Water Use Efficiency of Maize (Zea mays L.) Crop under Selected Soil and Water Conservation Practices along the Slope Gradient in Ruzizi Watershed, Eastern D.R. Congo
Abstract
1. Introduction
2. Materials and Methods
2.1. Description of the Study Area
2.2. Experimental Design and Field Management
2.3. Data Collection
2.3.1. Determination of Stored Soil Water (SWS)
2.3.2. Assessment of Growth Parameters
2.3.3. Assessment of Yield and Yield-Related Parameters
2.3.4. Water Use Efficiency Estimation
2.3.5. Statistical Analysis
3. Results
3.1. Characterization of Soil, Rainfall and ETc for the Three Growing Seasons
3.2. Water Use Efficiency under Selected Swc Practices along the Slope Gradient
3.2.1. Effects of SWC, Slope Gradient and Variety on Maize Growth Parameters across Growing Seasons
3.2.2. Effects of SWC Practices, Slope Gradient and Variety on Yield Components across Growing Seasons
3.2.3. Effects of SWC and Slope Gradient on Water Use Efficiency
3.3. Relationships between Maize Growth Parameters, SWS, and WUE
3.3.1. Changes in Stored Soil Water along Crop Growth Stages
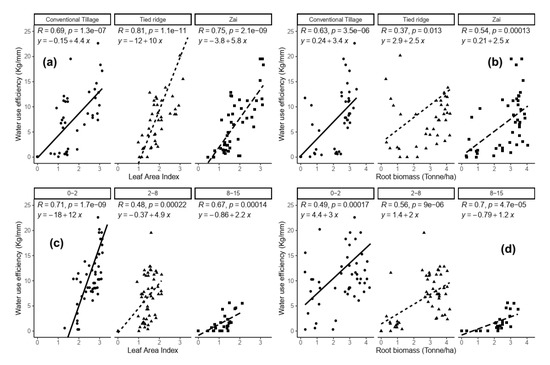
3.3.2. Influence of Maize Growth Parameters on WUE
3.3.3. Influence of SWS on WUE
4. Discussions
4.1. Rainfall and ETP Characteristics in Ruzizi Plain
4.2. Crop Growth Parameters and Water Use Efficiency under Selected SWC Practices along the Slope Gradient
4.3. Influence of Crop Growth Parameters and Stored Soil Water on Water Use Efficiency
5. Conclusions
Supplementary Materials
Author Contributions
Funding
Institutional Review Board Statement
Informed Consent Statement
Data Availability Statement
Acknowledgments
Conflicts of Interest
References
- Wolka, K.; Mulder, J.; Biazin, B. Effects of soil and water conservation techniques on crop yield, runoff and soil loss in Sub-Saharan Africa: A review. Agric. Water Manag. 2018, 207, 67–79. [Google Scholar] [CrossRef]
- Biazin, B.; Sterk, G.; Temesgen, M.; Abdulkedir, A.; Stroosnijder, L. Rainwater Harvesting and Management in Rainfed Agricultural Systems in Sub-Saharan Africa—A Review. Phys. Chem. Earth 2012, 47, 139–151. [Google Scholar] [CrossRef]
- Makondo, C.C.; Thomas, D.S.G. Seasonal and Intra-Seasonal Rainfall and Drought Characteristics as Indicators of Climate Change and Variability in Southern Africa: A Focus on Kabwe and Livingstone in Zambia. Theor. Appl. Climatol. 2020, 140, 271–284. [Google Scholar] [CrossRef]
- Durodola, O.S.; Mourad, K.A. Modelling Maize Yield and Water Requirements under Different Climate Change Scenarios. Climate 2020, 8, 127. [Google Scholar] [CrossRef]
