Crime under the Light? Examining the Effects of Nighttime Lighting on Crime in China
Abstract
1. Introduction
2. Literature Review
2.1. Positive Opportunity Effect: Nighttime Lightness and Increased Criminal Activity
2.2. Negative Cost Effect: Nighttime Lighting and Reduced Criminal Activity
3. Study Design
3.1. Model and Method
3.2. Endogeneity Problem
3.3. Data
3.3.1. Nighttime Light Data
3.3.2. Crime Rate Data
3.3.3. Data on Other Control Variables
4. Estimation Results
4.1. Main Results
4.1.1. Benchmark OLS Regression Results
4.1.2. SLS Estimation Results
4.1.3. Difference-in-Differences (DID) Regression Results
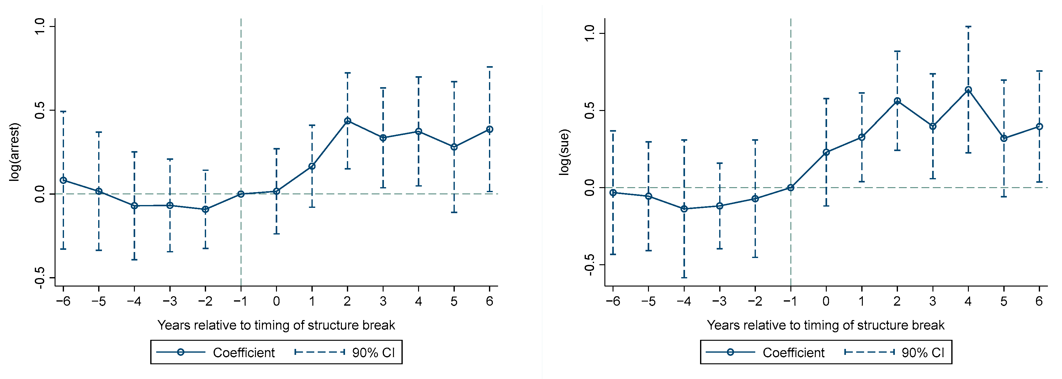
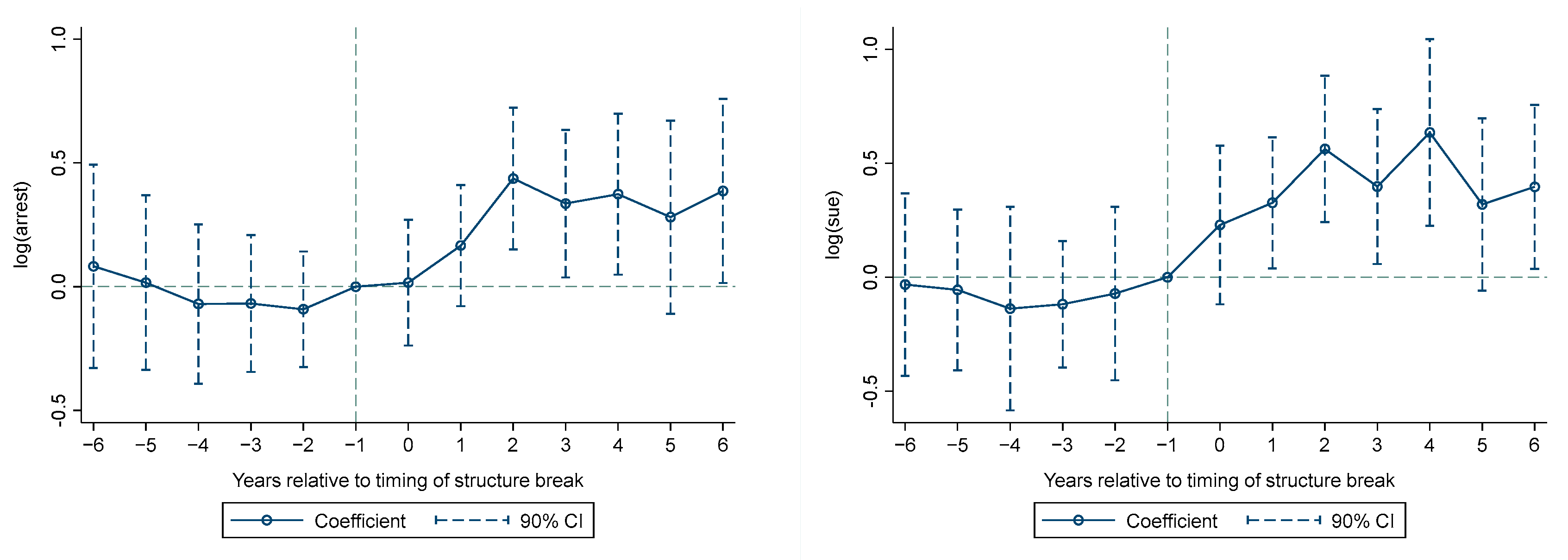
4.2. Exogenous Testing of Structural Breakpoints
4.3. Heterogeneous Analysis
4.3.1. Brightness of Light
4.3.2. Lighting Effects in the Different Levels of Crime Rate
4.3.3. Lighting Effects in Different Levels of Economic Development
4.3.4. Lighting Effects in Urban and Rural Areas
4.4. Mechanism Analysis
4.5. Discussion
5. Conclusions
Author Contributions
Funding
Data Availability Statement
Conflicts of Interest
References
- Glaeser, E.L.; Kolko, J.; Saiz, A. Consumer city. J. Econ. Geogr. 2001, 1, 27–50. [Google Scholar] [CrossRef]
- Brabazon, T.; Mallinder, S. Into the night-time economy: Work, leisure, urbanity and the creative industries. Nebula 2007, 4, 161–178. [Google Scholar]
- Rowe, D.; Lynch, R. Work and play in the city: Some reflections on the night-time leisure economy of Sydney. Ann. Leis. Res. 2012, 15, 132–147. [Google Scholar] [CrossRef]
- Chatterton, P.; Hollands, R. Theorising urban playscapes: Producing, regulating and consuming youthful nightlife city spaces. Urban Stud. 2002, 39, 95–116. [Google Scholar] [CrossRef]
- Ejrnæs, A.; Scherg, R.H. Nightlife activity and crime: The impact of COVID-19 related nightlife restrictions on violent crime. J. Crim. Justice 2022, 79, 101884. [Google Scholar] [CrossRef] [PubMed]
- Lee, S. Ability sorting and consumer city. J. Urban Econ. 2010, 68, 20–33. [Google Scholar] [CrossRef]
- Lee, J.G.; Fisher, D. The influence of scope, frames, and extreme willingness to pay responses on cost of crime estimates. Am. J. Crim. Justice 2020, 45, 236–272. [Google Scholar] [CrossRef]
- Philpot, R.; Liebst, L.S.; Møller, K.K.; Lindegaard, M.R.; Levine, M. Capturing violence in the night-time economy: A review of established and emerging methodologies. Aggress. Violent Behav. 2019, 46, 56–65. [Google Scholar] [CrossRef]
- Lindsay, J. Young Australians and the staging of intoxication and self-control. J. Youth Stud. 2009, 12, 371–384. [Google Scholar] [CrossRef]
- McArthur, J.; Robin, E.; Smeds, E. Socio-spatial and temporal dimensions of transport equity for London’s night time economy. Transp. Res. A Pol. 2019, 121, 433–443. [Google Scholar] [CrossRef]
- Tiesdell, S.; Slater, A.M. Calling time: Managing activities in space and time in the evening/night-time economy. Plan. Theory Pract. 2006, 7, 137–157. [Google Scholar] [CrossRef]
- Hunt, P.E.; Saunders, J.; Kilmer, B. Estimates of law enforcement costs by crime type for benefit-cost analyses. J. Benefit Cost Anal. 2019, 10, 95–123. [Google Scholar] [CrossRef]
- Perkins, C.; Steinbach, R.; Tompson, L.; Green, J.; Edwards, P. What is the effect of reduced street lighting on crime and road traffic injuries at night? A mixed-methods study. Public Health Res. 2015, 3, 1–108. [Google Scholar] [CrossRef] [PubMed]
