da Costa, N.; Shapiro, B.J.; Fradette, M.; Huot, Y.; Walsh, D.A. A large-scale assessment of lakes reveals a pervasive signal of land use on bacterial communities. ISME J. 2020, 14, 3011–3023. [Google Scholar] [CrossRef] [PubMed]
- Marmen, S.; Blank, L.; Al-Ashhab, A.; Malik, A.; Ganzert, L.; Lalzar, M.; Grossart, H.P.; Sher, D. The Role of Land Use Types and Water Chemical Properties in Structuring the Microbiomes of a Connected Lake System. Front. Microbiol. 2020, 11, 89. [Google Scholar] [CrossRef] [PubMed]
- Huang, J.; Zhang, Y.; Bing, H.; Peng, J.; Dong, F.; Gao, J.; Arhonditsis, G.B. Characterizing the river water quality in China: Recent progress and on-going challenges. Water Res. 2021, 201, 117309. [Google Scholar] [CrossRef] [PubMed]
- Wang, M.; Bao, K.; Heathcote, A.J.; Zhu, Q.; Cheng, G.; Li, S.; Zhang, C. Spatio-temporal pattern of metal contamination in Chinese lakes since 1850. Catena 2021, 196, 104918. [Google Scholar] [CrossRef]
- Li, Z.; Zhang, R.; Liu, C.; Zhang, R.; Chen, F.; Liu, Y. Phosphorus spatial distribution and pollution risk assessment in agricultural soil around the Danjiangkou reservoir, China. Sci. Total Environ. 2020, 699, 134417. [Google Scholar] [CrossRef]
- Kennedy, C.M.; Oakleaf, J.R.; Theobald, D.M.; Baruch-Mordo, S.; Kiesecker, J. Managing the middle: A shift in conservation priorities based on the global human modification gradient. Glob. Chang. Biol. 2019, 25, 811–826. [Google Scholar] [CrossRef]
- Dodds, W.K.; Perkin, J.S.; Gerken, J.E. Human impact on freshwater ecosystem services: A global perspective. Environ. Sci. Technol. 2013, 47, 9061–9068. [Google Scholar] [CrossRef]
- Venter, O.; Sanderson, E.W.; Magrach, A.; Allan, J.R.; Beher, J.; Jones, K.R.; Possingham, H.P.; Laurance, W.F.; Wood, P.; Fekete, B.M.; et al. Sixteen years of change in the global terrestrial human footprint and implications for biodiversity conservation. Nat. Commun. 2016, 7, 12558. [Google Scholar] [CrossRef]
- Sanderson, E.W.; Jaiteh, M.; Levy, M.A.; Redford, K.H.; Wannebo, A.V.; Woolmer, G. The human footprint and the last of the wild. Bioscience 2002, 52, 891–904. [Google Scholar] [CrossRef] [Green Version]
- Venter, O.; Sanderson, E.W.; Magrach, A.; Allan, J.R.; Beher, J.; Jones, K.R.; Possingham, H.P.; Laurance, W.F.; Wood, P.; Fekete, B.M.; et al. Global terrestrial Human Footprint maps for 1993 and 2009. Sci. Data 2016, 3, 160067. [Google Scholar] [CrossRef]
- Karr, J.R. Assessment of Biotic Integrity Using Fish Communities. Fisheries 1981, 6, 21–27. [Google Scholar] [CrossRef]
- Snyder, C.D.; Young, J.A.; Villella, R.; Lemarié, D.P. Influences of upland and riparian land use patterns on stream biotic integrity. Landsc. Ecol. 2003, 18, 647–664. [Google Scholar] [CrossRef]
- An, K.; Lee, J.; Bae, D.; Ja-hyun, K.; Hwang, S.-J.; Won, D.-H.; Lee, J.-K.; Kim, C.-S. Ecological Assessments of Aquatic Environment using Multi-metric Model in Major Nationwide Stream Watersheds. J. Korean Soc. Water Environ. 2006, 22, 796–804. [Google Scholar]
- Mamun, M.; Jargal, N.; Atique, U.; An, K. Ecological River Health Assessment Using Multi-Metric Models in an Asian Temperate Region with Land Use/Land Cover as the Primary Factor Regulating Nutrients, Organic Matter, and Fish Composition. Int. J. Environ. Res. Public Health 2022, 19, 9305. [Google Scholar] [CrossRef]
- Karr, J.R. Biological Integrity: A Long-Neglected Aspect of Water Resource Management. Ecol. Appl. 1991, 1, 66–84. [Google Scholar] [CrossRef]
- Shin, W.J.; Ryu, J.S.; Min, J.S.; Lee, K.S. Identification of sources affecting water chemistry in the Nakdong River, South Korea. Environ. Earth Sci. 2017, 76, 376. [Google Scholar] [CrossRef]
- MOE. Standard Methods for the Examination of Water Quality Contamination, 7th ed.; Ministry of Environemnt (MOE): Gwacheon, Korea, 2000; p. 435. (In Korean)
- Ohio, E. Biological Criteria for the Protection of Aquatic Life. Standardized Biological Field Assessment of Ohio Surface Waters; EPA: Columbus, OH, USA, 1989; Volume III.
