Characteristics of Disaster Losses Distribution and Disaster Reduction Risk Investment in China from 2010 to 2020
Abstract
1. Introduction
2. Materials and Methods
2.1. Data Materials
2.2. Methods
2.2.1. Mann–Kendall Trend Test
2.2.2. Correlation Analysis
2.2.3. DEA Model
2.2.4. Exponential Regression Model
3. Result
3.1. Disaster Losses in China
3.1.1. Spatio-Temporal Characteristics in China
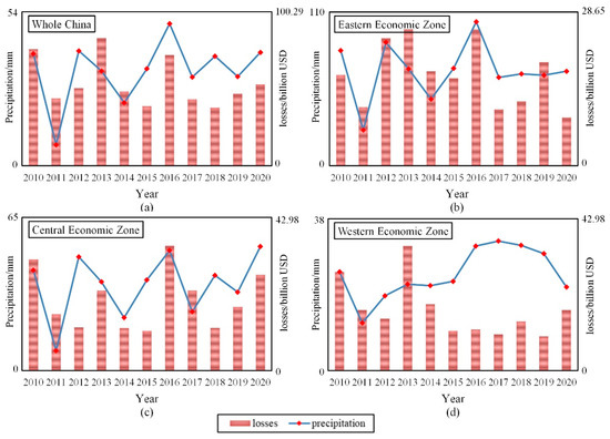
3.1.2. Precipitation
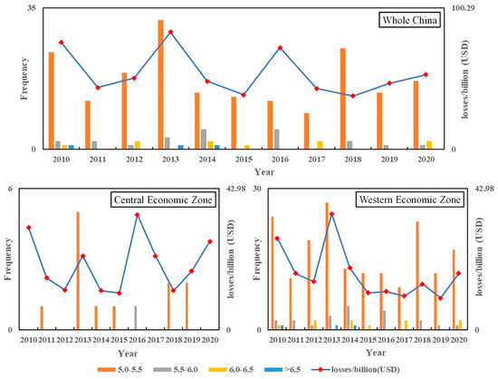
3.1.3. Earthquake
3.2. Disaster Reduction Risk Investment in China
4. Discussion
4.1. Relationships between Financial Investment and Direct Economic Losses
4.2. Reason for Investment Efficiency
4.2.1. Different Types of Disasters
4.2.2. Economy
4.2.3. Other Aspects
5. Conclusions
Author Contributions
Funding
Data Availability Statement
Acknowledgments
Conflicts of Interest
References
- Strömberg, D. Natural disasters, economic development, and humanitarian aid. J. Econ. Perspect. 2007, 21, 199–222. [Google Scholar] [CrossRef]
- Fan, Y.D.; Wu, W.; Wang, W.; Liu, M.; Wen, Q. Research progress of disaster remote sensing in China. J. Remote Sens. 2016, 20, 1170–1184. [Google Scholar]
- Cassar, A.; Healy, A.; Kessler, C.V. Trust, risk, and time preferences after a natural disaster: Experimental evidence from Thailand. World Dev. 2017, 94, 90–105. [Google Scholar] [CrossRef]
- Cao, W.; Xiao, H.; Luo, Z. The Comprehensive Evaluation System for Regional Meteorological Disasters Emer-gency Defense Capability Based on the “Three Pre-” Perspective. J. Intell. 2012, 31, 57–63+94. [Google Scholar]
- Zhou, X.X. An Overview on Influence of Natural Disaster to Economic Growth. J. Catastrophol. 2019, 24, 112–116. [Google Scholar]
- Regina, P. Impact of natural disasters on the income distribution. World Dev. 2022, 157, 105936. [Google Scholar]
- Lei, Y.; Wang, J.A. A preliminary discussion on the opportunities and challenges of linking climate change adaptation with disaster risk reduction. Nat. Hazards 2014, 71, 1587–1597. [Google Scholar] [CrossRef]
- Field, C.B.; Barros, V.; Stocker, T.F.; Dahe, Q. Managing the Risks of Extreme Events and Disasters to Advance Climate Change adaptation: Special Report of the Intergovernmental Panel on Climate Change; Cambridge University Press: Cambridge, UK, 2012. [Google Scholar]
- Dell, M.; Jones, B.; Olken, B.A. What do we learn from the weather? The new climate- economy literature. J. Econ. Lit. 2014, 52, 740–798. [Google Scholar] [CrossRef]
- IPCC. Summary For policymakers. In Climate Change 2014: Impacts, Adaptation, and Vulnerability. Part A: Global and Sectoral Aspects. Contribution of Working Group II to the Fifth Assessment Report of the Intergovernmental Panel on Climate Change; Cambridge University Press: Cambridge, UK; New York, NY, USA, 2015; pp. 1–32. [Google Scholar]
- Geng, S.L.; Zhou, Q.; Li, M.J.; Song, D.X.; Wen, Y.Y. Spatial–temporal differences in disaster perception and response among new media users and the influence factors: A case study of the Shouguang Flood in Shandong province. Nat. Hazards 2021, 105, 2241–2262. [Google Scholar] [CrossRef]
