Tourism Effect on the Spatiotemporal Pattern of Land Surface Temperature (LST): Babolsar and Fereydonkenar Cities (Cases Study in Iran)
Abstract
:1. Introduction
2. Materials and Methods
2.1. Study Area
2.2. Data and Methods
3. Results
3.1. Land Use Changes in the Study Area
3.2. The Impact of Land Use Changes on LST Changes
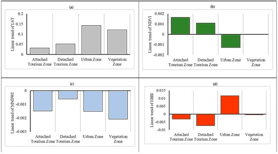
3.3. The Impact of Tourism Spatial Changes on LST
4. Discussion
5. Conclusions
Author Contributions
Funding
Institutional Review Board Statement
Informed Consent Statement
Data Availability Statement
Conflicts of Interest
References
- Berrittella, M.; Bigano, A.; Roson, R.; Tol, R.S. A general equilibrium analysis of climate change impacts on tourism. Tour. Manag. 2006, 27, 913–924. [Google Scholar] [CrossRef] [Green Version]
- Dogru, T.; Marchio, E.A.; Bulut, U.; Suess, C. Climate change: Vulnerability and resilience of tourism and the entire economy. Tour. Manag. 2019, 72, 292–305. [Google Scholar] [CrossRef]
- Lise, W.; Tol, R.S.J. Impact of climate on tourism demand. Clim. Chang. 2002, 55, 429–449. [Google Scholar] [CrossRef]
- Scott, D.; Hall, C.M.; Stefan, G. Tourism and Climate Change: Impacts, Adaptation and Mitigation; Routledg: London, UK, 2012. [Google Scholar]
- Scott, D.; Hall, C.M.; Gössling, S. A review of the IPCC Fifth Assessment and implications for tourism sector climate resilience and decarbonization. J. Sustain. Tour. 2016, 24, 8–30. [Google Scholar] [CrossRef]
- Scott, D.; Hall, C.M.; Gössling, S. Global tourism vulnerability to climate change. Ann. Tour. Res. 2019, 77, 49–61. [Google Scholar] [CrossRef]
- Gössling, S. Global environmental consequences of tourism. Glob. Environ. Chang. 2002, 12, 283–302. [Google Scholar] [CrossRef]
- Peeters, P.; Dubois, G. Tourism travel under climate change mitigation constraints. J. Transp. Geogr. 2010, 18, 447–457. [Google Scholar] [CrossRef]
- Zhang, J.; Wu, L. Modulation of the urban heat island by the tourism during the Chinese New Year holiday: A case study in Sanya City, Hainan Province of China. Sci. Bull. 2015, 60, 1543–1546. [Google Scholar] [CrossRef] [Green Version]
- Dubois, G.; Ceron, J.P. Tourism and climate change: Proposals for a research agenda. J. Sustain. Tour. 2006, 14, 399–415. [Google Scholar] [CrossRef]
- Oke, T.R. The energetic basis of the urban heat island. Q. J. R. Meteorol. Soc. 1982, 108, 1–24. [Google Scholar] [CrossRef]
- Voogt, J.A.; Oke, T.R. Thermal remote sensing of urban climates. Remote Sens. Environ. 2003, 86, 370–384. [Google Scholar] [CrossRef]
- Zhao, X.; Huang, J.; Ye, H.; Wang, K.; Qiu, Q. Spatiotemporal changes of the urban heat island of a coastal city in the context of urbanisation. Int. J. Sustain. Dev. World Ecol. 2010, 17, 311–316. [Google Scholar] [CrossRef]
- Bokaie, M.; Zarkesh, M.K.; Arasteh, P.D.; Hosseini, A. Assessment of urban heat island based on the relationship between land surface temperature and land use/land cover in Tehran. Sustain. Cities Soc. 2016, 23, 94–104. [Google Scholar] [CrossRef]
- Mirzaei, P.A.; Haghighat, F.; Nakhaie, A.A.; Yagouti, A.; Giguère, M.; Keusseyan, R.; Coman, A. Indoor thermal condition in urban heat Island–development of a predictive tool. Build. Environ. 2012, 57, 7–17. [Google Scholar] [CrossRef]