- Soares, R.R.; Naritomi, J. Understanding High Crime Rates in Latin America: The Role of Social and Policy Factors; University of Chicago Press: Chicago, IL, USA, 2010; pp. 19–55. [Google Scholar]
- Kemperman, A.; Timmermans, H. Environmental correlates of active travel behavior of children. Environ. Behav. 2014, 46, 583–608. [Google Scholar] [CrossRef]
- Kormos, C.; Gifford, R.; Brown, E. The influence of descriptive social norm information on sustainable transportation behavior: A field experiment. Environ. Behav. 2015, 47, 479–501. [Google Scholar] [CrossRef]
- Levitt, A. Measuring positive externalities from unobservable victim precaution: An empirical analysis of Lojack. Q. J. Econ. 1998, 113, 43–77. [Google Scholar]
- Weisburd, D.; Eck, J.E. What can police do to reduce crime, disorder, and fear? Ann. Am. Acad. Polit. Soc. Sci. 2015, 593, 42–65. [Google Scholar] [CrossRef]
- Liu, L.; Zhou, H.; Lan, M.; Wang, Z. Linking Luojia 1-01 nightlight imagery to urban crime. Appl. Geogr. 2020, 125, 102267. [Google Scholar] [CrossRef]
- Bernasco, W.; Block, R. Robberies in Chicago: A block-level analysis of the influence of crime generators, crime attractors, and offender anchor points. J. Res. Crime Delinq. 2011, 48, 33–57. [Google Scholar] [CrossRef]
- Zhou, H.; Liu, L.; Lan, M.; Yang, B.; Wang, Z. Assessing the impact of nightlight gradients on street robbery and burglary in Cincinnati of Ohio state, USA. Remote Sens. 2019, 11, 1958. [Google Scholar] [CrossRef]
- Heller, S.B.; Shah, A.K.; Guryan, J.; Ludwig, J.; Mullainathan, S.; Pollack, H.A. Thinking, fast and slow? Some field experiments to reduce crime and dropout in Chicago. Q. J. Econ. 2017, 132, 1–54. [Google Scholar] [CrossRef] [PubMed]
- Lee, D.S.; Mccrary, J. The deterrence effect of prison: Dynamic theory and evidence. Adv. Economet. 2017, 38, 73–146. [Google Scholar]
- Enamorado, T.; López-Calva, L.F.; Rodríguez-Castelán, C.; Winkler, H. Income inequality and violent crime: Evidence from Mexico’s drug war. J. Dev. Econ. 2016, 120, 128–143. [Google Scholar] [CrossRef]
- Nordin, M.; Almén, D. Long-term unemployment and violent crime. Empir. Econ. 2017, 52, 1–29. [Google Scholar] [CrossRef]
- Fajnzylber, P.; Lederman, D.; Loayza, N. What causes violent crime? Eur. Econ. Rev. 2004, 46, 1323–1357. [Google Scholar] [CrossRef]
- Lofstrom, M.; Raphael, S. Incarceration and crime: Evidence from California’s public safety realignment reform. Cesifo Dice Rep. 2015, 12, 196–220. [Google Scholar] [CrossRef]
- Costantini, M.; Meco, I.; Paradiso, A. Do inequality, unemployment and deterrence affect crime over the long run? Reg. Stud. 2018, 52, 558–571. [Google Scholar] [CrossRef]
- Kang, S. Inequality and crime revisited: Effects of local inequality and economic segregation on crime. J. Popul. Econ. 2016, 29, 593–626. [Google Scholar] [CrossRef]
- Morgan, R. Crime Control and Community: The New Politics of Public Safety; Oxford University Press: Oxford, UK, 2004. [Google Scholar]
- Charles, K.K.; Hurst, E.; Notowidigdo, M.J. Housing booms and busts, labor market opportunities, and college attendance. Am. Econ. Rev. 2018, 108, 2947–2994. [Google Scholar] [CrossRef]
- Henderson, J.V.; Storeygard, A.; Weil, D.N. Measuring economic growth from outer space. Am. Econ. Rev. 2012, 102, 994–1028. [Google Scholar] [CrossRef]
