Abstract
The adoption of eco-friendly fertilizers is increasingly perceived as a sustainable avenue for improving the quantity and quality of medicinal and aromatic plants. Here, we investigated how intercropping and bio-fertilizer application impacted the productivity and essential oil quality of mung bean and marjoram. Treatments were conducted using mung bean monocropping (MBm) and marjoram monocropping (Om), as well as additive intercropping ratios (100% marjoram + 15% mung bean (O/15MB), 100% marjoram + 30% mung bean (O/30MB), 100% marjoram + 45% mung bean (O/45MB), 100% marjoram + 60% mung bean (O/60MB)), each with/without application of biofertilizers (mycorrhiza fungi and bacteria fertilizer). We found that N, P and K content in marjoram and mung bean was highest in the intercropped O/30MB and O/45MB. The maximum land equivalent ratio (LER) index (1.6) was recorded for the O/15MB treatment following biofertilizer application, indicating that 59% more area in the monocropping treatment would be required to achieve the same yield as for the intercropping treatments. The maximum content of carvacrol, p-cymene and carvacrol methyl ether was obtained for the O/45MB treatment under biofertilizer. These results indicate that intercropping of marjoram/mung bean (especially O/45MB) along with biofertilizer application may pave the way towards more sustainable agronomy for improving essential oil quantity and quality.
1. Introduction
As the population burgeons to over nine billion by 2050, there will be challenges for not just food security [1], but also climate change adaptation, environmental stewardship, greenhouse gas emissions mitigation, profitability and social license to operate [2,3,4,5,6]. Crop and pasture species diversification is increasingly seen as a key stakeholder in agriculture development and environmental stewardship [2,7,8,9]. One way to enhance ecosystems services such as carbon fluxes and botanical diversity [10,11] may be via intercropping, the process of cultivating two or more crops on the same land and in the same year, which could potentially increase crop production and reduce resource consumption simultaneously [12]. Some advantages of intercropping include improving resource use efficiencies such as nutrients, radiation, and water [13,14], reduction of fertilizer applications [15], prevention of soil erosion, leading to increased yield stability and sustainability [16], and quality [17,18,19]. The production of medicinal plants using intercropping may be a solution for achieving optimal yield with minimum exogenous input consumption, which can reduce the input requirements of the agricultural systems in the long run [20]. It has been reported that the intercropping of medicinal and aromatic plants with legumes improved the essential oil quantity and quality of these plants in comparison with monocropping conditions [21,22].
Marjoram (Origanum majorana L.), belonging to the Lamiaceae family, is a medicinal and aromatic plant distributed in different parts of Mediterranean countries [23]. The plant is used to treat stomach and intestinal diseases and constipation and use in traditional medicine as a painkiller, diuretic, diaphoretic, and disinfectant [24]. Moreover, the vegetative body of marjoram has a desirable scent that arises from its essential oil. The essential oil is synthesized and stored in tuberous hairs and has high importance as an antimicrobial and antioxidant agent in the pharmaceutical industry [25]. It has been reported that carvacrol, gamma-terpinene, and p-cymene were the main essential oil compositions of the marjoram plant [26].
Mung bean (Vigna radiata L.) is a tropical annual plant from the Leguminosae family that is native to India [27]. Mung beans are consumed to feed humans and animals as a protein-rich nutrient [28]. Similar to other legumes, the capability of biological N fixation, short growth period, and the production of palatable and highly digestible forage [7,8,15,29] are prime advantages of the mung bean for its inclusion in crop rotations in different regions. Due to the symbiotic nitrogen fixation of mung bean, cultivation of this crop can improve soil fertility and decrease the need for increasingly expensive synthetic nitrogen fertilizer, although effects on subsequent crops in the same field remain to be determined [30].
Although biological fertilizers have a long history of application in agriculture, they have recently gained much more importance given the detrimental effects of synthetic inorganic fertilizers on the environment [13,15,31]. It is impossible to achieve the goals of sustainable and organic farming if serious attention is not paid to soil health and biodiversity [32,33]. Many soil-borne microorganisms play a crucial role in converting organic to mineral matter and supplying the food requirements of different crops [33,34]. Additionally, some of these microorganisms are crucially involved in land fertility improvement by biologically fixing N and converting some nutrients from unavailable to absorbable forms [35]. Mycorrhiza fungi and their symbiosis with plants have various impacts on improving their growth and development [36]. Various factors including plant species, soil nutrient contents especially absorbable P, soil aeration, root development depth, water availability, and soil acidity influence the occurrence of mycorrhiza symbiosis and its efficiency [37]. After forming a symbiotic relationship with the plant, mycorrhiza fungi contribute to the development of the plant root system in the soil and the uptake of water and nutrients in exchange for the nutrients they receive from the plant [38]. As a result of mycorrhiza fungi functioning, a fraction of non-absorbable P is taken up by the plant. The desirable impacts of this symbiosis are not limited to this function. Based on various reports, mycorrhiza fungi improve the biological conditions of the host plant by synthesizing some growth promoters, antibiotics, and vitamins [39].
In addition to mycorrhiza fungi, the application of nutrient solubilizing bacteria has positive roles in nutrient accessibility and improving plant performance in sustainable agricultural systems. N-fixing bacteria that can foster symbiotic relationships with the roots of many crops increase root cell division, change root morphology, increase root hairs, and enhance nutrient uptake in addition to biological N fixation [40]. Phosphate-solubilizing bacteria contribute to the release of phosphates from mineral and organic compounds by secreting organic acids and phosphatase [41]. Moreover, bacteria from the genus of Thiobacillus are among the most active and effective sulfur-solubilizing microorganisms that reduce soil acidity by oxidizing sulfur (S), thereby improving the uptake of P, S, and micronutrients [42].
The excessive application of chemical fertilizer has negative impacts on essential oil quality and bioactive compounds [43]. Therefore, improving the qualitative characteristics of medicinal and aromatic plants as well as quantity has become a major challenge in the agricultural sector [44]. The study aimed to investigate the effects of different cropping patterns (monocropping of marjoram and mung bean and different intercrop ratios of both plants) and inoculation with biofertilizers (arbuscular mycorrhizal fungus and N, P, and K solubilizing bacteria) on the productivity, essential oil quantity and quality of marjoram plant under low-input conditions.
