Comparative Analysis of the Factors Influencing Land Use Change for Emerging Industry and Traditional Industry: A Case Study of Shenzhen City, China
Abstract
1. Introduction
2. Materials and Methods
2.1. Study Area
2.1.1. Overview of Shenzhen City
2.1.2. Types of Emerging Industry Land in Shenzhen
2.1.3. Spatial Distribution of Emerging Industry Land in Shenzhen
2.2. Data Sources
2.3. Methods
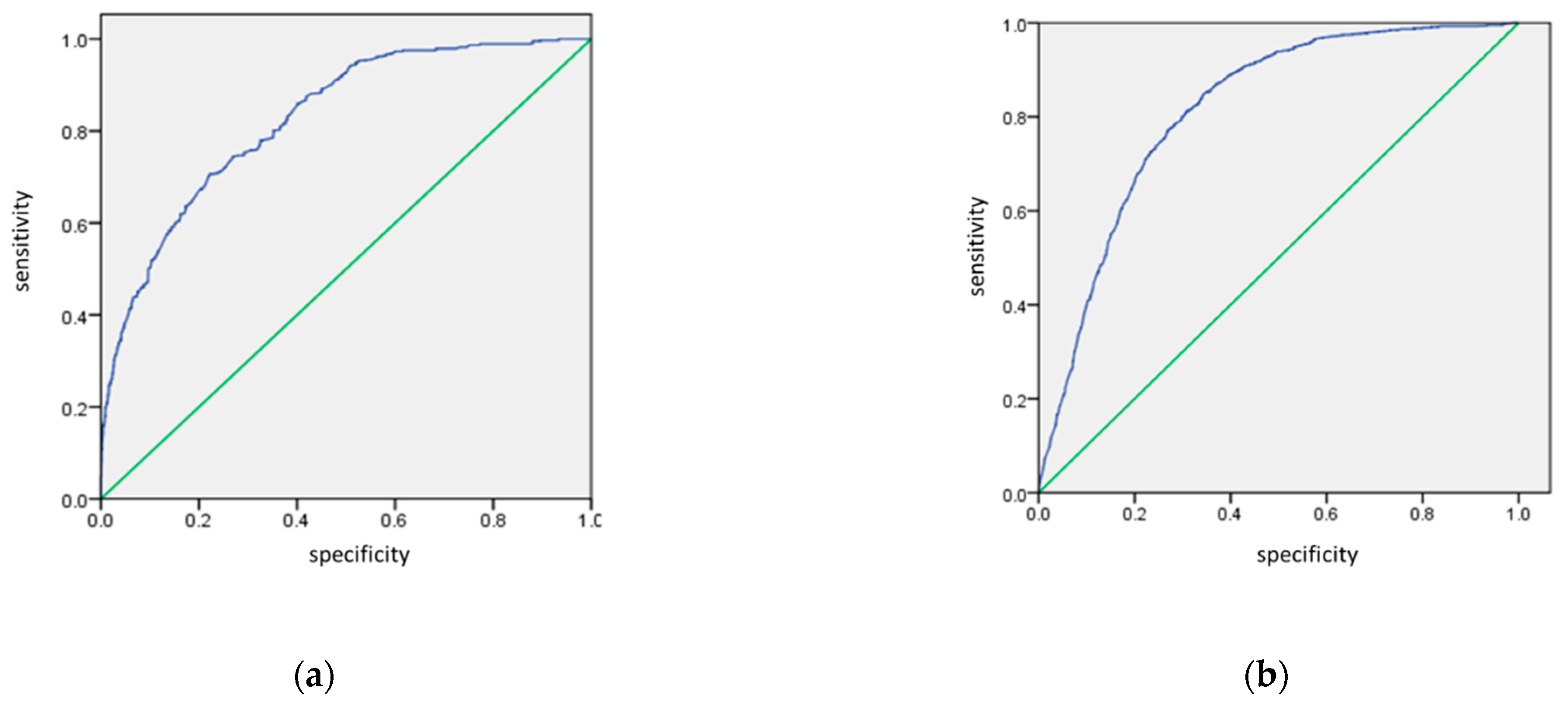
3. Results and Analysis
3.1. Results for Emerging Industry Land
3.2. Results for Industrial Land
3.3. Comparative Analysis
- (i)
- Natural conditions. The two explanatory variables, elevation and slope, were not included in the regression model of emerging industry land use, which shows that natural conditions have minimal effects on the land use change of emerging industry, perhaps because emerging industry land is mainly from newly transferred land, innovative industrial parks, and cultural and creative parks, which are similar in their natural conditions. The land slope is included in the regression model of industrial land use, probably because flat terrain is more likely to be chosen when selecting industrial land sites. The terrain in Shenzhen is mostly low hilly land with gentle slopes, and there are no obvious changes in altitude; therefore, areas with low slopes are more likely to be chosen for industrial land.