- An, K.-G.; Jung, S.-H.; Choi, S.-S. An Evaluation on Health Conditions of Pyong-Chang River using the Index of Biological Integrity (IBI) and Qualitative Habitat Evaluation Index (QHEI). Korean J. Limnol. 2001, 34, 153–165. [Google Scholar]
- Choi, J.Y.; Kim, S.K.; Kim, J.C.; Yun, J.H. Invasion and dispersion of the exotic species procambarus clarkii (Decapoda cambaridae) in yeongsan river basin, south korea. Animals 2021, 11, 3489. [Google Scholar] [CrossRef]
- Allan, J.D.; Erickson, D.L.; Fay, J. The influence of catchment land use on stream integrity across multiple spatial scales. Freshw. Biol. 1997, 37, 149–161. [Google Scholar] [CrossRef]
- Hamid, A.; Bhat, S.U.; Jehangir, A. Local determinants influencing stream water quality. Appl. Water Sci. 2020, 10, 24. [Google Scholar] [CrossRef]
- Brogna, D.; Dufrêne, M.; Michez, A.; Latli, A.; Jacobs, S.; Vincke, C.; Dendoncker, N. Forest cover correlates with good biological water quality. Insights from a regional study (Wallonia, Belgium). J. Environ. Manag. 2018, 211, 9–21. [Google Scholar] [CrossRef] [PubMed] [Green Version]
- Vannote, R.L.; Minshall, G.W.; Cummins, K.W.; Sedell, J.R.; Cushing, C.E. The River Continuum Concept. Can. J. Fish. Aquat. Sci. 1980, 37, 130–137. [Google Scholar] [CrossRef]
- Dudgeon, D. Large-scale hydrological changes in tropical Asia: Prospects for riverine biodiversity. Bioscience 2000, 50, 793–806. [Google Scholar] [CrossRef]
- Chen, J.; Wang, Y.; Li, F.; Liu, Z. Aquatic ecosystem health assessment of a typical sub-basin of the Liao River based on entropy weights and a fuzzy comprehensive evaluation method. Sci. Rep. 2019, 9, 14045. [Google Scholar] [CrossRef] [PubMed]
- Atique, U.; Kwon, S.; An, K.G. Linking weir imprints with riverine water chemistry, microhabitat alterations, fish assemblages, chlorophyll-nutrient dynamics, and ecological health assessments. Ecol. Indic. 2020, 117, 106652. [Google Scholar] [CrossRef]
- Hutchinson, G.E. A Treatise on Limnology. Geography, Physics and Chemistry; Wiley: Hoboken, NJ, USA, 1957; Volume 1. [Google Scholar]
- Dillon, P.J. The phosphorus-chlorophyll in lakes. Limnol. Oceanogr. 1974, 19, 767–773. [Google Scholar] [CrossRef]
- Dodds, W.K. Eutrophication and trophic state in rivers and streams. Limnol. Oceanogr. 2006, 51, 671–680. [Google Scholar] [CrossRef]
- Pringle, C. Effects of water and substratum nutrient supplies on lotic periphyton growth—An integrated bioassay. Can. J. Fish. Aquat. Sci. 1987, 44, 619–629. [Google Scholar] [CrossRef]
- Munn, M.; Frey, J.; Tesoriero, A. The influence of nutrients and physical habitat in regulating algal biomass in agricultural streams. Environ. Manag. 2010, 45, 603–615. [Google Scholar] [CrossRef]
- Corkum, L. Responses of chlorophyll-a, organic matter, and macroinvertebrates to nutrient additions in rivers flowing through agricultural and forested land. Arch. Hydrobiol. 1996, 136, 391–411. [Google Scholar] [CrossRef]
- Kwak, S.D.; Choi, J.W.; An, K.G. Chemical water quality and fish component analyses in the periods of before- and after-the weir constructions in Yeongsan River. J. Ecol. Environ. 2016, 39, 99–110. [Google Scholar] [CrossRef] [Green Version]