- Wang, Q.; Zhang, Q.; Liu, Y.; Tong, L.; Zhang, Y.; Li, X.; Li, J. Characterizing the spatial distribution of typical natural disaster vulnerability in China from 2010 to 2017. Nat. Hazards. 2019, 100, 3–15. [Google Scholar] [CrossRef]
- Shi, P.J. 25 years of Integrated disaster reduction in China: Review and prospect. Disaster Reduct. China 2014, 5, 32–35. [Google Scholar]
- Editorial Office. Disaster prevention and mitigation is a global action. Disaster Reduct. China 2013, 21, 8–9. [Google Scholar]
- Zhang, H.P.; Huang, X.L.; Liu, S.; He, B.S. Differences of disaster mitigation between China and Italian. China Water Resour. 2014, 23, 48–50. [Google Scholar]
- Xue, Z.Y. The remarkable achievement of China in geological disaster prevention. Technol. Wind. 2020, 156. [Google Scholar] [CrossRef]
- Li, H.; Teng, H.Q. Research on efficiency evaluation of geo-disasters prevention investment in Shaanxi Province based on DEA model. Yangtze River 2021, 52, 22–27. [Google Scholar]
- Luo, J. Research on the Power Allocation of Emergency Management Department in China. Master’s Thesis, Xiangtan University, Xiangtan, China, 2020. [Google Scholar]
- Kong, F. Current situation, challenges and development opportunities of comprehensive meteorological disaster prevention and mitigation in China under the background of the establishment of the Ministry of Emergency Management. Disaster Reduct. China 2019, 3, 34–37. [Google Scholar]
- Han, X.; Zhang, H.M.; Li, F.Y. Research on the efficiency evaluation of geo-disasters prevention investment. Chin. J. Geol. Hazard Control 2016, 27, 114–119. [Google Scholar]
- Lv, J.; Li, M.Z.; Hou, J.D.; Li, H. Assessment of the Vulnerability and Prevention Efficiency of Geological Disasters in China Based on Super-efficiency DEA Model. Saf. Environ. Eng. 2013, 20, 35–40. [Google Scholar]
- Zhang, X.Y.; Fan, X.L. Spatial-temporal distribution characteristics of geological hazards in Anhui Province and evaluation of prevention and control effects. J. Fuyang Norm. Univ. (Nat. Sci.) 2019, 36, 99–104. [Google Scholar]
- Huang, H.J.; Hao, S.C. Study on Effect Evaluation of Geological Disaster Prevention—Based on Analysis of Precipitation-Time Series. Nat. Resour. Econ. China 2019, 32, 76–83. [Google Scholar]
- Wei, S.L.J.; Yan, H.J.; Zhang, J.C.; Wei, Z.F.; Wu, J. Analysis of funding used for geological disaster prevention in Qinghai Province and its effects. Chin. J. Geol. Hazard Control. 2020, 31, 112–116. [Google Scholar]
- Zhang, P.; Zhang, Y.X.; Sun, Z.; Lu, Y. Natural Disaster Index: A Quantitative Measure for Assessing Natural Disaster Losses. J. Catastrophol. 2015, 30, 74–78. [Google Scholar]
- Chen, Y.F.; Gao, G. An Analysis to Losses Caused by Meteorological Disasters in China During 1989–2008. Meteorol. Mon. 2010, 36, 76–80. [Google Scholar]
- Liao, Y.F.; Zhao, F.; Wang, Z.Q.; Li, B.; Lv, X.F. Spatial Pattern Analysis of Natural Disasters in China from 2000 to 2011. J. Catastrophol. 2013, 28, 55–60. [Google Scholar]
- Corey, L.; Pedram, R.; Navin, R. Influence of extreme weather disasters on globalcrop production. Nature 2016, 529, 84–87. [Google Scholar]
- National Bureau of Statistics of China. China Statistical Yearbook-2021; China Statistics Press: Beijing, China, 2021.