- (ii)
- Traffic locations. The two explanatory variables, the number of railway stations and the distance from airports, were included in the regression model of emerging industry land use rather than industrial land, probably because the regional locations and aviation economy produce large differences in the exports of emerging industries. Since part of emerging industry land has been transformed from traditional industry land, more mature industry development and more convenient transportation increase the likelihood that emerging industry regions are formed. The distance from ports was included in the regression model of industrial land use, indicating that foreign capital and technology have major influences on the change in industrial land use and that ports play an important role.
- (iii)
- Population. The size of the population was included the land use regression model of traditional industry rather than that of emerging industry. The quality of the population is exactly the opposite, mainly because during the industrialization process in Shenzhen, most of the industry has been labor-intensive and thus has relied strongly on labor availability. With advances in technology, abundance of capital, and shortage of land resources, some industrial enterprises have been updated from the original “three types of processing plus compensation trades” [60]. Before 2008, there was no emerging industry land in Shenzhen. This land did not appear until 2009 in Nanshan District, where science and technology have reached very high levels, and in Longgang District, where there is a relatively large industrial area. Innovative industry strongly depends on talent, so population quality has become an explanatory variable of emerging industry land use.
- (iv)
- Economic development. The two explanatory variables, proportion of secondary industry and proportion of tertiary industry, were included in both the land use regression models of emerging industry and traditional industry, mainly because the development of secondary and tertiary industries has motivated land use change. Industrial development increases the chance of agricultural land being converted into emerging industry land or industrial land. From the differences between the two, industrial land is more affected by fixed asset investments, mainly because the change in the amount of fixed asset investments directly affects the area of industrial land, thus affecting industrial land change. Emerging industry lies between secondary industry and tertiary industry, and it is more likely to appear in the regions where tertiary industry is well-developed.
- (v)
- Innovation drive. Four influencing factors, the number of regional patent applications; the number of regional universities and science and research institutions; the number of regional primary and middle schools; and the number of regional libraries, exhibition halls, and museums, were all included in the land use regression model of emerging industry rather than that of traditional industry, which shows that innovation drive has a marked impact on the land use change of emerging industry but a relatively small impact on industrial land use change. As shown in the distribution of the emerging industry land in Shenzhen, emerging industry land is close to science and research institutions and libraries, and the educational facilities around it are relatively mature. These factors work together to attract emerging industry. In contrast, industrial land is more dependent on roads, rail transportation, and other municipal facilities.
4. Discussion
5. Conclusions
Author Contributions
Funding
Acknowledgments
Conflicts of Interest
Appendix A



References
- Gao, X.; Ma, Y. Spatial pattern and influencing factor of county-level industrial development in Liaoning Province of China. Chin. Geogr. Sci. 2008, 18, 24–32. [Google Scholar] [CrossRef][Green Version]
- China’s National Economic and Social Development Statistical Bulletin in 2019. Available online: http://www.stats.gov.cn/tjsj/zxfb/202002/t20200228_1728913.html (accessed on 28 February 2020).
- Urban Construction Statistical Yearbook in 2009. Available online: http://www.mohurd.gov.cn/xytj/tjzljsxytjgb/jstjnj/index_2.html (accessed on 2 February 2016).
- Urban Construction Statistical Yearbook in 2019. Available online: http://www.mohurd.gov.cn/xytj/tjzljsxytjgb/jstjnj/index.html (accessed on 31 December 2020).
