Landslide Hazard Assessment in a Monoclinal Setting (Central Italy): Numerical vs. Geomorphological Approach
Abstract
1. Introduction
2. Geological and Geomorphological Setting of the Study Area
3. Data and Methods
3.1. Geomorphological Approach
3.2. Numerical Approach
4. Results
4.1. Geomorphological Approach
- -
- Section 1V. The slope is fairly regular, with a generally mild angle (10–20°). The outcropping bedrock, consisting of the mainly arenaceous-pelitic member of the Argille Azzurre formation, shows a general dip-slope trend with an inclination of about 15° towards E–NE. Almost absent are the continental eluvial–colluvial deposits, which never exceed 1–2 m in thickness and are therefore not shown in the map of Figure 4. The observed geomorphological processes are also not very significant, limited to weak and localized soil erosion processes (sheet and/or rill erosion)
- -
- Section 2V. This section is traced in the SSW–NNE direction, along the maximum slope and with an angle ranging between 10° and 20° in the first part to over 40° in the final one. The bedrock consists of the mainly arenaceous-conglomeratic body of Mt. Falcone, dipping about 10–15 ° towards ENE. Eluvial–colluvial deposits with low thickness (of a few meters) are present in the central section, but no significant geomorphological processes were detected.
- -
- Section 3V. The slope, which follows a general SSW–ENE with a moderate angle exceeding 20° only in the lowermost part, is characterized by the presence of the mainly clayey bedrock, dipping 15° towards NE and belonging to the Argille Azzurre formation. In this case, neither appreciable thicknesses of continental deposits nor significant geomorphological processes (mass movements) were observed.
- -
- Section 4V. This section is traced in a W–E direction, just south of Section 3V. The mainly clayey bedrock (Argille Azzurre formation) here is almost totally covered by thick eluvial–colluvial deposits and is characterized by the presence of several mudflows, which coalesce corresponding to the valley floor. The typology of movement was attributed based on geomorphological considerations such as the material size, the elongated shape of the landslide body (deposited within minor U-shaped valleys), the presence of slight undulations on the surface and the possibility of a concentrated runoff due to the morphology of the slope. The estimate of the landslide depth is, however, uncertain, although it should be linked to the thickness of the continental deposits.
- -
- Section 5V. This cross-section is oriented NW–SE and is characterized by the presence of two different litho-technical units: the arenaceous-conglomeratic body of Mt. Falcone in the uppermost part and the pelitic-arenaceous member of the Laga formation in the lowermost one. The morphology of the slope reflects the different nature of the lithotypes with an almost vertical cliff corresponding to the most resistant unit and a gentle slope (15–20°) in the second part of the section. As discussed previously, the Mt. Falcone arenaceous conglomeratic body, especially in this sector, shows a particular joint system, N–S and E–W oriented and associated with tectonic and/or static deformation processes. This unit is affected by rockfalls and toppling phenomena (Figure 3) mainly located along the borders of the plate. The final part of the section, on the other hand, corresponds to the head of an active mudflow roughly WSW–ENE oriented; as with Section 4V this landslide is probably linked to the presence of thick colluvial deposits with a perched water table partially fed by the contact with the permeable arenaceous-conglomeratic plate.
- -
- Section 6V. This section is located in the northeastern sector of the study area and crosses, with a NE direction, the arenaceous-pelitic and the clayey members (in the uppermost and lowermost part of the section respectively) of the Argille Azzurre formation, here dipping 13–15° towards NE. The slope angle is moderate and ranges between 10° and 25°. The upper part of the section is characterized by the presence of thick eluvial–colluvial deposits, although no evident geomorphological processes (neither mass movements nor intense soil erosion processes) are visible.
- -
- Section 1M. This section is traced in the NS direction along a gentle slope (15–20°) almost totally characterized by the presence of thick eluvial–colluvial deposits (10–15 m thick estimated from geomorphological survey and stratigraphic reconstruction); these materials cover a bedrock consisting of alternations of arenaceous-pelitic and pelitic-arenaceous members both belonging to the Laga formation, with apparent horizontal dip. No evident geomorphological processes (landslides or intense soil erosion processes) were observed.
- -
- Section 2M. Located just south of the previous section, it runs roughly E–W and, similarly to the Section 5V, is characterized by a complex morphology: The first part is strongly conditioned by the presence of the arenaceous conglomeratic body of Mt. Falcone, while the second one, where the pelitic-arenaceous member of the Laga formation is present, shows a low-to-moderate slope (between 15° and 30°). The uppermost part is characterized by rockfalls and toppling phenomena analogous to those observed in Section 5V; the final part corresponds to the head of an active complex landslide (rotational-translational) recognized on the basis of typical morphologies (scarps and counterslopes in the upper portion and minor ridges and scarps in the lower one).
