GHG Emissions from Drainage Ditches in Peat Extraction Sites and Peatland Forests in Hemiboreal Latvia
Abstract
1. Introduction
2. Materials and Methods
2.1. Research Sites
2.2. GHG Measurements
2.3. Measurements of Environmental Variables
2.4. Statistical Analysis
3. Results
3.1. Variation of Instantaneous GHG Emissions among Different Type of Peatlands and Across Seasons
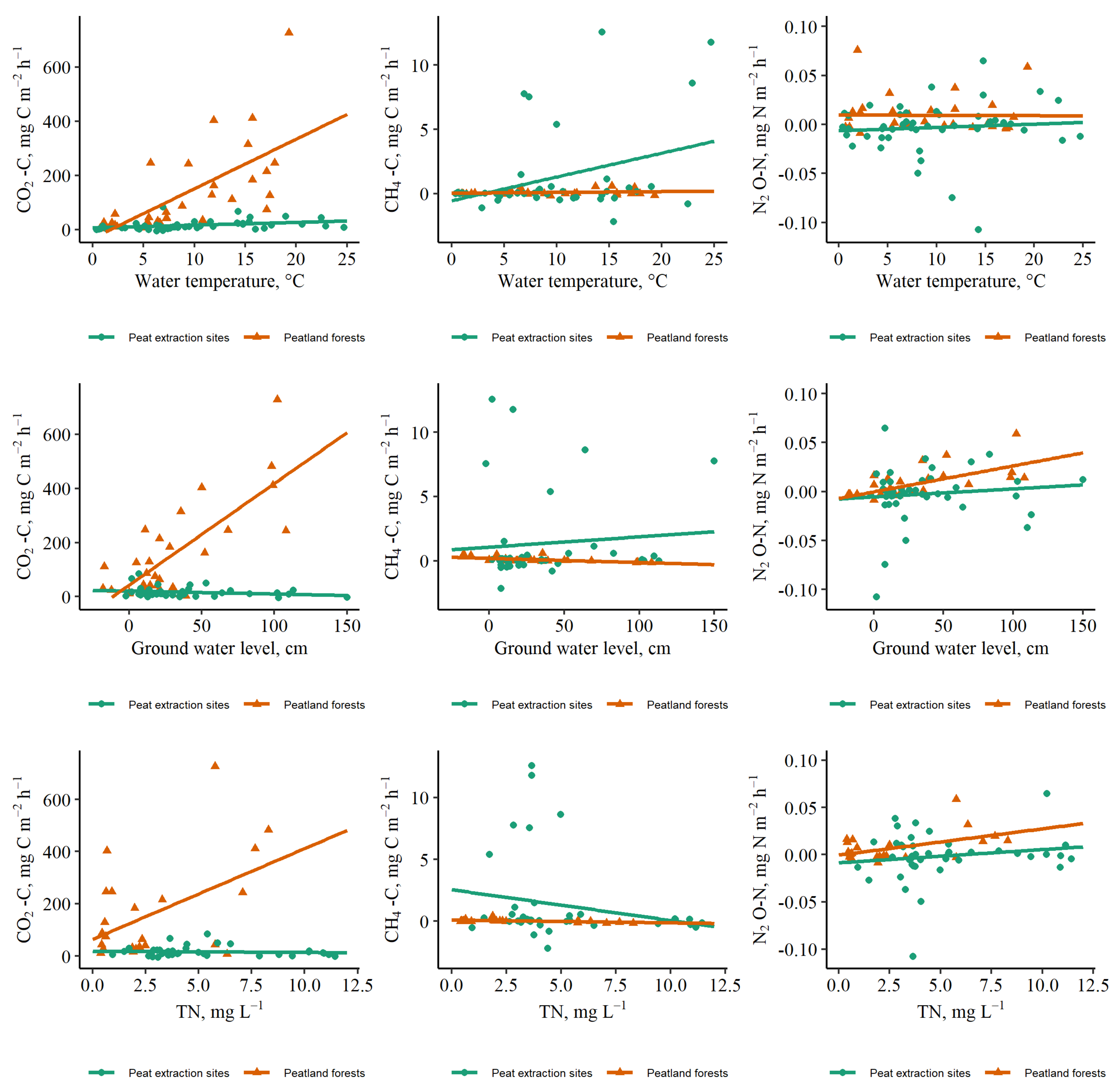
3.2. Evaluation of Affecting Factors
4. Discussion
4.1. CO2 Emissions
4.2. CH4 Emissions
4.3. N2O Emissions
4.4. Impact of Afforestation of Peat Extraction Areas
5. Conclusions
Author Contributions
Funding
Data Availability Statement
Acknowledgments
Conflicts of Interest
Appendix A
| Current Land Use/Type of Vegetation | Research Site | Tree Diameter at Breast Height (Mean ± S.E.), cm | Tree Height (Mean ± S.E.), m |
|---|---|---|---|
| Scots pine forest | Site 7 (Cepļa Mire) | 7.9 ± 0.4 | 8.6 ± 0.5 |
| Site 8 (MPS Mežole) | 21.3 ± 0.9 | 18.8 ± 1.3 | |
| Silver birch forest | Site 9 (Pleces Mire) | 14.2 ± 0.8 | 13.7 ± 1.4 |
| Site 10 (MPS Mežole) | 15.3 ± 0.3 | 16.8 ± 0.7 |
References
- Paavilainen, E.; Päivänen, J. Peatland Forestry: Ecology and Principles; Springer: Berlin/Heidelberg, Germany; New York, NY, USA, 1996. [Google Scholar]
- Minkkinen, K.; Laine, J.; Nykänen, H.; Martikainen, P.J. Importance of drainage ditches in emissions of methane from mires drained for forestry. Can. J. For. Res. 1997, 27, 949–952. [Google Scholar] [CrossRef]
