A New Framework of Green Transition of Cultivated Land-Use for the Coordination among the Water-Land-Food-Carbon Nexus in China
Abstract
1. Introduction
2. Theoretical Framework and Research Methods
2.1. Case Study and Data Sources
2.2. Green Transition of Cultivated Land-Use (GTCL)
2.3. Evaluation Index System of GTCL
2.4. Determination of Index Weights
- (1)
- Entropy weight method
- (2)
- Comprehensive evaluation model
- (3)
- Scientific test of index system
2.5. Evaluation Methods
- (1)
- Coupling coordination model
- (2)
- Exploratory Spatial Data Analysis (ESDA)
2.6. Uncertainties and Shortcomings
3. Results
3.1. Spatial and Temporal Patterns of GTCL
3.1.1. Dynamic Evolution Characteristics of Regional Differences
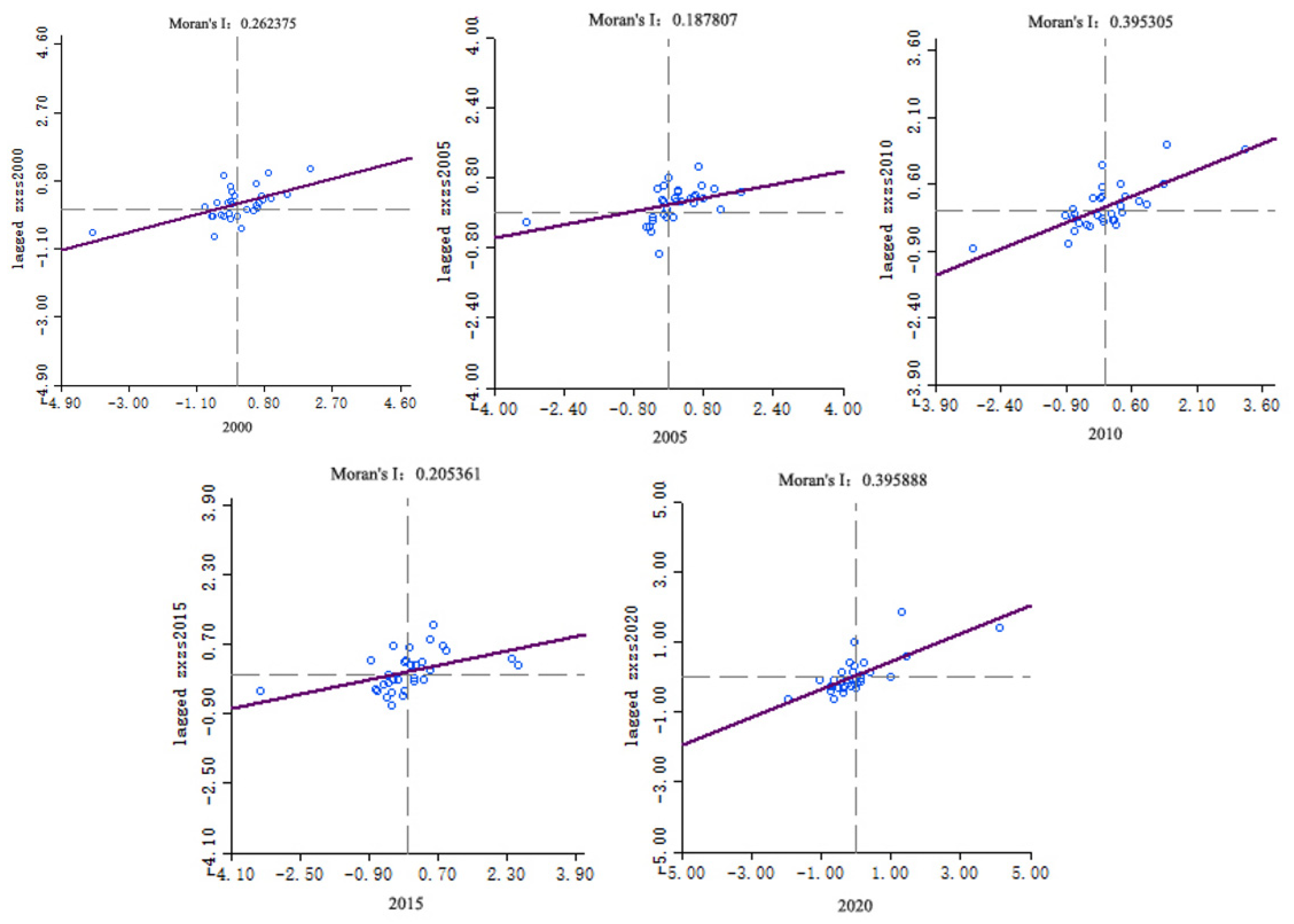
3.1.2. Global Characteristics of the Evolution of Spatial Pattern
3.2. Spatial and Temporal Patterns of “Water, Land, Food and Carbon” Changes
3.3. Water-Land-Food-Carbon” Coupling Coordination Analysis
4. Discussion
4.1. Theoretical Implications of GTCL
4.2. Impact of GTCL on the WLFC Nexus
4.3. Ductile Control Strategy Based on WLFC Nexus
5. Conclusions
Author Contributions
Funding
Conflicts of Interest
References
- Fullbrook, D. Food as Security. Food Secur. 2010, 2, 5–20. [Google Scholar] [CrossRef]
- Zabala, A. Land and food security. Nat. Sustain. 2018, 1, 335. [Google Scholar] [CrossRef]
- West, P.C.; Gerber, J.S.; Engstrom, P.M.; Mueller, N.D.; Brauman, K.A.; Carlson, K.M.; Cassidy, E.S.; Johnston, M.; MacDonald, G.K.; Ray, D.K.; et al. Leverage points for improving global food security and the environment. Science 2014, 345, 325–328. [Google Scholar] [CrossRef] [PubMed]
- Laborde, D.; Mamun, A.; Martin, W.; Piñeiro, V.; Vos, R. Agricultural subsidies and global greenhouse gas emissions. Nat. Commun. 2021, 12, 2601. [Google Scholar] [CrossRef]
- Wang, Y.; Zhao, Y.; Wang, Y.; Ma, X.; Bo, H.; Luo, J. Supply-demand risk assessment and multi-scenario simulation of regional water-energy-food nexus: A case study of the Beijing-Tianjin-Hebei region. Resour. Conserv. Recycl. 2021, 174, 105799. [Google Scholar] [CrossRef]