- Tu, F.; Yu, X.F.; Ruan, J.Q. Industrial land use efficiency under government intervention: Evidence from Hangzhou, China. Habitat Int. 2014, 43, 1–10. [Google Scholar] [CrossRef]
- Kuang, W.; Liu, J.; Dong, J.; Chi, W.; Zhang, C. The rapid and massive urban and industrial land expansions in China between 1990 and 2010: A CLUD-based analysis of their trajectories, patterns, and drivers. Landsc. Urban Plan. 2016, 145, 21–33. [Google Scholar] [CrossRef]
- Xie, H.; Zhai, Q.; Wang, W.; Yu, J.; Lu, F.; Chen, Q. Does intensive land use promote a reduction in carbon emissions? Evidence from the Chinese industrial sector. Resour. Conserv. Recycl. 2018, 137, 167–176. [Google Scholar] [CrossRef]
- Lin, Z.; Li, T.; Cao, Y.; Yang, L. Industrial land supply at different technological intensities and its contribution to economic growth in China: A case study of the Beijing-Tianjin-Hebei region. Land Use Policy 2020. [Google Scholar] [CrossRef]
- Zhang, J.; Otsuka, K.; Fu, X.; Yan, S. Introduction to symposium: Structural change, industrial upgrading and China’s economic transformation. Chin. Econ. Rev. 2017, 46, S1–S2. [Google Scholar] [CrossRef]
- Whitfield, L.; Staritz, C.; Morris, M. Global Value Chains, Industrial Policy and Economic Upgrading in Ethiopia’s Apparel Sector. Dev. Chang. 2020, 51, 1018–1043. [Google Scholar] [CrossRef]
- Geng, Y.; Liu, W.; Wu, Y. How do zombie firms affect China’s industrial upgrading? Econ. Model. 2021, 97, 79–94. [Google Scholar] [CrossRef]
- Czyzewski, B.; Matuszczak, A. A new land rent theory for sustainable agriculture. Land Use Policy 2016, 55, 222–229. [Google Scholar] [CrossRef]
- Mei, T.S. An Economic Turn: A Hermeneutical reinterpretation of political economy with respect to the question of land. Res. Phenomenol. 2011, 41, 297–326. [Google Scholar] [CrossRef]
- Kim, J.H. Linking land use planning and regulation to economic development: A literature review. J. Plan. Lit. 2011, 26, 35–47. [Google Scholar]
- Thrall, G.I. 3 pure planning scenarios and the consumption theory of land rent. Polit. Geogr. Quart. 1983, 2, 219–231. [Google Scholar] [CrossRef]
- Odum, E.P. Fundamentals of Ecology, 3rd ed.; W.B. Saunders Co.: Philadelphia, PA, USA, 1971; pp. 1–574. [Google Scholar]
- Dipasquale, D.P.; Wheaton, W.C. Urban Economics and Real Estate Markets; Prentice-Hall: Hoboken, NJ, USA, 1995; pp. 1–378. [Google Scholar]
- Berke, P.R.; Godschalk, D.R. Urban Land Use Planning, 5th ed.; University of Illinois Press: Chicago, IL, USA, 2006; pp. 1–504. [Google Scholar]
- Harvey, D. Class monopoly rent, Finance capitals and the urban revolution. Region. Stud. 1974, 8, 239–255. [Google Scholar] [CrossRef]
- Capozza, D.R.; Helsley, R.W. The fundamentals of land prices and urban-growth. J. Urban Econ. 1989, 26, 295–306. [Google Scholar] [CrossRef]
- Wheaton, W.C. Urban residential growth under perfect foresight. J. Urban Econ. 1982, 12, 1–21. [Google Scholar] [CrossRef]
- Cox, K.R.; Reynolds, D.R. Locational Approaches to Power and Conflict; John Wiley and Sons: New York, NY, USA, 1974; pp. 109–140. [Google Scholar]
- Shikary, C.; Rudra, S. Measuring urban land use change and sprawl using geospatial techniques: A study on Purulia Municipality, West Bengal, India. J. Ind. Soc. Remote Sens. 2020, 49, 1–16. [Google Scholar] [CrossRef]
- Form, W.H. The place of social structure in the determination of land use. Soc. Forces 1954, 32, 317–323. [Google Scholar] [CrossRef]