- Sirin, A.; Chistotin, M.; Suvorov, G.; Glagolev, M.; Kravchenko, I.; Minaeva, T. Drained peatlands used for extraction and agriculture: Biogeochemical status with special attention to greenhouse gas fluxes and rewetting. Geophys. Res. Abstr. 2010, 12, 11623. [Google Scholar]
- Teh, Y.A.; Silver, W.L.; Sonnentag, O.; Detto, M.; Kelly, M.; Baldocchi, D.D. Large greenhouse gas emissions from a temperate peatland pasture. Ecosystems 2011, 14, 311–325. [Google Scholar] [CrossRef]
- Peacock, M.; Granath, G.; Wallin, M.B.; Högbom, L.; Futter, M.N. Significant emissions from forest drainage ditches—An unaccounted term in anthropogenic greenhouse gas inventories? JGR Biogeosci. 2021, 126, e2021JG006478. [Google Scholar] [CrossRef]
- IPCC. 2013 Supplement to the 2006 IPCC Guidelines for National Greenhouse Gas Inventories: Wetlands; Hiraishi, T., Krug, T., Tanabe, K., Srivastava, N., Baasansuren, J., Fukuda, M., Troxler, T.G., Eds.; IPCC: Geneva, Switzerland, 2014. [Google Scholar]
- Peacock, M.; Audet, J.; Bastviken, D.; Futter, M.N.; Gauci, V.; Grinham, A.; Harrison, J.A.; Kent, M.S.; Kosten, S.; Lovelock, C.E.; et al. Global importance of methane emissions from drainage ditches and canals. Environ. Res. Lett. 2021, 16, 044010. [Google Scholar] [CrossRef]
- Zālītis, P. Mežkopības Priekšnosacījumi; SIA ‘et cetera’: Riga, Latvia, 2006; pp. 68–88. [Google Scholar]
- Kalniņa, L. Geological inventory of areas affected by peat extraction. In Suitable and Responsible After-Use of Peat Extraction Areas; Priede, A., Gancone, A., Eds.; Baltijas Krasti: Riga, Latvia, 2019; pp. 81–90. [Google Scholar]
- Latvia National Inventory Report. 1990–2020. Available online: https://unfccc.int/documents/461908 (accessed on 24 October 2022).