- Lu, X.; Ye, X.; Zhou, M.; Zhao, Y.; Weng, H.; Kong, H.; Li, K.; Gao, M.; Zheng, B.; Lin, J.; et al. The underappreciated role of agricultural soil nitrogen oxide emissions in ozone pollution regulation in North China. Nat. Commun. 2021, 12, 5021. [Google Scholar] [CrossRef]
- Kumar, M.V.; Sheela, A.M. Effect of plastic film mulching on the distribution of plastic residues in agricultural fields. Chemosphere 2020, 273, 128590. [Google Scholar] [CrossRef]
- Reichhardt, T. Pesticide firms ask to use human data to assess safety. Nature 2003, 421, 200. [Google Scholar] [CrossRef][Green Version]
- Zhuang, M.; Shan, N.; Wang, Y.; Caro, D.; Fleming, R.M.; Wang, L. Different characteristics of greenhouse gases and ammonia emissions from conventional stored dairy cattle and swine manure in China. Sci. Total Environ. 2020, 722, 137693. [Google Scholar] [CrossRef]
- National Bureau of Statistics. China Statistical Yearbook 2020; National Bureau of Statistics, 2020. Available online: http://www.stats.gov.cn/tjsj/ndsj/2020/indexch.htm (accessed on 1 May 2022).
- Liu, Y.; Zhou, Y. Reflections on China’s food security and land use policy under rapid urbanization. Land Use Policy 2021, 109, 105699. [Google Scholar] [CrossRef]
- Kong, X. China must protect high-quality arable land. Nature 2014, 506, 7. [Google Scholar] [CrossRef] [PubMed]
- Xie, H.; Huang, Y.; Choi, Y.; Shi, J. Evaluating the sustainable intensification of cultivated land use based on emergy analysis. Technol. Forecast. Soc. Chang. 2020, 165, 120449. [Google Scholar] [CrossRef]
- Ministry of Environmental Protection and Ministry of Land and Resources of P.R. China. Reports on China’s Soil Pollution Survey; Ministry of Environmental Protection and Ministry of Land and Resources of P.R. China: Beijing, China, 2014. Available online: http://www.gov.cn/foot/2014-04/17/content_2661768.htm (accessed on 1 May 2022).