- Orfanou, A.; Pavlou, D.; Porter, W.M. Maize Yield and Irrigation Applied in Conservation and Conventional Tillage at Various Plant Densities. Water 2019, 11, 1726. [Google Scholar] [CrossRef]
- Korodjouma, O.; Idriss, S.; Salif, B.; Prosper, Z. Soil and water conservation, and soil fertility management effects on rain water productivity of maize hybrid in Burkina Faso. Afr. J. Agric. Res. 2017, 12, 1014–1021. [Google Scholar] [CrossRef]
- Wu, Y.; Jia, Z.; Ren, X.; Zhang, Y.; Chen, X.; Bing, H.; Zhang, P. Effects of Ridge and Furrow Rainwater Harvesting System Combined with Irrigation on Improving Water Use Efficiency of Maize (Zea Mays L.) in Semi-Humid Area of China. Agric. Water Manag. 2015, 158, 1–9. [Google Scholar] [CrossRef]
- Taye, G.; Poesen, J.; Van Wesemael, B.; Vanmaercke, M.; Teka, D.; Deckers, J.; Goosse, T.; Maetens, W.; Nyssen, J.; Hallet, V.; et al. Effects of land use, slope gradient, and soil and water conservation structures on runoff and soil loss in semi-arid Northern Ethiopia. Phys. Geogr. 2013, 34, 236–259. [Google Scholar] [CrossRef]
- Nyssen, J.; Frankl, A.; Zenebe, A.; Deckers, J.; Poesen, J. Land Management in the Northern Ethiopian Highlands: Local and Global Perspectives; Past, Present and Future. Land Degrad. Dev. 2015, 26, 759–764. [Google Scholar] [CrossRef]
- Asfaha, T.G.; Frankl, A.; Haile, M.; Nyssen, J. Catchment Rehabilitation and Hydro-Geomorphic Characteristics of Mountain Streams in the Western Rift Valley Escarpment of Northern Ethiopia. Land Degrad. Dev. 2016, 27, 26–34. [Google Scholar] [CrossRef]
- Bayala, J.; Sileshi, G.W.; Coe, R.; Kalinganire, A.; Tchoundjeu, Z.; Sinclair, F.; Garrity, D. Cereal Yield Response to Conservation Agriculture Practices in Drylands of West Africa: A Quantitative Synthesis. J. Arid. Environ. 2012, 78, 13–25. [Google Scholar] [CrossRef]
- Adeboye, O.B.; Schultz, B.; Adekalu, K.O.; Prasad, K.C. Performance Evaluation of AquaCrop in Simulating Soil Water Storage, Yield, and Water Productivity of Rainfed Soybeans (Glycine Max L. Merr) in Ile-Ife, Nigeria. Agric. Water Manag. 2019, 213, 1130–1146. [Google Scholar] [CrossRef]
- Zougmoré, R.B.; Partey, S.T.; Ouédraogo, M.; Torquebiau, E.; Campbell, B.M. Facing climate variability in sub-Saharan Africa: Analysis of climate-smart agriculture opportunities to manage climate-related risks. Cah. Agric. 2018, 27, 34001. [Google Scholar] [CrossRef]
- FAO. FAOSTAT. Available online: http://www.fao.org/faostat/en/#data/QC (accessed on 25 September 2020).