- Wong, M.S.; Nichol, J.E. Spatial variability of frontal area index and its relationship with urban heat island intensity. Int. J. Remote Sens. 2013, 34, 885–896. [Google Scholar] [CrossRef]
- Mirzaei, P.A. Recent challenges in modeling of urban heat island. Sustain. Cities Soc. 2015, 19, 200–206. [Google Scholar] [CrossRef] [Green Version]
- Meehl, G.A.; Tebaldi, C. More Intense, More Frequent, and Longer Lasting Heat Waves in the 21st Century. Science 2004, 305, 994–997. [Google Scholar] [CrossRef] [PubMed] [Green Version]
- Gabriel, K.M.A.; Endlicher, W.R. Urban and rural mortality rates during heat waves in Berlin and Brandenburg, Germany. Environ. Pollut. 2011, 159, 2044–2050. [Google Scholar] [CrossRef] [PubMed]
- Li, D.; Bou-Zeid, E. Synergistic interactions between urban heat islands and heat waves: The impact in cities is larger than the sum of its parts. J. Appl. Meteorol. Climatol. 2013, 52, 2051–2064. [Google Scholar] [CrossRef] [Green Version]
- Heaviside, C.; Vardoulakis, S.; Cai, X.M. Attribution of mortality to the urban heat island during heatwaves in the West Midlands, UK. Environ. Health 2016, 15, 49–59. [Google Scholar] [CrossRef] [PubMed] [Green Version]
- Campbell, S.; Remenyi, T.A.; White, C.J.; Johnston, F.H. Heatwave and health impact research: A global review. Health Place 2018, 53, 210–218. [Google Scholar] [CrossRef]
- Akbari, H.; Cartalis, C.; Kolokotsa, D.; Muscio, A.; Pisello, A.L.; Rossi, F.; Zinzi, M. Local climate change and urban heat island mitigation techniques—The state of the art. J. Civ. Eng. Manag. 2016, 22, 1–16. [Google Scholar] [CrossRef] [Green Version]
- Bonan, G.B. Ecological Climatology, 2nd ed.; Cambridge University Press: Cambridge, UK, 2008. [Google Scholar]
- Kolokotroni, M.; Ren, X.; Davies, M.; Mavrogianni, A. London’s urban heat island: Impact on current and future energy consumption in office buildings. Energy Build. 2012, 47, 302–311. [Google Scholar] [CrossRef] [Green Version]
- Myhre, G.D.; Shindell, D.; Bre’on, F.M. Anthropogenic and Natural Radiative Forcing; Cambridge University Press: Cambridge, UK, 2013; pp. 659–740. [Google Scholar]
- Huang, J.M.; Chang, H.Y.; Wang, Y.S. Spatiotemporal Changes in the Built Environment Characteristics and Urban Heat Island Effect in a Medium-Sized City, Chiayi City, Taiwan. Sustainability 2020, 12, 365. [Google Scholar] [CrossRef] [Green Version]
- Yang, P.; Ren, G.; Liu, W. Spatial and temporal characteristics of Beijing urban heat island intensity. J. Appl. Meteorol. Climatol. 2013, 52, 1803–1816. [Google Scholar] [CrossRef]
- Xu, Y.; Qin, Z.; Wan, H. Spatial and temporal dynamics of urban heat island and their relationship with land cover changes in urbanization process: A case study in suzhou, china. J. Indian Soc. Remote Sens. 2010, 38, 654–663. [Google Scholar] [CrossRef]
- Hoverter, S.P. Adapting to urban heat: A tool kit for local governments. Georget. Clim. Cent. 2012, 1, 1–92. Available online: https://www.georgetownclimate.org/files/report/Urban%20Heat%20Toolkit_9.6.pdf (accessed on 7 February 2021).