- Lu, Y.; Jenkins, A.; Ferrier, R.C.; Bailey, M.; Gordon, I.J.; Song, S.; Huang, J.; Jia, S.; Zhang, F.; Liu, X.; et al. Addressing China’s grand challenge of achieving food security while ensuring environmental sustainability. Sci. Adv. 2015, 1, e1400039. [Google Scholar] [CrossRef] [PubMed]
- Jiao, L. Water shortages loom as northern China’s aquifers are sucked dry. Science 2010, 328, 1462–1463. [Google Scholar] [CrossRef]
- Chen, R.; Sherbinin, A.D.; Ye, C.; Shi, G. China’s soil pollution: Farms on the frontline. Science 2014, 344, 691. [Google Scholar] [CrossRef]
- Zhou, Z.; Liu, J.; Zeng, H.; Zhang, T.; Chen, X. How does soil pollution risk perception affect farmers’ pro-environmental behavior? The role of income level. J. Environ. Manag. 2020, 270, 110806. [Google Scholar] [CrossRef]
- Yang, H.; Wang, X.; Bin, P. Agriculture carbon-emission reduction and changing factors behind agricultural eco-efficiency growth in China. J. Clean. Prod. 2021, 334, 130193. [Google Scholar] [CrossRef]
- Mohtar, R.H.; Lawford, R. Present and future of the water-energy-food nexus and the role of the community of practice. J. Environ. Stud. Sci. 2016, 6, 192–199. [Google Scholar] [CrossRef]
- Albrecht, T.R.; Crootof, A.; Scott, C.A. The Water-Energy-Food Nexus: A systematic review of methods for nexus assessment. Environ. Res. Lett. 2018, 13, 043002. [Google Scholar] [CrossRef]
- Zhang, C.; Chen, X.; Li, Y.; Ding, W.; Fu, G. Water-energy-food nexus: Concepts, questions and methodologies. J. Clean. Prod. 2018, 195, 625–639. [Google Scholar] [CrossRef]
- Daher, B.; Hannibal, B.; Mohtar, R.H.; Portney, K. Toward understanding the convergence of researcher and stakeholder perspectives related to water-energy-food (WEF) challenges: The case of San Antonio, Texas. Environ. Sci. Policy 2019, 104, 20–35. [Google Scholar] [CrossRef]
- Wang, X.; Xin, L.; Tan, M.; Li, X.; Wang, J. Impact of spatiotemporal change of cultivated land on food-water relations in China during 1990–2015. Sci. Total Environ. 2020, 716, 137119. [Google Scholar] [CrossRef] [PubMed]
- Hua, E.; Wang, X.; Engel, B.A.; Qian, H.; Sun, S.; Wang, Y. Water competition mechanism of food and energy industries in WEF Nexus: A case study in China. Agric. Water Manag. 2021, 254, 106941. [Google Scholar] [CrossRef]
- Li, J.; Cui, J.; Sui, P.; Yue, S.; Yang, J.; Lv, Z.; Wang, D.; Chen, X.; Sun, B.; Ran, M.; et al. Valuing the synergy in the water-energy-food nexus for cropping systems: A case in the North China Plain. Ecol. Indic. 2021, 127, 107741. [Google Scholar] [CrossRef]
- Dong, G.; Zhao, F.; Chen, J.; Qu, L.; Jiang, S.; Chen, J.; Xin, X.; Shao, C. Land uses changed the dynamics and controls of carbon-water exchanges in alkali-saline Songnen Plain of Northeast China. Ecol. Indic. 2021, 133, 108353. [Google Scholar] [CrossRef]
- Chuai, X.; Gao, R.; Huang, X.; Lu, Q.; Zhao, R. The embodied flow of built-up land in China’s interregional trade and its implications for regional carbon balance. Ecol. Econ. 2021, 184, 106993. [Google Scholar] [CrossRef]
- Huang, X.; Fang, H.; Wu, M.; Cao, X. Assessment of the regional agricultural water-land Nexus in China: A green-blue water perspective. Sci. Total Environ. 2021, 804, 150192. [Google Scholar] [CrossRef]
- Zhao, R.; Liu, Y.; Tian, M.; Ding, M.; Cao, L.; Zhang, Z.; Chuai, X.; Xiao, L.; Yao, L. Impacts of water and land resources exploitation on agricultural carbon emissions: The water-land-energy-carbon nexus. Land Use Policy 2018, 72, 480–492. [Google Scholar] [CrossRef]