- Kulimushi, P.Z.; Basime, G.C.; Nachigera, G.M.; Thonart, P.; Ongena, M. Efficacy of Bacillus Amyloliquefaciens as Biocontrol Agent to Fight Fungal Diseases of Maize under Tropical Climates: From Lab to Field Assays in South Kivu. Environ. Sci. Pollut. Res. 2018, 25, 29808–29821. [Google Scholar] [CrossRef]
- Mondo, J.; Kimani, P.; Narla, R. Yield stability in small red inter-racial common bean lines in Kenya. Afr. Crop Sci. J. 2019, 27, 351. [Google Scholar] [CrossRef][Green Version]
- Muhindo, I.; Majaliwa, M.; Katusabe, A.; Walangululu, M. Projected Impact of Climate Change on Rice Yield in Two Agro-Ecological Zones in South-Kivu, Democratic Republic of Congo. Afr. J. Rural Dev. 2016, 1, 299–310. [Google Scholar]
- FAO. Guidelines for Soil Description, 4th ed.; Food and Agriculture Organization of the United Nations: Rome, Italy, 2006; ISBN 9251055211. [Google Scholar]
- Ilunga, L. Environnements Sedimentaires et Mineáralogie des Formations Superficielles de la Plaine de la Ruzizi (Nord du Lac Tanganyika). Geo. Eco. Trop. 2007, 31, 71–104. [Google Scholar]
- Yang, Y.; Liu, D.L.; Anwar, M.R.; O’Leary, G.; Macadam, I.; Yang, Y. Water Use Efficiency and Crop Water Balance of Rainfed Wheat in a Semi-Arid Environment: Sensitivity of Future Changes to Projected Climate Changes and Soil Type. Theor. Appl. Climatol. 2016, 123, 565–579. [Google Scholar] [CrossRef]
- Wallace, J.S. Increasing Agricultural Water Use Efficiency to Meet Future Food Production. Agric. Ecosyst. Environ. 2000, 82, 105–119. [Google Scholar] [CrossRef]
- Zhang, G.; Shen, D.; Ming, B.; Xie, R.; Jin, X.; Liu, C.; Hou, P.; Xue, J.; Chen, J.; Zhang, W.; et al. Using Irrigation Intervals to Optimize Water-Use Efficiency and Maize Yield in Xinjiang, Northwest China. Crop J. 2019, 7, 322–334. [Google Scholar] [CrossRef]
- Nyakudya, I.W.; Stroosnijder, L. Effect of Rooting Depth, Plant Density and Planting Date on Maize (Zea Mays L.) Yield and Water Use Efficiency in Semi-Arid Zimbabwe: Modelling with AquaCrop. Agric. Water Manag. 2014, 146, 280–296. [Google Scholar] [CrossRef]
- Bagula, M.E.; Mushagalusa, N.G.; Mambani, B.P.; Katcho, K.; Mugisho, Z.; Mondo, M.J.; Murhula, M. Effect of Rainwater Harvesting Practices on Maize Physiology under Climate Variability in Eastern DR Congo. RUFORUM Work. Doc. Ser. 2016, 14, 17–21. [Google Scholar]
- Bagula, E.M.; Mapatano, S.; Katcho, K.; Mushagalusa, N.G. Efficience des Techniques de Gestion de l’eau et de Fertilité des Sols sur le Rendement du Maïs dans les Régions Semi-Arides: Cas de la Plaine de la Ruzizi (Sud-Kivu, République Démocratique du Congo). VertigO 2013, 17. [Google Scholar] [CrossRef]
- Bagula, M.E.; Pypers, P.; Mushagalusa, N.G.; Muhigwa, J.B. Assessment of Fertilizer Use Efficiency of Maize in the Weathered Soils of Walungu District, DR Congo. In Challenges and Opportunities for Agricultural Intensification of the Humid Highland Systems of Sub-Saharan Africa; Vanlauwe, B., van Asten, P., Blomme, G., Eds.; Springer International Publishing: Cham, Denmark, 2014; pp. 187–199. [Google Scholar]
- Aslam, M.; Maqbool, M.A.; Cengiz, R. Drought Stress in Maize (Zea Mays L.), 1st ed.; Springer: Cham, Switzerland, 2015; ISBN 978-3-319-25442-5. [Google Scholar]
- Ministry of Foreign Affairs of the Netherlands. Climate Change Profile: East African Great Lakes and Ruzizi Plain. The Hague 2018. Available online: https://www.government.nl/binaries/government/documenten/publications/2019/02/05/climate−change−profiles/Great+Lakes.pdf (accessed on 15 July 2021).