- Li, J.; Dong, S.; Liu, S.; Yang, Z.; Peng, M.; Zhao, C. Effects of cascading hydropower dams on the composition, biomass and biological integrity of phytoplankton assemblages in the middle Lancang-Mekong River. Ecol. Eng. 2013, 60, 316–324. [Google Scholar] [CrossRef]
- Yan, Z.; Han, W.; Peñuelas, J.; Sardans, J.; Elser, J.J.; Du, E.; Reich, P.B.; Fang, J. Phosphorus accumulates faster than nitrogen globally in freshwater ecosystems under anthropogenic impacts. Ecol. Lett. 2016, 19, 1237–1246. [Google Scholar] [CrossRef]
- Allan, J.D. Influence of land use and landscape setting on the ecological status of rivers. Limnetica 2004, 23, 187–198. [Google Scholar] [CrossRef]
- Choi, J.Y.; Kim, S.K. Effects of aquatic macrophytes on spatial distribution and feeding habits of exotic fish species lepomis macrochirus and micropterus salmoides in shallow reservoirs in south korea. Sustainability 2020, 12, 1447. [Google Scholar] [CrossRef]
- Wang, L.; Lyons, J. Fish and Benthic Macroinvertebrate Assemblages as Indicators of Stream Degradation in Urbanizing Watersheds. In Biological Response Signatures: Indicator Patterns Using Aquatic Communities; Simon, T.P., Ed.; CRC Press: Boca Raton, FL, USA; London, UK; New York, NY, USA; Washington, DC, USA, 2003; pp. 227–250. ISBN 0-8493-0905-0. [Google Scholar]
- Wang, L.; Lyons, J.; Kanehl, P.; Gatti, R. Influences of Watershed Land Use on Habitat Quality and Biotic Integrity in Wisconsin Streams. Fisheries 1997, 22, 6–12. [Google Scholar] [CrossRef]
- Wang, L.; Lyons, J.; Kanehi, P.; Bannerman, R.; Emmons, E. Watershed urbanization and changes in fish communities in southeastern Wisconsin streams. J. Am. Water Resour. Assoc. 2000, 36, 1173–1189. [Google Scholar] [CrossRef]
- Barbour, M.T.; Faulkner, C.; Gerritsen, J. Rapid Bioassessment Protocols for Use in Streams and Wadeable Rivers: Periphyton, Benthic Macriinvertebrates and Fish, 2nd ed.; EPA 841-B-99-002; EPA Office of Water: Washington, DC, USA, 1999; p. 337.








| Category | Model Metric | Scoring Criteria | ||
|---|---|---|---|---|
| 5 | 3 | 1 | ||
| Nutrient regime | M1: total nitrogen (mg/L) | <1.5 | 1.5–3.0 | >3 |
| M2: total phosphorus (µg/L) | <30 | 30–100 | >100 | |
| M3: TN: TP ratio | >50 | 20–50 | <20 | |
| Organic matter | M4: biological oxygen demand (mg/L) | <1 | 1–2.5 | >2.5 |
| Ionic contents and solids | M5: total suspended solids (mg/L) | <4 | 4–10 | >10 |
| M6: electrical conductivity (µS/cm) | <180 | 180–300 | >300 | |
| Primary production indicator | M7: chlorophyll (µg/L) | <3 | 3–10 | >10 |
| Model Category | Model Metric | Scoring Criteria | ||
|---|---|---|---|---|
| 5 | 3 | 1 | ||
| Species richness and composition | M1: total number of native fish species | >67% | 33–67% | <33% |
| M2: number of riffle benthic species | >67% | 33–67% | <33% | |
| M3: number of sensitive species | >67% | 33–67% | <33% | |
| M4: proportion of individuals as tolerant species | <5% | 5–20% | >20% | |
| Trophic composition | M5: proportion of individuals as omnivore species | <20% | 20–45% | >45% |