- Zinzi, M.; Agnoli, S. Cool and green roofs: An energy and comfortcomparison between passive cooling and mitigation urban heat islandtechniques for residential buildings in the Mediterranean region. Energy Build. 2012, 55, 66–76. [Google Scholar] [CrossRef]
- Dimoudi, A.; Zoras, S.; Kantzioura, A.; Stogiannou, X.; Kosmopoulos, P.; Pallas, C. Use of cool materials and other bioclimatic interventions in outdoor places in order to mitigate the urban heat island in a medium size city in Greece. Sustain. Cities Soc. 2014, 13, 89–96. [Google Scholar] [CrossRef]
- Giannopoulou, K.; Livada, I.; Santamouris, M.; Saliari, M.; Assimakopoulos, M.; Caouris, Y.G. On the characteristics of the summer urban heat island in Athens, Greece. Sustain. Cities Soc. 2011, 1, 16–28. [Google Scholar] [CrossRef]
- Taha, H. Meteorological, air-quality, and emission-equivalence impacts of urban heat island control in California. Sustain. Cities Soc. 2015, 19, 207–221. [Google Scholar] [CrossRef] [Green Version]
- Doan, V.Q.; Kusaka, H. Projections of urban climate in the 2050s in a fast-growing city in Southeast Asia: The greater Ho Chi Minh City metropolitan area, Vietnam. Int. J. Climatol. 2018, 38, 4155–4171. [Google Scholar] [CrossRef]
- Li, H.; Wolter, M.; Wang, X.; Sodoudi, S. Impact of land cover data on the simulation of urban heat island for Berlin using WRF coupled with bulk approach of Noah-LSM. Theor. Appl. Climatol. 2018, 134, 67–81. [Google Scholar] [CrossRef]
- Maheng, D.; Ducton, I.; Lauwaet, D.; Zevenbergen, C.; Pathirana, A. The Sensitivity of Urban Heat Island to Urban Green Space—A Model-Based Study of City of Colombo, Sri Lanka. Atmosphere 2019, 10, 151. [Google Scholar] [CrossRef] [Green Version]
- Derkzen, M.L.; van Teeffelen, A.J.; Verburg, P.H. Quantifying urban ecosystem services based on high-resolution data of urban green space: An assessment for Rotterdam, the Netherlands. J. Appl. Ecol. 2015, 52, 1020–1032. [Google Scholar] [CrossRef]
- Maheng, D.; Pathirana, A.; Zevenbergen, C. A preliminary study on the impact of landscape pattern changes due to urbanization: Case study of Jakarta, Indonesia. Land 2021, 10, 218. [Google Scholar] [CrossRef]
- Liang, Z.; Wu, S.; Wang, Y.; Wei, F.; Huang, J.; Shen, J.; Li, S. The relationship between urban form and heat island intensity along the urban development gradients. Sci. Total Environ. 2020, 708, 135011. [Google Scholar] [CrossRef]
- Buyantuyev, A.; Wu, J. Urban heat islands and landscape heterogeneity: Linking spatiotemporal variations in surface temperatures to land-cover and socioeconomic patterns. Landsc. Ecol. 2010, 25, 17–33. [Google Scholar] [CrossRef]
- Czarnecka, M.; Nidzgorska-Lencewicz, J. Intensity of Urban Heat Island and Air Quality in Gdańsk during 2010 Heat Wave. Pol. J. Environ. Stud. 2014, 23, 329–340. [Google Scholar]
- Debbage, N.; Shepherd, J.M. The urban heat island effect and city contiguity. Comput. Environ. Urban Syst. 2015, 54, 181–194. [Google Scholar] [CrossRef]
- Addas, A.; Goldblatt, R.; Rubinyi, S. Utilizing Remotely Sensed Observations to Estimate the Urban Heat Island Effect at a Local Scale: Case Study of a University Campus. Land 2020, 9, 191. [Google Scholar] [CrossRef]
- Duan, S.; Luo, Z.; Yang, X.; Li, Y. The impact of building operations on urban heat/cool islands under urban densification: A comparison between naturally-ventilated and air-conditioned buildings. Appl. Energy 2019, 235, 129–138. [Google Scholar] [CrossRef]
- Juruš, P.; Resler, J.; Derbek, P.; Krč, P.; Belda, M.; Benešová, N.; Hrubeš, P. High resolution modelling of anthropogenic heat from traffic in urban canopy: A sensitivity study. In Smart Cities Symposium Prague (SCSP); IEEE: Piscataway Township, NJ, USA, 2016; pp. 1–6. [Google Scholar]