- Irmak, S.; Djaman, K.; Rudnick, D.R. Effect of Full and Limited Irrigation Amount and Frequency on Subsurface Drip-Irrigated Maize Evapotranspiration, Yield, Water Use Efficiency and Yield Response Factors. Irrig. Sci. 2016, 34, 271–286. [Google Scholar] [CrossRef]
- Hokam, E.M.; El-Hendawy, S.E.; Schmidhalter, U. Drip Irrigation Frequency: The Effects and Their Interaction with Nitrogen Fertilization on Maize Growth and Nitrogen Use Efficiency under Arid Conditions. J. Agron. Crop Sci. 2011, 197, 186–201. [Google Scholar] [CrossRef]
- Zhang, G.; Liu, C.; Xiao, C.; Xie, R.; Ming, B.; Hou, P.; Liu, G.; Xu, W.; Shen, D.; Wang, K.; et al. Optimizing Water Use Efficiency and Economic Return of Super High Yield Spring Maize under Drip Irrigation and Plastic Mulching in Arid Areas of China. Field Crops Res. 2017, 211, 137–146. [Google Scholar] [CrossRef]
- Comas, L.H.; Trout, T.J.; DeJonge, K.C.; Zhang, H.; Gleason, S.M. Water Productivity under Strategic Growth Stage-Based Deficit Irrigation in Maize. Agric. Water Manag. 2019, 212, 433–440. [Google Scholar] [CrossRef]
- Piccinni, G.; Ko, J.; Marek, T.; Howell, T. Determination of Growth-Stage-Specific Crop Coefficients (KC) of Maize and Sorghum. Agric. Water Manag. 2009, 96, 1698–1704. [Google Scholar] [CrossRef]
- Estephan, G.; Sommer, R.; Ryan, J. Methods of Soil, Plant, and Water Analysis, 3rd ed.; ICARDA: Beirut, Lebanon, 2013. [Google Scholar]
- Okalebo, J.; Gathua, K.; Woomer, P. Laboratory Methods of Soil and Plant Analysis: A Working Manual, 2nd ed.; Sacred African Publishers: Nairobi, Kenya, 2002. [Google Scholar]
- Saxton, K.E.; Rawls, W.J. Soil Water Characteristic Estimates by Texture and Organic Matter for Hydrologic Solutions. Soil Sci. Soc. Am. J. 2006, 70, 1569–1578. [Google Scholar] [CrossRef]
- Roose, E.; Barthès, B. Organic Matter Management for Soil Conservation and Productivity Restoration in Africa: A Contribution from Francophone Research. Nutr. Cycl. Agroecosyst. 2001, 61, 159–170. [Google Scholar] [CrossRef]
- Keating, B.A.; Carberry, P.S.; Hammer, G.L.; Probert, M.E.; Robertson, M.J.; Holzworth, D.; Huth, N.I.; Hargreaves, J.N.G.; Meinke, H.; Hochman, Z.; et al. Influence of Soil Conservation Practices on Soil Moisture and Maize Crop (Zea Mays L.) Productivity in Centre Benin. Eur. J. Agron. 2003, 18, 267–288. [Google Scholar] [CrossRef]
- Araya, A.; Stroosnijder, L. Effects of Tied Ridges and Mulch on Barley (Hordeum Vulgare) Rainwater Use Efficiency and Production in Northern Ethiopia. Agric. Water Manag. 2010, 97, 841–847. [Google Scholar] [CrossRef]
- McHugh, O.V.; Steenhuis, T.S.; Abebe, B.; Fernandes, E.C.M. Performance of in Situ Rainwater Conservation Tillage Techniques on Dry Spell Mitigation and Erosion Control in the Drought-Prone North Wello Zone of the Ethiopian Highlands. Soil Tillage Res. 2007, 97, 19–36. [Google Scholar] [CrossRef]