- Li, M.; Li, H.; Fu, Q.; Liu, D.; Yu, L.; Li, T. Approach for optimizing the water-land-food-energy nexus in agroforestry systems under climate change. Agric. Syst. 2021, 192, 103201. [Google Scholar] [CrossRef]
- Jiang, G.; Wang, M.; Qu, Y.; Zhou, D.; Ma, W. Towards cultivated land multifunction assessment in China: Applying the “influencing factors-functions-products-demands” integrated framework. Land Use Policy 2020, 99, 104982. [Google Scholar] [CrossRef]
- Ren, D.; Yang, H.; Zhou, L.; Yang, Y.; Liu, W.; Hao, X.; Pan, P. The Land-Water-Food-Environment nexus in the context of China’s soybean import. Adv. Water Resour. 2021, 151, 103892. [Google Scholar] [CrossRef]
- Shi, X.; Matsui, T.; Machimura, T.; Haga, C.; Hu, A.; Gan, X. Impact of urbanization on the food–water–land–ecosystem nexus: A study of Shenzhen, China. Sci. Total Environ. 2022, 808, 152138. [Google Scholar] [CrossRef]
- Chen, L.; Zhao, H.; Song, G.; Liu, Y. Optimization of cultivated land pattern for achieving cultivated land system security: A case study in Heilongjiang Province, China. Land Use Policy 2021, 108, 105589. [Google Scholar] [CrossRef]
- Koondhar, M.A.; Udemba, E.N.; Cheng, Y.; Khan, Z.A.; Koondhar, M.A.; Batool, M.; Kong, R. Asymmetric causality among carbon emission from agriculture, energy consumption, fertilizer, and cereal food production–a nonlinear analysis for Pakistan. Sustain. Energy Technol. Assess. 2021, 45, 101099. [Google Scholar] [CrossRef]
- Wang, S.; Zhang, Y.; Ju, W.; Chen, J.M.; Cescatti, A.; Sardans, J.; Janssens, I.A.; Wu, M.; Berry, J.A.; Campbell, J.E.; et al. Response to Comments on “Recent global decline of CO2 fertilization effects on vegetation photosynthesis”. Science 2021, 373, 7484. [Google Scholar] [CrossRef]
- Thangarajan, R.; Bolan, N.; Tian, G.; Naidu, R.; Kunhikrishnan, A. Role of organic amendment application on greenhouse gas emission from soil. Sci. Total Environ. 2013, 465, 72–96. [Google Scholar] [CrossRef]
- Long, H.; Heilig, G.K.; Li, X.; Zhang, M. Socio-economic development and land-use change: Analysis of rural housing land transition in the Transect of the Yangtse River, China. Land Use Policy 2007, 24, 141–153. [Google Scholar] [CrossRef]
- Song, X.; Yang, L.E.; Xia, F.; Zhao, G.; Xiang, J.; Scheffran, J. An inverted U-shaped curve relating farmland vulnerability to biological disasters: Implications for sustainable intensification in China. Sci. Total Environ. 2020, 732, 138829. [Google Scholar] [CrossRef]
- Wang, T.; Mao, D.H. Evaluation and coupling coordination analysis of virtual water- virtual cultivated land system of main grain crops in China. J. Water Resour. Water Eng. 2020, 31, 40–49, 56. [Google Scholar]
- Shi, C.L.; Li, Y.; Zhu, J.F. Rural labor transfer, excessive fertilizer use and agricultural non-point source pollution. J. China Agric. Univ. 2016, 21, 169–180. [Google Scholar]
- Lai, Y.F. Research on Non-Point Source Investigation and Evaluation Method snd Its Application. Master’s Thesis, Tsinghua University, Beijing, China, 2003. [Google Scholar]
- Cheng, M.Y.; Liu, Y.S.; Jiang, N. Study on the spatial pattern and mechanism of rural population land-industry coordinating development in Huang-Huai-Hai Area. Acta Geogr. Sin. 2019, 74, 1576–1589. [Google Scholar]
- West, T.O.; Marland, G. A synthesis of carbon sequestration, carbone missions, and net carbon flux in agriculture: Comparing tillage practices in the United States. Agric. Ecosyst. Environ. 2002, 91, 217–232. [Google Scholar] [CrossRef]