- Leifeld, J.; Wüst-Galley, C.; Page, S. Intact and managed peatland soils as a source and sink of GHGs from 1850 to 2100. Nat. Clim. Chang. 2019, 9, 945–947. [Google Scholar] [CrossRef]
- Kreyling, J.; Tanneberger, F.; Jansen, F.; van der Linden, S.; Aggenbach, C.; Blüml, V.; Couwenberg, J.; Emsens, W.-J.; Joosten, H.; Klimkowska, A.; et al. Rewetting does not return drained fen peatlands to their old selves. Nat. Commun. 2021, 12, 5693. [Google Scholar] [CrossRef]
- Paris Agreement. Available online: https://unfccc.int/sites/default/files/english_paris_agreement.pdf (accessed on 24 October 2022).
- Liikanen, A.; Martikainen, P.J. Effect of ammonium and oxygen on methane and nitrous oxide fluxes across sediment-water interface in a eutrophic lake. Chemosphere 2003, 52, 1287–1293. [Google Scholar] [CrossRef]
- Saarnio, S.; Winiwater, W.; Leitão, J. Methane release from wetlands and watercourses in Europe. Atmos. Environ. 2009, 43, 1421–1429. [Google Scholar] [CrossRef]
- Schrier-Uijl, A.P.; Veraart, A.J.; Leffelaar, P.A.; Berendse, F.; Veenendaal, E.M. Release of CO2 and CH4 from lakes and drainage ditches in temperate wetlands. Biogeochemistry 2011, 102, 265–279. [Google Scholar] [CrossRef]
- Hyvönen, N.P.; Huttunen, J.T.; Shurpali, N.J.; Lind, S.E.; Marushchak, M.E.; Heitto, L.; Martikainen, P.J. The role of drainage ditches in greenhouse gas emissions and surface leaching losses from a cutaway peatland cultivated with a perennial bioenergy crop. Boreal Environ. Res. 2013, 18, 109–126. [Google Scholar]
- Sundh, I.; Nilsson, M.; Mikkelä, C.; Granberg, G.; Svensson, B.H. Fluxes of methane and carbon dioxide on peat-mining areas in Sweden. AMBIO J. Hum. Environ. 2000, 29, 499–503. [Google Scholar] [CrossRef]
- IPCC. 2019 Refinement to the 2006 IPCC Guidelines for National Greenhouse Gas Inventories; Calvo Buendia, E., Tanabe, K., Kranjc, A., Baasansuren, J., Fukuda, M., Ngarize, S., Osako, A., Pyrozhenko, Y., Shermanau, P., Federici, S., Eds.; IPCC: Geneva, Switzerland, 2019. [Google Scholar]
- Komiya, S.; Noborio, K.; Katano, K.; Pakoktom, T.; Siangliw, M.; Toojinda, T. Contribution of ebullition to methane and carbon dioxide emission from water between plant rows in a tropical rice paddy field. Int. Sch. Res. Not. 2015, 2015, 623901. [Google Scholar] [CrossRef] [PubMed]
- Roulet, N.; Moore, T. The effect of forestry drainage practices on the emission of methane from northern peatlands. Can. J. For. Res. 1995, 25, 491–499. [Google Scholar] [CrossRef]
- Beaulieu, J.J.; Arango, C.P.; Tank, J.L. The effects of season and agriculture on nitrous oxide production in headwater streams. J. Environ. Qual. 2009, 38, 637–646. [Google Scholar] [CrossRef]
- Maljanen, M.; Sigurdsson, B.D.; Guðmundsson, J.; Óskarsson, H.; Huttunen, J.T.; Martikainen, P.J. Greenhouse gas balances of managed peatlands in the Nordic countries—Present knowledge gaps. Biogeosciences 2010, 7, 2711–2738. [Google Scholar] [CrossRef]
- Butterbach-Bahl, K.; Baggs, E.M.; Dannenmann, M.; Kiese, R.; Zechmeister-Boltenstern, S. Nitrous oxide emissions from soils: How well do we understand the processes and their controls? Phil. Trans. R. Soc. B 2013, 368, 20130122. [Google Scholar] [CrossRef]
- Tian, L.; Akiyama, H.; Zhu, B.; Shen, X. Indirect N2O emissions with seasonal variations from an agricultural drainage ditch mainly receiving interflow water. Environ. Pollut. 2018, 242, 480–491. [Google Scholar] [CrossRef]