- -
- Section 3M. This section is traced in a WNW–ESE direction over a slope characterized by a moderate angle (25–30°). Thick colluvial deposits cover the bedrock, visible only in the uppermost part of the section and consisting of alternations of arenaceous and pelitic lithotypes (Laga formation) that dip upslope of 35–40°. No landslides or intense erosion processes were detected.
- -
- Section 4M. This section is traced in a roughly WSW–ENE direction and, as in Section 3M, runs over a slope characterized by the presence of alternations of arenaceous-pelitic and pelitic-arenaceous lithotypes with the same dip. The geomorphological survey evidenced an active complex landslide (rotational-flow); scarps, counterslopes and minor ridges on a general concave shape are visible, corresponding to the head, while elongated shape and undulations characterize the foot of the landslide. Conditioning and triggering factors can be associated with the presence of colluvial deposits with uncertain thickness and the possible presence of a perched water table fed at the contact with the arenaceous-conglomeratic plate, respectively.
4.2. Numerical Approach
- The presence of colluvial deposits of fine grain size and discrete extension and thickness, associated with medium–high slopes angles, generally induces instability conditions;
- In the presence of unconsolidated continental deposits and shallow water table, the FoS tends to reach values close to 1 and consequently activate gravitational movements of discrete extent that are generally not very deep;
- Dip-slope strata and/or clayey bedrock are not sufficient requirements to activate gravitational movements, even in the presence of a water table;
- Complex and medium depth landslides, not highlighted by the simulations, can be explained by the presence of particularly weathered levels within the bedrock neither evidenced during field surveys nor “captured” with typical geognostic surveys.
5. Discussion and Conclusions
- Medium to low GSI values, favorable morphological–structural setting (i.e., dip-slope strata and moderate slope angle) and the presence of a water table are sometimes not evaluated by the numerical model as potentially unstable; on the contrary, they give rise to gravitational phenomena of discrete thickness and extension. This suggests the presence of weak layers at a depth not detectable by generic field surveys or highlighted by specific geognostic investigations;
- The presence of medium–fine colluvial deposits of moderate extension and thickness along medium-to-low slope angles (20–35%) constitutes a predisposing factor to the activation of mass movements (flows as prevalent) with or without the presence of water.
Author Contributions
Funding
Institutional Review Board Statement
Informed Consent Statement
Conflicts of Interest
References
- Schuster, R.L.; Highland, L.M. Socioeconomic Impacts of Landslides in the Western Hemisphere; United States Geological Survey: Reston, VA, USA, 2001. [Google Scholar]
- Winter, M.G.; Shearer, B.; Palmer, D.; Peeling, D.; Harmer, C.; Sharpe, J. The Economic Impact of Landslides and Floods on the Road Network. Procedia Eng. 2016, 143, 1425–1434. [Google Scholar] [CrossRef]