2. Materials and Methods
The research was conducted as a factorial experiment based on a randomized complete block design with 10 treatments and 3 replications at the research farm of Urmia University (Long 45°02′ E., Lat. 37°32′ N., elevation of 1332 m from the sea level) in the 2020 growing year. The mean annual temperature and precipitation were 8.9 °C and 238.2 mm over a 10-year period at the study site, respectively. To determine the physical and chemical properties of the soil, it was sampled from a depth of 0–30 cm before the onset of the experiment and was sent to the soil science laboratory. The results of its physical and chemical analysis are presented in Table 1.
Table 1.
Selected soil physical and chemical properties for the intercropping-biofertilizer study in Urmia.
2.1. Treatments
The treatments included different cropping patterns containing (1) mung bean monocropping (MBm), (2) marjoram monocropping (Om), and additive intercropping ratios of (3) 100% marjoram + 15% mung bean (O/15MB), (4) 100% marjoram + 30% mung bean (O/30MB), (5) 100% marjoram + 45% mung bean (O/45MB), (6) 100% marjoram + 60% mung bean (O/60MB), as well as non-application and application of biofertilizers. In biofertilizer treatments, the mixture of mycorrhiza fungi (Rhizophagus intraradices) and bacteria fertilizer (phosphate-solubilizing bacteria (PSB) Pantoea agglomerans + Pseudomonas putida, K-solubilizing bacteria (KSB) Pseudomonas koreensis + Pseudomonas vancouverensis, and N-fixing bacteria (NFB) Azotobacter vinelandii) was used. Each plot was composed of 10 rows of marjoram and mung bean with an inter-row spacing of 40 cm. The plots were 3 × 2.5 m spaced by 1 m. The seedlings of marjoram were sown on 5 May 2019. After the establishment of marjoram seedlings in the first year, mung bean seeds were planted in the second year. The seeds of mung bean were sown on 21 May 2020. It should be noted that marjoram is a perennial plant and does not have an economic yield in the first year of establishment. Therefore, mung bean seeds were planted in the second year. For bio-fertilizer treatments, mung bean seeds and marjoram seedling roots were soaked in biofertilizer agents (108 active bacteria per g) and then dried in the shade for one h before seeding as per the procedure recommended by Green Biotech Company. The weeds were removed by hand as required. Furthermore, 30 g/plant mycorrhiza fungi (Rhizophagus intraradices) were placed under the seedlings of marjoram and the seeds of mung bean. The plots were irrigated immediately after sowing. The next irrigations were performed every 7–10 days according to the climatic conditions and plant demand. No chemical fertilizer was applied during the growth period to perform the experiment under low-input conditions.
2.2. Measurements
At the full flowering stage, the marjoram plants were harvested randomly on October 13 in 1 m2 of each plot. Before harvesting, the canopy diameter was measured in five plants of each plot. At the end of the growing season on the 21 October, ten samples were selected randomly for measuring the yield attributes of mung bean plants such as plant height, pods per plant−1, and seeds per pod−1. To measure the biological yield and seed yield of mung bean, 1 m2 of each plot was harvested randomly at the end of the maturity phase after removing the marginal effects.
The essential oil of marjoram was extracted by the water distillation method using a Clevenger. For this purpose, 30 g of the aerial parts of marjoram were poured into the Clevenger and were added with 300 mL of distilled water. The essential oil extraction was performed at a water boiling temperature for 3 h. Moreover, the essential oil yield, as g m−2, was calculated by multiplying the dry yield with the essential oil content. After extraction of marjoram essences, the required amount of sodium sulfate (Na2SO4) was added to samples and kept in a refrigerator (4 °C) in darkness for chemical analysis. Moreover, the oil constituents were analyzed using GC-MS (Agilent 7890/5975A GC/MSD) following the previous method of Rezaei-Chiyaneh et al. [12,21].
The nutrient content of two plants including N, P, and K was calculated based on the Kjeldahl method [45], flame photometry [46], and yellow method (using a spectrophotometer at 470 nm) [47], respectively.
2.3. Statistical Analysis
All obtained data analysis was performed by SAS (version 9.3 CEO James Goodnight, Cary, NC, USA) software. The cropping patterns, biofertilizer, and the interaction between these two factors were considered to have fixed effects, while blocks were considered to make random effects. The means were compared using Duncan’s multiple range test, and differences between individual means were considered significant at p < 0.05.
3. Results
3.1. Marjoram
