Optimization of Production–Living–Ecological Space in National Key Poverty-Stricken City of Southwest China
Abstract
:1. Introduction
2. Methods and Data
- (1)
- Classification of PLE space. PLE space is divided into production, living, and ecological space based on land-use data. Then, space is further divided into subclasses according to the function assessment, which serves as the basis for the subsequent PLE space optimization.
- (2)
- Establishment of the SD Model. We simulate the demand quantity of each PLE space and piece of land in 2030 by constructing a dynamic system model of PLE space, including the population, economy, and land system.
- (3)
- FLUS Model Settings. We take the quantity of demand obtained by (2) as the input data of the FLUS model and carry out spatial allocation of various PLE classes.
- (4)
- Constrained scenario design and analysis. Based on verifying the accuracy of the models in (2) and (3), a variety of future optimization scenarios are designed for simulation, and the simulation results are evaluated from multiple perspectives.
2.1. Classification of PLE Space
2.1.1. Detailed Data Sources
2.1.2. Classification System
2.2. Establishment of the SD Model
2.3. FLUS Model
2.3.1. Parameters
- (1)
- Suitability probability
- (2)
- Conversion cost matrix
- (3)
- Neighborhood factor values
- (4)
- Other parameters
2.3.2. Verification
2.4. Constrained Scenarios
3. Results
3.1. Spatiotemporal Pattern of PLE Space: Economic Development Is Related to the Decline of Ecological Space and General Agricultural Production Space
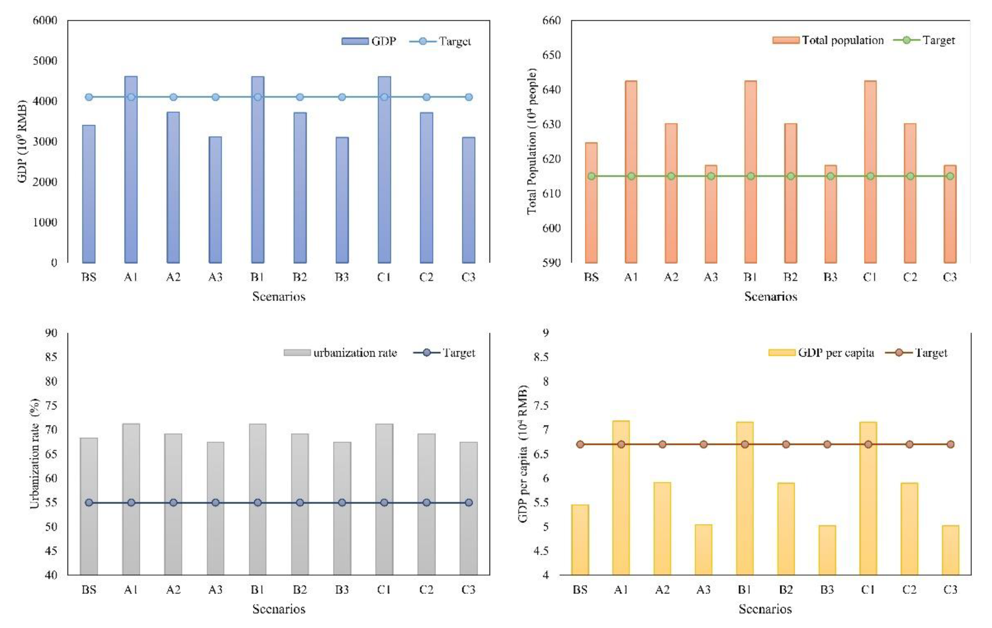
3.2. Assessment of the Optimization Scenarios from the View of Total Amount: A High Level of Development Is More Conducive for Achieving the Planned Target of 2030
3.3. Assessment of the Optimization Scenarios from the View of Spatial Configuration: High Levels of Development Will Lead to Further Expansion of Industrial Production Space and Living Space
3.4. Optimization Pattern of the Coordinated Development: Production–Living Space Should Be Given Priority
4. Conclusions and Implications
4.1. Findings
- (1)
- Combined with the actual situation of Zhaotong city, the accuracy of the SD model is more than 95%. Absolute values of the errors are in the range of 0–5%, which indicates that the constructed model can respond to the interrelationships among the social and natural elements within a reasonable range and can be used for future simulation.