- Roland, H.; Raschky, P.A. Regional favoritism. Q. J. Econ. 2014, 129, 995–1033. [Google Scholar]
- Brantingham, P.; Brantingham, P. Criminality of place. Eur. J. Crim. Policy Rev. 1995, 3, 5–26. [Google Scholar] [CrossRef]
- Ratcliffe, J.H. The spatial extent of criminogenic places: A changepoint regression of violence around bars. Geogr. Anal. 2012, 44, 302–320. [Google Scholar] [CrossRef]
- Newman, O. Defensible Space: Crime Prevention through Urban Design; Macmillan: New York, NY, USA, 1972. [Google Scholar]
- Bonner, H.; Stacey, M. The effectiveness of increased lighting on crime reduction and calls for service in a single jurisdiction. Crime Prev. Community Saf. 2021, 23, 39–55. [Google Scholar] [CrossRef]
- Song, J.; Spicer, V.; Brantingham, P. The edge effect: Exploring high crime zones near residential neighborhoods. In Proceedings of the 2013 IEEE International Conference on Intelligence and Security Informatics, Seattle, WA, USA, 4–7 June 2013; pp. 245–250. [Google Scholar]
- Wo, J.C. Mixed land use and neighborhood crime. Soc. Sci. Res. 2019, 78, 170–186. [Google Scholar] [CrossRef]
- Wo, J.C.; Kim, Y.A. Neighborhood effects on crime in San Francisco: An examination of residential, nonresidential, and “mixed” land uses. Deviant Behav. 2022, 43, 61–78. [Google Scholar] [CrossRef]
- Liu, J.; Deng, Y.; Wang, Y.; Huang, H.; Du, Q.; Ren, F. Urban nighttime leisure space mapping with nighttime light images and POI data. Remote Sens. 2020, 12, 541. [Google Scholar] [CrossRef]
- Brantingham, P.; Brantingham, P. Crime pattern theory. In Environmental Criminology and Crime Analysis; Willan: London, UK, 2013; pp. 100–116. [Google Scholar]
- Groff, E.R.; Taylor, R.B.; Elesh, D.B.; McGovern, J.; Johnson, L. Permeability across a metropolitan area: Conceptualizing and operationalizing a macrolevel crime pattern theory. Environ. Plan. A 2014, 46, 129–152. [Google Scholar] [CrossRef]
- Summers, L.; Johnson, S.D. Does the configuration of the street network influence where outdoor serious violence takes place? Using space syntax to test crime pattern theory. J. Quant. Criminol. 2017, 33, 397–420. [Google Scholar] [CrossRef]
- Welsh, B.C.; Farrington, D.P. Effects of improved street lighting on crime. Campbell Syst. Rev. 2008, 4, 1–51. [Google Scholar] [CrossRef]
- Haleem, M.S.; Do Lee, W.; Ellison, M.; Bannister, J. The ‘exposed’ population, violent crime in public space and the night-time economy in Manchester, UK. Eur. J. Crim. Policy Res. 2021, 27, 335–352. [Google Scholar] [CrossRef]
- Lee, J.; Park, S.; Jung, S. Effect of crime prevention through environmental design (CPTED) measures on active living and fear of crime. Sustainability 2016, 8, 872. [Google Scholar] [CrossRef]
- Pinke-Sziva, I.; Smith, M.; Olt, G.; Berezvai, Z. Overtourism and the night-time economy: A case study of Budapest. Int. J. Tour. Cities 2019, 5, 1–16. [Google Scholar] [CrossRef]
- Lovatt, A.; O’Connor, J. Cities and the night-time economy. Plan. Pract. Res. 1995, 10, 127–134. [Google Scholar] [CrossRef]
- Seijas, A.; Gelders, M.M. Governing the night-time city: The rise of night mayors as a new form of urban governance after dark. Urban Stud. 2021, 58, 316–334. [Google Scholar] [CrossRef]
- Tyler-Harwood, L.; Menclova, A.K. Local Alcohol Policies in New Zealand: An overview of their implementation and effects on crime. Policy Q. 2021, 17, 73–79. [Google Scholar] [CrossRef]