The ANOVA showed that the content of N, P, canopy diameter, essential oil content, and essential oil yield was significantly impacted by cropping patterns and fertilizer application. The interaction of the two mentioned factors had no significant impact on the mentioned traits. It is worth noting that the dry matter yield of the marjoram plant and K content was significantly impacted by the interaction of cropping patterns × fertilizer (Table 2).
Table 2.
The analysis variance of marjoram nutrient content, productivity, essential oil content, and yield.
3.1.1. Nutrient Content
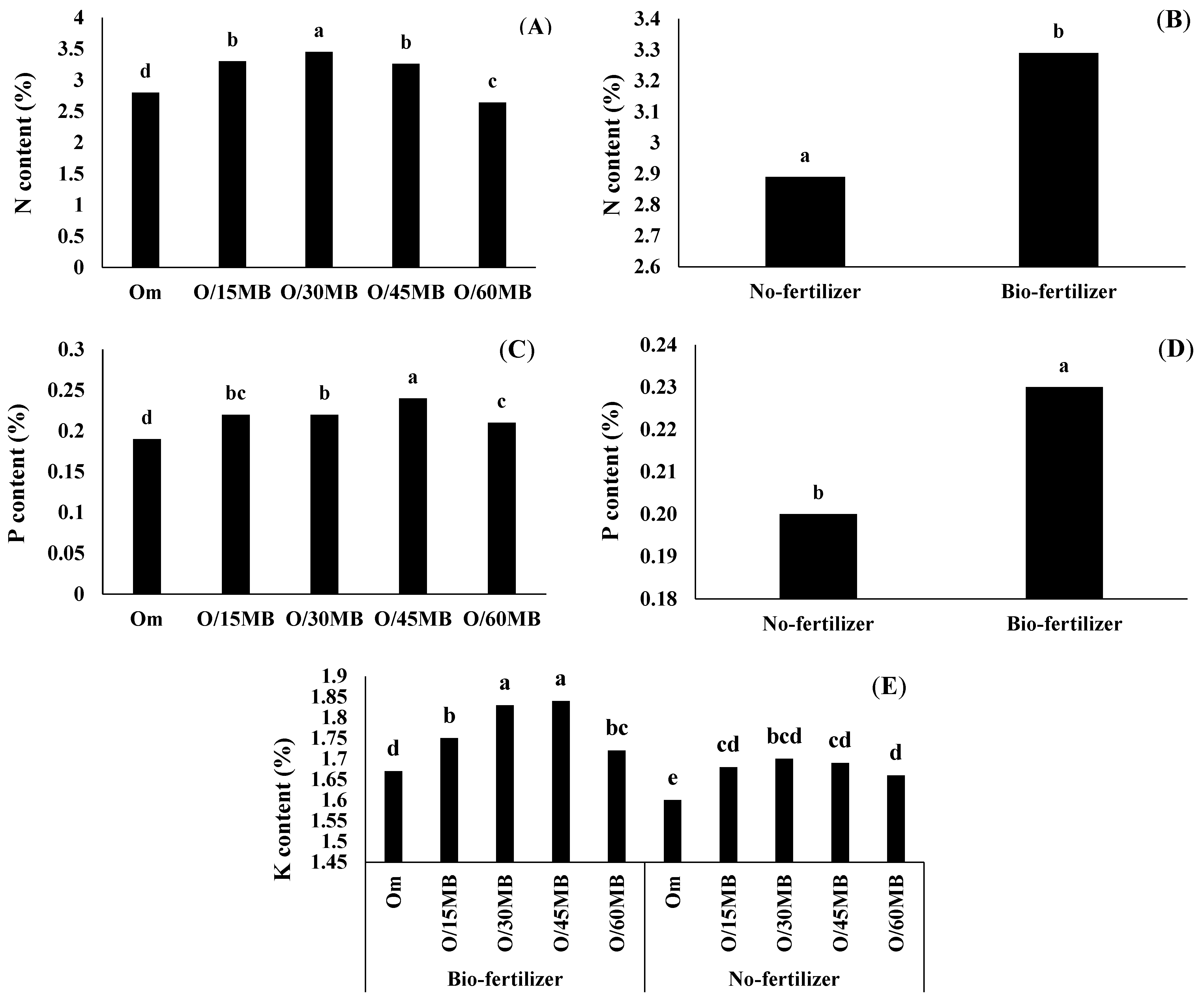
Among different cropping patterns, the maximum N (3.45%) and P (0.24%) content of marjoram was achieved in intercrops of O/30MB and O/45MB, respectively, that was 23.2 and 26.3% higher than plant monocropping. Moreover, the lowest content of N and P was recorded in marjoram monocropping. It is worth noting that the application of biofertilizers enhanced the content of N and P elements by 13.8 and 15%, respectively, when compared with no-fertilization (control) (Figure 1A–D).
Figure 1.
The main effect of cropping patterns (A,C) and fertilizer application on N and P content (B,D) and interaction effects of two mentioned factors on the K content of marjoram (E). Om: marjoram monocropping; O/15MB: intercropping ratios of 100% marjoram + 15% mung bean; O/30MB: 100% marjoram + 30% mung bean; O/45MB: 100% marjoram + 45% mung bean; O/60MB: 100% marjoram + 60% mung bean. Different lower-case letters above the bars indicate significant (p ≤ 0.05) differences.
Based on the interaction of cropping patterns × fertilizer, the highest content of K in the marjoram plant (1.84%) was obtained in an intercrop of O/45MB after biofertilizer application. However, the lowest content of K (1.6%) belonged to plant monocropping without the application of biofertilizer (Figure 1E).
3.1.2. Canopy Diameter
Among different cropping patterns, the maximum canopy diameter of marjoram was obtained in plant monocropping which was 26, 30.4, 40, and 42.7% greater than intercrop of O/15MB, O/30MB, O/45MB, and O/60MB, respectively (Figure 2A). Moreover, the application of biofertilizers enhanced the canopy diameter of marjoram by 17.5%, when compared with the non-application of biofertilizers (Figure 2B).
Figure 2.
The main effect of cropping patterns (A) and fertilizer application (B) on the canopy diameter of marjoram. Om: marjoram monocropping; O/15MB: intercropping ratios of 100% marjoram + 15% mung bean; O/30MB: 100% marjoram + 30% mung bean; O/45MB: 100% marjoram + 45% mung bean; O/60MB: 100% marjoram+ 60% mung bean. Different lower-case letters above the bars indicate significant (p ≤ 0.05) differences.
3.1.3. Dry Matter Yield (DMY)
Based on the interaction of cropping patterns × fertilizer, the highest DMY of marjoram (276.66 g m−2) was obtained in plant monocropping following biofertilizers application. Moreover, the lowest DMY (156.33 g m−2) belonged to O/60MB intercrop without fertilization. On average, the DMY of marjoram in four intercrop patterns was 29.6% lower than plant monocropping. Interestingly, the application of biofertilizers enhanced the DMY of marjoram by 11.7% (Figure 3).
Figure 3.
The dry matter yield of marjoram under the interaction of cropping patterns and fertilizer application. Om: marjoram monocropping; O/15MB: intercropping ratios of 100% marjoram + 15% mung bean; O/30MB: 100% marjoram + 30% mung bean; O/45MB: 100% marjoram + 45% mung bean; O/60MB: 100% marjoram + 60% mung bean. Different lower-case letters above the bars indicate significant (p ≤ 0.05) differences.
3.1.4. Essential Oil Content and Yield
The essential oil content of the marjoram plant was enhanced by 3.1% after biofertilizers application (Figure 4B). Among different cropping patterns, the highest (2.75%) and lowest essential oil content (2.48%) was achieved in intercrop of O/45MB and marjoram monocropping, respectively. The essential oil content of marjoram in intercrop of O/15MB, O/30MB, O/45MB and O/60MB was 6.1, 8.1, 10.9, and 7.3% greater than plant monocropping, respectively (Figure 4A).
Figure 4.
The main effect of cropping patterns (A,C) and fertilizer application on the essential oil content and essential oil yield of marjoram (B,D). Om: marjoram monocropping; O/15MB: intercropping ratios of 100% marjoram + 15% mung bean; O/30MB: 100% marjoram + 30% mung bean; O/45MB: 100% marjoram + 45% mung bean; O/60MB: 100% marjoram + 60% mung bean. Different lower-case letters above the bars indicate significant (p ≤ 0.05) differences.
3.1.5. Essential Oil Yield
The essential oil yield of the marjoram plant was enhanced by 15.2% after biofertilizer application (Figure 5B). Among different planting patterns, the highest (6.31 g m−2) and lowest essential oil content (4.35 g m−2) was achieved in marjoram monocropping and intercrop of O/60MB. The essential oil yield of marjoram in intercrop of O/15MB, O/30MB, O/45MB, and O/60 MB was 20, 20.8, 24.1, and 31.1% lower than plant monocropping, respectively (Figure 5A).