- Corominas, J.; Van Westen, C.; Frattini, P.; Cascini, L.; Malet, J.-P.; Fotopoulou, S.; Catani, F.; Eeckhaut, M.V.D.; Mavrouli, O.; Agliardi, F.; et al. Recommendations for the quantitative analysis of landslide risk. Bull. Int. Assoc. Eng. Geol. 2013, 73, 209–263. [Google Scholar] [CrossRef]
- Thiery, Y.; Terrier, M.; Colas, B.; Fressard, M.; Maquaire, O.; Grandjean, G.; Gourdier, S. Improvement of landslide hazard assessments for regulatory zoning in France: STATE–OF–THE-ART perspectives and considerations. Int. J. Disaster Risk Reduct. 2020, 47, 101562. [Google Scholar] [CrossRef]
- Vandromme, R.; Thiery, Y.; Bernardie, S.; Sedan, O. ALICE (Assessment of Landslides Induced by Climatic Events): A single tool to integrate shallow and deep landslides for susceptibility and hazard assessment. Geomorphology 2020, 367, 107307. [Google Scholar] [CrossRef]
- Trigila, A.; Iadanza, C.; Bussettini, M.; Lastoria, B. Dissesto Idrogeologico in Italia: Pericolosità e Indicatori Di Rischio, 2018 ed.; ISPRA: Rome, Italy, 2015. [Google Scholar]
- Guzzetti, F.; Mondini, A.C.; Cardinali, M.; Fiorucci, F.; Santangelo, M.; Chang, K.-T. Landslide inventory maps: New tools for an old problem. Earth Sci. Rev. 2012, 112, 42–66. [Google Scholar] [CrossRef]
- Bufalini, M.; Materazzi, M.; De Amicis, M.; Pambianchi, G. From Traditional to Modern “ Full Coverage ” Geomorphological Mapping: A Study Case in the Chienti River Basin (Marche Region, Central Italy). J. Maps 2021, 17, 1–12. [Google Scholar] [CrossRef]
- Cascini, L. Applicability of landslide susceptibility and hazard zoning at different scales. Eng. Geol. 2008, 102, 164–177. [Google Scholar] [CrossRef]
- Cascini, L. Geotechnics for Urban Planning and Land Use Management. Riv. Ital. Geotech. 2015, 49, 7–62. [Google Scholar]
- Salvati, P.; Bianchi, C.; Rossi, M.; Guzzetti, F. Landslide Risk to the Population and Its Temporal and Geographical Variation in Italy. In Extreme Events: Observations, Modeling, and Economics; Chavez, M., Ghil, M., Urrutia-Fucugauchi, J., Eds.; John Wiley & Sons: Hoboken, NJ, USA, 2012; Volume 14, pp. 177–194. [Google Scholar]
- Van Westen, C.J.; van Asch, T.W.J.; Soeters, R. Landslide Hazard and Risk Zonation—Why Is It Still so Diffi-cult? Bull. Eng. Geol. Environ. 2006, 65, 167–184. [Google Scholar] [CrossRef]
- Thiery, Y.; Terrier, M. Évaluation de l’aléa Glissements de Terrain: État de l’art et Perspectives Pour La Car-tographie Réglementaire En France. Rev. Française Géotechnique 2018, 156, 3. [Google Scholar] [CrossRef]
- Aleotti, P.; Chowdhury, R. Landslide hazard assessment: Summary review and new perspectives. Bull. Int. Assoc. Eng. Geol. 1999, 58, 21–44. [Google Scholar] [CrossRef]
- Galli, M.; Ardizzone, F.; Cardinali, M.; Guzzetti, F.; Reichenbach, P. Comparing landslide inventory maps. Geomorphology 2008, 94, 268–289. [Google Scholar] [CrossRef]
- Soeters, R.; van Westen, C.J. Slope Instability Recognition, Analysis, and Zonation. In Landslides, Investigation and Mitigation; Turner, A.K., Schuster, R.L., Eds.; Special Report; National Research Council, Transportation Research Board: Washington, DC, USA, 1996; Volume 247, pp. 129–147. [Google Scholar]
- Cotecchia, F.; Santaloia, F.; Lollino, P.; Vitone, C.; Pedone, G.; Bottiglieri, O. From a phenomenological to a geomechanical approach to landslide hazard analysis. Eur. J. Environ. Civ. Eng. 2016, 20, 1004–1031. [Google Scholar] [CrossRef]