- Bulovec, T.; Eman, K. Nightlife entertainment spots in cities as a potential criminogenic focus of sexual harassment. J. Crim. Just. Secur. 2020, 3, 255–285. [Google Scholar]
- Brands, J.; Schwanen, T.; Van Aalst, I. Fear of crime and affective ambiguities in the night-time economy. Urban Stud. 2015, 52, 439–455. [Google Scholar] [CrossRef]
- Hener, T. Noise pollution and violent crime. J. Public Econ. 2022, 215, 104748. [Google Scholar] [CrossRef]
- Van Liempt, I. Safe nightlife collaborations: Multiple actors, conflicting interests and different power distributions. Urban Stud. 2015, 52, 486–500. [Google Scholar] [CrossRef]
- Camacho Doyle, M.; Gerell, M.; Andershed, H. Perceived unsafety and fear of crime: The role of violent and property crime, neighborhood characteristics, and prior perceived unsafety and fear of crime. Deviant Behav. 2021, 53, 1347–1365. [Google Scholar] [CrossRef]
- Huisman, W.; Van Erp, J. Opportunities for environmental crime. a test of situational crime prevention theory. Br. J. Criminol. 2013, 53, 1178–1200. [Google Scholar] [CrossRef]
- Dillbeck, M.C.; Cavanaugh, K.L. Societal violence and collective consciousness: Reduction of U.S. homicide and urban violent crime rates. SAGE Open 2016, 6, 2–6. [Google Scholar] [CrossRef]
- Chalfin, A.; Kaplan, J.; LaForest, M. Street Light Outages, Public Safety and Crime Displacement: Evidence from Chicago; Working Paper; University of Pennsylvania: Philadelphia, PA, USA, 2020. [Google Scholar]
- Kaplan, J.; Chalfin, A. Ambient lighting, use of outdoor spaces and perceptions of public safety: Evidence from a survey experiment. Secur. J. 2021, 2, 1–31. [Google Scholar]
- Tandogan, O.; Ilhan, B.S. Fear of crime in public spaces: From the view of women living in cities. Procedia Eng. 2016, 161, 2011–2018. [Google Scholar] [CrossRef]
- Steinbach, R.; Perkins, C.; Tompson, L.; Johnson, S.; Armstrong, B.; Green, J.; Edwards, P. The effect of reduced street lighting on road casualties and crime in England and Wales: Controlled interrupted time series analysis. J. Epidemiol. Community Health 2015, 69, 1118–1124. [Google Scholar] [CrossRef]
- Singh, M.B.; Paliwal, V. An exploratory study of the selected psychological factors among criminals. Psychology 2015, 4, 128–129. [Google Scholar]
- Belloni, A.; Mit, V.C.; Hansen, C. Inference on treatment effects after selection among high-dimensional controls. Rev. Econ. Stud. 2014, 81, 608–650. [Google Scholar] [CrossRef]
- Ashby, M.P. Initial evidence on the relationship between the coronavirus pandemic and crime in the United States. Crime Sci. 2020, 9, 6. [Google Scholar] [CrossRef]
- Klomp, J. Economic development and natural disasters: A satellite data analysis. Glob. Environ. Chang. 2016, 36, 67–88. [Google Scholar] [CrossRef]
- Chalfin, A.; Hansen, B.; Lerner, J.; Parker, L. Reducing crime through environmental design: Evidence from a randomized experiment of street lighting in New York City. J. Quant. Criminol. 2022, 38, 127–157. [Google Scholar] [CrossRef]
- Elvidge, C.D.; Ziskin, D.; Baugh, K.E.; Tuttle, B.T.; Ghosh, T.; Pack, D.W.; Zhizhin, M. A fifteen-year record of global natural gas flaring derived from satellite data. Energies 2009, 2, 595–622. [Google Scholar] [CrossRef]