- Mueller, L.; Behrendt, A.; Schalitz, G.; Schindler, U. Above Ground Biomass and Water Use Efficiency of Crops at Shallow Water Tables in a Temperate Climate. Agric. Water Manag. 2005, 75, 117–136. [Google Scholar] [CrossRef]
- Udom, B.E.; Kamalu, O.J. Crop Water Requirements during Growth Period of Maize (Zea Mays L.) in a Moderate Permeability Soil on Coastal Plain Sands. Int. J. Plant Res. 2019, 9, 1–7. [Google Scholar] [CrossRef]
- Dong, X.; Guan, L.; Zhang, P.; Liu, X.; Li, S.; Fu, Z.; Tang, L.; Qi, Z.; Qiu, Z.; Jin, C.; et al. Responses of Maize with Different Growth Periods to Heat Stress around Flowering and Early Grain Filling. Agric. For. Meteorol. 2021, 303, 108378. [Google Scholar] [CrossRef]
- Xu, W.; Liu, C.; Wang, K.; Xie, R.; Ming, B.; Wang, Y.; Zhang, G.; Liu, G.; Zhao, R.; Fan, P.; et al. Adjusting Maize Plant Density to Different Climatic Conditions across a Large Longitudinal Distance in China. Field Crops Res. 2017, 212, 126–134. [Google Scholar] [CrossRef]
- Zhang, G.; Ming, B.; Shen, D.; Xie, R.; Hou, P.; Xue, J.; Wang, K.; Li, S. Optimizing Grain Yield and Water Use Efficiency Based on the Relationship between Leaf Area Index and Evapotranspiration. Agriculture 2021, 11, 313. [Google Scholar] [CrossRef]
- Liu, F.; Wu, Y.; Xiao, G.; Gao, Q.; Xiao, H.G. Rainwater-Harvesting Agriculture and Water-Use Efficiency in Semi-Arid Regions in Gansu Province, China. Outlook Agric. 2005, 34, 159–165. [Google Scholar] [CrossRef]
- Littell, R.C.; Milliken, G.A.; Stroup, W.W.; Wolfinger, R.D.; Schabenberger, O. SAS for Mixed Models. J. Biopharm. Stat. 2007, 17, 363–365. [Google Scholar] [CrossRef]
- Bruce, P.; Bruce, A. Practical Statistics for Data Scientists; Cutt, S., Ed.; O’Reilly Media: Sebastopol, CA, USA, 2017; ISBN 9781491952962. [Google Scholar]
- Sah, R.P.; Chakraborty, M.; Prasad, K.; Pandit, M.; Tudu, V.K.; Chakravarty, M.K.; Narayan, S.C.; Rana, M.; Moharana, D. Impact of Water Deficit Stress in Maize: Phenology and Yield Components. Sci. Rep. 2020, 10, 2944. [Google Scholar] [CrossRef] [PubMed]
- Ngetich, K.; Diels, J.; Shisanya, C.; Mugwe, J.; Mucheru-Muna, M.; Mugendi, D. Effects of selected soil and water conservation techniques on runoff, sediment yield and maize productivity under sub-humid and semi-arid conditions in Kenya. CATENA 2014, 121, 288–296. [Google Scholar] [CrossRef]
- Biamah, E.K.; Gichuki, F.N.; Kaumbutho, P.G. Tillage Methods and Soil and Water Conservation in Eastern Africa. Soil Tillage Res. 1993, 27, 105–123. [Google Scholar] [CrossRef]
- Xiao-long, R.; Zhi-kuan, J.; Xiao-li, C.; Qing-fang, H.; Juan, H. Effect of Corn (Zea Mays L.) Water and Temperature of Ridge and Furrow Planting of Rainfall Harvesting Under Simulated Rainfall Conditions. Soil Water 2008, 41, 70–77. [Google Scholar]
- Grum, B.; Assefa, D.; Hessel, R.; Woldearegay, K.; Kessler, A.; Ritsema, C.; Geissen, V. Effect of In Situ Water Harvesting Techniques on Soil and Nutrient Losses in Semi-Arid Northern Ethiopia. Land Degrad. Dev. 2017, 28, 1016–1027. [Google Scholar] [CrossRef]