- (2)
- The suitability probabilities of different land types were calculated using artificial neural networks (ANNs). Accuracy in terms of RMSE is both about 0.24. Additionally, AUC values corresponding to the ROC curves are all between 0.6~1. To a certain extent, it means that selective factors related to land use suitability are effective and the ANN method performs well.
- (3)
- In the stage of spatial simulation by FLUS, confusion matrices describe the wrong allocation between simulated and actual spatial distribution. The related kappa coefficients are both above 0.85.
- (1)
- The ratio of ecological space, production space, and living space is approximately 7.2:2.7:0.1. Almost all the production space is agricultural production space, accounting for approximately 99%. Living space is dominated by rural living space, accounting for approximately 70%. Between 2010 and 2018, Zhaotong’s GDP continued to increase, while at the same time, the space for priority ecological space continued to decrease. Zhaotong city has seen a significant expansion of living space and industry space in recent decades, which has greatly encroached on agricultural production space, especially in the central region, which is the core of the city.
- (2)
- The planning requirements for 2030 can only be met under Scenarios A1, B1, and C1. This means that Zhaotong needs further improvements in land-use efficiency, industrial structure adjustments, and intensive development. However, considering suitability and space allocation rules, the demand for urban living space and industrial production space and the spatial allocation of land types could not be fully realized in the simulation time (600 iterations). Except for A3, where the configuration of all nine land types could meet the requirements, the demand for urban living space or industrial production space in other scenarios is far from satisfied.
- (3)
- Production and living space should be given priority in future development. A higher level of development is still needed in terms of policies and measures. When planning future PLE space, the layout of urban living space and industrial production space should be given priority, especially in the central and south-central regions as well as the eastern region.
4.2. Contributions
4.3. Limitations and Future Research
Supplementary Materials
Author Contributions
Funding
Institutional Review Board Statement
Informed Consent Statement
Data Availability Statement
Conflicts of Interest
References
- Galvani, A.P.; Bauch, C.T.; Anand, M.; Singer, B.H.; Levin, S.A. Human-environment interactions in population and ecosystem health. Proc. Natl. Acad. Sci. USA 2016, 113, 14502–14506. [Google Scholar] [CrossRef] [Green Version]
- Lin, C.L. Evaluating the urban sustainable development strategies and common suited paths considering various stakeholders. Environ. Dev. Sustain. 2022, 1–42. [Google Scholar] [CrossRef]
- What are Coupled Human-Environment System? GEOG: 30N: Environment and Society in a Changing World. Available online: https://www.e-education.psu.edu/geog30/node/325 (accessed on 15 February 2022).
- Scholz, R.W.; Binder, C.R. Princles of Human-Environment Systems (HES) Research. In Proceedings of the 2nd International Congress on Environmental Modelling and Software, Osnabrück, Germany, 1–7 June 2004; Volume 116. Available online: https://scholarsarchive.byu.edu/iemssconference/2004/all/116 (accessed on 26 February 2022).
- Turner, B.L.; Matson, P.A.; McCarthy, J.J.; Corell, R.W.; Christensen, L.; Eckley, N.; Hovelsrud-Broda, G.K.; Kasperson, J.X.; Kasperson, R.E.; Luers, A.; et al. Illustrating the coupled human-environment system for vulnerability analysis: Three case studies. Proc. Natl. Acad. Sci. USA 2003, 100, 8080–8085. [Google Scholar] [CrossRef] [Green Version]
- Katramiz, T.; Okitasari, M. Accelerating 2030 Agenda Integration: Aligning National Development Plans with the Sustainable Development Goals; United Nations University Institute for the Advanced Study of Sustainability (UNU-IAS): Tokyo, Japan, 2021; Volume 25. [Google Scholar]
- Australian Government, Department of Agriculture, Water and the Environment. 2030 Agenda for Sustainable Development and the Sustainable Development Goals. Available online: https://www.awe.gov.au/environment/international/2030-agenda (accessed on 15 February 2022).
