Assessing the Impact of a Utility Scale Solar Photovoltaic Facility on a Down Gradient Mojave Desert Ecosystem
Abstract
:1. Introduction
2. Material and Methods
3. Results
3.1. Site Conditions
3.2. Plant Response
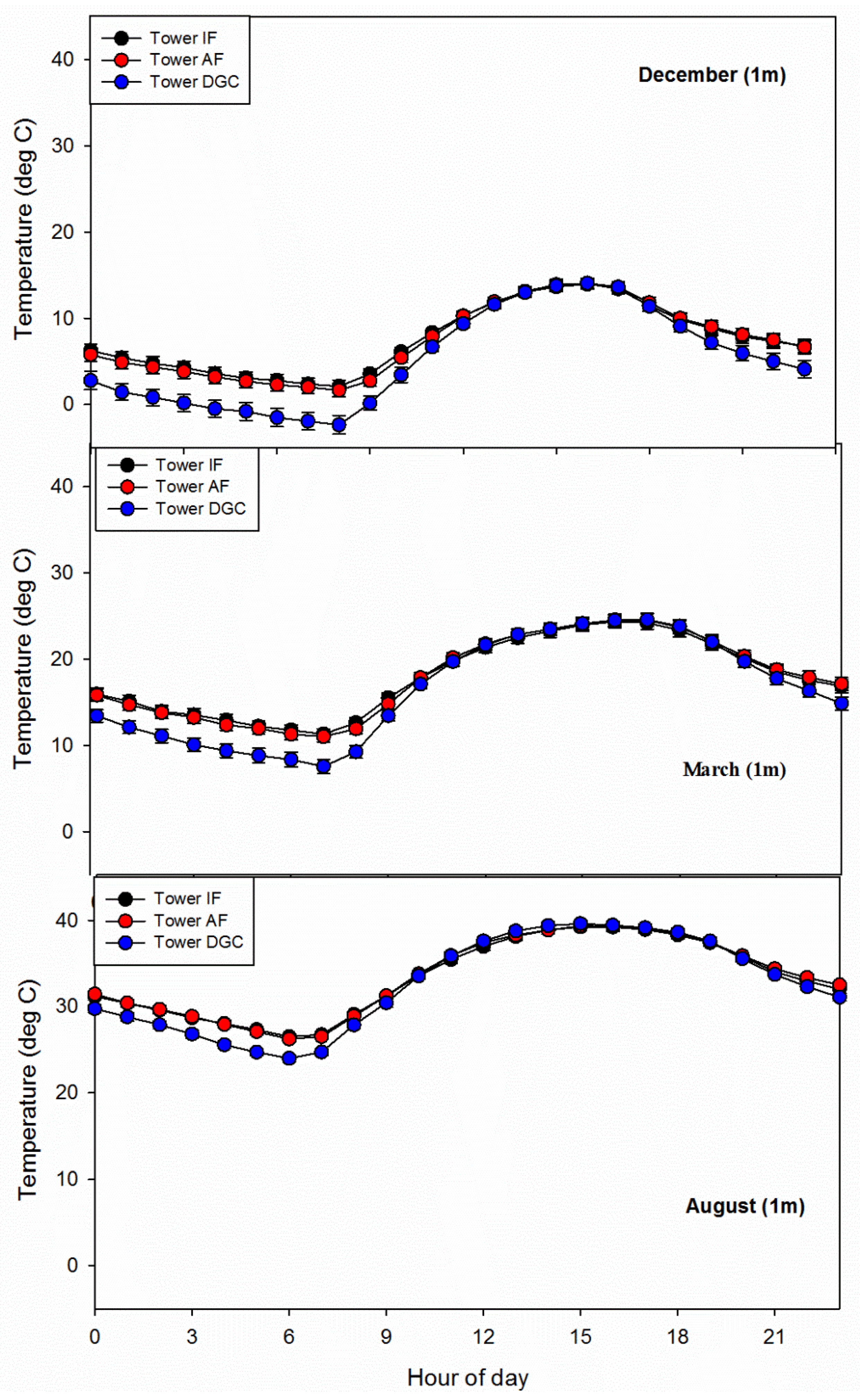
3.3. Air Temperature
3.4. Spatial Temperature Patterns
3.5. Soil Temperature
3.6. Energy Balance
4. Discussion
5. Concluding Remarks
Author Contributions
Funding
Informed Consent Statement
Data Availability Statement
Acknowledgments
Conflicts of Interest
References
- Nevada Governor’s Office of Energy. Available online: https://energy.nv.gov (accessed on 15 June 2021).