- Guzzetti, F.; Carrara, A.; Cardinali, M.; Reichenbach, P. Landslide Hazard Evaluation: A Review of Current Techniques and Their Application in a Multi-Scale Study, Central Italy. Geomorphology 1999, 31, 181–216. [Google Scholar] [CrossRef]
- Nandi, A.; Shakoor, A. A GIS-Based Landslide Susceptibility Evaluation Using Bivariate and Multivariate Sta-tistical Analyses. Eng. Geol. 2010, 110, 11–20. [Google Scholar] [CrossRef]
- Pourghasemi, H.R.; Kerle, N. Random Forests and Evidential Belief Function-Based Landslide Susceptibility Assessment in Western Mazandaran Province, Iran. Environ. Earth Sci. 2016, 75, 185. [Google Scholar] [CrossRef]
- Chen, X.; Chen, W. GIS-Based Landslide Susceptibility Assessment Using Optimized Hybrid Machine Learn-ing Methods. Catena 2021, 196, 104833. [Google Scholar] [CrossRef]
- Pourghasemi, H.R.; Mohammady, M.; Pradhan, B. Landslide Susceptibility Mapping Using Index of Entropy and Conditional Probability Models in GIS: Safarood Basin, Iran. Catena 2012, 97, 71–84. [Google Scholar] [CrossRef]
- Barla, G. Numerical Modeling of Deep-Seated Landslides Interacting with Man-Made Structures. J. Rock Mech. Geotech. Eng. 2018, 10, 1020–1036. [Google Scholar] [CrossRef]
- Cuomo, S. New Advances and Challenges for Numerical Modeling of Landslides of the Flow Type. Procedia Earth Planet. Sci. 2014, 9, 91–100. [Google Scholar] [CrossRef][Green Version]
- Fustos, I.; Abarca-del-Río, R.; Mardones, M.; González, L.; Araya, L.R. Rainfall-Induced Landslide Identifica-tion Using Numerical Modelling: A Southern Chile Case. J. S. Am. Earth Sci. 2020, 101, 102587. [Google Scholar] [CrossRef]
- Marcato, G.; Mantovani, M.; Pasuto, A.; Zabuski, L.; Borgatti, L. Monitoring, Numerical Modelling and Hazard Mitigation of the Moscardo Landslide (Eastern Italian Alps). Eng. Geol. 2012, 128, 95–107. [Google Scholar] [CrossRef]
- Viero, A.; Kuraoka, S.; Borgatti, L.; Breda, A.; Marcato, G.; Preto, N.; Galgaro, A. Numerical Models for Plan-ning Landslide Risk Mitigation Strategies in Iconic but Unstable Landscapes: The Case of Cinque Torri (Dolomites, Italy). Eng. Geol. 2018, 240, 163–174. [Google Scholar] [CrossRef]
- Griffiths, D.V.; Lu, N. Unsaturated Slope Stability Analysis with Steady Infiltration or Evaporation Using Elasto-Plastic Finite Elements. Int. J. Numer. Anal. Methods Geomech. 2005, 29, 249–267. [Google Scholar] [CrossRef]
- Sorbino, G.; Sica, C.; Cascini, L. Susceptibility Analysis of Shallow Landslides Source Areas Using Physically Based Models. Nat. Hazards 2010, 53, 313–332. [Google Scholar] [CrossRef]
- Formetta, G.; Rago, V.; Capparelli, G.; Rigon, R.; Muto, F.; Versace, P. Integrated Physically Based System for Modeling Landslide Susceptibility. Procedia Earth Planet. Sci. 2014, 9, 74–82. [Google Scholar] [CrossRef]
- Centamore, E.; Nisio, S. Effects of Uplift and Tilting in the Central-Northern Apennines (Italy). Quat. Int. 2003, 101–102, 93–101. [Google Scholar] [CrossRef]
- Gentili, B.; Pambianchi, G.; Aringoli, D.; Materazzi, M.; Giacopetti, M. Pliocene-Pleistocene Geomorphological Evolution of the Adriatic Side of Central Italy. Geol. Carpathica 2017, 68, 6–18. [Google Scholar] [CrossRef]
