Soil Organic Carbon Storage in Australian Wheat Cropping Systems in Response to Climate Change from 1990 to 2060
Abstract
1. Introduction
2. Materials and Methods
2.1. Study Area and Crop Data
2.2. Model Parameterization
2.3. Climate Database
2.4. Soil Database
2.5. Scenarios Simulation Setting
2.6. Accuracy and Uncertainty
2.6.1. Simulation Accuracy Assessment
2.6.2. Sensitivity Analysis
3. Results
3.1. Simulation Performance Based on 1990–2000 Observations
3.2. Change in SOC from 1990–2060 with Common Practice
3.3. Scenarios Simulation
4. Discussion
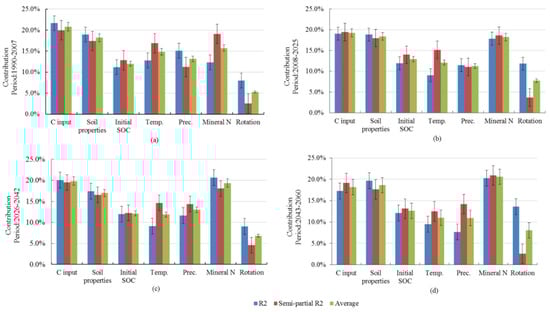
4.1. Impacts of Climate Factors Change on SOC
4.2. Effects of N-Fertilizer Rate on SOC
4.3. Effects of Rotation on SOC
5. Conclusions
- (1)
- It is predicted that there will be an increase in the average temperature and average precipitation in the Australian wheat cropping system from 1990–2060, under the RCP 85 climate change scenario.
- (2)
- The DNDC model indicated good performance when simulating the biogeochemical processes of the Australian wheat cropping system. The NRMSE of the wheat yield simulation was 15.16%, and for SOC was 13.21%.
- (3)
- In this scenario, the SOC (0–30 cm) in Australia’s three wheat cropping systems will decrease to 2848.0 kg C/ha on average by 2060, decreasing at an average rate of 0.4% per year from 1990 onwards.
- (4)
- The most influential variables on SOC change rate were the average C input amount (20%), mineral N (19%), soil properties (18%), temperature (13%), and precipitation (12%).
- (5)
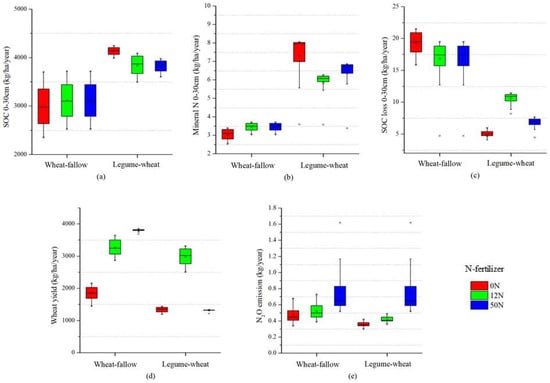
- Compared to continuous wheat cropping, adding a legume phase can increase SOC and wheat yield in the low N-fertilizer scenario. However, adding a legume phase in the adequate N-fertilizer scenario will decrease SOC and wheat yield.