- Lovich, J.E.; Ennen, J.R. Wildlife conservation and solar energy development in the desert southwest, United States. BioScience 2011, 61, 982–992. [Google Scholar] [CrossRef]
- deCastro, C.M.; Mediavilla, L.J.M.; Frechoso, F. Global solar electric potential: A review of their technical and sustainable limits. Renew. Sustain. Energy Rev. 2013, 28, 824–835. [Google Scholar] [CrossRef]
- Field, C.B.; Barros, V.; Stocker, T.F.; Dahe, Q. Managing the Risks of Extreme Events and Disasters to Advance Climate Change Adaptation: A Special Report of Working Groups I and II of the Intergovernmental Panel on Climate Change. IPCC 2012; Cambridge University Press: Cambridge, UK, 2012. [Google Scholar]
- Hernandez, R.R.; Hoffacker, M.K.; Field, B. Efficient use of land to meet sustainable energy needs. Nat. Clim. Chang. 2015, 5, 353–358. [Google Scholar] [CrossRef]
- Kannan, N.; Vakeesan, D. Solar energy for future world—A review. Renew. Sustain. Energy Rev. 2016, 62, 1092–1105. [Google Scholar] [CrossRef]
- Abbasi, S.A.; Abbasi, N. The likely adverse environmental impacts of renewable energy sources. Appl. Energy 2000, 65, 121–144. [Google Scholar] [CrossRef]
- Jones, J.A.; Swanson, F.J.; Wemple, B.C.; Snyder, K.U. Effects of roads on hydrology, geomorphology and disturbance patches in stream networks. Conserv. Biol. 2000, 14, 76–85. [Google Scholar] [CrossRef]
- Barron-Gafford, G.A.; Minor, R.L.; Allen, N.A.; Cronin, A.D.; Brooks, A.E.; Pavao-Zuckerman, M.A.; Strand, W.G. The photovoltaic heat island effect: Larger solar power plants increase local temperatures. Sci. Rep. 2016, 6, 35070. [Google Scholar] [CrossRef] [PubMed]
- Broadbent, A.M.; Krayenhoff, E.S.; Georgescu, M.; Sailor, D.J. The observed effects of utility-scale photovoltaics on near surface air temperature and energy balance. J. Appl. Meteorol. Climatol. 2019, 58, 989–1006. [Google Scholar] [CrossRef]
- Lu, Z.; Zhang, Q.; Miller, P.A.; Zhang, Q.; Berntell, E.; Smith, B. Impacts of large-scale Sahara solar farms on global climate and vegetation cover. Geophys. Res. Lett. 2020, 48, 27. [Google Scholar] [CrossRef]
- Grodsky, S.M.; Hernandez, R.R. Reduced ecosystem services of desert plants from ground-mounted solar energy development. Nat. Sustain. 2020, 3, 1036–1043. [Google Scholar] [CrossRef]
- Montag, H.; Parker, G.; Clarkson, T. The Effects of Solar Farms on Local Biodiversity: A Comparative Study; Clarkson and Woods: Blackford, UK; Wychwood Biodiversity: Charlbury, UK, 2016. [Google Scholar]
- Jordaan, S.M.; Lee, J.; McClung, M.R.; Moran, M.D. Quantifying the ecosystem services values of electricity generation in the US Chihuahuan Desert: A life cycle perspective. J. Ind. Ecol. 2021, 25, 1089–1101. [Google Scholar] [CrossRef]
- Northrup, J.M.; Wittemyer, G. Characterizing the impacts of emerging energy development on wildlife, with an eye towards mitigation. Ecol. Lett. 2012, 16, 112–125. [Google Scholar] [CrossRef]
- Devitt, D.A.; Young, M.H.; Pierre, J.P. Assessing the potential for greater solar development in west Texas, USA. Energy Strategy Rev. 2020, 29, 100490. [Google Scholar] [CrossRef]