- Abrahams, A.; Oram, C.; Lozano-Gracia, N. Deblurring DMSP nighttime lights: A new method using Gaussian filters and frequencies of illumination. Remote Sens. Environ. 2018, 210, 242–258. [Google Scholar] [CrossRef]
- Gibson, J.K.; Boe-Gibson, G. Three Facts about Night Lights Data; University of Waikato: Hamilton, New Zealand, 2020. [Google Scholar]
- Levin, N.; Zhang, Q. A global analysis of factors controlling VIIRS nighttime light levels from densely populated areas. Remote Sens. Environ. 2017, 190, 366–382. [Google Scholar] [CrossRef]
- Li, W.; Zhang, K. Does air pollution affect crime rates: Estimation based on breakpoint regression method. World Econ. 2021, 44, 151–177. [Google Scholar]
- Cai, Z. An empirical analysis on conviction and measurement of penalty in traffic accident crimes—Based on 139 traffic accident crimes in east China. Present Day Law Sci. 2015, 2, 108–115. [Google Scholar]
- Anitha, S.; Jordan, A.; Jameson, J.; Davy, Z. A balancing act: Agency and constraints in university students’ understanding of and responses to sexual violence in the night-time economy. Violence Against Woman 2021, 27, 2043–2065. [Google Scholar] [CrossRef]
- Anatol, M.; Kangalee, Q.M. Crime in Trinidad and Tobago: The possible impacts of increased crime due to migration from Venezuela. Migr. Dev. 2021, 10, 260–272. [Google Scholar] [CrossRef]
- Fontana, I. Migration Crisis, Organised crime and domestic politics in Italy: Unfolding the interplay. South Eur. Soc. Polit. 2020, 1, 49–74. [Google Scholar] [CrossRef]
- Barberet, R.; Fisher, B.S. Can security beget insecurity? Security and crime prevention awareness and fear of burglary among university students in the East Midlands. Secur. J. 2009, 22, 3–23. [Google Scholar] [CrossRef]
- Tomsen, S.; Payne, J. Homicide and the night-time economy. Trends Issues Crime Cri. 2016, 521, 1–15. [Google Scholar]
- Hobbs, D.; Winlow, S.; Hadfield, P.; Lister, S. Violent hypocrisy: Governance and the night-time economy. Eur. J. Criminol. 2005, 2, 161–183. [Google Scholar] [CrossRef]
- Priks, M. The effects of surveillance cameras on crime: Evidence from the Stockholm subway. Econ. J. 2015, 125, F289–F305. [Google Scholar] [CrossRef]
- Piza, E.L.; Welsh, B.C.; Farrington, D.P.; Thomas, A.L. CCTV surveillance for crime prevention: A 40-year systematic review with meta-analysis. Criminol. Public Policy 2019, 18, 135–159. [Google Scholar] [CrossRef]





| Variable | Definition | Mean | Std dev | Min | Max |
|---|---|---|---|---|---|
| arrest | approval rate | 7.37 | 7.70 | 0 | 118.73 |
| sue | public prosecution rate | 8.87 | 8.18 | 0 | 114.33 |
| urbanrate | urbanization rate | 0.39 | 0.19 | 0.07 | 1.00 |
| upd | population density (person/km2) | 423.08 | 371.88 | 4.70 | 11,564 |
| pee | per capita public financial expenditure (RMB) | 3076.10 | 4014.14 | 14.27 | 59,371.4 |
| edu | number of college students per 10,000 people | 125.15 | 185.81 | 0.592 | 1261.05 |
| income gap | the ratio of urban to rural per capita income | 2.72 | 1.20 | 0.34 | 52.67 |
| gdppc | GDP per capita | 35,057.19 | 30,594.31 | 1226 | 467,749 |
| police | proportion of expenditure on public security | 0.06 | 0.01 | 0.03 | 0.11 |
| sexratio | sex ratio | 1.18 | 3.48 | 0.12 | 107.62 |
| migrant | proportion of floating population | 0.08 | 0.11 | −0.13 | 0.89 |
| rgdp | GDP growth rate | 12.78 | 4.34 | −39.8 | 108.8 |
| unemployment | urban registered unemployment rate | 62.32 | 55.13 | 1.09 | 1154.37 |