- Khamchiangta, D.; Dhakal, S. Physical and non-physical factors driving urban heat island: Case of Bangkok Metropolitan Administration, Thailand. J. Environ. Manag. 2019, 248, 109285. [Google Scholar] [CrossRef] [PubMed]
- Masmoudi, S.; Mazouz, S. Relation of geometry, vegetation and thermal comfort around buildings in urban settings, the case of hot arid regions. Energy Build. 2004, 36, 710–719. [Google Scholar] [CrossRef]
- Morabito, M.; Crisci, A.; Messeri, A.; Orlandini, S.; Raschi, A.; Maracchi, G.; Munafò, M. The impact of built-up surfaces on land surface temperatures in Italian urban areas. Sci. Total Environ. 2016, 551, 317–326. [Google Scholar] [CrossRef] [PubMed]
- Oke, T.R.; Mills, G.; Voogt, J.A. Urban Climates; Cambridge University Press: Cambridge, UK, 2017. [Google Scholar]
- Pakarnseree, R.; Chunkao, K.; Bualert, S. Physical characteristics of Bangkok and its urban heat island phenomenon. Build. Environ. 2018, 143, 561–569. [Google Scholar] [CrossRef]
- Rafael, S.; Vicente, B.; Rodrigues, V.; Miranda, A.I.; Borrego, C.; Lopes, M. Impacts of green infrastructures on aerodynamic flow and air quality in Porto’s urban area. Atmos. Environ. 2018, 190, 317–330. [Google Scholar] [CrossRef]
- Ramírez-Aguilar, E.A.; Souza, L.C.L. Urban form and population density: Influences on Urban Heat Island intensities in Bogotá, Colombia. Urban Clim. 2019, 29, 100497. [Google Scholar] [CrossRef]
- Stewart, I.D. A systematic review and scientific critique of methodology in modern urban heat island literature. Int. J. Climatol. 2011, 31, 200–217. [Google Scholar] [CrossRef]
- Takebayashi, H.; Senoo, M. Analysis of the relationship between urban size and heat island intensity using WRF model. Urban Clim. 2018, 24, 287–298. [Google Scholar] [CrossRef]
- Ward, K.; Lauf, S.; Kleinschmit, B.; Endlicher, W. Heat waves and urban heat islands in Europe: A review of relevant drivers. Sci. Total Environ. 2016, 569, 527–539. [Google Scholar] [CrossRef]
- Zhu, R.; Wong, M.S.; Guilbert, É.; Chan, P.W. Understanding heat patterns produced by vehicular flows in urban areas. Sci. Rep. 2017, 7, 1–14. [Google Scholar] [CrossRef] [Green Version]
- Zullo, F.; Fazio, G.; Romano, B.; Marucci, A.; Fiorini, L. Effects of urban growth spatial pattern (UGSP) on the land surface temperature (LST): A study in the Po Valley (Italy). Sci. Total Environ. 2019, 650, 1740–1751. [Google Scholar] [CrossRef] [PubMed]
- Busato, F.; Lazzarin, R.M.; Noro, M. Three years of study of the Urban Heat Island in Padua: Experimental results. Sustain. Cities Soc. 2014, 10, 251–258. [Google Scholar] [CrossRef]
- Mirzaei, P.A.; Haghighat, F. Approaches to study urban heat island–abilities and limitations. Build. Environ. 2010, 45, 2192–2201. [Google Scholar] [CrossRef]
- Radhi, H.; Sharples, S.; Assem, E. Impact of urban heat islands on the thermal comfort and cooling energy demand of artificial islands—A case study of AMWAJ Islands in Bahrain. Sustain. Cities Soc. 2015, 19, 310–318. [Google Scholar] [CrossRef]
- Qiao, Z.; Tian, G.; Zhang, L.; Xu, X. Influences of urban expansion on urban heat island in Beijing during 1989–2010. Adv. Meteorol. 2014, 2014, 187169. [Google Scholar] [CrossRef] [Green Version]
- Oke, T.R. The heat island of the urban boundary layer: Characteristics, causes and effects. In Wind Climate in Cities; Springer: Dordrecht, The Netherlands, 1995; pp. 81–107. [Google Scholar]