Figure 5.
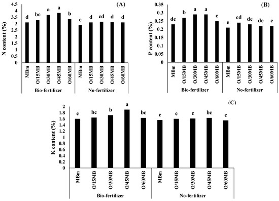
The content of N, P, and K under the interaction of cropping patterns and fertilizer application (A–C). MBm: mung bean monocropping; O/15MB: intercropping ratios of 100% marjoram + 15% mung bean; O/30MB: 100% marjoram + 30% mung bean; O/45MB: 100% marjoram + 45% mung bean; O/60MB: 100% marjoram + 60% mung bean. Different lower-case letters above the bars indicate significant (p ≤ 0.05) differences.
3.1.6. Essential Oil Compositions
Based on the GC-MS and GC-FID analysis, 15 constituents were identified in marjoram essential oil, with the major constituents being carvacrol (57.14–63.03%), gamma-terpinene (15.44–17.23%), p-cymene (5.27–6.42%), and carvacrol methyl ether (4.03–6.38%), respectively. The maximum content of carvacrol, p-cymene and carvacrol methyl ether was obtained in intercrop of O/45MB following biofertilizers application. Moreover, the lowest content of three mentioned compositions was observed in marjoram monocropping without fertilization. In addition, the highest content of gamma-terpinene was recorded in intercrop of O/60MB along with biofertilizers application (Table 3).
Table 3.
The essential oil compositions of marjoram under different cropping patterns and biofertilizers application.
3.2. Mung Bean
The analysis variance results demonstrated that the content of N, P, and K in mung bean plants was significantly impacted by cropping patterns, fertilizer application, and interaction of cropping patterns× fertilizer. However, the agronomic traits (plant height, number of pods per plant, and seeds per pod), biological and seed yield were impacted by the main effect of cropping patterns and fertilizer application (Table 4).
Table 4.
The analysis variance of mung bean traits under experimental factors.
3.2.1. Nutrient Content
Based on the interaction of cropping patterns × fertilizer, the maximum N (3.83%) and K (1.9%) content of mung bean were obtained in intercrop of O/45MB following biofertilizer application. Moreover, the highest content of P (0.29%) was observed in two intercrops of O/30MB and O/45MB following the biofertilizer application. On average, the content of N, P, and K in four intercrop patterns was 11, 13.6, and 5.1% higher than in mung bean monocropping. Moreover, the application of biofertilizers enhanced the content of the three mentioned nutrients by 12, 22.7, and 6.9%, respectively, when compared with no-fertilizer (Figure 5A–C).
3.2.2. Plant Height
Among different cropping patterns, the highest plant height of mung bean (81.16 cm) was recorded in intercrop of O/30MB which was 4.6% higher than mung bean monocropping (Figure 6A). Moreover, biofertilizer application enhanced the plant height of mung bean by 5.9% in comparison with control (no fertilizer) (Figure 6B).
Figure 6.
The main effect of cropping patterns (A,C,E) and fertilizer application (B,D,F) on the plant height, pods per plant−1, and seeds per pod−1 of mung bean. MBm: mung bean monocropping; O/15MB: intercropping ratios of 100% marjoram + 15% mung bean; O/30MB: 100% marjoram + 30% mung bean; O/45MB: 100% marjoram + 45% mung bean; O/60MB: 100% marjoram + 60% mung bean. Different lower-case letters above the bars indicate significant (p ≤ 0.05) differences.
3.2.3. Number of Pods Per Plant
The number of pods per plant increased by 6.1% after the biofertilizers application (Figure 6D). Among different cropping patterns, the highest number of pods per plant (28.98 number) belonged to mung bean monocropping. On average, the number of pods per plant in monocropping patterns was 20.4% higher than in four intercrop patterns (Figure 6C).
3.2.4. Number of Seeds Pod
Among different cropping patterns, the highest number of seeds per pod (9.21 number) was achieved in mung bean monocropping. The number of seeds per pod in mung bean monocropping was 8.6, 16.9, 18.4, and 22% higher than in comparison with O/15MB, O/30MB, O/45MB, and O/60MB intercrops, respectively (Figure 6E). Interestingly, biofertilizer application enhanced the above-mentioned trait by 5.9% (Figure 6F).
3.2.5. Biological and Seed Yield
The highest biological (4707.17 kg ha−1) and seed yield (1686.17 kg ha−1) of mung bean was obtained in plant monocropping. However, the lowest biological and seed yield of mung bean was observed in intercrops of O/45MB and O/60MB. On average, the biological and seed yield of mung bean in four intercrop patterns was 25.7 and 30.1% lower than mung bean monocropping (Figure 7A,C). Interestingly, biofertilizers application enhanced the biological and seed yield by 16.8 and 12.2% in comparison with control, respectively (Figure 7B,D).
Figure 7.
The biological and seed yield of mung bean in different cropping patterns (A,C) and fertilizer application (B,D). MBm: mung bean monocropping; O/15MB: intercropping ratios of 100% marjoram + 15% mung bean; O/30MB: 100% marjoram + 30% mung bean; O/45MB: 100% marjoram + 45% mung bean; O/60MB: 100% marjoram + 60% mung bean. Different lower-case letters above the bars indicate significant (p ≤ 0.05) differences.
3.2.6. Land Equivalent Ratio (LER)
Interestingly, the LER index in all intercrop patterns was higher than 1. Among intercrop patterns, the maximum LER index (1.59) was recorded in the ratio of O/15MB following biofertilizers application which indicates that 59% more area in the plant’s monocropping would be required to achieve the same yield in intercropping patterns (Figure 8).
Figure 8.
The land equivalent ratio (LER) index of different intercropping patterns along with application and non-application of biofertilizer.
4. Discussion
Our results showed that the nutrient concentration in marjoram and mung bean plants enhanced in intercrop patterns. It seems that the existence of differences in the growth type between companion plants in intercrop patterns such as differences in the structure and depth of rooting, the height of plants etc., leads to an improvement of environmental resources such as nutrients, water, light and etc. [48]. Similarly, Amani Machiani et al. [18] concluded that the content of N, P, K, and micro-nutrients enhanced sharply in intercropping of thyme+ soybean in comparison with plants monocropping. Fan et al. [49] noted that intercropping is not only beneficial to increase the N uptake of maize and soybean plants but also promotes the uptake of P in comparison with the monocropping pattern.