Author Contributions
Funding
Data Availability Statement
Conflicts of Interest
References
- Fleming, A.; Howden, S. Ambiguity: A new way of thinking about responses to climate change. Sci. Total Environ. 2016, 571, 1271–1274. [Google Scholar] [CrossRef]
- Teixeira, E.I.; de Ruiter, J.; Ausseil, A.-G.; Daigneault, A.; Johnstone, P.; Holmes, A.; Tait, A.; Ewert, F. Adapting crop rotations to climate change in regional impact modelling assessments. Sci. Total Environ. 2018, 616–617, 785–795. [Google Scholar] [CrossRef] [PubMed]
- Luo, Z.; Feng, W.; Luo, Y.; Baldock, J.; Wang, E. Soil organic carbon dynamics jointly controlled by climate, carbon inputs, soil properties and soil carbon fractions. Glob. Chang. Biol. 2017, 23, 4430–4439. [Google Scholar] [CrossRef] [PubMed]
- Hillel, D.; Rosenzweig, C. The Role of Soils in Climate Change. In Handbook of Climate Change and Agroecosystems: Impacts, Adaptation, and Mitigation; Imperial College Press: London, UK, 2014; pp. 11–13. [Google Scholar]
- Luo, Z.; Wang, E.; Baldock, J.; Xing, H. Potential soil organic carbon stock and its uncertainty under various cropping systems in Australian cropland. Soil Res. 2014, 52, 463–475. [Google Scholar] [CrossRef]
- Hoyle, F.C.; Baldock, J.A.; Murphy, D.V. Soil Organic Carbon–Role in Rainfed Farming Systems; Springer: Dordrecht, The Netherlands, 2011; p. 11. [Google Scholar]
- Smith, P.; Martino, D.; Cai, Z.; Gwary, D.; Smith, J. Greenhouse gas mitigation in agriculture. Philos. Trans. R. Soc. B-Biol. Sci. 2008, 363, 789–813. [Google Scholar] [CrossRef]
- Stockmanna, U.; Adamsa, M.A.; Crawforda, J.W.; Henakaarchchia, D.; Jenkinsa, M.; Minasnya, B.; Mcbratneya, A.B.; Courcellesa, V.; Singha, K. The knowns, known unknowns and unknowns of sequestration of soil organic carbon. Agric. Ecosyst. Environ. 2013, 164, 80–89. [Google Scholar] [CrossRef]
- Saxton, K.E.; Rawls, W.J. Soil Water Characteristic Estimates by Texture and Organic Matter for Hydrologic Solutions. Soil Sci. Soc. Am. J. 2006, 70, 0117. [Google Scholar] [CrossRef]
- Crowther, T.W.; Todd-Brown, K.E.O.; Rowe, C.W.; Wieder, W.R.; Carey, J.C.; Machmuller, M.B.; Snoek, B.L.; Fang, S.; Zhou, G.; Allison, S.D.; et al. Quantifying global soil carbon losses in response to warming. Nature 2016, 540, 104–108. [Google Scholar] [CrossRef]
- Rabot, E.; Wiesmeier, M.; Schlüter, S.; Vogel, H.-J. Soil structure as an indicator of soil functions: A review. Geoderma 2018, 314, 122–137. [Google Scholar] [CrossRef]
- Davidson, E.A.; Janssens, I.A. Temperature sensitivity of soil carbon decomposition and feedbacks to climate change. Nature 2006, 440, 165–173. [Google Scholar] [CrossRef]
- Saint-Laurent, D.; Arsenault-Boucher, L. Soil properties and rate of organic matter decomposition in riparian woodlands using the TBI protocol. Geoderma 2019, 358, 113976. [Google Scholar] [CrossRef]
- Hou, R.-J.; Li, T.-X.; Fu, Q.; Liu, D.; Li, M.; Zhou, Z.-Q.; Yan, J.-W.; Zhang, S. Research on the distribution of soil water, heat, salt and their response mechanisms under freezing conditions. Soil Tillage Res. 2020, 196, 104486. [Google Scholar] [CrossRef]
- West, T.O.; Post, W.M. Soil organic carbon sequestration rates by tillage and crop rotation: A global data analysis. Soil Sci. Soc. Am. 2002, 66, 1930–1946. [Google Scholar] [CrossRef]
- Von Lützow, M.; Kögel-Knabner, I.; Ekschmitt, K.; Matzner, E.; Flessa, H. Stabilization of organic matter in temperate soils: Mechanisms and their relevance under different soil conditions—A review. Eur. J. Soil Sci. 2010, 57, 426–445. [Google Scholar] [CrossRef]