- Glaser, P.H.; Chanton, J.P.; Morin, P.; Rosenberry, D.O.; Siegel, D.I.; Ruud, O.; Chasar, L.I.; Reeve, A.S. Surface deformations as indicators of deep ebullition fluxes in a large northern peatland. Glob. Biogeochem. Cycles 2004, 18, GB1003. [Google Scholar] [CrossRef]
- Couwenberg, J.; Fritz, C. Towards developing IPCC methane ‘emission factors’ for peatlands (organic soils). Mires Peat 2012, 10, 1–17. [Google Scholar]
- Le Mer, J.; Roger, P. Production, oxidation, emission and consumption of methane by soils: A review. Eur. J. Soil Biol. 2011, 37, 25–50. [Google Scholar] [CrossRef]
- van Bodegom, P.M.; Scholten, J.C.M. Microbial processes of CH4 production in a rice paddy soil: Model and experimental validation. Geochem. Cosmochim. Acta 2001, 65, 2055–2066. [Google Scholar] [CrossRef]
- Huttunen, J.T.; Väisänen, T.S.; Heikkinen, M.; Hellsten, S.; Nykänen, H.; Nenonen, O.; Martikainen, P.J. Exchange of CO2, CH4 and N2O between the atmosphere and two northern boreal ponds with catchments dominated by peatlands or forests. Plant Soil 2002, 242, 137–146. [Google Scholar] [CrossRef]
- Rantakari, M.; Kortelainen, P. Interannual variation and climatic regulation of the CO2 emission from large boreal lakes. Glob. Chang. Biol. 2005, 11, 1368–1380. [Google Scholar] [CrossRef]
- Stadmark, J.; Leonardson, L. Emissions of greenhouse gases from ponds constructed for nitrogen removal. Ecol. Eng. 2005, 25, 542–551. [Google Scholar] [CrossRef]
- Whalen, S.C. Biogeochemistry of methane exchange between natural wetlands and the atmosphere. Environ. Eng. Sci. 2005, 22, 73–94. [Google Scholar] [CrossRef]
- LVĢMC Klimata Portals. Available online: https://klimats.meteo.lv/laika_apstaklu_raksturojums/2021/gads/ (accessed on 24 October 2022).
- Gasmet. Available online: https://www.gasmet.com/cases/gas-analyzer-builds-complete-picture-of-contamination/ (accessed on 24 October 2022).
- Comet System. Available online: https://www.cometsystem.com/products/temperature-data-logger-for-four-external-pt1000-probes/reg-u0141 (accessed on 24 October 2022).
- R Core Team. The R Project for Statistical Computing. Available online: https://www.R-project.org (accessed on 24 October 2022).
- An Introduction to Corrplot Package. Available online: https://cran.r-project.org/web/packages/corrplot/vignettes/corrplot-intro.html#introduction (accessed on 24 October 2022).
- Hmisc: Harrell Miscellaneous. Available online: https://cran.r-project.org/web/packages/Hmisc/index.html (accessed on 24 October 2022).
- mdatools: Multivariate Data Analysis for Chemometrics. Available online: https://cran.r-project.org/web/packages/mdatools/index.html (accessed on 24 October 2022).
- Eriksson, L.; Johansson, E.; Kettapeh-Wold, N.; Wold, S. Introduction to Multiand Megavariate Data Analysis Using Projection Methods (PCA & PLS); Umetrics: Umea, Sweden, 1999. [Google Scholar]
- Wold, S.; Sjöström, M.; Eriksson, L. PLS-regression: A basic tool of chemometrics. Chemom. Intell. Lab. Syst. 2001, 58, 109–130. [Google Scholar] [CrossRef]
- Kucheryavskiy, S. mdatools–R package for chemometrics. Chemom. Intell. Lab. Syst. 2020, 198, 103937. [Google Scholar] [CrossRef]
- ggplot2: Create Elegant Data Visualisations Using the Grammar of Graphics. Available online: https://cran.r-project.org/web/packages/ggplot2/index.html (accessed on 24 October 2022).