- Song, J.; Wang, Z.H. Interfacing the urban land–atmosphere system through coupled urban canopy and atmospheric models. Bound. -Layer Meteorol. 2015, 154, 427–448. [Google Scholar] [CrossRef]
- Wang, C.; Myint, S.W.; Wang, Z.; Song, J. Spatio-temporal modeling of the urban heat island in the Phoenix metropolitan area: Land use change implications. Remote Sens. 2016, 8, 185. [Google Scholar] [CrossRef] [Green Version]
- Wang, Z.H.; Bou-Zeid, E.; Smith, J.A. A coupled energy transport and hydrological model for urban canopies evaluated using a wireless sensor network. Q. J. R. Meteorol. Soc. 2013, 139, 1643–1657. [Google Scholar] [CrossRef]
- Golden, J.S. The built environment induced urban heat island effect in rapidly urbanizing arid regions–a sustainable urban engineering complexity. Environ. Sci. 2004, 1, 321–349. [Google Scholar] [CrossRef]
- Bouyer, J.; Musy, M.; Huang, Y.; Athamena, K. Mitigating urban heat island effect by urban design: Forms and materials. In Cities and Climate Change: Responding to an Urgent Agenda; The World Bank: Washington, DC, USA, 2011; pp. 164–181. [Google Scholar]
- Avner, P.; Rentschler, J.; Hallegatte, S. Carbon Price Efficiency: Lock-In and Path Dependence in Urban Forms and Transport Infrastructure 2014; The World Bank: Washington, DC, USA, 2014. [Google Scholar]
- Ghadami, M.; Dittmann, A.; Safarrad, T. Lack of Spatial Approach in Urban Density Policies: The Case of the Master Plan of Tehran. Sustainability 2020, 12, 7285. [Google Scholar] [CrossRef]
- Aligholizadeh, F.N.; Ghadami, M.; Gharibi, J.M. An investigation of tourism’ impact on urban and rural land use pattern changes. J. Stud. Hum. Settl. Plan. 2019, 14, 395–410. (In Persian) [Google Scholar]
- Ghadami, M.; Aligholizadeh, F.N.; Ana, M.R. The role of tourism in the destination’s land use alterations. Urban-Reg. Stud. Res. 2010, 1, 21–42. (In Persian) [Google Scholar]
- Statistical Center of Iran. The General Census of Population & Housing 2016; Statistical Center of Iran: Tehran, Iran, 2016. (In Persian) [Google Scholar]
- Ghadami, M. Comprehensive Tourism Survey in Babolsar and Its Hinterland, the First Annual Technical Reports; Municipality of Babolsar: Babolsar, Iran, 2019. (In Persian) [Google Scholar]
- Statistical Center of Iran. National Tourism Survey 2001; Statistical Center of Iran: Tehran, Iran, 2011. (In Persian) [Google Scholar]
- Bazrpash, R.; Maleki, H.R.; Hosseini, S. Application of thermal comfort in ecotourism in Babolsr County. Geogr. Res. 2008, 23, 93–108. [Google Scholar]
- Statho poulou, M.; Cartalis, C. Daytime urban heat islands from Landsat ETM+ and Corine land cover data: An application to major cities in Greece. Sol. Energy 2007, 81, 358–368. [Google Scholar] [CrossRef]
- Landsat-7, NASA. Science Data Users Handbook 2001; National Aeronautics and Space Administration: Washington, DC, USA, 2001. Available online: http://landsathandbook.gsfc.nasa.gov/inst_cal/prog_sect8_2.Html (accessed on 10 February 2021).
- Li, T.; Wang, Y.; Liu, C.; Tu, S. Research on Identification of Multiple Cropping Index of Farmland and Regional Optimization Scheme in China Based on NDVI Data. Land 2021, 10, 861. [Google Scholar] [CrossRef]
- Xu, H. Modification of normalised difference water index (NDWI) to enhance open water features in remotely sensed imagery. Int. J. Remote Sens. 2006, 27, 3025–3033. [Google Scholar] [CrossRef]
- As-syakur, A.; Adnyana, I.; Arthana, I.W.; Nuarsa, I.W. Enhanced built-up and bareness index (EBBI) for mapping built-up and bare land in an urban area. Remote Sens. 2012, 4, 2957–2970. [Google Scholar] [CrossRef] [Green Version]
- Reddy, S.N.; Manikiam, B. Land surface temperature retrieval from LANDSAT data using emissivity estimation. Int. J. Appl. Eng. Res. 2017, 12, 9679–9687. [Google Scholar]