- Government of Canada. Towards Canada’s 2030 Agenda National Strategy. Available online: https://www.canada.ca/en/employment-social-development/programs/agenda-2030/national-strategy.html#h2.06 (accessed on 15 February 2022).
- The Department of Strategic Policy, Planning and Aid Coordination, Republic of Vanuatu. Vanuatu 2030 the People Plan: National Sustainable Development Plan 2016 to 2030; The Department of Strategic Policy, Planning and Aid Coordination, Republic of Vanuatu: Port Vila, Vanuatu, 2016; Available online: https://www.nab.vu/sites/default/files/documents/Vanuatu%20Sustainable%20Dev.%20Plan%202030-EN_0.PDF (accessed on 15 February 2022).
- Barbier, E.B.; Burgess, J.C. Sustainable development goal indicators: Analyzing trade-offs and complementarities. World Dev. 2019, 122, 295–305. [Google Scholar] [CrossRef]
- United Nations. The Sustainable Development Goals Report 2018; United Nations: New York, NY, USA, 2018. [Google Scholar]
- Nilsson, M.; Griggs, D.; Visbeck, M. Map the interactions between Sustainable Development Goals. Nature 2016, 534, 320–322. [Google Scholar] [CrossRef]
- Von Stechow, C.; Minx, J.C.; Riahi, K.; Jewell, J.; McCollum, D.L.; Callaghan, M.W.; Bertram, C.; Luderer, G.; Baiocchi, G. 2 degrees C and SDGs: United they stand, divided they fall? Environ. Res. Lett. 2016, 11, 15. [Google Scholar] [CrossRef]
- Wang, Y.P.; Zhou, X.N. The year 2020, a milestone in breaking the vicious cycle of poverty and illness in China. Infect. Dis. Poverty 2020, 9, 8. [Google Scholar] [CrossRef] [Green Version]
- Yang, Y.Y.; de Sherbinin, A.; Liu, Y.S. China’s poverty alleviation resettlement: Progress, problems and solutions. Habitat Int. 2020, 98, 13. [Google Scholar] [CrossRef]
- Bao, C.; He, D.M. Scenario Modeling of Urbanization Development and Water Scarcity Based on System Dynamics: A Case Study of Beijing-Tianjin-Hebei Urban Agglomeration, China. Int. J. Environ. Res. Public Health 2019, 16, 19. [Google Scholar] [CrossRef] [Green Version]
- Chen, J. Rapid urbanization in China: A real challenge to soil protection and food security. Catena 2007, 69, 1–15. [Google Scholar] [CrossRef]
- Bai, X.M.; Chen, J.; Shi, P.J. Landscape Urbanization and Economic Growth in China: Positive Feedbacks and Sustainability Dilemmas. Environ. Sci. Technol. 2012, 46, 132–139. [Google Scholar] [CrossRef] [PubMed]
- Wang, Q. Effects of urbanisation on energy consumption in China. Energy Policy 2014, 65, 332–339. [Google Scholar] [CrossRef]
- Huang, J.C.; Lin, H.X.; Qi, X.X. A literature review on optimization of spatial development pattern based on ecological-production-living space. Prog. Geogr. 2017, 36, 378–391. [Google Scholar]
- Sachs, J.D. From Millennium Development Goals to Sustainable Development Goals. Lancet 2012, 379, 2206–2211. [Google Scholar] [CrossRef]
- Bansal, P. Evolving sustainably: A longitudinal study of corporate sustainable development. Strateg. Manag. J. 2005, 26, 197–218. [Google Scholar] [CrossRef]