- Xu, S.; Chen, M.; Feng, T.; Zhan, L.; Zhou, L.; Yu, G. Use ggbreak to effectively utilize plotting space to deal with large datasets and outliers. Front. Genet. 2021, 12, 774846. [Google Scholar] [CrossRef]
- Bārdule, A.; Gerra-Inohosa, L.; Kļaviņš, I.; Kļaviņa, Z.; Bitenieks, K.; Butlers, A.; Lazdiņš, A.; Lībiete, Z. Variation in the mercury concentrations and greenhouse gas emissions of pristine and managed hemiboreal peatlands. Land 2022, 11, 1414. [Google Scholar] [CrossRef]
- Salm, J.-O.; Maddison, M.; Tammik, S.; Soosar, K.; Truu, J.; Mander, Ü. Emissions of CO2, CH4 and N2O from undisturbed, drained and mined peatlands in Estonia. Hydrobiologia 2012, 692, 41–50. [Google Scholar] [CrossRef]
- Butlers, A.; Spalva, G.; Licite, I.; Purvina, D. Carbon dioxide (CO2) emissions from naturally wet and drained nutrient-rich organic forest soils. In Proceedings of the 21st International Scientific Conference ‘Engineering for Rural Development’, Jelgava, Latvia, 25–27 May 2022. [Google Scholar]
- Moore, T.R.; Roulet, N.T. Methane flux: Water table relations in northern wetlands. Geophys. Res. Lett. 1993, 20, 587–590. [Google Scholar] [CrossRef]
- Liblik, L.K.; Moore, T.R.; Bubier, J.L.; Robinson, S.D. Methane emissions from wetlands in the zone of discontinuous permafrost: Fort Simpson, Northwest Territories, Canada. Glob. Biogeochem. Cycles 1997, 11, 485–494. [Google Scholar] [CrossRef]
- Van den Pol-van Dasselaar, A. Methane Emissions from Grasslands. Ph.D. Thesis, Wageningen Agricultural University, Wageningen, The Netherlands, 16 September 1998. [Google Scholar]
- Dunfield, P.; Knowles, R.; Dumont, R.; Moore, T. Methane production and consumption in temperate and subarctic peat soils—Response to temperature and pH. Soil Biol. Biochem. 1993, 25, 321–326. [Google Scholar] [CrossRef]
- Wang, C.; Amon, B.; Schulz, K.; Mehdi, B. Factors that influence nitrous oxide emissions from agricultural soils as well as their representation in simulation models: A review. Agronomy 2021, 11, 770. [Google Scholar] [CrossRef]
- Edvardsson, J.; Šimanauskienė, R.; Taminskas, J.; Baužienė, I.; Stoffel, M. Increased tree establishment in Lithuanian peat bogs—Insights from field and remotely sensed approaches. Sci. Total Environ. 2015, 505, 113–120. [Google Scholar] [CrossRef]
- Ratcliffe, J.L.; Creevy, A.; Andersen, R.; Zarov, E.; Gaffney, P.P.J.; Taggart, M.A.; Mazei, Y.; Tsyganov, A.N.; Rowson, J.G.; Lapshina, E.D.; et al. Ecological and environmental transition across the forested-to-open bog ecotone in a west Siberian peatland. Sci. Total Environ. 2017, 607–608, 816–828. [Google Scholar] [CrossRef]