- Itasca. FLAC—Fast Lagrangian Analysis of Continua, Version 8.0.; Itasca Consulting Group Inc., Ed.; Itasca Consulting Group, Inc.: Minneapolis, MN, USA, 2016. [Google Scholar]
- Crescenti, U.; Sciarra, N.; Gentili, B.; Pambianchi, G. Modeling of Complex Deep-Seated Mass Movements in the Central-Southern Marches (Central Italy). In Landslides; Rybář, J., Stemberk, J., Wagner, P., Eds.; Balkema: Lisse, The Netherlands, 2002; pp. 149–155. [Google Scholar] [CrossRef]
- Aringoli, D.; Gentili, B.; Materazzi, M. Mass movements in Adriatic central Italy: Activation and evolutive control factors. In Landslides: Causes, Types and Effects; Nova Science Publishers, Inc.: New York, NY, USA, 2010; pp. 1–71. [Google Scholar]
- Cantalamessa, G.; Centamore, E.; Chiocchini, U.; Colalongo, M.L.; Micarelli, A.; Nanni, T.; Pasini, G.; Potetti, M.; Ricci Lucchi, F.; Cristallini, C.; et al. Il Plio-Pleistocene Delle Marche. Studi Geologici Camerti (Special Volume “La Geologia delle Marche”) 1986, 61–81. Available online: https://www.semanticscholar.org/paper/Il-Plio-Pleistocene-delle-Marche.-Cantalamessa-Centamore/1f38e45fcff286816bcdedfb2da9ea0146477f9d (accessed on 20 March 2021).
- Ori, G.G.; Serafini, G.; Visentin, C.; Lucchi, F.R.; Casnedi, R.; Colalongo, M.L.; Mosna, S. The Pliocene-Pleistocene Adriatic Foredeep (Marche and Abruzzo, Italy): An Integrated Approach to Surface and Subsur-face Geology. In 3rd EAPG Conference, Adriatic Foredeep Field Trip Guide Book; EAPG and AGIP: Florence, Italy, 1991; pp. 26–30. [Google Scholar]
- Gentili, B.; Materazzi, M.; Pambianchi, G.; Scalella, G.; Aringoli, D.; Cilla, G.; Farabollini, P. The Slope Deposits of the Ascensione Mount (Southern Marche, Italy). Geogr. Fis. Din. Quat. 1998, 21, 205–214. [Google Scholar]
- Cantalamessa, G.; Di Celma, C. Sequence Response to Syndepositional Regional Uplift: Insights from High-Resolution Sequence Stratigraphy of Late Early Pleistocene Strata, Periadriatic Basin, Central Italy. Sediment. Geol. 2004, 164, 283–309. [Google Scholar] [CrossRef]
- Buccolini, M.; Bufalini, M.; Coco, L.; Materazzi, M.; Piacentini, T. Small Catchments Evolution on Clayey Hilly Landscapes in Central Apennines and Northern Sicily (Italy) since the Late Pleistocene. Geomorphology 2020, 363, 107206. [Google Scholar] [CrossRef]
- Ambrosetti, P.; Carraro, F.; Deiana, G.; Dramis, F. Il Sollevamento Dell’Italia Centrale Tra Il Pleistocene Infe-riore e Il Pleistocene Medio. P.F. Geodin. 1982, 513, 219–223. [Google Scholar]
- Buccolini, M.; Gentili, B.; Materazzi, M.; Piacentini, T. Late Quaternary Geomorphological Evolution and Ero-sion Rates in the Clayey Peri-Adriatic Belt (Central Italy). Geomorphology 2010, 116, 145–161. [Google Scholar] [CrossRef]
- Wise, D.U.; Funiciello, R.; Parotto, M.; Salvini, F. Topographic Lineament Swarms: Clues to Their Origin from Domain Analysis of Italy. Bull. Geol. Soc. Am. 1985, 96, 952–967. [Google Scholar] [CrossRef]
- Calamita, F. Extensional Mesostructures in Thrust Shear Zone: Example from the Umbro-Marchean Appen-nines. Boll. Soc. Geol. Ital. 1991, 110, 649–660. [Google Scholar]
- Zienkiewicz, C.; Humpheson, C.; Lewis, R.W. Associated and Non-Associated Visco-Plasticity and Plasticity in Soil Mechanics. Geotechnique 1975, 25, 671–689. [Google Scholar] [CrossRef]