| rainfall | average annual precipitation (mm) | 28.28 | 21.56 | 0.00 | 118.18 |
| temperature | temperature (Fahrenheit) | 57.95 | 9.90 | 13.04 | 91.93 |
| Variable | OLS | 2SLS | DID | |||
|---|---|---|---|---|---|---|
| Model 1 | Model 2 | Model 3 | Model 4 | Model 5 | Model 6 | |
| ln(arrest) | ln(sue) | ln(arrest) | ln(sue) | ln(arrest) | ln(sue) | |
| ln(light) | 0.195 ** | 0.234 ** | 1.474 *** | 2.371 ** | ||
| (0.098) | (0.099) | (0.494) | (0.971) | |||
| did_break | 0.387 *** | 0.572 *** | ||||
| (0.141) | (0.165) | |||||
| ln(urbanrate) | 0.017 | −0.017 | −0.520 *** | −0.836 ** | 0.031 | 0.000 |
| (0.043) | (0.043) | (0.182) | (0.356) | (0.041) | (0.038) | |
| ln(upd) | 0.020 | 0.001 | −1.514 *** | −2.431 ** | 0.020 | 0.002 |
| (0.030) | (0.038) | (0.509) | (0.998) | (0.030) | (0.038) | |
| ln(pee) | −0.017 | −0.020 | −0.271 | −0.658 | −0.009 | −0.016 |
| (0.029) | (0.040) | (0.201) | (0.418) | (0.028) | (0.037) | |
| ln(edu) | −0.004 | 0.038 | 0.047 * | 0.069 | −0.001 | 0.041 |
| (0.023) | (0.027) | (0.027) | (0.047) | (0.023) | (0.026) | |
| ln(incomegap) | −0.042 | 0.056 | 0.161 | −0.050 | −0.051 | 0.046 |
| (0.065) | (0.071) | (0.101) | 171) | (0.064) | (0.071) | |
| ln(gdppc) | 0.029 | −0.026 | −0.397 ** | −0.605 ** | 0.039 | −0.014 |
| (0.048) | (0.050) | (0.157) | (0.301) | (0.048) | (0.048) | |
| ln(police) | −0.085 | −0.257 ** | −0.516 | −1.332 * | −0.069 | −0.238 * |
| (0.102) | (0.121) | (0.372) | (0.741) | (0.104) | (0.121) | |
| ln(sexratio) | 1.051 ** | 0.212 | 8.042 *** | 10.744 ** | 1.081 ** | 0.252 |
| (0.525) | (0.599) | (2.566) | (4.918) | (0.521) | (0.588) | |
| ln(migrant) | 0.051 ** | 0.035 | 0.108 * | −0.010 | 0.048 ** | 0.030 |
| (0.023) | (0.025) | (0.062) | (0.112) | (0.023) | (0.025) | |
| ln(rgdp) | −0.127 *** | −0.112 *** | −0.130 * | −0.107 | −0.118 *** | −0.10 *** |
| (0.031) | (0.035) | (0.075) | (0.121) | (0.030) | (0.034) | |
| ln(unemployment) | 0.034 | 0.002 | 0.311 *** | 0.491 ** | 0.032 | 0.002 |
| (0.025) | (0.025) | (0.108) | (0.214) | (0.025) | (0.025) | |
| ln(rainfall) | −0.007 | −0.013 | 0.203 ** | 0.350 ** | −0.004 | −0.008 |
| (0.014) | (0.016) | (0.087) | (0.159) | (0.014) | (0.016) | |
| ln(temperature) | 0.211 * | 0.114 | 1.136 *** | 1.477 ** | 0.205 * | 0.111 |
| (0.107) | (0.085) | (0.343) | (0.655) | (0.105) | (0.085) | |
| Constants | 0.007 | 0.692 | 5.569 ** | 9.793 ** | 0.206 | 0.939 |
| (0.773) | (0.888) | (2.192) | (4.253) | (0.792) | (0.897) | |
| City fixed effects | yes | yes | yes | yes | yes | yes |
| Year fixed effects | yes | yes | yes | yes | yes | yes |
| N | 2448 | 2421 | 2448 | 2421 | 2448 | 2421 |
| R2 | 0.881 | 0.858 | - | - | 0.881 | 0.859 |
| First-stage results | ||||||
| IV | 0.481 *** (0.151) | |||||
| Kleibergen–Paap F statistic | 20.78 | |||||
| Variable | Model 1 | Model 2 | Model 3 | Model 4 | Model 5 |
|---|---|---|---|---|---|
| ln(urbanrate) | ln(upd) | ln(pee) | ln(edu) | ln(incomegap) | |
| did_break | 0.023 | 0.002 | 0.023 | 0.042 | −0.001 |
| (0.021) | (0.008) | (0.024) | (0.031) | (0.011) | |
| City fixed effects | yes | yes | yes | yes | yes |
| Year fixed effects | yes | yes | yes | yes | yes |
| N | 3671 | 3781 | 3779 | 3638 | 3750 |
| R2 | 0.830 | 0.979 | 0.945 | 0.935 | 0.732 |
| Model 6 | Model 7 | Model 8 | Model 9 | Model 10 | |
| ln(gdppc) | ln(police) | ln(sexratio) | ln(migrant) | ln(rgdp) | |