- Hobbie, S.E.; Reich, P.B.; Oleksyn, J.; Ogdahl, M.; Zytkowiak, R.; Hale, C.; Karolewski, P. Tree species effects on decomposition and forest floor dynamics in a common garden. Ecology 2006, 87, 2288–2297. [Google Scholar] [CrossRef]
- Prescott, C.E.; Zabek, L.M.; Staley, C.L.; Kabzemsand, R. Decomposition of broadleaf and needle litter inforests of British Columbia: Influences of littertype, forest type, and litter mixtures. Can. J. For. Res. 2000, 30, 1742–1750. [Google Scholar] [CrossRef]
- Bārdule, A.; Butlers, A.; Lazdiņš, A.; Līcīte, I.; Zvirbulis, U.; Putniņš, R.; Jansons, A.; Adamovičs, A.; Razma, G. Evaluation of soil organic layers thickness and soil organic carbon stock in hemiboreal forests in Latvia. Forests 2021, 12, 840. [Google Scholar] [CrossRef]
- Hermans, R.; McKenzie, R.; Andersen, R.; Teh, Y.A.; Cowie, N.; Subke, J.-A. Net soil carbon balance in afforested peatlands and separating autotrophic and heterotrophic soil CO2 effluxes. Biogeosciences 2022, 19, 313–327. [Google Scholar] [CrossRef]
- Butlers, A.; Lazdiņš, A.; Kalēja, S.; Bārdule, A. Carbon budget of undrained and drained nutrient-rich organic forest soil. Forests 2022, 13, 1790. [Google Scholar] [CrossRef]






| Current Land Use/Type of Vegetation | Research Site | Coordinates (LKS92 TM Coordinate System) | Ditch width at the Soil Surface Level, cm | Ditch Depth, cm |
|---|---|---|---|---|
| Active peat extraction site | Site 1 (Lambārtes Mire) | X: 518826; Y: 262233 | 143 | 90 |
| Site 2 (Ušuru Mire) | X: 661175; Y: 324116 | 145 | 123 | |
| Abandoned peat extraction site not covered with vegetation (bare peat) | Site 3 (Cenas Mire) | X: 498792; Y: 297866 | 196 | 65 |
| Site 4 (Medema Mire) | X: 506624; Y: 300175 | 188 | 45 | |
| Abandoned peat extraction site with shrub and herbaceous plant vegetation | Site 5 (Cenas Mire) | X: 498615; Y: 298016 | 130 | 69 |
| Site 6 (Cepļa Mire) | X: 649492; Y: 344598 | 204 | 59 | |
| Scots pine forest | Site 7 (Cepļa Mire) | X: 649724; Y: 344213 | 214 | 55 |
| Site 8 (MPS Mežole) | X: 620173; Y: 349117 | 217 | 33 | |
| Silver birch forest | Site 9 (Pleces Mire) | X: 348265; Y: 289795 | 260 | 58 |
| Site 10 (MPS Mežole) | X: 624262; Y: 354836 | 264 | 52 |
| Parameter, Unit | Value | Peat Extraction Sites | Peatland Forests | |||
|---|---|---|---|---|---|---|
| Abandoned, Bare Peat | Abandoned, with Vegetation | Active | Scots Pine Forest | Silver Birch Forest | ||
| Water level in ditch, cm | mean ± S.E. | 37.6 ± 8.8 a | 44.6 ± 12.9 ab | 26.6 ± 8.1 ab | 8.7 ± 3.4 ab | 4.8 ± 2.0 b |
| range | 0–110 | 0–150 | 0–70 | 0–32 | 0–24 | |
| GW level, cm | mean ± S.E. | 18.0 ± 4.1 ab | 62.1 ± 12.0 a | 24.1 ± 4.4 ab | 10.6 ± 4.7 b | 45.4 ± 9.6 ab |
| range | −2–53 | 7–150 | 8–59 | −18–36 | 0–108 | |