- Naylor, D.J. Finite Elements and Slope Stability. In Numerical Methods in Geomechanics; Springer: Dordrecht, The Netherlands, 1982; Volume 8, pp. 229–244. [Google Scholar]
- Matsui, T.; San, K.-C. Finite Element Slope Stability Analysis by Shear Strength Reduction Technique. Soils Found. 1992, 32, 59–70. [Google Scholar] [CrossRef]
- Ugai, K. A Method of Calculation of Total Factor of Safety of Slopes by Elasto-Plastic FEM. Soils Found. 1989, 29, 190–195. [Google Scholar] [CrossRef]
- Ugai, K.; Leshchinsky, D. Three-Dimensional Limit Equilibrium and Finite Element Analyses: A Comparison of Results. Soils Found. 1995, 35, 1–7. [Google Scholar] [CrossRef]
- Dawson, E.M.; Roth, W.H.; Drescher, A. Slope Stability Analysis by Strength Reduction. Geotechnique 1999, 49, 835–840. [Google Scholar] [CrossRef]
- Hoek, E.; Brown, E.T. Practical Estimates of Rock Mass Strength. Int. J. Rock Mech. Min. Sci. 1997, 34, 1165–1186. [Google Scholar] [CrossRef]
- Alejano, L.R.; Alonso, E. Considerations of the Dilatancy Angle in Rocks and Rock Masses. Int. J. Rock Mech. Min. Sci. 2005, 42, 481–507. [Google Scholar] [CrossRef]
- Zhao, X.G.; Cai, M. A Mobilized Dilation Angle Model for Rocks. Int. J. Rock Mech. Min. Sci. 2010, 47, 368–384. [Google Scholar] [CrossRef]
- Cundall, P.A.; Carranza-Torres, C.; Hart, R.D. A New Constitutive Model Based on the Hoek-Brown Criteri-on. FLAG Numer. Model. In FLAC and Numerical Modeling in Geomechanics, Proceedings of the third International Flac Symposium, Sudbury, ON, Canada, 21–24 October 2003; Balkema: Lisse, The Netherlands, 2003. [Google Scholar]
- Hoek, E. Strength of Rock and Masses. ISRM New J. 1994, 2, 4–16. [Google Scholar]
- Hoek, E.; Kaiser, P.K.; Bawden, W.F. Support of Underground Excavations in Hard Rock. Environ. Eng. Geosci. 1996, 2, 609–615. [Google Scholar] [CrossRef]
- Marinos, P.; Marinos, V.; Hoek, E. Geological Strength Index (GSI): A characterization tool for assessing engineering properties for rock masses. In Proceedings of International Workshop on Rock Mass Classification for Underground Mining; Mark, C., Pakalnis, R., Tuchman, R.J., Eds.; Taylor and Francis Group: Madrid, Spain; London, UK, 2007; pp. 87–94. [Google Scholar] [CrossRef]
- Aringoli, D.; Buccolini, M.; Coco, L.; Dramis, F.; Farabollini, P.; Gentili, B.; Giacopetti, M.; Materazzi, M.; Pambianchi, G. The Effects of In-Stream Gravel Mining on River Incision: An Example from Central Adriatic Italy. Zeitschrift Geomorphol. 2015, 59, 95–107. [Google Scholar] [CrossRef]
- Lollino, P.; Cotecchia, F.; Elia, G.; Mitaritonna, G.; Santaloia, F. Interpretation of landslide mechanisms based on numerical modelling: Two case-histories. Eur. J. Environ. Civ. Eng. 2016, 20, 1032–1053. [Google Scholar] [CrossRef]
- Hoek, E.; Marinos, P.; Benissi, M. Applicability of the Geological Strength Index (GSI) Classification for Very Weak and Sheared Rock Masses. The Case of the Athens Schist Formation. Bull. Eng. Geol. Environ. 1998, 57, 151–160. [Google Scholar] [CrossRef]
- Marinos, P.; Hoek, E. Estimating the Geotechnical Properties of Heterogeneous Rock Masses Such as Flysch. Bull. Eng. Geol. Environ. 2001, 60, 85–92. [Google Scholar] [CrossRef]