- Jiang, Y.; Lin, W. A Comparative Analysis of Retrieval Algorithms of Land Surface Temperature from Landsat-8 Data: A Case Study of Shanghai, China. Int. J. Environ. Res. Public Health 2021, 18, 5659. [Google Scholar] [CrossRef]
- Spadoni, G.L.; Cavalli, A.; Congedo, L.; Munafò, M. Analysis of Normalized Difference Vegetation Index (NDVI) multi-temporal series for the production of forest cartography. Remote Sens. Appl. Soc. Environ. 2020, 20. [Google Scholar] [CrossRef]
- Peng, J.; Ma, J.; Liu, Q.; Liu, Y.; Li, Y.; Yue, Y. Spatial-temporal change of land surface temperature across 285 cities in China: An urban-rural contrast perspective. Sci. Total Environ. 2018, 635. [Google Scholar] [CrossRef] [PubMed]
- Mobasheri, M.R.; Amani, M. Soil moisture content assessment based on Landsat 8 red, near-infrared, and thermal channels. J. Appl. Remote Sens. 2016, 10, 026011. [Google Scholar] [CrossRef]
- Foody, G.M.; Atkinson, P.M. Uncertainty in Remote Sensing and GIS; John Wiley & Sons: Hoboken, NJ, USA, 2003. [Google Scholar]
- Ermida, S.L.; Soares, P.; Mantas, V.; Göttsche, F.M.; Trigo, I.F. Google earth engine open-source code for land surface temperature estimation from the landsat series. Remote Sens. 2020, 12, 1471. [Google Scholar] [CrossRef]
- Masek, J.G.; Vermote, E.F.; Saleous, N.E.; Wolfe, R.; Hall, F.G.; Huemmrich, K.F.; Gao, F.; Kutler, J.; Lim, T.K. A Landsat surface reflectance dataset for North America, 1990–2000. IEEE Geosci. Remote Sens. Lett. 2006, 3, 68–72. [Google Scholar] [CrossRef]
- Vermote, E.; Justice, C.; Claverie, M.; Franch, B. Preliminary analysis of the performance of the Landsat 8/OLI land surface reflectance product. Remote Sens. Environ. 2016, 185, 46–56. [Google Scholar] [CrossRef] [PubMed]
- Wang, L.; Wang, J.; Qin, F. Feature Fusion Approach for Temporal Land Use Mapping in Complex Agricultural Areas. Remote Sens. 2021, 13, 2517. [Google Scholar] [CrossRef]
- Sultana, S.; Satyanarayana, A.N.V. Assessment of urbanisation and urban heat island intensities using landsat imageries during 2000–2018 over a sub-tropical Indian City. Sustain. Cities Soc. 2020, 52. [Google Scholar] [CrossRef]
- Wang, S.; Luo, Y.; Li, X.; Yang, K.; Liu, Q.; Luo, X.; Li, X. Downscaling Land Surface Temperature Based on Non-Linear Geographically Weighted Regressive Model over Urban Areas. Remote Sens. 2021, 13, 1580. [Google Scholar] [CrossRef]
- Chu, L.; Oloo, F.; Bergstedt, H.; Blaschke, T. Assessing the Link between Human Modification and Changes in Land Surface Temperature in Hainan, China Using Image Archives from Google Earth Engine. Remote Sens. 2020, 12, 888. [Google Scholar] [CrossRef] [Green Version]
- Zhou, S.; Wang, K.; Yang, S.; Li, W.; Zhang, Y.; Zhang, B.; Fu, Y.; Liu, X.; Run, Y.; Chubwa, O.G.; et al. Warming Effort and Energy Budget Difference of Various Human Land Use Intensity: Case Study of Beijing, China. Land 2020, 9, 280. [Google Scholar] [CrossRef]
- Rasul, A.; Balzter, H.; Smith, C.; Remedios, J.; Adamu, B.; Sobrino, J.A.; Srivanit, M.; Weng, Q. A Review on Remote Sensing of Urban Heat and Cool Islands. Land 2017, 6, 38. [Google Scholar] [CrossRef] [Green Version]
- Rahman, M.T.; Aldosary, A.S.; Mortoja, M.G. Modeling Future Land Cover Changes and Their Effects on the Land Surface Temperatures in the Saudi Arabian Eastern Coastal City of Dammam. Land 2017, 6, 36. [Google Scholar] [CrossRef]
- Carneiro, E.; Lopes, W.; Espindola, G. Linking Urban Sprawl and Surface Urban Heat Island in the Teresina–Timon Conurbation Area in Brazil. Land 2021, 10, 516. [Google Scholar] [CrossRef]