| M6: proportion of individuals as native insectivore species | >45% | 20–45% | <20% | |
| Fish abundance and condition | M7: total number of native individuals | >67% | 33–67% | <33% |
| M8: percentage of individuals with anomalies | 0% | 0–1% | >1% | |
| Fish Species | Types of Fish Guild | Relative Abundance of Fish Species (%) | TNI | TRA (%) | |||||
|---|---|---|---|---|---|---|---|---|---|
| Tol. G. | Tro. G. | Hab. G | AGRDS | BARDS | FORDS | URBDS | |||
| Zacco platypus | TS | O | 28.84 | 15.13 | 12.32 | 19.16 | 2416 | 23.42 | |
| Zacco koreanus | SS | I | 12.55 | 38.76 | 9.76 | 1900 | 18.42 | ||
| Opsarichthys uncirostris | TS | C | 6.4 | 25.21 | 2.56 | 1.73 | 556 | 5.39 | |
| Pseudogobio esocinus | IS | I | 6.41 | 2.94 | 1.65 | 4.47 | 511 | 4.95 | |
| Lepomis macrochirus ¥ (EDS) | TS | I | 4.01 | 28.15 | 2.83 | 1.37 | 412 | 3.99 | |
| Pungtungia herzi | IS | I | 3.42 | 6.22 | 2.74 | 408 | 3.96 | ||
| Micropterus salmoides ¥ (EDS) | TS | C | 4.46 | 8.4 | 3.54 | 0.64 | 404 | 3.92 | |
| Tridentiger brevispinis | IS | I | RB | 2.25 | 10.08 | 2.28 | 7.76 | 312 | 3.02 |
| Coreoleuciscus splendidus | SS | I | RB | 1.97 | 6.14 | 0.09 | 284 | 2.75 | |
| Rhinogobius brunneus | IS | I | RB | 2.5 | 1.68 | 1.57 | 2.37 | 231 | 2.24 |
| Squalidus chankaensis | IS | O | 2.41 | 2.28 | 0.64 | 220 | 2.13 | ||
| Rhynchocypris oxycephalus | SS | I | 0.78 | 6.61 | 218 | 2.11 | |||
| Squalidus gracilis | IS | I | 2.58 | 0.39 | 3.83 | 218 | 2.11 | ||
| Squalidus multimaculatus | IS | O | 3.39 | 218 | 2.11 | ||||
| Mugil cephalus | TS | H | 0.2 | 16.15 | 190 | 1.84 | |||
| Carassius auratus | TS | O | 1.61 | 2.1 | 0.94 | 4.38 | 181 | 1.75 | |
| Microphysogobio yaluensis | IS | O | RB | 1.54 | 2.95 | 0.27 | 177 | 1.72 | |
| Hemibarbus labeo | TS | I | 2.22 | 2.94 | 0.75 | 169 | 1.64 | ||
| Niwaella multifasciata | SS | O | RB | 1.1 | 2.36 | 131 | 1.27 | ||
| Tribolodon hakonensis | IS | O | 1.38 | 3.19 | 124 | 1.2 | |||
| Plecoglossus altivelis | IS | H | 0.43 | 8.39 | 120 | 1.16 | |||
| Acheilognathus koreensis | IS | O | 1.26 | 0.55 | 95 | 0.92 | |||
| Coreoperca herzi | SS | C | 0.9 | 1.18 | 0.27 | 91 | 0.88 | ||
| Hemiculter eigenmanni | TS | O | 1.09 | 0.35 | 1.09 | 91 | 0.88 | ||
| Odontobutis platycephala | SS | C | 0.84 | 0.71 | 0.18 | 74 | 0.72 | ||
| Pseudorasbora parva | TS | O | 0.68 | 0.04 | 2.55 | 73 | 0.71 | ||
| Hemibarbus longirostris | IS | I | 0.68 | 0.28 | 0.91 | 61 | 0.59 | ||
| Chaenogobius urotaenia | IS | I | 0.53 | 2.28 | 59 | 0.57 | |||
| Acheilognathus lanceolatus | IS | O | 0.78 | 0.2 | 55 | 0.53 | |||
| Erythroculter erythropterus | TS | C | 0.37 | 0.2 | 1.82 | 49 | 0.48 | ||
| Cobitis hankugensis | IS | I | 0.53 | 0.24 | 0.09 | 41 | 0.4 | ||
| Misgurnus anguillicaudatus | TS | O | 0.36 | 2.1 | 0.24 | 0.09 | 35 | 0.34 | |
| Squalidus japonicus | TS | O | 0.54 | 35 | 0.34 | ||||
| Oryzias latipes | TS | O | 0.25 | 1.09 | 28 | 0.27 | |||
| Cyprinus carpio | TS | O | 0.23 | 0.42 | 0.12 | 0.55 | 25 | 0.24 | |
| Iksookimia longicorpa | IS | I | 0.63 | 16 | 0.16 | ||||
| Leiocassis nitidus | TS | I | 0.55 | 14 | 0.14 | ||||