- Zhi, J.; Gao, J.X. Comparative analysis on carbon emissions of food consumption of urban and rural residents in China. Prog. Geogr. 2009, 28, 429–434. [Google Scholar]
- Li, B.; Zhang, J.B.; Li, H.P. Research on spatial-temporal characteristics and affecting factors decomposition of agricultural carbon emission in China. China Popul. Resour. Environ. 2011, 21, 80–86. [Google Scholar]
- Wu, F.L.; Li, L.; Zhang, H.L.; Chen, F. Net carbon emissions of farmland ecosystem influenced by conservation tillage. J. Ecol. 2007, 26, 2035–2039. [Google Scholar]
- Zhao, L.; Wu, D.T.; Wang, Z.H.; Qu, L.P.; Yu, W. Spatio-temporal pattern and influencing factors of the allocation of rural basic education resources in China. Econ. Geogr. 2018, 38, 39–49, (In Chinese with English abstract). [Google Scholar]










| Factor Layers | Index Layers | Unit | Weight | Direction | Index Interpretation |
|---|---|---|---|---|---|
| Water | Virtual water self-sufficiency rate | % | 0.129 | + | Internal self-sufficiency of virtual water/total consumption of virtual water, it reflects the self-sufficiency of food production and the contribution of local water resources in residents’ food consumption. |
| Effective irrigation area | hm2 | 0.065 | + | Water source environment reflecting cultivated land resources. | |
| Virtual water land density | m3·hm2 | 0.098 | + | Internal self-sufficiency of virtual water/Grain sowing area, it reflects the water consumption of grain production per unit area. | |
| Water consumption per unit area | L/hm2 | 0.012 | - | Agricultural irrigation water consumption/cultivated land area, it reflects the actual water consumption per unit cultivated land area. | |
| Land | Per capita cultivated land area | hm2/person | 0.138 | + | Cultivated land area/total population, it reflects the change of cultivated land quantity. |
| Land reclamation rate | % | 0.035 | + | Cultivated land area/total land area, it reflects the degree of cultivated land development. | |
| Multiple crop index | % | 0.033 | + | Crop sowing area/cultivated land area, it reflects the degree of cultivated land-use. | |
| Investment ratio of saving and increasing | / | 0.096 | + | Total power of agricultural machinery per labor/chemical input per land, that is, labor-saving input/yield increasing input, reflecting the change of cultivated land input structure. | |
| Non-point source pollution intensity | kg/hm2 | 0.010 | - | The total loss of fertilizer nitrogen (phosphorus), pesticide and agricultural film reflects the carrying capacity of cultivated land ecological environment. | |
| Disaster area | hm2 | 0.009 | - | Reflect the resilience of cultivated land system | |
| Food | Average grain yield | kg/hm2 | 0.027 | + | Grain crop yield/cultivated land area, reflecting grain production capacity. |
| Per capita grain yield | person /kg | 0.134 | Food crop production/total population, reflecting food production security. | ||
| Proportion of sown area of grain crops | % | 0.026 | + | Grain crop planting area/cultivated land area, reflecting grain production potential. | |
| Ratio of food crops to cash crops | % | 0.127 | + | Grain crop area/cash crop area, reflecting the change of grain structure. | |
| Carbon | Carbon emission from pesticide use | kg/hm2 | 0.013 | - | Carbon emissions from pesticides, chemical fertilizers, agricultural film, tillage, total power of agricultural machinery and irrigation during the life cycle of cultivated land-use. |