- Saci, H.; Berezowska-Azzag, E. Food security and urban sustainability of alternative food models: Multicriteria analysis based on Sustainable Development Goals and Sustainable Urban Planning. Cah. Agric. 2021, 30, 35. [Google Scholar] [CrossRef]
- Grah, B.; Dimovski, V.; Peterlin, J. Managing Sustainable Urban Tourism Development: The Case of Ljubljana. Sustainability 2020, 12, 792. [Google Scholar] [CrossRef] [Green Version]
- Khosravi, S.; Lashgarara, F.; Poursaeed, A.; Najafabadi, M.O. Modeling the relationship between urban agriculture and sustainable development: A case study in Tehran city. Arab. J. Geosci. 2022, 15, 97. [Google Scholar] [CrossRef]
- Balletto, G.; Ladu, M.; Milesi, A.; Camerin, F.; Borruso, G. Walkable City and Military Enclaves: Analysis and Decision-Making Approach to Support the Proximity Connection in Urban Regeneration. Sustainability 2022, 14, 457. [Google Scholar] [CrossRef]
- Wu, Z.Y.; Shan, J.J. Study on the Evolution and Optimization Countermeasures of “Ecological-production-living Space” Pattern. City 2019, 10, 15–26. [Google Scholar]
- Zhang, C.H. Study on Conflict Measure and Optimization of Coastal Zone Based on the Ecological-Production-Living Spaces—A Case Study of Zhuang He in Dalian. Ph.D. Thesis, Liaoning Normal University, Dalian, China, June 2018. [Google Scholar]
- Wang, J. Study on spatial reconstruction and optimization of “sansheng” in mining area—Take dexing copper mine in jiangxi province as an example. Master’s Thesis, East China University of Technology, Nanchang, China, June 2016. [Google Scholar]
- Zhou, L.Q. The Study on the Optimization and Function Improvement of “Ecological-Production-Living” Space in Zhengzhou. Master’s Thesis, Zhengzhou University, Zhengzhou, China, May 2018. [Google Scholar]
- Anderson, C.B.; Seixas, C.S.; Barbosa, O.; Fennessy, M.S.; Diaz-Jose, J.; Herrera-F., B. Determining nature’s contributions to achieve the sustainable development goals. Sustain. Sci. 2019, 14, 543–547. [Google Scholar] [CrossRef]
- Ye, Y.C. Spatial Layout Optimization of Industrial-Living-Ecological Land in Yingtan City Based on Spatial Decision-Making. Ph.D. Thesis, Jiangxi Agricultural University, Nanchang, China, June 2018. [Google Scholar]
- Gunantara, N.J.C.E. A review of multi-objective optimization: Methods and its applications. Cogent Eng. 2018, 5, 1502242. [Google Scholar] [CrossRef]
- Wang, H.D.; Olhofer, M.; Jin, Y.C. A mini-review on preference modeling and articulation in multi-objective optimization: Current status and challenges. Complex Intell. Syst. 2017, 3, 233–245. [Google Scholar] [CrossRef]
- Yeh, S.C.; Wang, C.A.; Yu, H.C. Simulation of soil erosion and nutrient impact using an integrated system dynamics model in a watershed in Taiwan. Environ. Modell. Softw. 2006, 21, 937–948. [Google Scholar] [CrossRef]
- Wei, S.K.; Yang, H.; Song, J.X.; Abbaspour, K.C.; Xu, Z.X. System dynamics simulation model for assessing socio-economic impacts of different levels of environmental flow allocation in the Weihe River Basin, China. Eur. J. Oper. Res. 2012, 221, 248–262. [Google Scholar] [CrossRef]