- Vasek, F.C.; Johnson, H.B.; Brum, C.D. Effects of power transmission lines on vegetation of the Mojave Desert. Madrono 1975, 23, 114–130. [Google Scholar]
- Von Seckendorff Hoff, K.; Marlow, R.W. Impacts of vehicle road traffic on desert tortoise populations with consideration of conservation of tortoise habitat in southern Nevada. Chelonian Conserv. Biol. 2002, 4, 449–456. [Google Scholar]
- Liu, Y.; Zhang, R.Q.; Huang, Z.; Cheng, Z.; López-Vicente, M.; Ma, X.R.; Wu, G.L. Solar photovoltaic panels significantly promote vegetation recovery by modifying the soil surface micro habitats in an arid sandy ecosystem. Land Degrad. Dev. 2019, 30, 2177–2186. [Google Scholar] [CrossRef]
- National Weather Service. 2022. Available online: https://www.weather.gov (accessed on 15 March 2022).
- Grippo, M.; Hayse, J.W.; O’Connor, B.L. Solar energy development and aquatic ecosystems in the southwestern United States: Potential impacts mitigation and research needs. Environ. Manag. 2015, 55, 244–256. [Google Scholar] [CrossRef] [PubMed]
- Croke, J.; Mockler, S.; Fogarty, P.; Takken, I. Sediment concentration changes in runoff pathways from a forest road network and the resultant spatial pattern of catchment connectivity. Geomorphology 2005, 68, 257–268. [Google Scholar] [CrossRef]
- Popcewicz, A.; Copeland, H. Potential impacts of energy development on shrublands in western North America. Nat. Resour. Environ. Issues 2011, 17, 14. [Google Scholar]
- Hu, A.; Levis, S.; Meehl, G.A.; Han, W.; Washington, W.M.; Oleson, K.W.; van Ruijven, B.J.; Strand, W.G. Impact of solar panels on global climate. Nat. Clim. Chang. 2016, 6, 290–294. [Google Scholar] [CrossRef]
- Wynne, T. Quantifying the Effect of Disturbance on Native Mojave Desert Shrubs. Ph.D. Thesis, School of Life Sciences, University of Nevada Las Vegas, Las Vegas, NV, USA, 2022. [Google Scholar]
- Liu, J.; Wilson, M.; Hu, G.; Liu, J.; Wu, J.; Yu, M. How does habitat fragmentation affect the biodiversity and ecosystem functioning relationship? Landsc. Ecol. 2018, 33, 341–352. [Google Scholar] [CrossRef]
- Andrews, A. Fragmentation of Habitat by roads and utility corridors: A review. Aust. Zool. 1990, 26, 130–141. [Google Scholar] [CrossRef]
- Saunders, D.A.; Hobbs, R.J.; Margules, C.R. Biological consequences of ecosystem fragmentation: A review. Conserv. Biol. 1991, 5, 18–32. [Google Scholar] [CrossRef]
- de Ven, D.; Capellan-Perez, I.; Arto, I.; Cazcarro, I.; de Castro, C.; Patel, P.; Gonzalez-Eguino, M. The potential land requirements and related land use change emission of solar energy. Sci. Rep. 2021, 11, 2907. [Google Scholar] [CrossRef]
- Hernandez, R.R.; Armstrong, A.; Burney, J.; Ryan, G.; Moore-O’Leary, K.; Diedhiou, I.; Grodsky, M.S.; Saul-Gershenz, L.; Davis, R.; Macknick, J.; et al. Techno-ecological synergies of solar energy for global sustainability. Nat. Sustain. 2019, 2, 560–568. [Google Scholar] [CrossRef]
- NRCS. Web Soil Survey. 2022. Available online: https://websoilsurvey.sc.egov.usda.gov/App/HomePage.htm (accessed on 15 March 2022).