- Pacione, M. The internal structure of cities in the Third World. Geography 2001, 86, 189–209. [Google Scholar]
- Verburg, P.H. Simulating feedbacks in land use and land cover change models. Landsc. Ecol. 2006, 21, 1171–1183. [Google Scholar] [CrossRef]
- Jahanifar, K.; Amirnejad, H.; Mojaverian, S.M.; Azadi, H. Land use change drivers in the Hyrcanian Vegetation Area: Dynamic simultaneous equations system with panel data approach. Land Use Policy 2020, 99. [Google Scholar] [CrossRef]
- Nelson, A.C.; Moore, T. Assessing growth management policy implementation: Case study of the United States’ leading growth management state. Land Use Policy 1996, 13, 241–259. [Google Scholar] [CrossRef]
- Daniels, T. Smart growth: A new American approach to regional planning. Plan. Pract. Res. 2001, 16, 271–279. [Google Scholar] [CrossRef]
- Knaap, G.J. The price effects of urban-growth boundaries in metropolitan Portland, Oregon. Land Econ. 1985, 61, 26–35. [Google Scholar] [CrossRef]
- Gordon, P.; Richardson, H.W. Are compact cities a desirable planning goal? J. Am. Plan. Assoc. 1997, 63, 95–106. [Google Scholar] [CrossRef]
- Seto, K.C.; Kaufmann, R.K. Modeling the drivers of urban land use change in the Pearl River Delta, China: Integrating remote sensing with socioeconomic data. Land Econ. 2003, 79, 106–121. [Google Scholar] [CrossRef]
- Wang, B.; Tian, L.; Yao, Z. Institutional uncertainty, fragmented urbanization and spatial lock-in of the peri-urban area of China: A case of industrial land redevelopment in Panyu. Land Use Policy 2018, 72, 241–249. [Google Scholar] [CrossRef]
- Wu, C.; Wei, Y.D.; Huang, X.; Chen, B. Economic transition, spatial development and urban land use efficiency in the Yangtze River Delta, China. Habitat Int. 2017, 63, 67–78. [Google Scholar] [CrossRef]
- Kuang, W. National urban land-use/cover change since the beginning of the 21st century and its policy implications in China. Land Use Policy 2020, 97. [Google Scholar] [CrossRef]
- Chen, W.; Shen, Y.; Wang, Y.; Wu, Q. How do industrial land price variations affect industrial diffusion? Evidence from a spatial analysis of China. Land Use Policy 2018, 71, 384–394. [Google Scholar] [CrossRef]
- Zhou, Y.; Li, X.; Liu, Y. Land use change and driving factors in rural China during the period 1995–2015. Land Use Policy 2020, 99. [Google Scholar] [CrossRef]
- Xie, H.; He, Y.; Xie, X. Exploring the factors influencing ecological land change for China’s Beijing–Tianjin–Hebei Region using big data. J. Clean. Prod. 2017, 142, 677–687. [Google Scholar] [CrossRef]
- Zhao, C.; Jensen, J.; Zhan, B. A comparison of urban growth and their influencing factors of two border cities: Laredo in the US and Nuevo Laredo in Mexico. Appl. Geogr. 2017, 79, 223–234. [Google Scholar] [CrossRef]
- Zhao, C.; Jensen, J.L.; Weaver, R. Global and Local Modeling of Land Use Change in the Border Cities of Laredo, Texas, USA and Nuevo Laredo, Tamaulipas, Mexico: A Comparative Analysis. Land 2020, 9, 347. [Google Scholar] [CrossRef]
- Zhou, Y.; Huang, X.; Chen, Y.; Zhong, T.; Xu, G.; He, J.; Xu, Y.; Meng, H. The effect of land use planning (2006–2020) on construction land growth in China. Cities 2017, 68, 37–47. [Google Scholar] [CrossRef]
- Zhang, B.; Zhou, W. Spatial–Temporal Characteristics of Precipitation and Its Relationship with Land Use/Cover Change on the Qinghai-Tibet Plateau, China. Land 2021, 10, 269. [Google Scholar] [CrossRef]