Moreover, the application of biofertilizers increased sharply the concentration of nutrients in both marjoram and mung bean plants. The enhancement nutrient uptake with biofertilizers application could be explained by the role of the nutrient-solubilizing bacteria and nitrogen-fixing bacteria in increasing the nutrient accessibility to plants [50]. Rezaei-Chiyaneh et al. [21] reported that the application of bacterial biofertilizer increased the N, P, and K content of black cumin and fenugreek plants in comparison with no-fertilization (control). Additionally, inoculation of AMF along with bacterial biofertilizers enhanced the nutrient’s uptake by extensive underground extra-radical mycelia and release of H+ [51]. It was reported that the inoculation of AMF with soybean plant roots increased sharply the concentration of N, P, K, and micro-nutrients [52].
The results of the study exhibited that the agronomic traits, the dry yield of marjoram, and the seed yield of mung bean were obtained in monocropping conditions. The higher productivity in the plants’ monocropping was attributed to the homogeneous environment under monocropping systems and to the higher inter-specific competition in intercropping patterns compared with the intraspecific competition in monocropping [22]. In contrast, the total plant productivity, which was calculated by the LER index in all intercrop patterns was higher than both plants’ monocropping. The higher LER in intercrops indicates an increase in productivity in these cropping patterns in comparison with monocropping which lead to increasing diversity, stability and sustainability, as well as reducing production risk in agricultural systems [21]. Similarly, Faridvand et al. [53] noted that the partial yield of Moldavian balm (Dracocephalum moldavica L.) and mung bean in different intercrop patterns was lower than both plants’ monocropping. In contrast, these authors concluded that the LER index in all intercrop patterns especially in three rows of Moldavian balm + two rows of mung bean, was higher than 1, representing the advantage of these cropping patterns in comparison with plants monocropping.
In addition, the application of AMF and bacterial biofertilizers enhanced plant productivity. It seems that the co-application of AMF with bacterial biofertilizers increases marjoram and mung bean productivity directly by solubilizing nutrients and nutritional balance, and indirectly exudation of phytohormones (such as indole acetic acid, cytokinins, Gibberellic acid) and plant growth regulators [38,52]. Similarly, Rezaei-Chiyaneh et al. [12] noted that the application of AMF with phosphate-solubilizing bacteria enhanced Ajowan (Carum copticum L.) productivity. Htwe et al. [54] reported that the application of biofertilizer enhanced agronomic traits (pod number, seeds per pod) and seed productivity of mung bean, cowpea, and soybean plants.
The essential oil content and major essential oil constituents of the marjoram plant such as carvacrol, gamma-terpinene, p-cymene, and carvacrol methyl ether improved in intercrop patterns in comparison with monocropping. It seems that the higher environmental use efficiency such as water, nutrients, radiation, etc. Moreover, enhancing the N accessibility through biological nitrogen fixation in legume specie (mung bean) and direct or indirect transmission to companion plants (marjoram) improved plant performance and photosynthesis rate which play an important role in increasing essential oil precursor compounds and also intermediate compositions such as NADPH, ATP, acetyl-CoA [19]. Furthermore, the essential oil quantity and quality of marjoram improved by biofertilizer application. The increasing essential oil content by application of biofertilizers could be attributed to the role of nutrient accessibility in increasing the photosynthesis rate and the development and division of the glandular trichomes, essential oil channels and secretory ducts [55]. It was previously reported that the symbiosis association of AMF with sage seedlings improved essential oil quantity and quality by increasing the main essential oil compounds such as camphor, α-humulene, viridiflorol and etc. [56]. Moreover, Rezaei-Chiyaneh et al. [21] reported that the main essential oil compounds of black cumin including thymol, p-cymene, geranyl acetate, trans-caryophyllene, and borneol increased sharply after the application of bacterial biofertilizers and AMF.
Additionally, the essential oil yield of marjoram is enhanced by biofertilizer application. The essential oil yield depends on the plant’s yield and essential oil productivity. Therefore, the increasing essential oil yield of the marjoram plant with the application of biofertilizers was attributed to the positive effect of mentioned fertilizers in increasing the plant yield and essential oil productivity. Similarly, Rezaei-Chiyaneh et al. [21] showed that the essential oil yield of black cumin increased by 48.4% and 32.6% after the application of bacterial biofertilizer and AMF.
5. Conclusions
In the cultivation of medicinal and aromatic plants, massive application of chemical fertilizers decreases the bioactive compounds of the plant, which leads to decreasing essential oil quantity and quality. The results of the study demonstrated that the implementation of sustainable strategy (intercropping of legume crops with medicinal and aromatic plants, especially in the ratio of O/45MB) along with application of biofertilizers improved essential oil content and quality by increasing the major essential oil compositions of marjoram such as carvacrol, gamma-terpinene, p-cymene and carvacrol methyl ether. Moreover, the total productivity (calculated by LER index) in all intercrop patterns was higher than 1 represent the advantage of mentioned cropping patterns in comparison with plants monocropping. Overall, it can be concluded that the application of biofertilizers in intercrop ratio of O/45MB could be suggested to farmers for improving essential oil quantity and quality of marjoram plant.
Author Contributions
Investigation, V.M., E.R.-C., H.M., A.R. and M.G.; conceptualization writing, original draft preparation, E.R.-C. and H.M; editing and critically revised the manuscript, M.L.B. and M.T.H. All authors have read and agreed to the published version of the manuscript.
Funding
This research did not receive any specific grant from funding agencies in the public, commercial, or not-for-profit sectors.
Institutional Review Board Statement
Not applicable.
Informed Consent Statement
Not applicable.
Data Availability Statement
Not applicable.
Conflicts of Interest
The authors declare no conflict of interest.
Abbreviations
The abbreviations list that used in manuscript.