- Budetta, P.; Nappi, M. Heterogeneous Rock Mass Classification by Means of the Geological Strength Index: The San Mauro Formation (Cilento, Italy). Bull. Eng. Geol. Environ. 2011, 70, 585–593. [Google Scholar] [CrossRef]
- Stück, H.; Koch, R.; Siegesmund, S. Petrographical and Petrophysical Properties of Sandstones: Statistical Analysis as an Approach to Predict Material Behaviour and Construction Suitability. Environ. Earth Sci. 2013, 69, 1299–1332. [Google Scholar] [CrossRef]
- Cantalamessa, G.; Centamore, E.; Didaskalou, P.; Micarelli, A.; Napoleone, G.; Potetti, M. Elementi Di Correlazione Nella Successione Marina Plio-Pleistocenica Del Bacino Periadriatico Marchigiano. Stud. Geol. Camerti 2002, 1, 33–49. [Google Scholar]









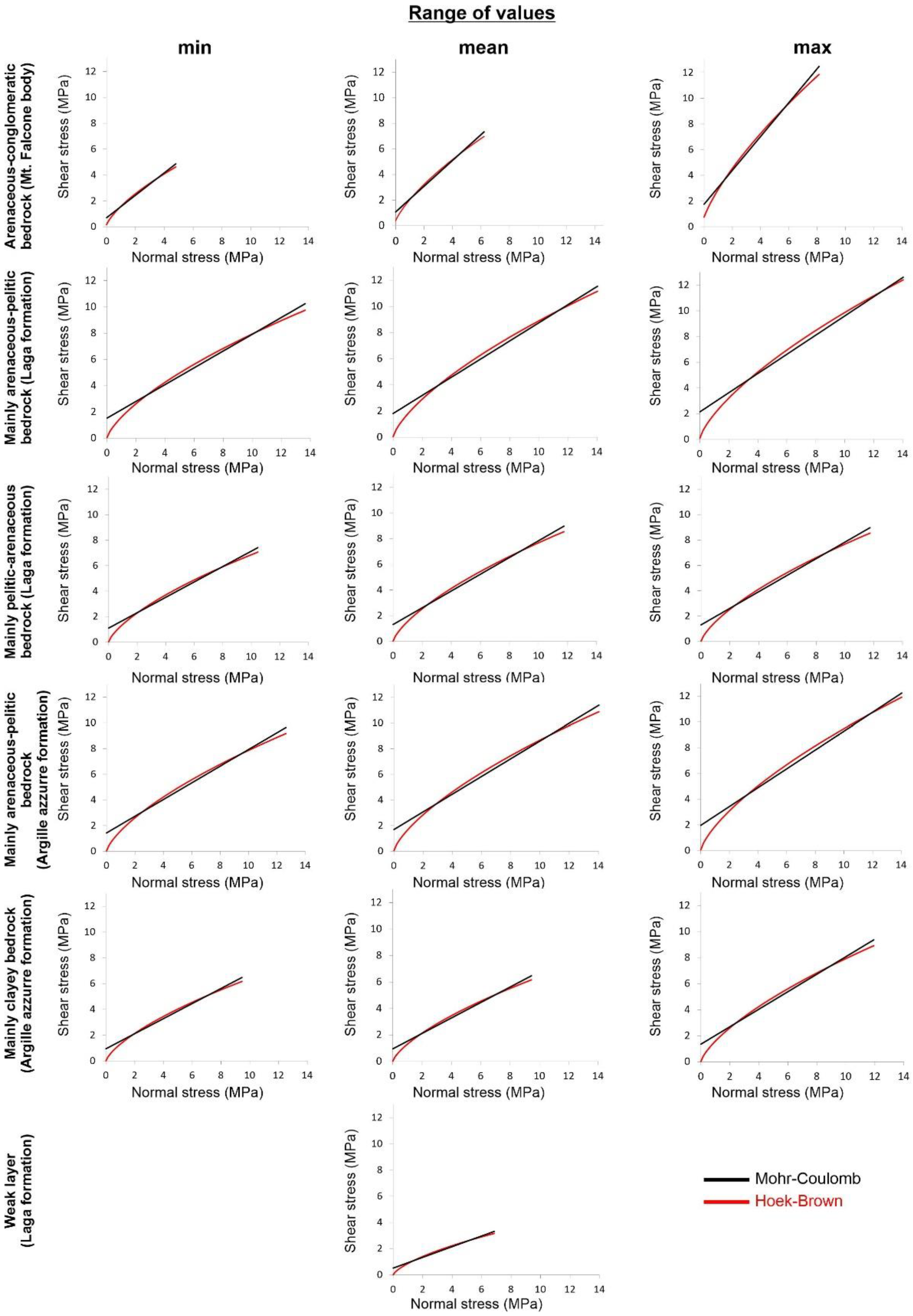
| Failure Model | Material Properties (Mohr–Coulomb Method) | Material Properties (Mohr–Coulomb and Modified Hoek–Brown Methods) | ||||||||||||||||||||||||||||
| Parameter | Friction (φ) | Cohesion (c) | Density (ρ) | Tension (T) | Dilation (ψ) | |||||||||||||||||||||||||
| Units | Deg. | kPa | kg/m3 | kPa | Deg. | |||||||||||||||||||||||||
| Range of Values | Min | Mean | Max | Min | Mean | Max | Min | Mean | Max | Min | Mean | Max | Min | Mean | Max | |||||||||||||||
| Arenaceous-conglomeratic bedrock (Mount Falcone body) | 17 | 19 | 20 | 13,000 | 15,000 | 17,000 | 2050 | 2335 | 2620 | 185 | 281 | 377 | 4.0 | 6.5 | 9.0 | |||||||||||||||
| Mainly arenaceous-pelitic bedrock (Laga formation) | 15 | 17 | 18 | 10,500 | 11,800 | 13,000 | 1900 | 2100 | 2300 | 127 | 147 | 166 | 2.0 | 2.5 | 3.0 | |||||||||||||||
| Mainly pelitic-arenaceous bedrock (Laga formation) | 14 | 15 | 15 | 5500 | 6420 | 7340 | 1700 | 1850 | 2000 | 56.8 | 86 | 11.5 | 1.0 | 1.5 | 2.0 | |||||||||||||||
| Mainly arenaceous-pelitic bedrock (Argille Azzurre formation) | 15 | 16 | 17 | 9500 | 11,000 | 12,500 | 1850 | 2025 | 2200 | 111 | 132 | 152 | 2.0 | 2.5 | 3.0 | |||||||||||||||
| Mainly clayey bedrock (Argille Azzurre formation) | 12 | 20 | 27 | 3400 | 4600 | 5800 | 1700 | 1825 | 1950 | 45.9 | 76.9 | 108 | 1.0 | 1.5 | 2.0 | |||||||||||||||
| Weak layer (Laga formation) | n.a | 16 | n.a | n.a | 62.5 | n.a | n.a | 1650 | n.a | n.a | 10.5 | n.a | 0.0 | 0.0 | 0.0 | |||||||||||||||
| Slope and colluvial deposits | 17 | 19 | 20 | 8 | 9 | 10 | 1650 | 1725 | 1800 | 0 | 0 | 0 | n.a | n.a | n.a | |||||||||||||||
| Failure Model | Material Properties (Modified Hoek–Brown Method) | |||||||||||||||||||||||||||||
| Parameter | Geological Strength Index | Hoek–Brown Constant | mb | s | a | σc | ||||||||||||||||||||||||
| Units | (GSI) | (mi) | (MPa) | |||||||||||||||||||||||||||
| Range of Values | Min | Mean | Max | Min | Mean | Max | Min | Mean | Max | Min | Mean | Max | Min | Mean | Max | Min | Mean | Max | ||||||||||||
| Arenaceous-conglomeratic bedrock (Mount Falcone body) | 45 | 55 | 65 | n.a | n.a | n.a | n.a | n.a | n.a | n.a | n.a | n.a | n.a | n.a | n.a | 35 | 45 | 55 | ||||||||||||
| Mainly arenaceous-pelitic bedrock (Laga formation) | 40 | 44 | 48 | 18.0 | 20.0 | 22.0 | 2.11 | 2.77 | 3.43 | 0.0012 | 0.0021 | 0.0030 | 0.50 | 0.50 | 0.50 | 29.8 | 32.3 | 34.8 | ||||||||||||
| Mainly pelitic-arenaceous bedrock (Laga formation) | 31 | 35.5 | 40 | 21.0 | 22.5 | 24.0 | 1.78 | 2.30 | 2.81 | 0.0004 | 0.0008 | 0.0012 | 0.50 | 0.50 | 0.50 | 23.5 | 25.5 | 27.5 | ||||||||||||