- Noy, I. Natural disasters in the Pacific Island Countries:New measurements of impacts. Nat. Hzazrds 2016, 84, 7–18. [Google Scholar] [CrossRef]
- Peng, S. 1-km Monthly Precipitation Dataset for China (1901–2020). National Tibetan Plateau Data Center: Beijing, China, 2020. [Google Scholar]
- CGIAR-CSI. SRTM DEM dataset in China (2000); National Tibetan Plateau Data Center: Beijing, China, 2013. [Google Scholar]
- Lacombe, G.; McCartney, M.; Forkuor, G. Drying climate in Ghana over the period 1960–2005: Evidence from the resampling-based Mann-Kendall test at local and regional levels. Hydrol. Sci. J. 2012, 57, 1594–1609. [Google Scholar] [CrossRef]
- Yair, O.; Talmon, R. Local canonical correlation analysis for nonlinear common variables discovery. arXiv 2016, arXiv:1606.04268. [Google Scholar] [CrossRef]
- Charnes, A.; Cooper, W.W.; Rhodes, E. Measuring theefficiency of decision making units. Eur. J. Oper. Res. 1978, 2, 429–444. [Google Scholar] [CrossRef]
- Wang, X.Y.; Nie, G.Z.; Wang, D. Relationships between the ground motion parameters and the landslides induced by the Wen chuan earthquake. Earthq. Sci. 2010, 23, 233–242. [Google Scholar] [CrossRef]
- Li, G.; Du, F.X.; Li, S.; Broadvision, E.C. Influential factor analysis of earthquake secondary hazard based on factor analysis method. Yangtze River 2016, 47, 48–51+55. [Google Scholar]
- Yin, Y.P.; Cheng, Y.L.; Liang, J.T.; Wang, W.P. Heavy-rainfall-induced catastrophic rockslide-debris flow at Sanxicun, Dujiangyan, after the Wenchuan Ms 8.0 earthquake. Landslides 2016, 13, 9–23. [Google Scholar] [CrossRef]
- Huggel, C.; Clague, J.J.; Korup, O. Is climate change responsible for changing landslide activity in high mountains? Earth Surf. Process. Landf. 2012, 37, 77–91. [Google Scholar] [CrossRef]
- Michelson, K.; Chang, H. Spatial characteristics and frequency of citizen-observed pluvial flooding events in relation to storm size in Portland Oregon. Urban Clim. 2019, 29, 100487. [Google Scholar] [CrossRef]
- Shi, P.J.; Yang, W.T. Compound effects of earthquakes and extreme weathers on geo-hazards in mountains. Clim. Chang. Res. 2020, 16, 405–411. [Google Scholar]
- Pande, R.K. Flash flood disasters in Uttarakhand. Disaster Prev. Manag. An. Int. J. 2010, 19, 565–570. [Google Scholar] [CrossRef]
- Zielinski, T. Catastrophic flood effects in alpine/foothill fluvial system (a case study from the Sudetes Mts, SW Poland). Geomorphology 2003, 54, 293–306. [Google Scholar] [CrossRef]
- Tie, Y.B.; Jian, D.J. Returning from the earthquake-behind Jiuzhaigou “healing”. Chin. Nat. Geogr. 2021, 7, 86–99. [Google Scholar]
- Dai, F.C.; Xu, C.; Yao, X.; Xu, L.; Tu, X.B.; Gong, Q.M. Spatial distribution of landslides triggered by the 2008 MS8.0 Wenchuan earthquake, China. J. Asian Earth Sci. 2011, 40, 883–895. [Google Scholar] [CrossRef]