| Abbreviation Lists | Full Name |
| AMF | Arbuscular mycorrhizal fungi |
| ATP | Adenosine triphosphate |
| K | Potassium |
| LER | Land equivalent ratio |
| N | Nitrogen |
| P | Phosphorus |
| NADPH | Nicotinamide adenine dinucleotide phosphate |
| MBm | Mung bean monocropping |
| Mo | Marjoram monocropping |
References
- Machiani, M.A.; Javanmard, A.; Morshedloo, M.R.; Maggi, F. Evaluation of competition, essential oil quality and quantity of peppermint intercropped with soybean. Ind. Crop. Prod. 2018, 111, 743–754. [Google Scholar] [CrossRef]
- Harrison, M.T.; Cullen, B.R.; Mayberry, D.E.; Cowie, A.L.; Bilotto, F.; Badgery, W.B.; Liu, K.; Davison, T.; Christie, K.M.; Muleke, A.; et al. Carbon myopia: The urgent need for integrated social, economic and environmental action in the livestock sector. Glob. Chang. Biol. 2021, 27, 5726–5761. [Google Scholar] [CrossRef] [PubMed]
- Harrison, M.T.; Evans, J.R.; Moore, A.D. Using a mathematical framework to examine physiological changes in winter wheat after livestock grazing: 1. Model derivation and coefficient calibration. Field Crop. Res. 2012, 136, 116–126. [Google Scholar] [CrossRef]
- Harrison, M.T.; Evans, J.R.; Moore, A.D. Using a mathematical framework to examine physiological changes in winter wheat after livestock grazing: 2. Model validation and effects of grazing management. Field Crop. Res. 2012, 136, 127–137. [Google Scholar] [CrossRef]
- Liu, K.; Harrison, M.T.; Shabala, S.; Meinke, H.; Ahmed, I.; Zhang, Y.; Tian, X.; Zhou, M. The state of the art in modeling waterlogging impacts on plants: What do we know and what do we need to know. Earths Future 2020, 8, e2020EF001801. [Google Scholar] [CrossRef]
- Ho, C.K.M.; Jackson, T.; Harrison, M.T.; Eckard, R.J. Increasing ewe genetic fecundity improves whole-farm production and reduces greenhouse gas emissions intensities: 2. Economic performance. Anim. Prod. Sci. 2014, 54, 1248–1253. [Google Scholar] [CrossRef]
- Langworthy, A.D.; Rawnsley, R.P.; Freeman, M.J.; Pembleton, K.G.; Corkrey, R.; Harrison, M.T.; Lane, P.A.; Henry, D.A. Potential of summer-active temperate (C3) perennial forages to mitigate the detrimental effects of supraoptimal temperatures on summer home-grown feed production in south-eastern Australian dairying regions. Crop Pasture Sci. 2018, 69, 808–820. [Google Scholar] [CrossRef]
- Bell, L.W.; Harrison, M.T.; Kirkegaard, J.A. Dual-purpose cropping—Capitalising on potential grain crop grazing to enhance mixed-farming profitability. Crop Pasture Sci. 2015, 66, I–IV. [Google Scholar] [CrossRef]
- Ibrahim, A.; Harrison, M.; Meinke, H.; Fan, Y.; Johnson, P.; Zhou, M. A regulator of early flowering in barley (Hordeum vulgare L.). PLoS ONE 2018, 13, e0200722. [Google Scholar] [CrossRef]
- Fleming, A.; O’Grady, A.P.; Stitzlein, C.; Ogilvy, S.; Mendham, D.; Harrison, M.T. Improving acceptance of natural capital accounting in land use decision making: Barriers and opportunities. Ecol. Econ. 2022, 200, 107510. [Google Scholar] [CrossRef]
- Farina, R.; Sándor, R.; Abdalla, M.; Álvaro-Fuentes, J.; Bechini, L.; Bolinder, M.A.; Brilli, L.; Chenu, C.; Clivot, H.; De Antoni Migliorati, M.; et al. Ensemble modelling, uncertainty and robust predictions of organic carbon in long-term bare-fallow soils. Glob. Chang. Biol. 2021, 27, 904–928. [Google Scholar] [CrossRef] [PubMed]
- Rezaei-Chiyaneh, E.; Mahdavikia, H.; Subramanian, S.; Alipour, H.; Siddique, K.H.M.; Smith, D.L. Co-inoculation of phosphate-solubilizing bacteria and mycorrhizal fungi: Effect on seed yield, physiological variables, and fixed oil and essential oil productivity of ajowan (Carum copticum L.) under water deficit. J. Soil Sci. Plant Nutr. 2021, 21, 3159–3179. [Google Scholar] [CrossRef]
- Christie, K.M.; Smith, A.P.; Rawnsley, R.P.; Harrison, M.T.; Eckard, R.J. Simulated seasonal responses of grazed dairy pastures to nitrogen fertilizer in SE Australia: N loss and recovery. Agric. Syst. 2020, 182, 102847. [Google Scholar] [CrossRef]
- Ibrahim, A.; Harrison, M.T.; Meinke, H.; Zhou, M. Examining the yield potential of barley near-isogenic lines using a genotype by environment by management analysis. Eur. J. Agron. 2019, 105, 41–51. [Google Scholar] [CrossRef]
- Rawnsley, R.P.; Smith, A.P.; Christie, K.M.; Harrison, M.T.; Eckard, R.J. Current and future direction of nitrogen fertiliser use in Australian grazing systems. Crop Pasture Sci. 2019, 70, 1034–1043. [Google Scholar] [CrossRef]
- Rezaei-Chiyaneh, E.; Amirnia, R.; Fotohi Chiyaneh, S.; Maggi, F.; Barin, M.; Razavi, B.S. Improvement of dragonhead (Dracocephalum moldavica L.) yield quality through a coupled intercropping system and vermicompost application along with maintenance of soil microbial activity. Land Degrad. Dev. 2021, 32, 2833–2848. [Google Scholar] [CrossRef]
- Phelan, D.C.; Harrison, M.T.; Kemmerer, E.P.; Parsons, D. Management opportunities for boosting productivity of cool-temperate grazed dairy farms under climate change. Agric. Syst. 2015, 138, 46–54. [Google Scholar] [CrossRef]
- Liu, K.; Harrison, M.T.; Hunt, J.; Angessa, T.T.; Meinke, H.; Li, C.; Tian, X.; Zhou, M. Identifying optimal sowing and flowering periods for barley in Australia: A modelling approach. Agric. For. Meteorol. 2020, 282–283, 107871. [Google Scholar] [CrossRef]