- Wingo, P.; Brookes, A.; Bolte, J. Modular and spatially explicit: A novel approach to system dynamics. Environ. Modell. Softw. 2017, 94, 48–62. [Google Scholar] [CrossRef]
- Gu, C.L.; Ye, X.Y.; Cao, Q.W.; Guan, W.H.; Peng, C.; Wu, Y.T.; Zhai, W. System dynamics modelling of urbanization under energy constraints in China. Sci. Rep. 2020, 10, 16. [Google Scholar] [CrossRef]
- Abadi, L.S.K.; Shamsai, A.; Goharnejad, H. An analysis of the sustainability of basin water resources using Vensim model. KSCE J. Civ. Eng. 2015, 19, 1941–1949. [Google Scholar] [CrossRef]
- Lloyd, H.; Amos, M. Analysis of Independent Roulette Selection in parallel ant colony optimization. In Proceedings of the Genetic and Evolutionary Computation Conference; Association for Computing Machinery: New York, NY, USA, 2017; pp. 19–26. [Google Scholar]
- Liu, X.P.; Liang, X.; Li, X.; Xu, X.C.; Ou, J.P.; Chen, Y.M.; Li, S.Y.; Wang, S.J.; Pei, F.S. A future land use simulation model (FLUS) for simulating multiple land use scenarios by coupling human and natural effects. Landsc. Urban Plan. 2017, 168, 94–116. [Google Scholar] [CrossRef]
- Liang, X.; Liu, X.P.; Li, X.; Chen, Y.M.; Tian, H.; Yao, Y. Delineating multi-scenario urban growth boundaries with a CA-based FLUS model and morphological method. Landsc. Urban Plan. 2018, 177, 47–63. [Google Scholar] [CrossRef]
- Liang, X.; Liu, X.P.; Li, D.; Zhao, H.; Chen, G.Z. Urban growth simulation by incorporating planning policies into a CA-based future land-use simulation model. Int. J. Geogr. Inf. Sci. 2018, 32, 2294–2316. [Google Scholar] [CrossRef]
- Lin, W.B.; Sun, Y.M.; Nijhuis, S.; Wang, Z.L. Scenario-based flood risk assessment for urbanizing deltas using future land-use simulation (FLUS): Guangzhou Metropolitan Area as a case study. Sci. Total Environ. 2020, 739, 10. [Google Scholar] [CrossRef] [PubMed]
- Mooney, H.A.; Duraiappah, A.; Larigauderie, A. Evolution of natural and social science interactions in global change research programs. Proc. Natl. Acad. Sci. USA 2013, 110, 3665–3672. [Google Scholar] [CrossRef] [PubMed] [Green Version]
- Mortada, S.; Abou Najm, M.; Yassine, A.; El Fadel, M.; Alamiddine, I. Towards sustainable water-food nexus: An optimization approach. J. Clean. Prod. 2018, 178, 408–418. [Google Scholar] [CrossRef]
- Veldhuis, A.J.; Yang, A.D. Integrated approaches to the optimisation of regional and local food-energy-water systems. Curr. Opin. Chem. Eng. 2017, 18, 38–44. [Google Scholar] [CrossRef]
- Nie, Y.L.; Avraamidou, S.; Xiao, X.; Pistikopoulos, E.N.; Li, J.; Zeng, Y.J.; Song, F.; Yu, J.; Zhu, M. A Food-Energy-Water Nexus approach for land use optimization. Sci. Total Environ. 2019, 659, 7–19. [Google Scholar] [CrossRef] [PubMed] [Green Version]
- Zhaotong Bureau of Statistics. Zhaotong Statistical Yearbook 2018; Zhaotong Bureau of Statistics: Zhaotong, China, 2018. [Google Scholar]
- Forest Resources Overview of Yunnan Province in 2018. Available online: http://lcj.yn.gov.cn/html/2019/zuixindongtai_1219/55160.html (accessed on 2 April 2020).