- Grum, B.; Hessel, R.; Kessler, A.; Woldearegay, K.; Yazew, E.; Ritsema, C.; Geissen, V. A Decision Support Approach for the Selection and Implementation of Water Harvesting Techniques in Arid and Semi-Arid Regions. Agric. Water Manag. 2016, 173, 35–47. [Google Scholar] [CrossRef]
- Cofie, O.; Amede, T. Water Management for Sustainable Agricultural Intensification and Smallholder Resilience in Sub-Saharan Africa. Water Resour. Rural Dev. 2015, 6, 3–11. [Google Scholar] [CrossRef]
- Okeyo, A.I.; Mucheru-Muna, M.; Mugwe, J.; Ngetich, K.F.; Mugendi, D.N.; Diels, J.; Shisanya, C.A. Effects of Selected Soil and Water Conservation Technologies on Nutrient Losses and Maize Yields in the Central Highlands of Kenya. Agric. Water Manag. 2014, 137, 52–58. [Google Scholar] [CrossRef]
- Kiboi, M.N.; Ngetich, K.F.; Diels, J.; Mucheru-Muna, M.; Mugwe, J.; Mugendi, D.N. Minimum Tillage, Tied Ridging and Mulching for Better Maize Yield and Yield Stability in the Central Highlands of Kenya. Soil Tillage Res. 2017, 170, 157–166. [Google Scholar] [CrossRef]
- Nyamekye, C.; Thiel, M.; Schönbrodt-Stitt, S.; Zoungrana, B.J.-B.; Amekudzi, L.K. Soil and Water Conservation in Burkina Faso, West Africa. Sustainability 2018, 10, 3182. [Google Scholar] [CrossRef]
- Biazin, B.; Stroosnijder, L. To Tie or Not to Tie Ridges for Water Conservation in Rift Valley Drylands of Ethiopia. Soil Tillage Res. 2012, 124, 83–94. [Google Scholar] [CrossRef]
- Araya, A.; Kisekka, I.; Gowda, P.H.; Prasad, P.V.V. Evaluation of Water-Limited Cropping Systems in a Semi-Arid Climate Using DSSAT-CSM. Agric. Syst. 2017, 150, 86–98. [Google Scholar] [CrossRef]
- Pandey, R.K.; Maranville, J.W.; Admou, A. Deficit Irrigation and Nitrogen Effects on Maize in a Sahelian Environment: I. Grain Yield and Yield Components. Agric. Water Manag. 2000, 46, 1–13. [Google Scholar] [CrossRef]
- Bouazzama, B.; Xanthoulis, D.; Bouaziz, A.; Ruelle, P.; Mailhol, J.C. Effect of Water Stress on Growth, Water Consumption and Yield of Silage Maize under Flood Irrigation in a Semi-Arid Climate of Tadla (Morocco). Biotechn. Agron. Soc. Environ. 2012, 16, 468–477. [Google Scholar]
- Song, L.; Jin, J.; He, J. Effects of Severe Water Stress on Maize Growth Processes in the Field. Sustainability 2019, 11, 5086. [Google Scholar] [CrossRef]
- Jia, Q.; Sun, L.; Mou, H.; Ali, S.; Liu, D.; Zhang, Y.; Zhang, P.; Ren, X.; Jia, Z. Effects of Planting Patterns and Sowing Densities on Grain-Filling, Radiation Use Efficiency and Yield of Maize (Zea Mays L.) in Semi-Arid Regions. Agric. Water Manag. 2018, 201, 287–298. [Google Scholar] [CrossRef]
- Yu, L.; Gao, X.; Zhao, X. Global Synthesis of the Impact of Droughts on Crops’ Water-Use Efficiency (WUE): Towards Both High WUE and Productivity. Agric. Syst. 2020, 177, 102723. [Google Scholar] [CrossRef]