- Tang, C.; Zhu, J.; Qi, X.; Ding, J. Landslides induced by the Wenchuan earthquake and the subsequent strong rainfall event:A case study in the Beichuan area of China. Eng. Geol. 2011, 122, 22–33. [Google Scholar] [CrossRef]
- Zhang, Y.S.; Dong, S.W.; Hou, C.T.; Guo, C.B.; Yao, X.; Li, B.; Du, J.J.; Zhang, J.G. Geohazards Induced by the Lushan Ms7.0 Earthquake in Sichuan Province, Southwest China: Typical Examples, Types and Distributional Characteristics. Acta Geol. Sin. 2013, 87, 646–657. [Google Scholar]
- Mahajan, P.; Yang, D. The economic impacts of direct natural disaster exposure. Am. Econ. J. Appl. Econ. 2020, 12, 250–277. [Google Scholar] [CrossRef]
- Bentzen, J.S. Acts of God? Religiosity and natural disasters across subnational world districts. Econ. J. 2019, 129, 2295–2321. [Google Scholar] [CrossRef]
- Kocornik-Mina, A.; McDermott, T.K.J.; Michaels, G.; Rauch, F. Flooded cities. Am. Econ. J. Appl. Econ. 2020, 12, 35–66. [Google Scholar] [CrossRef]
- Page, L.; Savage, D.A.; Torgler, B. Variation in risk seeking behaviour following large losses: A natural experiment. Eur. Econ. Rev. 2014, 71, 121–131. [Google Scholar] [CrossRef]
- Toya, H.; Skidmore, M. Economic development and the impacts of natural disasters. Econ. Lett. 2007, 94, 20–25. [Google Scholar] [CrossRef]
- Zhou, Y.; Li, N.; Wu, W.X.; Liu, H.L.; Wang, L.; Liu, G.X.; Wu, J.D. Socioeconomic development and the impact of natural disasters: Some empirical evidences from China. Nat. Hazards 2014, 74, 541–554. [Google Scholar] [CrossRef]
- Liu, X.Y. The relationship between geological disasters and social and economic development. In Proceedings of the Fourth National Symposium of Young Geologists, Beijing, China, 1999; pp. 891–895. (In Chinese). [Google Scholar]
- Pei, Y.P.; Hou, J.L. Disaster science and disaster economics. Econ. Ed. 1992, 45–49. (In Chinese) [Google Scholar] [CrossRef]
- Zhuo, Z.; Duan, S. Investment expenditure for disaster prevention and mitigation, disaster control and economic growth: An economic analysis and empirical study of China. Manag. World 2012, 4, 1–8+32. (In Chinese) [Google Scholar]
- Klomp, J. Economic Development and Natural Disasters: A Satellite Data Analysis. Glob. Environ. Chang. 2016, 36, 67–88. [Google Scholar] [CrossRef]
- Hsiang, S.M.; Jina, A.S. The Causal Effect of Environmental Catastrophe on Long-Run Economic Growth: Evidence from 6700 Cyclones; NBER Working. Paper 20352; National Bureau of Economic Research, Inc.: Cambridge, MA, USA, 2014. [Google Scholar]
- Xu, C. Public Publicity and Education for Disaster Reduction of Urban Residents: Double-Failure and Long-Term Supply. J. Catastrophol. 2019, 34, 199–204. [Google Scholar]
- Hu, S.Y. Research on Financial Input System of natural disaster relief in China. Res. Financ. Account. 2019, 10, 5–10. [Google Scholar]









| Data Category | Time Series | Data Source |
|---|---|---|
| financial expenditure data | 2019 and 2020 | ministries of emergency management |