- Hellings, A.; Rienow, A. Mapping Land Surface Temperature Developments in Functional Urban Areas across Europe. Remote Sens. 2021, 13, 2111. [Google Scholar] [CrossRef]
- Koko, A.F.; Yue, W.; Abubakar, G.A.; Alabsi, A.A.N.; Hamed, R. Spatiotemporal Influence of Land Use/Land Cover Change Dynamics on Surface Urban Heat Island: A Case Study of Abuja Metropolis, Nigeria. ISPRS Int. J. Geo-Inf. 2021, 10, 272. [Google Scholar] [CrossRef]
- Gomez-Martinez, F.; de Beurs, K.M.; Koch, J.; Widener, J. Multi-Temporal Land Surface Temperature and Vegetation Greenness in Urban Green Spaces of Puebla, Mexico. Land 2021, 10, 155. [Google Scholar] [CrossRef]
- Semeraro, T.; Scarano, A.; Buccolieri, R.; Santino, A.; Aarrevaara, E. Planning of Urban Green Spaces: An Ecological Perspective on Human Benefits. Land 2021, 10, 105. [Google Scholar] [CrossRef]
- Wang, Y.; Xu, M.; Li, J.; Jiang, N.; Wang, D.; Yao, L.; Xu, Y. The Gradient Effect on the Relationship between the Underlying Factor and Land Surface Temperature in Large Urbanized Region. Land 2021, 10, 20. [Google Scholar] [CrossRef]
- Zhang, Y.; Balzter, H.; Li, Y. Influence of Impervious Surface Area and Fractional Vegetation Cover on Seasonal Urban Surface Heating/Cooling Rates. Remote Sens. 2021, 13, 1263. [Google Scholar] [CrossRef]
- Yan, H.; Wang, K.; Lin, T.; Zhang, G.; Sun, C.; Hu, X.; Ye, H. The Challenge of the Urban Compact Form: Three-Dimensional Index Construction and Urban Land Surface Temperature Impacts. Remote Sens. 2021, 13, 1067. [Google Scholar] [CrossRef]
- Xu, J.; Zhao, Y.; Sun, C.; Liang, H.; Yang, J.; Zhong, K.; Li, Y.; Liu, X. Exploring the Variation Trend of Urban Expansion, Land Surface Temperature, and Ecological Quality and Their Interrelationships in Guangzhou, China, from 1987 to 2019. Remote Sens. 2021, 13, 1019. [Google Scholar] [CrossRef]
- Goldblatt, R.; Addas, A.; Crull, D.; Maghrabi, A.; Levin, G.G.; Rubinyi, S. Remotely Sensed Derived Land Surface Temperature (LST) as a Proxy for Air Temperature and Thermal Comfort at a Small Geographical Scale. Land 2021, 10, 410. [Google Scholar] [CrossRef]
- Li, N.; Yang, J.; Qiao, Z.; Wang, Y.; Miao, S. Urban Thermal Characteristics of Local Climate Zones and Their Mitigation Measures across Cities in Different Climate Zones of China. Remote Sens. 2021, 13, 1468. [Google Scholar] [CrossRef]
- Ramaiah, M.; Avtar, R.; Rahman, M.M. Land Cover Influences on LST in Two Proposed Smart Cities of India: Comparative Analysis Using Spectral Indices. Land 2020, 9, 292. [Google Scholar] [CrossRef]
- Li, H.; Wang, G.; Tian, G.; Jombach, S. Mapping and Analyzing the Park Cooling Effect on Urban Heat Island in an Expanding City: A Case Study in Zhengzhou City, China. Land 2020, 9, 57. [Google Scholar] [CrossRef] [Green Version]















| Spacecraft | Sensor | DATE |
|---|---|---|
| Landsat 5 | TM | 1987-06-21 |
| Landsat 5 | TM | 1993-07-23 |
| Landsat 5 | TM | 1999-06-06 |
| Landsat 5 | TM | 2009-07-19 |
| Landsat 8 | OLI | 2014-06-15 |
| Landsat 8 | OLI | 2019-07-31 |
| LULC | Description | Identification | Reference |
|---|---|---|---|
| Vegetation | All areas covered with green space including agricultural lands, parks, urban green spaces and forests | NDVI > 0.35 | [84] |
| Water | All water-covered areas (sea, river and dam) | MNDWI > 0 | [80] |
| Built Up | Man-made lands including city, village and related infrastructure | [81] | |
| Bare Lands | Bare lands | EBBI ≥ 0.35 | [81] |
| Source | DF * | Sum of Squares | Mean Squares | F | Sig ** |
|---|---|---|---|---|---|
| Model | 2 | 119.334 | 59.667 | 14.033 | 0.000 |