- Ge, T.; Sui, F.; Bai, L.; Tong, C.; Sun, N. Effects of Water Stress on Growth, Biomass Partitioning, and Water-Use Efficiency in Summer Maize (Zea Mays L.) throughout the Growth Cycle. Acta Physiol. Plant. 2012, 34, 1043–1053. [Google Scholar] [CrossRef]
- Qi, D.; Hu, T.; Liu, T. Biomass accumulation and distribution, yield formation and water use efficiency responses of maize (Zea mays L.) to nitrogen supply methods under partial root-zone irrigation. Agric. Water Manag. 2020, 230, 105981. [Google Scholar] [CrossRef]
- Çakir, R. Effect of water stress at different development stages on vegetative and reproductive growth of corn. Field Crop. Res. 2004, 89, 1–16. [Google Scholar] [CrossRef]
- Matsunaga, W.K.; Silva, V.; de P.R., da; Amorim, V.P.; Sales, E.S.G.; Dantas, S.M.; Oliveira, A.B. Evapotranspiration, Crop Coefficient and Water Use Efficiency of Onion Cultivated under Different Irrigation Depths. Rev. Bras. Eng. Agrícola Ambient. 2022, 26, 219–225. [Google Scholar] [CrossRef]
- Pokorny, J. Evapotranspiration. Encycl. Ecol. 2019, 2, 292–303. [Google Scholar] [CrossRef]
- Zhou, H.; Zhou, G.; Zhou, L.; Lv, X.; Ji, Y.; Zhou, M. The Interrelationship Between Water Use Efficiency and Radiation Use Efficiency Under Progressive Soil Drying in Maize. Front. Plant Sci. 2021, 12, 794409. [Google Scholar] [CrossRef] [PubMed]
- Bagula, E.M.; Majaliwa, J.G.M.; Mushagalusa, G.N.; Basamba, T.A.; Tumuhairwe, J.-B.; Mondo, J.-G.M.; Musinguzi, P.; Mwimangire, C.B.; Chuma, G.B.; Egeru, A.; et al. Climate Change Effect on Water Use Efficiency under Selected Soil and Water Conservation Practices in the Ruzizi Catchment, Eastern D.R. Congo. Land 2022, 11, 1409. [Google Scholar] [CrossRef]








| Slope (%) | 0–2 | 2–8 | 8–15 | ||||||
|---|---|---|---|---|---|---|---|---|---|
| Depth (cm) | 0–20 | 20–40 | 40–60 | 0–20 | 20–40 | 40–60 | 0–20 | 20–40 | 40–60 |
| Coarse fraction (%) | 2.42 | 4.55 | 0.66 | 4.69 | 45.64 | 34.63 | 31.73 | 23.12 | 33.29 |
| Clay (g/kg) | 60.7 | 103.3 | 222.7 | 60.0 | 102.0 | 94.0 | 6.7 | 109.3 | 101.3 |
| Silt (g/kg) | 261.3 | 313.3 | 95.3 | 386.0 | 338.0 | 216.0 | 423.3 | 287.3 | 281.3 |
| Sand (g/kg) | 678.0 | 583.3 | 682.0 | 554.0 | 560.0 | 690.0 | 570.0 | 603.3 | 617.3 |
| Bulk density (g/cm3) | 1.15 | 1.19 | 1.43 | 1.08 | 1.45 | 1.42 | 1.24 | 1.36 | 1.38 |
| pH water | 7.6 | 7.4 | 7.9 | 7.9 | 7.8 | 7.5 | 8.4 | 8.4 | 8.5 |
| SOC (g/kg) | 41.2 | 23.4 | 16.5 | 36.7 | 16.8 | 7.7 | 25.4 | 17.2 | 8.2 |
| Nitrogen (g/kg) | 4.4 | 2.7 | 2.2 | 2.8 | 1.6 | 1.5 | 5.3 | 3.8 | 4.5 |
| Phosphorus (ppm) | 49.20 | 50.04 | 55.39 | 25.06 | 23.84 | 22.43 | 36.57 | 39.81 | 39.35 |
| Saturation point (%) | 56.50 | 56.63 | 46.13 | 59.10 | 45.40 | 46.40 | 53.17 | 48.57 | 55.43 |
| Field capacity (%) | 24.47 | 26.67 | 25.77 | 24.80 | 20.20 | 17.30 | 21.07 | 21.50 | 23.93 |
| Permanent wilting point (%) | 12.67 | 13.00 | 16.23 | 9.50 | 8.10 | 8.00 | 10.70 | 9.70 | 11.17 |
| Saturated hydraulic conductivity (mm/h) | 82.70 | 69.22 | 21.04 | 99.21 | 25.68 | 42.77 | 72.70 | 46.19 | 57.92 |