| pH | mean ± S.E. | 5.2 ± 0.2 a | 5.2 ± 0.3 a | 6.3 ± 0.2 b | 5.2 ± 0.3 a | 7.3 ± 0.1 c |
| range | 3.8–7.0 | 3.9–6.7 | 5.2–7.0 | 3.8–6.4 | 6.4–7.9 | |
| EC, µS cm−1 | mean ± S.E. | 48.4 ± 5.5 ad | 64.1 ± 9.5 bcd | 110.9 ± 16.5 cd | 64.1 ± 12.8 d | 292.9 ± 24.6 e |
| range | 32.7–117.2 | 38.9–160.6 | 34.4–225 | 36.5–163.25 | 142.7–450.5 | |
| TN, mg L−1 | mean ± S.E. | 3.57 ± 0.33 abde | 3.84 ± 0.27 be | 8.27 ± 0.86 c | 2.57 ± 0.38 de | 2.88 ± 0.87 e |
| range | 0.94–6.52 | 2.78–5.42 | 2.65–11.43 | 1.86–5.77 | 0.39–8.29 | |
| DOC, mg L−1 | mean ± S.E. | 99.1 ± 6.7 a | 101.9 ± 5.8 a | 125.8 ± 22.5 a | 109.3 ± 6.7 a | 41.2 ± 10.3 b |
| range | 49.1–140.8 | 81.4–142.0 | 64.0–291.7 | 89.7–149.7 | 9.2–101.0 | |
| K, mg L−1 | mean ± S.E. | 0.94 ± 0.08 ae | 0.65 ± 0.07 be | 2.19 ± 0.28 c | 0.42 ± 0.04 d | 0.91 ± 0.11 e |
| range | 0.47–1.50 | 0.23–0.95 | 0.76–3.96 | 0.23–0.75 | 0.38–1.76 | |
| Ca, mg L−1 | mean ± S.E. | 10.6 ± 1.7 abd | 13.4 ± 2.3 bcd | 19.5 ± 2.8 cd | 17.0 ± 3.4 d | 62.5 ± 4.1 e |
| range | 1.78–28.19 | 5.42–31.57 | 4.76–39.93 | 4.14–41.87 | 34.64–79.93 | |
| Mg, mg L−1 | mean ± S.E. | 0.63 ± 0.03 a | 1.19 ± 0.12 b | 4.67 ± 0.52 c | 0.74 ± 0.13 a | 12.82 ± 1.51 e |
| range | 0.49–0.85 | 0.83–1.93 | 0.73–6.66 | 0.34–1.62 | 4.82–18.32 | |
Publisher’s Note: MDPI stays neutral with regard to jurisdictional claims in published maps and institutional affiliations. |
© 2022 by the authors. Licensee MDPI, Basel, Switzerland. This article is an open access article distributed under the terms and conditions of the Creative Commons Attribution (CC BY) license (https://creativecommons.org/licenses/by/4.0/).
Share and Cite
Vanags-Duka, M.; Bārdule, A.; Butlers, A.; Upenieks, E.M.; Lazdiņš, A.; Purviņa, D.; Līcīte, I. GHG Emissions from Drainage Ditches in Peat Extraction Sites and Peatland Forests in Hemiboreal Latvia. Land 2022, 11, 2233. https://doi.org/10.3390/land11122233
Vanags-Duka M, Bārdule A, Butlers A, Upenieks EM, Lazdiņš A, Purviņa D, Līcīte I. GHG Emissions from Drainage Ditches in Peat Extraction Sites and Peatland Forests in Hemiboreal Latvia. Land. 2022; 11(12):2233. https://doi.org/10.3390/land11122233
Chicago/Turabian StyleVanags-Duka, Mārtiņš, Arta Bārdule, Aldis Butlers, Emīls Mārtiņš Upenieks, Andis Lazdiņš, Dana Purviņa, and Ieva Līcīte. 2022. "GHG Emissions from Drainage Ditches in Peat Extraction Sites and Peatland Forests in Hemiboreal Latvia" Land 11, no. 12: 2233. https://doi.org/10.3390/land11122233
APA StyleVanags-Duka, M., Bārdule, A., Butlers, A., Upenieks, E. M., Lazdiņš, A., Purviņa, D., & Līcīte, I. (2022). GHG Emissions from Drainage Ditches in Peat Extraction Sites and Peatland Forests in Hemiboreal Latvia. Land, 11(12), 2233. https://doi.org/10.3390/land11122233