- Amani Machiani, M.; Javanmard, A.; Morshedloo, M.R.; Aghaee, A.; Maggi, F. Funneliformis mosseae inoculation under water deficit stress improves the yield and phytochemical characteristics of thyme in intercropping with soybean. Sci. Rep. 2021, 11, 15279. [Google Scholar] [CrossRef]
- Rezaei-Chiyaneh, E.; Amani Machiani, M.; Javanmard, A.; Maggi, F.; Morshedloo, M.R. Vermicompost application in different intercropping patterns improves the mineral nutrient uptake and essential oil compositions of sweet basil (Ocimum basilicum L.). J. Soil Sci. Plant Nutr. 2020, 21, 450–466. [Google Scholar] [CrossRef]
- Rezaei-Chiyaneh, E.; Battaglia, M.L.; Sadeghpour, A.; Shokrani, F.; Nasab, A.D.M.; Raza, M.A.; von Cossel, M. Optimizing intercropping systems of black cumin (Nigella sativa L.) and fenugreek (Trigonella foenum-graecum L.) through inoculation with bacteria and mycorrhizal fungi. Adv. Sustain. Syst. 2021, 5, 2000069. [Google Scholar] [CrossRef]
- Fotohi Chiyaneh, S.; Rezaei-Chiyaneh, E.; Amirnia, R.; Keshavarz Afshar, R.; Siddique, K.H.M. Changes in the essential oil, fixed oil constituents, and phenolic compounds of ajowan and fenugreek in intercropping with pea affected by fertilizer sources. Ind. Crop. Prod. 2022, 178, 114587. [Google Scholar] [CrossRef]
- Bouyahya, A.; Chamkhi, I.; Benali, T.; Guaouguaou, F.E.; Balahbib, A.; El Omari, N.; Taha, D.; Belmehdi, O.; Ghokhan, Z.; El Menyiy, N. Traditional use, phytochemistry, toxicology, and pharmacology of Origanum majorana L. J. Ethnopharmacol. 2021, 265, 113318. [Google Scholar] [CrossRef]
- Bina, F.; Rahimi, R. Sweet Marjoram: A review of ethnopharmacology, phytochemistry, and biological activities. J. Evid. Based. Complementary Altern. Med. 2017, 22, 175–185. [Google Scholar] [CrossRef] [PubMed]
- Yasar, S.; Nizamlloǧlu, N.M.; Gücüş, M.O.; Bildik Dal, A.E.; Akgül, K. Origanum majorana L. essential oil-coated paper acts as an antimicrobial and antioxidant agent against meat spoilage. ACS Omega. 2022, 7, 9033–9043. [Google Scholar] [CrossRef]
- Verma, R.S.; Padalia, R.C.; Chauhan, A.; Verma, R.K.; ur Rahman, L.; Singh, A. Changes in the essential oil composition of Origanum majorana L. during post harvest drying. J. Essent. Oil-Bearing Plants. 2016, 19, 1547–1552. [Google Scholar] [CrossRef]
- Ullah, R.; Ullah, Z.; Al-Deyab, S.S.; Adnan, M.; Tariq, A. Nutritional assessment and antioxidant activities of different varieties of Vigna radiata. Sci. World J. 2014, 2014, 871753. [Google Scholar] [CrossRef]
- Yi-Shen, Z.; Shuai, S.; Fitzgerald, R. Mung bean proteins and peptides: Nutritional, functional and bioactive properties. Food Nutr. Res. 2018, 62, 1290. [Google Scholar] [CrossRef]
- Taylor, C.A.; Harrison, M.T.; Telfer, M.; Eckard, R. Modelled greenhouse gas emissions from beef cattle grazing irrigated leucaena in northern Australia. Anim. Prod. Sci. 2016, 56, 594–604. [Google Scholar] [CrossRef]
- Nie, J.; Zhou, J.; Zhao, J.; Wang, X.; Liu, K.; Wang, P.; Wang, S.; Yang, L.; Zang, H.; Harrison, M.T.; et al. Soybean crops penalize subsequent wheat yield during drought in the North China Plain. Front. Plant Sci. 2022, 13, 947132. [Google Scholar] [CrossRef]
- Phelan, D.C.; Harrison, M.T.; McLean, G.; Cox, H.; Pembleton, K.G.; Dean, G.J.; Parsons, D.; do Amaral Richter, M.E.; Pengilley, G.; Hinton, S.J.; et al. Advancing a farmer decision support tool for agronomic decisions on rainfed and irrigated wheat cropping in Tasmania. Agric. Syst. 2018, 167, 113–124. [Google Scholar] [CrossRef]
- Simmons, A.; Cowie, A.; Wilson, B.; Farrell, M.; Harrison, M.T.; Grace, P.; Eckard, R.; Wong, V.; Badgery, W. US scheme used by Australian farmers reveals the dangers of trading soil carbon to tackle climate change. The Conversation, 26 June 2021; 145037. [Google Scholar]
- Bilotto, F.; Harrison, M.T.; Migliorati, M.D.A.; Christie, K.M.; Rowlings, D.W.; Grace, P.R.; Smith, A.P.; Rawnsley, R.P.; Thorburn, P.J.; Eckard, R.J. Can seasonal soil N mineralisation trends be leveraged to enhance pasture growth? Sci. Total Environ. 2021, 772, 145031. [Google Scholar] [CrossRef]
- Henry, B.; Dalal, R.; Harrison, M.T.; Keating, B. Creating frameworks to foster soil carbon sequestration. In Burleigh Dodds Series in Agricultural Science; BDS Publishing: Oxford, UK, 2022. [Google Scholar]
- Rezaei-Chiyaneh, E.; Amirnia, R.; Amani Machiani, M.; Javanmard, A.; Maggi, F.; Morshedloo, M.R. Intercropping fennel (Foeniculum vulgare L.) with common beans (Phaseolus vulgaris L.) as affected by PGPR inoculation: A strategy for improving yield, essential oil and fatty acid composition. Sci. Hortic. 2020, 261, 108951. [Google Scholar] [CrossRef]
- Zamani, F.; Amirnia, R.; Rezaei-Chiyaneh, E.; Gheshlaghi, M.; von Cossel, M.; Siddique, K.H.M. Optimizing essential oil, fatty acid profiles, and phenolic compounds of dragon’s head (Lallemantia iberica) intercropped with chickpea (Cicer arietinum L.) with biofertilizer inoculation under rainfed conditions in a semi-arid region. Arch. Agron. Soil Sci. 2022, 1–8. [Google Scholar] [CrossRef]
- Rezaei-Chiyaneh, E.; Jalilian, J.; Seyyedi, S.M.; Barin, M.; Ebrahimian, E.; Keshavarz Afshar, R. Isabgol (Plantago ovata) and lentil (Lens culinaris) intercrop response to arbuscular mycorrhizal fungi inoculation. Biol. Agric. Hortic. 2021, 37, 125–140. [Google Scholar] [CrossRef]
- Begum, N.; Qin, C.; Ahanger, M.A.; Raza, S.; Khan, M.I.; Ashraf, M.; Ahmed, N.; Zhang, L. Role of Arbuscular Mycorrhizal Fungi in Plant Growth Regulation: Implications in Abiotic Stress Tolerance. Front. Plant Sci. 2019, 10, 1068. [Google Scholar] [CrossRef]