| Acanthogobius flavimanus | TS | I | 1.19 | 13 | 0.13 | ||||
| Pseudobagrus fulvidraco | TS | I | 0.14 | 0.84 | 0.08 | 13 | 0.13 | ||
| Liobagrus mediadiposalis | SS | I | RB | 0.06 | 0.08 | 6 | 0.06 | ||
| Rhodeus uyekii | IS | O | 0.05 | 0.27 | 6 | 0.06 | |||
| Gasterosteus aculeatus | IS | I | 0.06 | 4 | 0.04 | ||||
| Iksookimia yongdokensis | IS | I | 0.06 | 4 | 0.04 | ||||
| Liobagrus andersoni | SS | I | RB | 0.16 | 4 | 0.04 | |||
| Orthrias nudus | SS | I | RB | 0.16 | 4 | 0.04 | |||
| Cottus hangiongensis * | SS | I | RB | 0.05 | 3 | 0.03 | |||
| Synechogobius hasta | TS | I | 0.27 | 3 | 0.03 | ||||
| Tridentiger bifasciatus | TS | I | 0.27 | 3 | 0.03 | ||||
| Koreocobitis naktongensis * | SS | O | RB | 0.02 | 0.04 | 2 | 0.02 | ||
| Odontobutis interrupta | IS | C | 0.03 | 2 | 0.02 | ||||
| Sarcocheilichthys variegatus | IS | I | 0.03 | 2 | 0.02 | ||||
| Silurus asotus | TS | C | 0.02 | 0.04 | 2 | 0.02 | |||
| Lateolabrax maculatus | IS | C | 0.09 | 1 | 0.01 | ||||
| Pseudobagrus koreanus | IS | I | RB | 0.02 | 1 | 0.01 | |||
| TNS | 46 | 12 | 36 | 33 | |||||
| TNI | 6440 | 238 | 2541 | 1096 | 10315 | ||||
| Water Quality Parameters | Trophic Guilds | Tolerance Guilds | Model IBI Value | ||||||
|---|---|---|---|---|---|---|---|---|---|
| % Carnivores | % Herbivores | % Insectivores | % Omnivores | % Sensitive Species | % Intermediate Species | % Tolerant Species | |||
| Nutrients | TN | −0.12 | −0.12 | 0.01 | 0.13 | −0.05 | −0.02 | 0.05 | −0.03 |
| TP | −0.08 | −0.14 | −0.05 | 0.12 | −0.08 | −0.14 | 0.16 | −0.12 | |
| Organic matters | BOD | −0.07 | −0.15 | −0.005 | 0.12 | −0.02 | −0.12 | 0.1 | −0.12 |
| COD | −0.05 | −0.16 | 0.02 | 0.1 | −0.02 | −0.07 | 0.07 | −0.07 | |
| Primary productivity | CHL-a | −0.06 | −0.10 | −0.02 | 0.1 | −0.07 | −0.08 | 0.11 | −0.13 |
Publisher’s Note: MDPI stays neutral with regard to jurisdictional claims in published maps and institutional affiliations. |
© 2022 by the authors. Licensee MDPI, Basel, Switzerland. This article is an open access article distributed under the terms and conditions of the Creative Commons Attribution (CC BY) license (https://creativecommons.org/licenses/by/4.0/).
Share and Cite
Mamun, M.; Kim, J.-E.; An, K.-G. Land Cover and Human Disturbance Impact on Water Chemistry and Ecological Health in an Asian Temperate Lotic System. Land 2022, 11, 1428. https://doi.org/10.3390/land11091428
Mamun M, Kim J-E, An K-G. Land Cover and Human Disturbance Impact on Water Chemistry and Ecological Health in an Asian Temperate Lotic System. Land. 2022; 11(9):1428. https://doi.org/10.3390/land11091428
Chicago/Turabian StyleMamun, Md, Jeong-Eun Kim, and Kwang-Guk An. 2022. "Land Cover and Human Disturbance Impact on Water Chemistry and Ecological Health in an Asian Temperate Lotic System" Land 11, no. 9: 1428. https://doi.org/10.3390/land11091428
APA StyleMamun, M., Kim, J.-E., & An, K.-G. (2022). Land Cover and Human Disturbance Impact on Water Chemistry and Ecological Health in an Asian Temperate Lotic System. Land, 11(9), 1428. https://doi.org/10.3390/land11091428