| Error | 15 | 63.776 | 4.252 | ||
| Corrected Total | 17 | 183.110 |
| Contrast | Difference | Standardized Difference | Critical Value | Sig * |
|---|---|---|---|---|
| Built Up vs. Vegetation | 5.498 | 4.618 | 2.597 | 0.001 |
| Built Up vs. Bare land | 0.073 | 0.061 | 2.597 | 0.998 |
| Bare land vs. Vegetation | 5.425 | 4.557 | 2.597 | 0.001 |
| Tukey’s d critical value: | 3.673 | |||
| Year | Pearson | NDVI | MNDWI | EBBI |
|---|---|---|---|---|
| 2019 | Correlation R2 | −0.42 0.18 | −0.28 0.08 | 0.69 0.48 |
| 2014 | Correlation R2 | −0.69 0.47 | −0.04 0.00 | 0.78 0.61 |
| 2009 | Correlation R2 | −0.75 0.56 | −0.07 0.00 | 0.84 0.70 |
| 1999 | Correlation R2 | −0.40 0.16 | −0.57 0.33 | 0.73 0.53 |
| 1993 | Correlation R2 | −0.74 0.55 | −0.02 0.00 | 0.83 0.69 |
| 1987 | Correlation R2 | −0.79 0.63 | −0.14 0.02 | 0.88 0.77 |
| Year | 1987 | 1993 | 1999 | 2009 | 2014 | 2019 | |
|---|---|---|---|---|---|---|---|
| Detached Tourism Zone | km2 | 0.66 | 1.56 | 1.41 | 2.20 | 4.41 | 5.42 |
| % | 7.28 | 16.71 | 11.37 | 12.80 | 17.95 | 17.55 | |
| Attached Tourism Zone | km2 | 0.66 | 0.95 | 1.35 | 2.76 | 3.60 | 3.90 |
| % | 7.30 | 10.14 | 10.85 | 16.03 | 14.64 | 12.63 | |
| Urban Zone | km2 | 5.92 | 5.68 | 7.38 | 10.54 | 14.08 | 14.74 |
| % | 65.60 | 60.82 | 59.50 | 61.30 | 57.22 | 47.74 | |
| Vegetation Zone | km2 | 1.79 | 1.15 | 2.27 | 1.70 | 2.51 | 6.81 |
| % | 19.82 | 12.32 | 18.28 | 9.86 | 10.19 | 22.08 | |
| sum | 9.03 | 9.34 | 12.41 | 17.20 | 24.60 | 30.87 | |
| 100 | 100 | 100 | 100 | 100 | 100 |
| NDVI | MNDWI | EBBI | ||
|---|---|---|---|---|
| LST | Correlation (Pearson): | −0.435 | −0.148 | 0.532 |
| R2 | 0.189 | 0.022 | 0.283 |
| LST | NDVI | MNDWI | EBBI | |
|---|---|---|---|---|
| F | 7685.340 | 831.241 | 389.064 | 1907.658 |
| Sig | <0.0001 | <0.0001 | <0.0001 | <0.0001 |
| Difference | ||||
|---|---|---|---|---|
| LST | NDVI | MNDWI | EBBI | |
| DTZ vs. ATZ | 0.020 | −0.001 | 0.001 | −0.004 |
| DTZ vs. UZ | −0.092 | 0.002 | 0.001 | −0.019 |
| DTZ vs. VZ | −0.069 | 0.001 | 0.001 | −0.007 |
| ATZ vs. UZ | −0.112 | 0.003 | 0.000 | −0.015 |
| ATZ vs. VZ | −0.090 | 0.002 | 0.001 | −0.003 |
| UZ vs. VZ | 0.022 | −0.001 | 0.001 | 0.012 |
Publisher’s Note: MDPI stays neutral with regard to jurisdictional claims in published maps and institutional affiliations. |
© 2021 by the authors. Licensee MDPI, Basel, Switzerland. This article is an open access article distributed under the terms and conditions of the Creative Commons Attribution (CC BY) license (https://creativecommons.org/licenses/by/4.0/).
Share and Cite
Safarrad, T.; Ghadami, M.; Dittmann, A.; Pazhuhan, M. Tourism Effect on the Spatiotemporal Pattern of Land Surface Temperature (LST): Babolsar and Fereydonkenar Cities (Cases Study in Iran). Land 2021, 10, 945. https://doi.org/10.3390/land10090945
Safarrad T, Ghadami M, Dittmann A, Pazhuhan M. Tourism Effect on the Spatiotemporal Pattern of Land Surface Temperature (LST): Babolsar and Fereydonkenar Cities (Cases Study in Iran). Land. 2021; 10(9):945. https://doi.org/10.3390/land10090945
Chicago/Turabian StyleSafarrad, Taher, Mostafa Ghadami, Andreas Dittmann, and Mousa Pazhuhan (Panahandeh Khah). 2021. "Tourism Effect on the Spatiotemporal Pattern of Land Surface Temperature (LST): Babolsar and Fereydonkenar Cities (Cases Study in Iran)" Land 10, no. 9: 945. https://doi.org/10.3390/land10090945
APA StyleSafarrad, T., Ghadami, M., Dittmann, A., & Pazhuhan, M. (2021). Tourism Effect on the Spatiotemporal Pattern of Land Surface Temperature (LST): Babolsar and Fereydonkenar Cities (Cases Study in Iran). Land, 10(9), 945. https://doi.org/10.3390/land10090945