- Zhao, Y.; Cartabia, A.; Lalaymia, I.; Declerck, S. Arbuscular mycorrhizal fungi and production of secondary metabolites in medicinal plants. Mycorrhiza. 2022, 32, 221–256. [Google Scholar] [CrossRef]
- Singh, R.K.; Singh, P.; Li, H.B.; Song, Q.Q.; Guo, D.J.; Solanki, M.K.; Verma, K.K.; Malviya, M.K.; Song, X.P.; Lakshmanan, P.; et al. Diversity of nitrogen-fixing rhizobacteria associated with sugarcane: A comprehensive study of plant-microbe interactions for growth enhancement in Saccharum spp. BMC Plant Biol. 2020, 20, 220. [Google Scholar] [CrossRef]
- Alori, E.T.; Glick, B.R.; Babalola, O.O. Microbial phosphorus solubilization and its potential for use in sustainable agriculture. Front. Microbiol. 2017, 8, 971. [Google Scholar] [CrossRef]
- Lee, S.Y.; Kim, E.G.; Park, J.R.; Ryu, Y.H.; Moon, W.; Park, G.H.; Ubaidillah, M.; Ryu, S.N.; Kim, K.M. Effect on chemical and physical properties of soil each peat moss, elemental sulfur, and sulfur-oxidizing bacteria. Plants 2021, 10, 1901. [Google Scholar] [CrossRef]
- Strzemski, M.; Dzida, K.; Dresler, S.; Sowa, I.; Kurzepa, J.; Szymczak, G.; Wójciak, M. Nitrogen fertilisation decreases the yield of bioactive compounds in Carlina acaulis L. grown in the field. Ind. Crop. Prod. 2021, 170, 113698. [Google Scholar] [CrossRef]
- Namazi, Y.; Rezaei-Chiyaneh, E.; Moghaddam, S.S.; Battaglia, M.L. The effects of microbial inoculation and intercropping on yield and active ingredients of savory (Satureja hortensis L.) intercropped with common bean (Phaseolus vulgaris L.). Int. J. Environ. Sci. Technol. 2022, 19, 8273–8288. [Google Scholar] [CrossRef]
- Muñoz-Huerta, R.F.; Guevara-Gonzalez, R.G.; Contreras-Medina, L.M.; Torres-Pacheco, I.; Prado-Olivarez, J.; Ocampo-Velazquez, R.V. A review of methods for sensing the nitrogen status in plants: Advantages, disadvantages and recent. Adv. Sens. 2013, 13, 10823–10843. [Google Scholar] [CrossRef]
- Jones, J.B.; Mortvedt, J.J. Micronutrients in Agriculture; Soil Science Society America: Madison, WI, USA, 1972. [Google Scholar]
- Tandon, H.L.S.; Cescas, M.P.; Tyner, E.H. An acid-free vanadate-molybdate reagent for the determination of total phosphorus in soils. Soil Sci. Soc. Am. J. 1968, 32, 48–51. [Google Scholar] [CrossRef]
- Zhao, X.; Dong, Q.; Han, Y.; Zhang, K.; Shi, X.; Yang, X.; Yuan, Y.; Zhou, D.; Wang, K.; Wang, X.; et al. Maize/peanut intercropping improves nutrient uptake of side-row maize and system microbial community diversity. BMC Microbiol. 2022, 22, 14. [Google Scholar] [CrossRef] [PubMed]
- Fan, Y.; Wang, Z.; Liao, D.; Raza, M.A.; Wang, B.; Zhang, J.; Chen, J.; Feng, L.; Wu, X.; Liu, C.; et al. Uptake and utilization of nitrogen, phosphorus and potassium as related to yield advantage in maize-soybean intercropping under different row configurations. Sci. Rep. 2020, 10, 9504. [Google Scholar] [CrossRef] [PubMed]
- Mitter, E.K.; Tosi, M.; Obregón, D.; Dunfield, K.E.; Germida, J.J. Rethinking Crop Nutrition in Times of Modern Microbiology: Innovative Biofertilizer Technologies. Front. Sustain. Food Syst. 2021, 5, 606815. [Google Scholar] [CrossRef]
- Battini, F.; Grønlund, M.; Agnolucci, M.; Giovannetti, M.; Jakobsen, I. Facilitation of phosphorus uptake in maize plants by mycorrhizosphere bacteria article. Sci. Rep. 2017, 7, 4686. [Google Scholar] [CrossRef]
- Amani Machiani, M.; Javanmard, A.; Morshedloo, M.R.; Janmohammadi, M.; Maggi, F. Funneliformis mosseae Application improves the oil quantity and quality and eco-physiological characteristics of soybean (Glycine max L.) under water stress conditions. J. Soil Sci. Plant Nutr. 2021, 21, 3076–3090. [Google Scholar] [CrossRef]
- Faridvand, S.; Rezaei-Chiyaneh, E.; Battaglia, M.L.; Gitari, H.I.; Raza, M.A.; Siddique, K.H.M. Application of bio and chemical fertilizers improves yield, and essential oil quantity and quality of moldavian balm (Dracocephalum Moldavica L.) Intercropped with mung bean (Vigna Radiata L.). Food Energy Secur. 2022, 11, e319. [Google Scholar] [CrossRef]
- Htwe, A.Z.; Moh, S.M.; Soe, K.M.; Moe, K.; Yamakawa, T. Effects of biofertilizer produced from bradyrhizobium and strepto-myces griseoflavus on plant growth, nodulation, nitrogen fixation, nutrient uptake, and seed yield of mung bean, cowpea, and soybean. Agronomy 2019, 9, 77. [Google Scholar] [CrossRef]
- Rostaei, M.; Fallah, S.; Lorigooini, Z.; Abbasi Surki, A. The effect of organic manure and chemical fertilizer on essential oil, chemical compositions and antioxidant activity of dill (Anethum graveolens) in sole and intercropped with soybean (Glycine max). J. Clean. Prod. 2018, 199, 18–26. [Google Scholar] [CrossRef]
- da Cruz, R.M.S.; da Cruz, G.L.S.; Dragunski, D.C.; Junior, A.C.G.; Alberton, O.; de Souza, S.G.H. Inoculation with arbuscular mycorrhizal fungi alters content and composition of essential oil of sage (Salvia officinalis) under different phosphorous levels. Aust. J. Crop Sci. 2019, 13, 1617–1624. [Google Scholar] [CrossRef]
Publisher’s Note: MDPI stays neutral with regard to jurisdictional claims in published maps and institutional affiliations. |
© 2022 by the authors. Licensee MDPI, Basel, Switzerland. This article is an open access article distributed under the terms and conditions of the Creative Commons Attribution (CC BY) license (https://creativecommons.org/licenses/by/4.0/).