| Available water capacity (cm3/cm3) | 0.12 | 0.14 | 0.10 | 0.15 | 0.12 | 0.09 | 0.10 | 0.12 | 0.13 |
| Parameters/Slope (%) | 0–2 | 2–8 | 8–15 | p-Value |
|---|---|---|---|---|
| LAI | 2.63 ± 0.06 a | 1.40 ± 0.06 b | 1.11 ± 0.11 c | <0.001 |
| SBM (t ha–1) | 6.36 ± 0.28 a | 5.82 ± 0.35 b | 4.79 ± 0.44 c | <0.001 |
| RBM (t ha–1) | 2.66 ± 0.17 a | 2.61 ± 0.18 a | 1.97 ± 0.20 b | <0.001 |
| RSR | 0.42 ± 0.02 a | 0.43 ± 0.03 a | 0.37 ± 0.04 b | <0.001 |
| Parameters/SWC Practices | Tied Ridges | Zai Pits | Conventional Tillage | p-Value |
|---|---|---|---|---|
| LAI | 2.07 ± 0.10 a | 1.81 ± 0.11 b | 1.62 ± 0.14 c | <0.001 |
| SBM (t ha−1) | 6.71 ± 0.30 a | 6.07 ± 0.37 a | 4.72 ± 0.32 b | <0.001 |
| RBM (t ha−1) | 2.89 ± 0.19 a | 2.61 ± 0.18 b | 2.00 ± 0.17 c | <0.001 |
| RSR | 0.43 ± 0.03 a | 0.44 ± 0.03 a | 0.37 ± 0.03 b | <0.001 |
Publisher’s Note: MDPI stays neutral with regard to jurisdictional claims in published maps and institutional affiliations. |
© 2022 by the authors. Licensee MDPI, Basel, Switzerland. This article is an open access article distributed under the terms and conditions of the Creative Commons Attribution (CC BY) license (https://creativecommons.org/licenses/by/4.0/).
Share and Cite
Bagula, E.M.; Majaliwa, J.-G.M.; Basamba, T.A.; Mondo, J.-G.M.; Vanlauwe, B.; Gabiri, G.; Tumuhairwe, J.-B.; Mushagalusa, G.N.; Musinguzi, P.; Akello, S.; et al. Water Use Efficiency of Maize (Zea mays L.) Crop under Selected Soil and Water Conservation Practices along the Slope Gradient in Ruzizi Watershed, Eastern D.R. Congo. Land 2022, 11, 1833. https://doi.org/10.3390/land11101833
Bagula EM, Majaliwa J-GM, Basamba TA, Mondo J-GM, Vanlauwe B, Gabiri G, Tumuhairwe J-B, Mushagalusa GN, Musinguzi P, Akello S, et al. Water Use Efficiency of Maize (Zea mays L.) Crop under Selected Soil and Water Conservation Practices along the Slope Gradient in Ruzizi Watershed, Eastern D.R. Congo. Land. 2022; 11(10):1833. https://doi.org/10.3390/land11101833
Chicago/Turabian StyleBagula, Espoir Mukengere, Jackson-Gilbert Mwanjalolo Majaliwa, Twaha Ali Basamba, Jean-Gomez Mubalama Mondo, Bernard Vanlauwe, Geofrey Gabiri, John-Baptist Tumuhairwe, Gustave Nachigera Mushagalusa, Patrick Musinguzi, Sarah Akello, and et al. 2022. "Water Use Efficiency of Maize (Zea mays L.) Crop under Selected Soil and Water Conservation Practices along the Slope Gradient in Ruzizi Watershed, Eastern D.R. Congo" Land 11, no. 10: 1833. https://doi.org/10.3390/land11101833
APA StyleBagula, E. M., Majaliwa, J.-G. M., Basamba, T. A., Mondo, J.-G. M., Vanlauwe, B., Gabiri, G., Tumuhairwe, J.-B., Mushagalusa, G. N., Musinguzi, P., Akello, S., Egeru, A., & Tenywa, M. M. (2022). Water Use Efficiency of Maize (Zea mays L.) Crop under Selected Soil and Water Conservation Practices along the Slope Gradient in Ruzizi Watershed, Eastern D.R. Congo. Land, 11(10), 1833. https://doi.org/10.3390/land11101833