- Zhou, S.; Wang, K.; Yang, S.; Li, W.; Zhang, Y.; Zhang, B.; Fu, Y.; Liu, X.; Run, Y.; Chubwa, O.G.; et al. Warming Effort and Energy Budget Difference of Various Human Land Use Intensity: Case Study of Beijing, China. Land 2020, 9, 280. [Google Scholar] [CrossRef]
- Li, Y.; Bi, Y.; Mi, W.; Xie, S.; Ji, L. Land-use change caused by anthropogenic activities increase fluoride and arsenic pollution in groundwater and human health risk. J. Hazard. Mater. 2021, 406. [Google Scholar] [CrossRef] [PubMed]
- Georgallis, P.P.; Dowell, G.; Durand, R. Shine on Me: Industry Coherence and Policy Support for Emerging Industries. Admin. Sci. Quart. 2018, 64, 503–541. [Google Scholar] [CrossRef]
- Guidelines for the Implementation of Industrial Land Policy (2019 Edition). Available online: http://gi.mnr.gov.cn/201905/t20190515_2411617.html (accessed on 15 May 2019).
- Huang, Y.C.; Swamidass, P.; Raju, D.A. The nature of innovation in emerging industries in China: An exploratory study. J. Technol. Transf. 2016, 41, 451–468. [Google Scholar] [CrossRef]
- Qian, J.; Peng, Y.; Luo, C.; Wu, C.; Du, Q. Urban land expansion and sustainable land use policy in Shenzhen: A case study of China’s rapid urbanization. Sustainability 2016, 8, 16. [Google Scholar] [CrossRef]
- Shi, P.; Yu, D. Assessing urban environmental resources and services of Shenzhen, China: A landscape-based approach for urban planning and sustainability. Landsc. Urban Plan. 2014, 125, 290–297. [Google Scholar] [CrossRef]
- Zacharias, J.; Ma, B. Industrial zone development policy related to real estate and transport outcomes in Shenzhen, China. Land Use Policy 2015, 47, 382–393. [Google Scholar] [CrossRef]
- Sun, Y.; Chen, Z.; Duan, X.; Zhang, Y. Increase of land policy support to promote the development of emerging industries. Mod. Urban Res. 2012, 12, 60–69. (in Chinese). [Google Scholar]
- Hu, Z.Y.; Lo, C.P. Modeling urban growth in Atlanta using logistic regression. Comput. Environ. Urban Syst. 2007, 31, 667–688. [Google Scholar] [CrossRef]
- Vach, W. Logistic Regression with Missing Values in the Covariates; Springer: New York, NY, USA, 1988; pp. 460–461. [Google Scholar]
- Pearce, J.; Ferrier, S. Evaluating the predictive performance of habitat models developed using logistic regression. Ecol. Model. 2000, 133, 225–245. [Google Scholar] [CrossRef]
- Hall, W.L.; Zuuring, H.R.; Hardy, C.C.; Wakimoto, R.H. Applying logistic regression to determine regeneration risk to stand replacement fire on the Kootenai National Forest, Montana. West. J. Appl. For. 2003, 18, 155–162. [Google Scholar] [CrossRef]
- Arekhi, S. Modeling spatial pattern of deforestation using GIS and logistic regression: A case study of northern Ilam forests, Ilam province, Iran. Afr. J. Biotechnol. 2011, 10, 16236–16249. [Google Scholar]
- Schneider, L.C.; Pontius, R.G. Modeling land-use change in the Ipswich watershed, Massachusetts, USA. Agric. Ecosyst. Environ. 2001, 85, 83–94. [Google Scholar] [CrossRef]
- Verburg, P.H.; Veldkamp, A.; Fresco, L.O. Simulation of changes in the spatial pattern of land use in China. Appl. Geogr. 1999, 19, 211–233. [Google Scholar] [CrossRef]
- Serra, P.; Pons, X.; Sauri, D. Land-cover and land-use change in a Mediterranean landscape: A spatial analysis of driving forces integrating biophysical and human factors. Appl. Geogr. 2008, 28, 189–209. [Google Scholar] [CrossRef]
- Hao, P.; Geertman, S.; Hooimeijer, P.; Sliuzas, R. The land-use diversity in urban villages in Shenzhen. Environ. Plan. A 2012, 44, 2742–2764. [Google Scholar] [CrossRef]