- Jobbágy, E.G.; Jackson, R.B. The Vertical Distribution of Soil Organic Carbon and Its Relation to Climate and Vegetation. Ecol. Appl. 2000, 10, 423–436. [Google Scholar] [CrossRef]
- Ferreira, A.D.O.; Sá, J.C.D.M.; Lal, R.; Tivet, F.; Briedis, C.; Inagaki, T.M.; Gonçalves, D.R.P.; Romaniw, J. Macroaggregation and soil organic carbon restoration in a highly weathered Brazilian Oxisol after two decades under no-till. Sci. Total Environ. 2017, 621, 1559–1567. [Google Scholar] [CrossRef]
- Capalbo, S.M.; Antle, J.M.; Seavert, C. Next generation data systems and knowledge products to support agricultural producers and science-based policy decision making. Agric. Syst. 2017, 155, 191–199. [Google Scholar] [CrossRef]
- Li, C.; Frolking, S.; Crocker, G.J.; Grace, P.R.; Klír, J.; Körchens, M.; Poulton, P.R. Simulating trends in soil organic carbon in long-term experiments using the DNDC model. Geoderma 1997, 81, 45–60. [Google Scholar] [CrossRef]
- Xie, Z.; Zhu, J.; Liu, G.; Cadisch, G.; Hasegawa, T.; Chen, C.; Sun, H.; Tang, H.; Zeng, Q. Soil organic carbon stocks in China and changes from 1980s to 2000s. Glob. Chang. Biol. 2007, 13, 1989–2007. [Google Scholar] [CrossRef]
- Khalil, M.I.; Fornara, D.A.; Osborne, B. Simulation and validation of long-term changes in soil organic carbon under permanent grassland using the DNDC model. Geoderma 2019, 361, 114014. [Google Scholar] [CrossRef]
- Steinbeiss, S.; Gleixner, G.; Antonietti, M. Effect of biochar amendment on soil carbon balance and soil microbial activity. Soil Biol. Biochem. 2009, 41, 1301–1310. [Google Scholar] [CrossRef]
- Abdalla, M.; Wattenbach, M.; Smith, P.; Ambus, P.; Jones, M.; Williams, M. Application of the DNDC model to predict emissions of N2O from Irish agriculture. Geoderma 2009, 151, 327–337. [Google Scholar] [CrossRef]
- Cai, Z.; Sawamoto, T.; Li, C.; Kang, G.; Boonjawat, J.; Mosier, A.; Wassmann, R.; Tsuruta, H. Field validation of the DNDC model for greenhouse gas emissions in East Asian cropping systems. Glob. Biogeochem. Cycles 2003, 17, 1107. [Google Scholar] [CrossRef]
- Li, C.; Frolking, S.; Frolking, T.A. A model of nitrous oxide evolution from soil driven by rainfall events: 1. Model structure and sensitivity. J. Geophys. Res. Earth Surf. 1992, 97, 9759–9776. [Google Scholar] [CrossRef]
- Gao, M.; Li, Z.-L.; Liu, S.; Gao, Y.; Leng, P.; Duan, S. Drought loss assessment combining remote sensing and a crop growth model for maize in Yunnan Province, China. Int. J. Remote Sens. 2018, 40, 2151–2165. [Google Scholar] [CrossRef]
- Ali, S.; Schwenke, G.D.; Peoples, M.B.; Scott, J.F.; Herridge, D.F. Nitrogen, Yield and Economic Benefits of Summer Legumes for Wheat Production in Rainfed Northern Pakistan. J. Agron. 2002, 1, 15–19. [Google Scholar] [CrossRef]
- Anderson, G.C.; Peverill, K.I.; Brennan, R.F. Soil sulfur-crop response calibration relationships and criteria for field crops grown in Australia. Crop Pasture Sci. 2013, 64, 523–534. [Google Scholar] [CrossRef]
- Kariyapperuma, K.A.; Wagner-Riddle, C.; Furon, A.C.; Li, C. Assessing Spring Thaw Nitrous Oxide Fluxes Simulated by the DNDC Model for Agricultural Soils. Soil Sci. Soc. Am. J. 2011, 75, 678–690. [Google Scholar] [CrossRef]
- Mu, L.; Liang, Y.; Xue, Q.; Chen, C.; Lin, X. Using the DNDC model to compare soil organic carbon dynamics under different crop rotation and fertilizer strategies. Span. J. Agric. Res. 2014, 12, 265. [Google Scholar] [CrossRef]