- Xie, H.L.; Zhang, Y.W.; Zeng, X.J.; He, Y.F. Sustainable land use and management research: A scientometric review. Landsc. Ecol. 2020, 35, 2381–2411. [Google Scholar] [CrossRef]
- Li, M.; Wu, J.J.; Deng, X.Z. Identifying Drivers of Land Use Change in China: A Spatial Multinomial Logit Model Analysis. Land Econ. 2013, 89, 632–654. [Google Scholar] [CrossRef]
- Ni, J.P.; Shao, J.A. The Drivers of Land Use Change in the Migration Area, Three Gorges Project, China: Advances and Prospects. J. Earth Sci. 2013, 24, 136–144. [Google Scholar] [CrossRef]
- Xu, X.M.; Jain, A.K.; Calvin, K.V. Quantifying the biophysical and socioeconomic drivers of changes in forest and agricultural land in South and Southeast Asia. Glob. Chang. Biol. 2019, 25, 2137–2151. [Google Scholar] [CrossRef]
- Ouyang, X.; He, Q.; Zhu, X. Simulation of Impacts of Urban Agglomeration Land Use Change on Ecosystem Services Value under Multi-Scenarios: Case Study in Changsha-Zhuzhou-Xiangtan Urban Agglomeration. Econ. Geogr. 2020, 40, 93–102. [Google Scholar]
- Chen, M.X.; Zhang, H.; Liu, W.D.; Zhang, W.Z. The Global Pattern of Urbanization and Economic Growth: Evidence from the Last Three Decades. PLoS ONE 2014, 9, 15. [Google Scholar] [CrossRef] [PubMed] [Green Version]
- Stein, S. Capital City: Gentrification and the Real Estate State; Verso Books: Brooklyn, NY, USA, 2019. [Google Scholar]
- Sklair, L. The Icon Project: Architecture, Cities, and Capitalist Globalization; Oxford University Press: New York, NY, USA, 2017. [Google Scholar]










| Datasets | Type | Spatial Resolution | Year | Data Source |
|---|---|---|---|---|
| Multi-period land cover dataset of China | Raster | 30 m | 2010 2015 2018 | Resource and Environment Science and Data Center http://www.resdc.cn/ (accessed on 15 May 2020) |
| Nature reserve boundary data of China | Shapefile | —— | 2018 | Resource and Environment Science and Data Center http://www.resdc.cn/ (accessed on 15 May 2020) |
| Dataset of primary rivers spatial distribution in China | Shapefile | —— | 2000 | |
| Ecological Function Reserves of China | Shapefile | —— | 2010 | |
| Importance of Ecological Service Functions of China | Raster | 1 km | 2010 | Ecosystem Assessment and Ecological Security Database http://www.ecosystem.csdb.cn/ (accessed on 15 May 2020) |
| Ecosystem Sensitivity of China | Raster | 1 km | 2010 | |
| GDP (Gross domestic product) | Raster | 1 km | 2010 2015 2018 | Resource and Environment Science and Data Center http://www.resdc.cn/ (accessed on 15 May2020) |
| NPP (Net primary productivity) | Raster | 500 m | 2010 2015 2018 | LAADS DAAC https://ladsweb.nascom.nasa.gov/search (accessed on 15 May 2020) |
| Class | Subclass | MLC Classification and Codes |
|---|---|---|
| Ecological Space | Restricted ecological space (ER) | National nature reserves area, extremely important ecological services areas, first-class rivers area, ecologically extremely sensitive areas, and waters area (4) |
| Priority ecological space (EP) | High-coverage grass (31), Mid-coverage grass (32), Wooded land (21) | |
| General ecological space (EG) | Shrubland (22), Sparse woodland (23), Low-coverage grass (33) | |