- Yu, J.; Zhou, K.; Yang, S. Land use efficiency and influencing factors of urban agglomerations in China. Land Use Policy 2019, 88. [Google Scholar] [CrossRef]
- Li, L.; Qi, Z.; Xian, S.; Yao, D. Agricultural land use change in Chongqing and the policy rationale behind it: A multiscale perspective. Land 2021, 10, 275. [Google Scholar] [CrossRef]
- Wang, H.; Stephenson, S.R.; Qu, S. Modeling spatially non-stationary land use/cover change in the lower Connecticut River Basin by combining geographically weighted logistic regression and the CA-Markov model. Int. J. Geogr. Inf. Sci. 2019, 33, 1313–1334. [Google Scholar] [CrossRef]
- Peng, J.; Zhao, M.; Guo, X.; Pan, Y.; Liu, Y. Spatial-temporal dynamics and associated driving forces of urban ecological land: A case study in Shenzhen City, China. Habitat Int. 2017, 60, 81–90. [Google Scholar] [CrossRef]
- Xie, H.; Chen, Q.; Lu, F.; Wang, W.; Yao, G.; Yu, J. Spatial-temporal disparities and influencing factors of total-factor green use efficiency of industrial land in China. J. Clean. Prod. 2019, 207, 1047–1058. [Google Scholar] [CrossRef]
- Shu, H.; Xiong, P. Reallocation planning of urban industrial land for structure optimization and emission reduction: A practical analysis of urban agglomeration in China’s Yangtze River Delta. Land Use Policy 2019, 81, 604–623. [Google Scholar] [CrossRef]
- Dendoncker, N.; Rounsevell, M.; Bogaert, P. Spatial analysis and modelling of land use distributions in Belgium. Comput. Environ. Urban Syst. 2007, 31, 188–205. [Google Scholar] [CrossRef]
- Rhemtulla, J.M.; Mladenoff, D.J.; Clayton, M.K. Regional land-cover conversion in the US upper Midwest: Magnitude of change and limited recovery (1850-1935-1993). Landsc. Ecol. 2007, 22, 57–75. [Google Scholar] [CrossRef]
- Lant, C.; Loftus, T.; Kraft, S.; Bennett, D. Land-use dynamics in a southern Illinois (USA) watershed. Environ. Manag. 2001, 28, 325–340. [Google Scholar] [CrossRef]
- Brook, R.J.; Arnold, G.C. Applied Regression Analysis and Experimental Design; Marcel Dekker: New York, NY, USA, 1985; pp. 1–252. [Google Scholar]



| District | Area (hm2) | Proportion of the Total Area of the City (%) | High-Tech Industrial Parks | Creative INDUSTRIAL Parks | Enterprise Incubators | Corporate Headquarters | Makerspaces | Industrial Buildings |
|---|---|---|---|---|---|---|---|---|
| Luohu | 69 | 3.79% | 6 | 5 | 2 | 2 | - | - |
| Futian | 212 | 11.64% | 7 | 10 | 4 | 12 | - | 2 |
| Nanshan | 623 | 34.21% | 14 | 10 | 34 | 35 | 5 | 2 |
| Yantian | 9 | 0.49% | - | 1 | 1 | - | - | - |
| Baoan | 169 | 9.28% | 26 | 9 | 10 | 3 | 2 | - |
| Longgang | 458 | 25.15% | 17 | 14 | 8 | 5 | 1 | - |
| Guangming | 115 | 6.32% | 2 | 2 | 2 | 1 | - | - |
| Pingshan | 42 | 2.31% | 2 | 1 | 2 | - | - | - |
| Longhua | 118 | 6.48% | 3 | 8 | 2 | 2 | - | - |
| Dapeng | 6 | 0.33% | 2 | 1 | 2 | - | - | - |
| Total | 1821 | 100.00% | 79 | 61 | 67 | - | - | - |
| Variable | Factor | Type | Units | |
|---|---|---|---|---|
| Dependent | land use change in emerging industry (2009–2019) | two-category classification | 0–1 | |
| land use change in traditional industry (2000–2019) | two-category classification | 0–1 | ||
| Independent | natural conditions | elevation | continuous | m |
| land slope | multi-category classification | 1–3 | ||
| traffic locations | distance from highways | continuous | km | |
| distance from public roads | continuous | km | ||
| distance from airports | continuous | km | ||
| distance from ports | continuous | km | ||