- Devitt, D.A.; Bird, B.; Fenstermaker, L.; Petrie, M.D. Differing fine scale responses of vegetation and bare soil to moisture variation in a pinyon-juniper woodland underlies landscape scale responses observed from remote sensing. Environ. Natural Resour. Res. 2021, 11, 45554. [Google Scholar] [CrossRef]
- Klute, A. Lab Measurement of Hydraulic Conductivity of Saturated Soil. In Methods of Soil Analysis; Black, C.A., Ed.; American Society of Agronomy: Madison, WI, USA, 1983. [Google Scholar]
- Huete, A.R. A soil-adjusted vegetation index (SAVI). Remote Sens. Environ. 1988, 25, 295–309. [Google Scholar] [CrossRef]
- Qi, J.; Chehbouni, A.; Huete, A.R.; Kerr, Y.H.; Sorooshian, S. A modified soil adjusted vegetation index. Remote Sens. Environ. 1994, 48, 119–126. [Google Scholar] [CrossRef]
- Huntington, J.; Hegewisch, K.; Daudert, B.; Morton, C.; Abatzoglou, J.; McEvoy, D.; Erickson, T. Climate Engine: Cloud Computing of Climate and Remote Sensing Data for Advanced Natural Resource Monitoring and Process Understanding. Bull. Am. Meteorol. Soc. 2017, 98, 2397–2410. [Google Scholar] [CrossRef]
- Potter, C. Landsat time series analysis of vegetation changes in solar energy development areas of the lower Colorado Desert, southern California. J. Geosci. Environ. Prot. 2016, 4, 42001. [Google Scholar] [CrossRef]
- Spotila, J.R.; Zimmerman, L.C.; Binckley, C.A.; Grumbles, J.S.; Rostal, D.C.; List, A., Jr.; Beyer, E.C.; Philips, K.M.; Kemp, S.J. Effects of incubation conditions on sex determination, hatchling success and growth of hatchling desert tortoises, Gopherus agassizi. Herpetol. Monogr. 1994, 8, 103–116. [Google Scholar] [CrossRef]
- Lewis-Winokur, V.; Winokur, R.M. Incubation temperature affects sexual differentiation, incubation time and post hatchling survival in desert tortoises (Gopherus agassizi). Can. J. Zool. 1995, 73, 2091–2097. [Google Scholar] [CrossRef]
- Moore-O’Leary, K.A.; Hearnandez, R.R.; Johnson, D.S.; Abella, S.R.; Tanner, K.E.; Season, A.C.; Kreitler, J.; Lovich, J.E. Sustainability of utility-scale solar energy—Critical ecological concepts. Front. Ecol. Environ. 2017, 15, 385–394. [Google Scholar] [CrossRef]
- Schwinning, S.; Sandquist, D.R.; Miller, D.M.; Bedford, D.R.; Phillips, S.L.; Belnap, J. The influence of stream channels on distributions of Larrea tridentata and Ambrosia dumosa in the Mojave Desert, CA, USA: Patterns, mechanisms and effects of stream redistribution. Ecohydrology 2011, 4, 12–25. [Google Scholar] [CrossRef]
- Smith, S.D.; Monson, R.; Anderson, J.E. Physiological Ecology of North American Desert Plants; Springer Science and Business Media: New York, NY, USA, 1997. [Google Scholar]
- Guo, J.S.; Hultine, K.R.; Koch, G.W.; Kropp, H.; Ogle, K. Temporal shifts in iso/anisohydry revealed from daily observations of plant water potential in a dominant desert. N. Phytol. 2019, 225, 713–726. [Google Scholar] [CrossRef]