| Mainly arenaceous-pelitic bedrock (Argille Azzurre formation) | 40 | 42.5 | 45 | 19.0 | 21.0 | 23.0 | 2.22 | 2.72 | 3.22 | 0.0007 | 0.0015 | 0.0022 | 0.50 | 0.50 | 0.50 | 27.4 | 30.2 | 32.9 | ||||||||||||
| Mainly clayey bedrock (Argille Azzurre formation) | 27 | 31 | 35 | 22.0 | 23.5 | 25.0 | 1.62 | 2.04 | 2.45 | 0.0003 | 0.0005 | 0.0007 | 0.50 | 0.50 | 0.50 | 21.6 | 23.6 | 25.6 | ||||||||||||
| Weak layer (Laga formation) | n.a | 20 | n.a | n.a | 30.0 | n.a | n.a | 1.72 | n.a | n.a | 0.0005 | n.a | n.a | 0.53 | n.a | n.a | 18 | n.a | ||||||||||||
| Slope and colluvial deposits | n.a | n.a | n.a | n.a | n.a | n.a | n.a | n.a | n.a | n.a | n.a | n.a | n.a | n.a | n.a | n.a | n.a | n.a | ||||||||||||
| Cross- Section | Failure Model | Factor of Safety | In Agreement with the Geomorphological Model | |||||
|---|---|---|---|---|---|---|---|---|
| No Water | Water | |||||||
| Min | Mean | Max | Min | Mean | Max | |||
| Sect_1V | Hoek–Brown | 7.46 | 8.01 | 8.47 | 4.30 | 4.93 | 5.48 | yes |
| Sect_2V | Hoek–Brown/ Mohr–Coulomb/ Ubiquitous | 5.57 | 5.85 | 6.09 | 4.60 | 4.96 | 5.22 | yes |
| Sect_3V | Hoek–Brown | 5.42 | 5.86 | 6.22 | 3.06 | 3.51 | 3.92 | yes |
| Sect_4V | Hoek–Brown/ Mohr–Coulomb | 1.28 | 1.42 | 1.50 | 0.94 | 1.06 | 1.15 | yes |
| Sect_5V | Hoek–Brown/Mohr–Coulomb/Ubiquitous | 1.47 | 1.62 | 1.72 | 0.97 | 1.08 | 1.17 | only partially |
| Sect_6V | Hoek–Brown/Mohr–Coulomb | 0.96 | 1.07 | 1.13 | 0.71 | 0.93 | 0.99 | no |
| Sect_1M | Hoek–Brown/Mohr–Coulomb | 1.22 | 1.38 | 1.45 | 0.89 | 1.01 | 1.08 | no |
| Sect_2M | Hoek–Brown/Mohr–Coulomb/Ubiquitous | 1.28 | 1.42 | 1.51 | 0.96 | 1.08 | 1.16 | yes |
| Sect_3M | Hoek–Brown/Mohr–Coulomb | 1.49 | 1.66 | 1.76 | 1.35 | 1.50 | 1.60 | yes |
| Sect_4M | Hoek–Brown/Mohr–Coulomb/Ubiquitous | 1.56 | 1.74 | 1.85 | 1.30 | 1.46 | 1.55 | no |
Publisher’s Note: MDPI stays neutral with regard to jurisdictional claims in published maps and institutional affiliations. |
© 2021 by the authors. Licensee MDPI, Basel, Switzerland. This article is an open access article distributed under the terms and conditions of the Creative Commons Attribution (CC BY) license (https://creativecommons.org/licenses/by/4.0/).
Share and Cite
Materazzi, M.; Bufalini, M.; Gentilucci, M.; Pambianchi, G.; Aringoli, D.; Farabollini, P. Landslide Hazard Assessment in a Monoclinal Setting (Central Italy): Numerical vs. Geomorphological Approach. Land 2021, 10, 624. https://doi.org/10.3390/land10060624
Materazzi M, Bufalini M, Gentilucci M, Pambianchi G, Aringoli D, Farabollini P. Landslide Hazard Assessment in a Monoclinal Setting (Central Italy): Numerical vs. Geomorphological Approach. Land. 2021; 10(6):624. https://doi.org/10.3390/land10060624
Chicago/Turabian StyleMaterazzi, Marco, Margherita Bufalini, Matteo Gentilucci, Gilberto Pambianchi, Domenico Aringoli, and Piero Farabollini. 2021. "Landslide Hazard Assessment in a Monoclinal Setting (Central Italy): Numerical vs. Geomorphological Approach" Land 10, no. 6: 624. https://doi.org/10.3390/land10060624
APA StyleMaterazzi, M., Bufalini, M., Gentilucci, M., Pambianchi, G., Aringoli, D., & Farabollini, P. (2021). Landslide Hazard Assessment in a Monoclinal Setting (Central Italy): Numerical vs. Geomorphological Approach. Land, 10(6), 624. https://doi.org/10.3390/land10060624