| did_break | 0.020 | −0.002 | 0.003 | 0.045 | 0.012 |
| (0.019) | (0.006) | (0.002) | (0.036) | (0.022) | |
| City fixed effects | yes | yes | yes | yes | yes |
| Year fixed effects | yes | yes | yes | yes | yes |
| N | 3822 | 3836 | 3535 | 3804 | 3688 |
| R2 | 0.931 | 0.888 | 0.896 | 0.871 | 0.369 |
| Model 11 | Model 12 | Model 13 | |||
| ln(unemployment) | ln(rainfall) | ln(temperature) | |||
| did | 0.029 | 0.025 | −0.002 | ||
| (0.033) | (0.037) | (0.005) | |||
| City fixed effects | yes | yes | yes | ||
| Year fixed effects | yes | yes | yes | ||
| N | 3777 | 3723 | 3836 | ||
| R2 | 0.757 | 0.801 | 0.833 |
| Variable | OLS | 2SLS | DID | |||
|---|---|---|---|---|---|---|
| Model 1 | Model 2 | Model 3 | Model 4 | Model 5 | Model 6 | |
| ln(arrest) | ln(sue) | ln(arrest) | ln(sue) | ln(arrest) | ln(sue) | |
| ln(light) | 0.189 ** | 0.225 ** | 0.445 ** | 1.019 *** | −0.002 | 0.054 |
| (0.092) | (0.093) | (0.225) | (0.309) | (0.027) | (0.034) | |
| ln(light) × Bright cities | 0.461 *** | 0.530 *** | 0.513 *** | 0.690 *** | 0.093 *** | 0.074 ** |
| (0.104) | (0.113) | (0.116) | (0.145) | (0.034) | (0.037) | |
| Control variables | yes | yes | yes | yes | yes | yes |
| City fixed effects | yes | yes | yes | yes | yes | yes |
| Year fixed effects | yes | yes | yes | yes | yes | yes |
| N | 2448 | 2421 | 2448 | 2421 | 2448 | 2421 |
| R2 | 0.884 | 0.862 | - | - | 0.881 | 0.859 |
| Variable | OLS | 2SLS | DID | |||
|---|---|---|---|---|---|---|
| Model 1 | Model 2 | Model 3 | Model 4 | Model 5 | Model 6 | |
| ln(arrest) | ln(sue) | ln(arrest) | ln(sue) | ln(arrest) | ln(sue) | |
| ln(light) | 0.186 * | 0.265 ** | 0.818 *** | 1.596 *** | 0.047 * | 0.109 *** |
| (0.097) | (0.107) | (0.301) | (0.435) | (0.027) | (0.033) | |
| ln(light) × High-crime cities | 0.021 | −0.069 | 0.090 | 0.010 | 0.013 | −0.019 |
| (0.083) | (0.095) | (0.103) | (0.137) | (0.032) | (0.037) | |
| Control variables | yes | yes | yes | yes | yes | yes |
| City fixed effects | yes | yes | yes | yes | yes | yes |
| Year fixed effects | yes | yes | yes | yes | yes | yes |
| N | 2448 | 2421 | 2448 | 2421 | 2448 | 2421 |
| R2 | 0.881 | 0.858 | - | - | 0.881 | 0.859 |
| Variable | OLS | 2SLS | DID | |||
|---|---|---|---|---|---|---|
| Model 1 | Model 2 | Model 3 | Model 4 | Model 5 | Model 6 | |
| ln(arrest) | ln(sue) | ln(arrest) | ln(sue) | ln(arrest) | ln(sue) | |
| ln(light) | 0.162 * | 0.232 ** | 0.670 ** | 1.496 *** | 0.021 | 0.123 *** |
| (0.094) | (0.099) | (0.269) | (0.405) | (0.026) | (0.035) | |
| ln(light) × Developed cities | 0.227 ** | 0.009 | 0.352 *** | 0.192 | 0.057 * | −0.041 |
| (0.093) | (0.108) | (0.099) | (0.133) | (0.031) | (0.037) | |
| Control variables | yes | yes | yes | yes | yes | yes |
| City fixed effects | yes | yes | yes | yes | yes | yes |
| Year fixed effects | yes | yes | yes | yes | yes | yes |
| N | 2448 | 2421 | 2448 | 2421 | 2448 | 2421 |
| R2 | 0.881 | 0.858 | - | - | 0.881 | 0.859 |
| Variable | OLS | 2SLS | DID | |||
|---|---|---|---|---|---|---|
| Model 1 | Model 2 | Model 3 | Model 4 | Model 5 | Model 6 | |
| ln(arrest) | ln(sue) | ln(arrest) | ln(sue) | ln(arrest) | ln(sue) | |
| ln(urban_light) | 0.089 ** | 0.095 * | 0.748 | −0.406 | 0.033 ** | 0.020 |
| (0.044) | (0.051) | (0.847) | (1.035) | (0.016) | (0.019) | |
| ln(rural_light) | 0.044 | 0.047 | −0.623 | 1.365 | −0.027 | 0.011 |