- Zhao, X.; Hu, K.; Stahra, K. Simulation of SOC content and storage under different irrigation, fertilization and tillage conditions using EPIC model in the North China Plain. Soil Tillage Res. 2013, 2, 128–135. [Google Scholar] [CrossRef]
- Fick, S.E.; Hijmans, R.J. WorldClim 2: New 1-km spatial resolution climate surfaces for global land areas. Int. J. Climatol. 2017, 37, 4302–4315. [Google Scholar] [CrossRef]
- Lang, C.; Fettweis, X.; Erpicum, M. Future climate and surface mass balance of Svalbard glaciers in an RCP8.5 climate scenario: A study with the regional climate model MAR forced by MIROC5. Cryosphere 2015, 9, 945–956. [Google Scholar] [CrossRef]
- Qin, Y.; Wang, C.; Zhao, Z.; Pan, X.; Li, Z. Climate change impacts on the global potential geographical distribution of the agri-cultural invasive pest, Bactrocera dorsalis (Hendel) (Diptera: Tephritidae). Clim. Chang. 2019, 155, 145–156. [Google Scholar] [CrossRef]
- Bellenger, H.; Guilyardi, E.; Leloup, J.; Lengaigne, M.; Vialard, J. ENSO representation in climate models: From CMIP3 to CMIP5. Clim. Dyn. 2013, 42, 1999–2018. [Google Scholar] [CrossRef]
- Wang, C.; Zhang, L.; Lee, S.-K.; Wu, L.; Mechoso, C.R. A global perspective on CMIP5 climate model biases. Nat. Clim. Chang. 2014, 4, 201–205. [Google Scholar] [CrossRef]
- Godde, C.M.; Thorburn, P.J.; Biggs, J.S.; Meier, E.A. Understanding the Impacts of Soil, Climate, and Farming Practices on Soil Organic Carbon Sequestration: A Simulation Study in Australia. Front. Plant Sci. 2016, 7, 661. [Google Scholar] [CrossRef]
- Muschietti-Piana, P.; McBeath, T.M.; McNeill, A.M.; Cipriotti, P.A.; Gupta, V.V.S.R. Combined nitrogen input from legume residues and fertilizer improves early nitrogen supply and uptake by wheat. J. Plant Nutr. Soil Sci. 2020, 183, 355–366. [Google Scholar] [CrossRef]
- Chen, F.; Wang, J.; Jin, L.; Zhang, Q.; Li, J.; Chen, J. Rapid warming in mid-latitude central Asia for the past 100 years. Front. Earth Sci. China 2009, 3, 42–50. [Google Scholar] [CrossRef]
- Burke, I.C.; Yonker, C.M.; Parton, W.J.; Cole, C.V.; Schimel, D.S. Texture, climate, and cultivation effects on soil organic matter content in US grassland soils. Soil Sci. Soc. Am. J. 1989, 53, 800–805. [Google Scholar] [CrossRef]
- Schjønning, P.; Thomsen, I.K.; Moldrup, P.; Christensen, B.T. Linking Soil Microbial Activity to Water- and Air-Phase Contents and Diffusivities. Soil Sci. Soc. Am. J. 2003, 67, 156–165. [Google Scholar] [CrossRef]
- Dalal, R.C.; Strong, W.M.; Weston, E.J.; Cooper, J.E.; Wildermuth, G.B.; Lehane, K.J.; King, A.J.; Holmes, C.J. Sustaining productivity of a Vertisol at Warra, Queensland, with fertilisers, no-tillage, or legumes. 5. Wheat yields, nitrogen benefits and water-use ef-ficiency of chickpea-wheat rotation. Aust. J. Exp. Agric. 1998, 38, 489–501. [Google Scholar] [CrossRef]
- Yao, Z.; Zhang, D.; Yao, P.; Zhao, N.; Li, Y.; Zhang, S.; Zhai, B.; Huang, D.; Ma, A.; Zuo, Y.; et al. Optimizing the synthetic nitrogen rate to balance residual nitrate and crop yield in a leguminous green-manured wheat cropping system. Sci. Total Environ. 2018, 631–632, 1234–1242. [Google Scholar] [CrossRef]







| Items | Unit | |
|---|---|---|
| Climate | Daily max temperature | °C |
| Daily min temperature | °C | |
| Daily precipitation | mm | |
| Soil | Texture | - |
| pH | - | |
| Bulk density | g/cm3 | |
| Field capacity | g/kg | |
| Wilting point | g/kg | |
| Clay fraction | % | |
| Initial SOC content | kg/kg | |
| Crop | Max biomass production | kg C/ha/year |
| Biomass fraction (Grain/Leaf/Stem/Root) | % | |
| Biomass C/N ratio (Grain/Leaf/Stem/Root) | % | |