| disaster losses data | 2010–2020 | China Statistical Yearbook |
| disaster losses data | 2010–2020 | EM-DAT |
| socio-economic data | 2010–2020 | China Statistical Yearbook |
| earthquake data | 2010–2020 | USGS Earthquake Hazards Program |
| precipitation dataset | 2010–2020 | National Tibetan Plateau/Third Pole Environment Data Center |
| Chinese SRTM DEM | 2000–2001 | National Tibetan Plateau/Third Pole Environment Data Center |
| administrative vector data | 2019 | National Geomatics Center of China |
| Zone | Affected Population (Million People) | Fatalities | Affected Crop Area (Million ha) | Crop Failure Area (Million ha) | Direct Economic Losses (Billion USD) |
|---|---|---|---|---|---|
| The Whole of China | −3.27 p | −2.49 p | −2.96 p | −1.09 | −0.93 |
| Eastern Economic Zone | −3.74 p | −1.40 | −3.27 p | −0.47 | −0.93 |
| Central Economic Zone | −2.49 p | −2.18 p | −0.93 | 0.77 | 0 |
| Western Economic Zone | −3.43 p | −2.34 p | −2.80 p | −3.11 p | −1.71 |
| Region | Whole China | Eastern Economic Zone | Central Economic Zone | Western Economic Zone |
|---|---|---|---|---|
| correlation coefficient | 0.38 | 0.59 | 0.42 | −0.35 |
| p-value | 4 × 10−10 | 3.65 × 10−8 | 2.68 × 10−7 | 1.02 × 10−6 |
| Magnitude | Whole China | Central Economic Zone | Western Economic Zone | |
|---|---|---|---|---|
| correlation coefficient | 5.0–5.5 | 0.55 | −0.22 | 0.77 |
| 5.5–6.0 | 0.48 | 0.60 | 0.38 | |
| 6.0–6.5 | −0.23 | - | −0.13 | |
| >6.5 | 0.62 | - | 0.83 | |
| p-value | 5.0–5.5 | 7.55 × 10−10 | 4.37 × 10−7 | 8.55 × 10−7 |
| 5.5–6.0 | 7.21 × 10−10 | 1.59 × 10−7 | 7.95 × 10−5 | |
| 6.0–6.5 | 4.68 × 10−10 | 1.47 × 10−7 | 4.58 × 10−6 | |
| >6.5 | 3.71 × 10−10 | 1.47 × 10−7 | 1.6 × 10−6 | |
| DMUs | Comprehensive Efficiency Value (θ*) | Technical Effectiveness (δ*) | Scaled Effectiveness (S*) | Scaled Return |
|---|---|---|---|---|
| Beijing | 0.358 | 0.358 | 1 | - |
| Tianjin | 1 | 1 | 1 | - |
| Hebei | 0.09 | 0.274 | 0.329 | irs |
| Shanxi | 0.013 | 0.420 | 0.03 | irs |
| Inner Mongolia | 0.037 | 0.265 | 0.139 | irs |
| Liaoning | 0.101 | 0.550 | 0.183 | irs |
| Jilin | 0.212 | 0.467 | 0.454 | irs |
| Heilognjiang | 0.244 | 0.538 | 0.453 | irs |
| Shanghai | 1 | 1 | 1 | - |
| Jiangsu | 0.256 | 0.999 | 0.256 | irs |
| Zhejiang | 0.026 | 0.808 | 0.033 | irs |
| Anhui | 0.034 | 0.455 | 0.074 | irs |
| Fujian | 0.188 | 1 | 0.188 | irs |
| Jiangxi | 0.009 | 0.473 | 0.02 | irs |
| Shandong | 0.026 | 0.448 | 0.059 | irs |
| Henan | 0.11 | 0.556 | 0.197 | irs |
| Hubei | 0.009 | 0.203 | 0.046 | irs |
| Hunan | 0.011 | 0.294 | 0.038 | irs |
| Guangdong | 0.156 | 0.616 | 0.254 | irs |
| Guangxi | 0.013 | 0.301 | 0.044 | irs |
| Hainan | 1 | 1 | 1 | - |
| Chongqing | 0.039 | 0.305 | 0.128 | irs |
| Sichuan | 0.018 | 0.422 | 0.042 | irs |
| Guizhou | 0.018 | 0.344 | 0.051 | irs |
| Yunnan | 0.011 | 0.455 | 0.025 | irs |