| (0.032) | (0.037) | (1.533) | (1.977) | (0.017) | (0.019) | |
| Control variables | yes | yes | yes | yes | yes | yes |
| City fixed effects | yes | yes | yes | yes | yes | yes |
| Year fixed effects | yes | yes | yes | yes | yes | yes |
| N | 2448 | 2421 | 2448 | 2421 | 2448 | 2421 |
| R2 | 0.857 | 0.837 | - | - | 0.881 | 0.859 |
| Variable | OLS | 2SLS | DID | |||
|---|---|---|---|---|---|---|
| Model 1 | Model 2 | Model 3 | Model 4 | Model 5 | Model 6 | |
| ln(arrest) | ln(sue) | ln(arrest) | ln(sue) | ln(arrest) | ln(sue) | |
| Panel A | ||||||
| ln(light) | −1.101 ** | −0.899 | −0.187 | −0.317 | −1.235 | −2.137 |
| (0.452) | (0.610) | (0.199) | (0.259) | (0.987) | (1.428) | |
| ln(light) × share 20:00 | 1.720 *** | 1.500 * | 0.513 ** | 0.732 ** | 2.760 * | 4.791 ** |
| (0.595) | (0.812) | (0.257) | (0.338) | (1.439) | (2.095) | |
| Panel B | ||||||
| ln(light) | −1.085 ** | −1.395 * | −0.017 | −0.462 | −1.280 | −3.588 ** |
| (0.540) | (0.716) | (0.236) | (0.301) | (1.129) | (1.596) | |
| ln(light) × share 22:00 | 1.592 ** | 2.025 ** | 0.805 *** | 0.675 * | 2.642 * | 6.243 *** |
| (0.666) | (0.891) | (0.287) | (0.369) | (1.549) | (2.228) | |
| Panel C | ||||||
| ln(light) | −4.281 ** | −5.660 ** | −1.296 | 0.384 | −6.862 | −3.660 |
| (2.113) | (2.824) | (0.938) | (1.103) | (4.513) | (5.428) | |
| ln(light) × share 24:00 | 4.620 ** | 6.108 ** | 1.410 * | 1.312 *** | 8.005 ** | 5.114 * |
| (2.220) | (2.955) | (0.777) | (0.511) | (3.801) | (2.764) | |
Publisher’s Note: MDPI stays neutral with regard to jurisdictional claims in published maps and institutional affiliations. |
| 1 | According to the 2021 China Statistical Yearbook, the share of the tertiary sector in China’s GDP increased from 39.8% in 2000 to 54.5% in 2020. |
| 2 | Data source: calculated by the author based on the China Statistical Yearbook. |
| 3 | Prefecture-level cities are one of the administrative divisions of China, which are prefecture-level administrative regions under the jurisdiction of provinces and autonomous regions. |
| 4 | The season, date, and time of the images may affect the results. For example, if the images are captured in winter seasons, the impact of tree canopy on the light would vary between northern and southern cities. Additionally, the timing of the images may or may not coincide with the hours of nighttime business. |
© 2022 by the authors. Licensee MDPI, Basel, Switzerland. This article is an open access article distributed under the terms and conditions of the Creative Commons Attribution (CC BY) license (https://creativecommons.org/licenses/by/4.0/).
Share and Cite
Peng, C.; Sun, W.; Zhang, X. Crime under the Light? Examining the Effects of Nighttime Lighting on Crime in China. Land 2022, 11, 2305. https://doi.org/10.3390/land11122305
Peng C, Sun W, Zhang X. Crime under the Light? Examining the Effects of Nighttime Lighting on Crime in China. Land. 2022; 11(12):2305. https://doi.org/10.3390/land11122305
Chicago/Turabian StylePeng, Chong, Weizeng Sun, and Xi Zhang. 2022. "Crime under the Light? Examining the Effects of Nighttime Lighting on Crime in China" Land 11, no. 12: 2305. https://doi.org/10.3390/land11122305
APA StylePeng, C., Sun, W., & Zhang, X. (2022). Crime under the Light? Examining the Effects of Nighttime Lighting on Crime in China. Land, 11(12), 2305. https://doi.org/10.3390/land11122305