- Bowers, J.E. Effects of drought on shrub survival and longevity in the northern Sonoran Desert. J. Torrey Bot. Soc. 2005, 132, 421–431. [Google Scholar] [CrossRef]
- Peng, S.; Huang, J.; Sheehy, J.E.; Laza, R.C.; Visperas, R.M.; Zhong, S.; Centeno, G.S.; Khush, G.S.; Cassman, K.G. Rice yields decline with higher night temperature from global warming. Proc. Natl. Acad. Sci. USA 2004, 101, 9971–9975. [Google Scholar] [CrossRef]
- Mohammed, A.R.; Tarpley, L. Impact of high nighttime temperature on respiration, membrane stability, antioxidant capacity and yield of rice plants. Crop Sci. 2009, 49, 313–322. [Google Scholar] [CrossRef]
- Oke, T.R. Boundary Layer Climates, 2nd ed.; Routledge: New York, NY, USA, 1992. [Google Scholar]











| Year | Tower IF | Tower AF | Tower DGC | ||
|---|---|---|---|---|---|
| PPT (cm) | ETref (cm) | PPT (cm) | ETref (cm) | PPT (cm) | |
| 2016 | 21.3 | 184.5 | 6.3 | 223.1 | 8.6 |
| 2017 | 8.2 | 201.7 | 7.2 | 196.6 | 5.9 |
| 2018 | 9.0 | 201.5 | 8.7 | 203.0 | 11.1 |
| 2019 | 22.8 | - | 21.1 | - | 18.2 |
| 2017 | Rn-G | LE | H |
|---|---|---|---|
| Tower IF | 80.69 a | 0.27 a | 80.42 a |
| Tower AF | 90.84 a | 0.24 a | 90.60 a |
| Tower DGC | 88.12 a | 0.24 a | 87.88 a |
| 2017 | Return Longwave Radiation, Yearly Hourly Average | Return Longwave Radiation, December Hourly Average | Albedo |
|---|---|---|---|
| Tower IF | −94.3 a | −89.3 a | 0.172 +/− 0.007 b |
| Tower AF | −91.5 b | −86.0 b | 0.155 +/− 0.004 a |
| Tower DGC | −88.7 c | −78.4 c | 0.168 +/− 0.008 b |
Publisher’s Note: MDPI stays neutral with regard to jurisdictional claims in published maps and institutional affiliations. |
© 2022 by the authors. Licensee MDPI, Basel, Switzerland. This article is an open access article distributed under the terms and conditions of the Creative Commons Attribution (CC BY) license (https://creativecommons.org/licenses/by/4.0/).
Share and Cite
Devitt, D.A.; Apodaca, L.; Bird, B.; Dawyot, J.P., Jr.; Fenstermaker, L.; Petrie, M.D. Assessing the Impact of a Utility Scale Solar Photovoltaic Facility on a Down Gradient Mojave Desert Ecosystem. Land 2022, 11, 1315. https://doi.org/10.3390/land11081315
Devitt DA, Apodaca L, Bird B, Dawyot JP Jr., Fenstermaker L, Petrie MD. Assessing the Impact of a Utility Scale Solar Photovoltaic Facility on a Down Gradient Mojave Desert Ecosystem. Land. 2022; 11(8):1315. https://doi.org/10.3390/land11081315
Chicago/Turabian StyleDevitt, Dale A., Lorenzo Apodaca, Brian Bird, John P. Dawyot, Jr., Lynn Fenstermaker, and Matthew D. Petrie. 2022. "Assessing the Impact of a Utility Scale Solar Photovoltaic Facility on a Down Gradient Mojave Desert Ecosystem" Land 11, no. 8: 1315. https://doi.org/10.3390/land11081315
APA StyleDevitt, D. A., Apodaca, L., Bird, B., Dawyot, J. P., Jr., Fenstermaker, L., & Petrie, M. D. (2022). Assessing the Impact of a Utility Scale Solar Photovoltaic Facility on a Down Gradient Mojave Desert Ecosystem. Land, 11(8), 1315. https://doi.org/10.3390/land11081315