| Annual N demand | kg C/ha/year | |
| Thermal degree days for maturity | °C | |
| Water demand | g water/g DM | |
| N fixation index | - | |
| Optimum temperature | °C | |
| Management | Duration of vegetation period | day |
| Fertilization | kg N/ha | |
| Straw return rate | % |
| Site ID | Texture | pH | Bulk Density (g/cm3) | Clay (%) |
|---|---|---|---|---|
| 1 | Chromosol | 5.5 | 1.44 | 18 |
| 2 | Tenosol | 5.1 | 1.44 | 11 |
| 3 | Vertosol | 6.5 | 1.60 | 30 |
| 4 | Kandosol | 5.2 | 1.23 | 27 |
| 5 | Kandosol | 5.8 | 1.42 | 22 |
| 6 | Sodosol | 6.4 | 1.44 | 16 |
| 7 | Chromosol | 5.9 | 1.00 | 23 |
| 8 | Kandosol | 5.9 | 1.49 | 17 |
| 9 | Chromosol | 7.3 | 1.44 | 35 |
| 10 | Vertosol | 6.8 | 1.27 | 52 |
| 11 | Vertosol | 6.7 | 1.24 | 57 |
| 12 | Kandosol | 5.9 | 1.43 | 12 |
| 13 | Vertosol | 6.5 | 1.60 | 30 |
| 14 | Calcarosol | 7.4 | 1.42 | 12 |
| 15 | Calcarosol | 8.0 | 1.39 | 24 |
| 16 | Calcarosol | 7.7 | 1.41 | 15 |
| 17 | Calcarosol | 7.4 | 1.42 | 12 |
| 18 | Dermosol | 7.3 | 1.42 | 36 |
| 19 | Sodosol | 5.2 | 1.40 | 15 |
| Rotation | N-Fertilizer (Wheat, kg/ha) | N-Fertilizer (Legume, kg/ha) | Climate Scenario | |
|---|---|---|---|---|
| Scenario Ⅰ | wheat–fallow | 0 | - | RCP85 |
| Scenario Ⅱ | wheat–fallow | 12 | - | RCP85 |
| Scenario Ⅲ | wheat–fallow | 50 | - | RCP85 |
| Scenario Ⅳ | legume–wheat | 0 | 0 | RCP85 |
| Scenario Ⅴ | legume–wheat | 12 | 0 | RCP85 |
| Scenario Ⅵ | legume–wheat | 50 | 0 | RCP85 |
| Scenario Ⅰ | Scenario Ⅱ | Scenario Ⅲ | Scenario Ⅳ | Scenario Ⅴ | Scenario Ⅵ | |
|---|---|---|---|---|---|---|
| N-fertilizer (wheat, kg N/ha) | 0 | 12 | 50 | 0 | 12 | 50 |
| Rotation | wheat–fallow | wheat–fallow | wheat–fallow | legume–wheat | legume–wheat | legume–wheat |
| Initial SOC of 19 sites (kg/ha) | 1.1 ± 0.3 | 1.1 ± 0.3 | 1.1 ± 0.3 | 1.1 ± 0.3 | 1.1 ± 0.3 | 1.1 ± 0.3 |
| Sum of mineral N (0–30 cm, kg/ha) at the start of 1990 | 3.3 | 3.4 | 3.4 | 3.6 | 3.58 | 3.4 |
| Sum of mineral N (0–30 cm, kg/ha) at the end of 2060 | 2.5 | 3.0 | 3.1 | 7.9 | 6.7 | 5.9 |
| SOC 0–30 cm at the start of 1990 (kg/ha) | 3705.4 | 3711.7 | 3721.6 | 3771.3 | 3976.7 | 3989.8 |
| SOC 0–30 cm at the end of 2060 (kg/ha) | 2354.1 | 2528.5 | 2528.4 | 3605.5 | 3496.0 | 3491.4 |
| SOC decrease amount (kg/ha) | 1351.3 | 1183.2 | 1193.2 | 165.8 | 480.7 | 498.4 |
Publisher’s Note: MDPI stays neutral with regard to jurisdictional claims in published maps and institutional affiliations. |
© 2022 by the authors. Licensee MDPI, Basel, Switzerland. This article is an open access article distributed under the terms and conditions of the Creative Commons Attribution (CC BY) license (https://creativecommons.org/licenses/by/4.0/).
Share and Cite
Li, Q.; Gao, M.; Li, Z.-L. Soil Organic Carbon Storage in Australian Wheat Cropping Systems in Response to Climate Change from 1990 to 2060. Land 2022, 11, 1683. https://doi.org/10.3390/land11101683
Li Q, Gao M, Li Z-L. Soil Organic Carbon Storage in Australian Wheat Cropping Systems in Response to Climate Change from 1990 to 2060. Land. 2022; 11(10):1683. https://doi.org/10.3390/land11101683
Chicago/Turabian StyleLi, Qiang, Maofang Gao, and Zhao-Liang Li. 2022. "Soil Organic Carbon Storage in Australian Wheat Cropping Systems in Response to Climate Change from 1990 to 2060" Land 11, no. 10: 1683. https://doi.org/10.3390/land11101683
APA StyleLi, Q., Gao, M., & Li, Z.-L. (2022). Soil Organic Carbon Storage in Australian Wheat Cropping Systems in Response to Climate Change from 1990 to 2060. Land, 11(10), 1683. https://doi.org/10.3390/land11101683