| Carbon emission from fertilizer use | kg/hm2 | 0.007 | - | ||
| Carbon emission from plastic film use | kg/hm2 | 0.004 | |||
| Carbon emission from tillage | kg/hm2 | 0.015 | - | ||
| Irrigation carbon emission | kg/hm2 | 0.015 | - | ||
| Carbon emission of agricultural machinery | kg/hm2 | 0.008 | - |
| Region | Loss Rate /% | Loss Rate /% | Region | Residual Rate /% | Loss Rate /% | |
|---|---|---|---|---|---|---|
| Nitrogenous fertilizer | Phosphate fertilizer | Plastic film | Pesticide | |||
| I | Jiangsu, Beijing | 30 | 7 | Inner Mongolia, Shanxi, | 17.3 | 0.13820 |
| II | Tianjin, Guangdong, Zhejiang, Shanghai | 30 | 4 | Heilongjiang, Jilin, Liaoning | 25.75 | 0.00768 |
| III | Hubei, Fujian, Shandong | 20 | 7 | Tianjin, Beijing, Shandong, Hebei, Henan, Jiangsu | 25.65 | 0.06980 |
| IV | Hebei, Shaanxi, Liaoning, Yunnan, Ningxia, Hunan, Jilin, Inner Mongolia, Guizhou | 20 | 4 | Fujian, Guizhou, Hunan, Jiangxi, Yunnan, Sichuan, Chongqing, Guangdong, Guangxi, Hainan | 13.3 | 0.145625 |
| V | Henan, Heilongjiang | 10 | 7 | Anhui, Zhejiang, Hubei, Shanghai | 22.3667 | 0.228531 |
| VI | Anhui, Hainan, Xinjiang, Shanxi, Guangxi, Gansu, Sichuan, Jiangxi, Chongqing, Qinghai, Tibet | 10 | 4 | Shaanxi, Gansu, Ningxia, Qinghai, Xinjiang, Tibet | 34.41667 | 0.00010 |
| Coupling Coordination Degree | Coordination Level | Coupling Coordination Degree | Coordination Level |
|---|---|---|---|
| (0.80, 1.00] | Highly coordinated | (0.30, 0.40] | Reluctantly coordinate |
| (0.60, 0.80] | Good coordination | (0.20, 0.30] | Verge of disorder |
| (0.50, 0.60] | Moderate coordination | (0.10, 0.20] | Moderate disorders |
| (0.40, 0.50] | Low coordination | [0, 0.10] | Serious disorders |
| Category | Region | |
|---|---|---|
| I | Benefit leading area | HLJ, JL, LN, IM |
| II | Quality improvement area | HB, SD, HN, AH, JS, ZJ, JX, HUB, HUN |
| III | Connotation tapping potential area | SX, SAX, BJ, TJ, SH, CQ |
| IV | Ductile development area | GZ, SC, YN, GD, GX, FJ, HAN |
| V | Ecological reserve area | XZ, XJ, QH, GS, NX |
Publisher’s Note: MDPI stays neutral with regard to jurisdictional claims in published maps and institutional affiliations. |
© 2022 by the authors. Licensee MDPI, Basel, Switzerland. This article is an open access article distributed under the terms and conditions of the Creative Commons Attribution (CC BY) license (https://creativecommons.org/licenses/by/4.0/).
Share and Cite
Niu, S.; Lyu, X.; Gu, G. A New Framework of Green Transition of Cultivated Land-Use for the Coordination among the Water-Land-Food-Carbon Nexus in China. Land 2022, 11, 933. https://doi.org/10.3390/land11060933
Niu S, Lyu X, Gu G. A New Framework of Green Transition of Cultivated Land-Use for the Coordination among the Water-Land-Food-Carbon Nexus in China. Land. 2022; 11(6):933. https://doi.org/10.3390/land11060933
Chicago/Turabian StyleNiu, Shandong, Xiao Lyu, and Guozheng Gu. 2022. "A New Framework of Green Transition of Cultivated Land-Use for the Coordination among the Water-Land-Food-Carbon Nexus in China" Land 11, no. 6: 933. https://doi.org/10.3390/land11060933
APA StyleNiu, S., Lyu, X., & Gu, G. (2022). A New Framework of Green Transition of Cultivated Land-Use for the Coordination among the Water-Land-Food-Carbon Nexus in China. Land, 11(6), 933. https://doi.org/10.3390/land11060933