| Accommodated ecological space (EA) | Marshland (64), Bare rocky gravel land (66) | |
| Production Space | Priority agricultural production space (PP) | Both arable land (1) and other woodland (24) with above-average GDP or NPP |
| General agricultural production space (PG) | Both arable land (1) and other woodland (24) with below-average GDP or NPP | |
| Industrial production space (PI) | Other construction land (53) | |
| Living Space | Urban living space (LU) | Urban building land (51) |
| Rural living space (LR) | Rural settlements (52) |
| Categories | Data | Spatial Resolution | Data Source |
|---|---|---|---|
| Terrain and Landforms | Elevation, slope, and direction | 90 m | Resource and Environment Science and Data Center http://www.resdc.cn/ (accessed on 2 April 2020) |
| Soil conditions | Nutrient availability Nutrient retention capacity Rooting conditions Oxygen availability to roots Excess salts Toxicity Workability (constraining field management) | 10 km | Harmonized World Soil Database v 1.2 http://www.fao.org/soils-portal/data-hub/soil-maps-and-databases/harmonized-world-soil-database-v12/en/ (accessed on 2 April 2020) |
| Precipitation and Temperature | Annual average precipitation Annual average temperature | 1 km | Resource and Environment Science and Data Center http://www.resdc.cn/ (accessed on 2 April 2020) |
| Socio-economic | Population | 1 km | The Gridded Population of the World, Version 4 (GPWv4) https://doi.org/10.7927/H4F47 M65( accessed on 2 April 2020) |
| GDP per capita | 1 km | Dryad: Gridded global datasets for Gross Domestic Product and Human Development Index over 1990–2015 https://doi.org/10.5061/dryad.dk1j0 (accessed on 2 April 2020) | |
| Distance to city center | 100 m | Euclidean distance calculated using city coordinate data | |
| Travel Time | 1 km | European Commission Joint Research Centre Global Environment Monitoring Unit http://forobs.jrc.ec.europa.eu/products/gam/(2008) (accessed on 2 April 2020) |
| ER | EP | EG | EA | PP | PG | PI | LU | LR |
|---|---|---|---|---|---|---|---|---|
| 0.01 | 0.01 | 0.01 | 0.01 | 0.19 | 0.67 | 0.81 | 1.00 | 1.00 |
| AUC | ER | EP | EG | EA | PP | PG | PI | LU | LR |
|---|---|---|---|---|---|---|---|---|---|
| 2010 | 0.85 | 0.63 | 0.61 | 0.88 | 066 | 0.73 | 0.90 | 0.97 | 0.78 |
| 2015 | 0.84 | 0.63 | 0.62 | 0.91 | 0.68 | 0.72 | 0.84 | 0.98 | 0.77 |
| Scenarios Name | Abbreviations | ||
|---|---|---|---|
| Base Scenario | BS | ||
| Optimization Scenarios | High level | Medium level | Low level |
| Giving priority to production-living development scenario (A) | A1 | A2 | A3 |
| Giving priority to ecological protection scenario (B) | B1 | B2 | B3 |
| Both are considered in scenario (C) | C1 | C2 | C3 |
| Approaches | Variables 1 | Base Scenario | High Level | Medium Level | Low Level |
|---|---|---|---|---|---|
| Land-use efficiency promotion | GDPPA | 0.05 | 0.05 | 0.04 | 0.03 |
| GDPPI | 11.58 | 18.04 | 14.66 | 12.40 | |
| GDPLU | 9.10 | 11.58 | 9.47 | 7.89 | |
| Industrial structure adjustment | PPICLA | 47 | 32 | 36 | 41 |
| Agricultural production space protection | PPI | 2.35 | 0.85 | 1.00 | 1.50 |
| Controlling population growth | PGR | 0.85 | 1.15 | 1.00 | 0.85 |