| Tibet | 1 | 1 | 1 | - |
| Shaanxi | 0.019 | 0.407 | 0.048 | irs |
| Gansu | 0.042 | 0.348 | 0.12 | irs |
| Qinghai | 0.137 | 0.791 | 0.173 | irs |
| Ningxia | 0.49 | 1 | 0.49 | irs |
| Xinjiang | 0.976 | 0.976 | 1 | - |
| DMUs | Comprehensive Efficiency Value (θ*) | Technical Effectiveness (δ*) | Scaled Effectiveness (S*) | Scaled Return |
|---|---|---|---|---|
| Beijing | 0.565 | 1 | 0.565 | drs |
| Tianjin | 0.216 | 0.428 | 0.504 | irs |
| Hebei | 0.014 | 0.319 | 0.045 | irs |
| Shanxi | 0.009 | 0.468 | 0.019 | irs |
| Inner Mongolia | 0.004 | 0.243 | 0.016 | irs |
| Liaoning | 0.016 | 0.868 | 0.018 | irs |
| Jilin | 0.004 | 0.169 | 0.022 | irs |
| Heilognjiang | 0.006 | 0.49 | 0.012 | irs |
| Shanghai | 1 | 1 | 1 | - |
| Jiangsu | 0.076 | 0.738 | 0.103 | irs |
| Zhejiang | 0.054 | 0.522 | 0.103 | irs |
| Anhui | 0.004 | 0.457 | 0.008 | irs |
| Fujian | 0.301 | 1 | 0.301 | irs |
| Jiangxi | 0.004 | 0.389 | 0.011 | irs |
| Shandong | 0.008 | 0.233 | 0.033 | irs |
| Henan | 0.026 | 0.468 | 0.056 | irs |
| Hubei | 0.002 | 0.235 | 0.007 | irs |
| Hunan | 0.002 | 0.16 | 0.014 | irs |
| Guangdong | 0.043 | 0.313 | 0.138 | irs |
| Guangxi | 0.01 | 0.203 | 0.05 | irs |
| Hainan | 0.49 | 0.814 | 0.602 | irs |
| Chongqing | 0.017 | 0.264 | 0.065 | irs |
| Sichuan | 0.006 | 0.304 | 0.018 | irs |
| Guizhou | 0.016 | 0.366 | 0.044 | irs |
| Yunnan | 0.008 | 0.62 | 0.013 | irs |
| Tibet | 1 | 1 | 1 | - |
| Shaanxi | 0.007 | 0.378 | 0.02 | irs |
| Gansu | 0.006 | 0.195 | 0.03 | irs |
| Qinghai | 0.35 | 0.461 | 0.759 | irs |
| Ningxia | 0.092 | 0.859 | 0.107 | irs |
| Xinjiang | 0.028 | 0.758 | 0.037 | irs |
Publisher’s Note: MDPI stays neutral with regard to jurisdictional claims in published maps and institutional affiliations. |
© 2022 by the authors. Licensee MDPI, Basel, Switzerland. This article is an open access article distributed under the terms and conditions of the Creative Commons Attribution (CC BY) license (https://creativecommons.org/licenses/by/4.0/).
Share and Cite
Li, W.; Wu, Y.; Gao, X.; Wang, W. Characteristics of Disaster Losses Distribution and Disaster Reduction Risk Investment in China from 2010 to 2020. Land 2022, 11, 1840. https://doi.org/10.3390/land11101840
Li W, Wu Y, Gao X, Wang W. Characteristics of Disaster Losses Distribution and Disaster Reduction Risk Investment in China from 2010 to 2020. Land. 2022; 11(10):1840. https://doi.org/10.3390/land11101840
Chicago/Turabian StyleLi, Wenping, Yuming Wu, Xing Gao, and Wei Wang. 2022. "Characteristics of Disaster Losses Distribution and Disaster Reduction Risk Investment in China from 2010 to 2020" Land 11, no. 10: 1840. https://doi.org/10.3390/land11101840
APA StyleLi, W., Wu, Y., Gao, X., & Wang, W. (2022). Characteristics of Disaster Losses Distribution and Disaster Reduction Risk Investment in China from 2010 to 2020. Land, 11(10), 1840. https://doi.org/10.3390/land11101840