| Intensive development of construction land | LALRPer | 0.54 | 0.90 | 0.75 | 0.60 |
| ER | EP | EG | EA | PP | PG | PI | LU | LR | |
|---|---|---|---|---|---|---|---|---|---|
| 2018 | 1481.17 | 7000.82 | 7710.14 | 11.74 | 3218.38 | 2752.14 | 29.57 | 72.76 | 160.21 |
| BS | 1499.88 | 7089.26 | 7807.54 | 11.89 | 3028.17 | 2589.49 | 142.82 | 161.06 | 106.83 |
| Change% | 1.26 | 1.26 | 1.26 | 1.28 | −5.91 | −5.91 | 382.99 | 121.36 | −33.32 |
| A1 | 1481.17 | 6896.57 | 7595.33 | 11.57 | 3218.38 | 2752.14 | 101.00 | 214.63 | 166.14 |
| Change% | 0.00 | −1.49 | −1.49 | −1.49 | 0.00 | 0.00 | 241.56 | 194.98 | 3.70 |
| A2 | 1481.17 | 6910.55 | 7610.73 | 11.59 | 3218.38 | 2752.14 | 110.44 | 196.33 | 145.60 |
| Change% | 0.00 | −1.29 | −1.29 | −1.29 | 0.00 | 0.00 | 273.49 | 169.84 | −9.12 |
| A3 | 1466.79 | 6932.87 | 7635.31 | 11.63 | 3218.38 | 2752.14 | 122.65 | 176.49 | 120.67 |
| Change% | −0.97 | −0.97 | −0.97 | −0.97 | 0.00 | 0.00 | 314.77 | 142.57 | −24.68 |
| B1 | 1481.17 | 7000.36 | 7709.63 | 11.74 | 3100.69 | 2651.50 | 100.98 | 214.58 | 166.29 |
| Change% | 0.00 | −0.01 | −0.01 | −0.01 | −3.66 | −3.66 | 241.49 | 194.91 | 3.80 |
| B2 | 1481.17 | 7012.31 | 7722.80 | 11.76 | 3103.00 | 2653.48 | 110.41 | 196.29 | 145.72 |
| Change% | 0.00 | 0.16 | 0.16 | 0.16 | −3.58 | −3.58 | 273.39 | 169.77 | −9.05 |
| B3 | 1489.38 | 7039.63 | 7752.89 | 11.81 | 3085.17 | 2638.23 | 122.61 | 176.44 | 120.77 |
| Change% | 0.55 | 0.55 | 0.55 | 0.55 | −4.14 | −4.14 | 314.65 | 142.50 | −24.62 |
| C1 | 1481.17 | 7000.82 | 7709.17 | 11.74 | 3218.38 | 2533.80 | 100.98 | 214.58 | 166.29 |
| Change% | 0.00 | 0.00 | −0.01 | −0.01 | 0.00 | −7.93 | 241.49 | 194.91 | 3.80 |
| C2 | 1481.17 | 7012.31 | 7722.80 | 11.76 | 3218.38 | 2538.10 | 110.41 | 196.29 | 145.72 |
| Change% | 0.00 | 0.16 | 0.16 | 0.16 | 0.00 | −7.78 | 273.39 | 169.77 | −9.05 |
| C3 | 1489.38 | 7039.63 | 7752.89 | 11.81 | 3218.38 | 2505.02 | 122.61 | 176.44 | 120.77 |
| Change% | 0.55 | 0.55 | 0.55 | 0.55 | 0.00 | −8.98 | 314.65 | 142.50 | −24.62 |
Publisher’s Note: MDPI stays neutral with regard to jurisdictional claims in published maps and institutional affiliations. |
© 2022 by the authors. Licensee MDPI, Basel, Switzerland. This article is an open access article distributed under the terms and conditions of the Creative Commons Attribution (CC BY) license (https://creativecommons.org/licenses/by/4.0/).
Share and Cite
Wang, D.; Fu, J.; Jiang, D. Optimization of Production–Living–Ecological Space in National Key Poverty-Stricken City of Southwest China. Land 2022, 11, 411. https://doi.org/10.3390/land11030411
Wang D, Fu J, Jiang D. Optimization of Production–Living–Ecological Space in National Key Poverty-Stricken City of Southwest China. Land. 2022; 11(3):411. https://doi.org/10.3390/land11030411
Chicago/Turabian StyleWang, Di, Jingying Fu, and Dong Jiang. 2022. "Optimization of Production–Living–Ecological Space in National Key Poverty-Stricken City of Southwest China" Land 11, no. 3: 411. https://doi.org/10.3390/land11030411
APA StyleWang, D., Fu, J., & Jiang, D. (2022). Optimization of Production–Living–Ecological Space in National Key Poverty-Stricken City of Southwest China. Land, 11(3), 411. https://doi.org/10.3390/land11030411