| distance from railway freight stations | continuous | km | ||
| number of railway stations | continuous | number | ||
| population | change in population size | continuous | 104 persons | |
| change in population quality | continuous | % | ||
| economic development | GDP change | continuous | 108 yuan | |
| change in proportion of secondary industry | continuous | % | ||
| change in proportion of tertiary industry | continuous | % | ||
| change in fixed assets investment | continuous | 108 yuan | ||
| innovation drive | change in number of regional patent applications | continuous | number | |
| change in number of regional science and research institutions (universities and science and research institutions) | continuous | number | ||
| change in number of regional primary and middle schools | continuous | number | ||
| change in number of regional libraries, exhibition halls, and museums | continuous | number | ||
| Variable | Wald x2 Statistics | Significance Level | Exp (B) |
|---|---|---|---|
| Distance from public roads | 6.15 | * | 0.84 |
| Distance from highways | 173.76 | * | 0.29 |
| Distance from airports | 25.40 | * | 0.66 |
| Distance from railway freight stations | 5.72 | * | 1.22 |
| Number of railway stations | 19.57 | * | 1.43 |
| Quality of population | 24.39 | * | 0.79 |
| Proportion of secondary industry | 53.92 | * | 1.84 |
| Proportion of tertiary industry | 66.57 | * | 10.80 |
| Number of regional patent applications | 50.80 | * | 2.04 |
| Number of regional science and research institutions (universities and science and research institutions) | 45.02 | * | 1.83 |
| Number of regional primary and middle schools | 4.41 | * | 0.04 |
| Number of regional libraries, exhibition halls, and museums | 16.84 | * | 0.39 |
| Constants | 46.02 | * | 0.00 |
| ROC | 0.83 |
| Variable | Wald x2 Statistics | Significant Level | Exp (B) |
|---|---|---|---|
| Land slope | 28.70 | * | 1.22 |
| Distance from highways | 13.60 | * | 0.86 |
| Distance from public roads | 538.65 | * | 0.30 |
| Distance from ports | 78.55 | * | 1.76 |
| Distance from railway freight stations | 7.87 | * | 1.23 |
| Size of population | 36.50 | * | 1.24 |
| Proportion of secondary industry | 38.81 | * | 1.32 |
| Proportion of tertiary industry | 14.24 | * | 1.77 |
| Fixed asset investments | 30.76 | * | 1.14 |
| Constant | 53.26 | * | 0.00 |
| ROC | 0.81 |
| Variable | Factor | Influence on the Land Use Change in Emerging Industry | Influence on the Land Use Change in Traditional Industry |
|---|---|---|---|
| natural conditions | elevation | - | - |
| land slope | - | √ | |
| traffic locations | distance from highways | √ | √ |
| distance from public roads | √ | √ | |
| distance from airports | √ | - | |
| distance from ports | - | √ | |
| distance from railway freight stations | √ | √ | |
| distance from railway stations | √ | - | |
| population | size of population | - | √ |
| quality of population | √ | - | |
| economic development | GDP | - | - |
| proportion of secondary industry | √ | √ | |
| proportion of tertiary industry | √ | √ | |
| fixed asset investments | - | √ | |
| innovation drive | number of regional patent applications | √ | - |
| number of regional science and research institutions (universities and science and research institutions) | √ | - | |
| number of regional primary and middle schools | √ | - | |
| number of libraries, exhibition halls, and museums | √ | - |
Publisher’s Note: MDPI stays neutral with regard to jurisdictional claims in published maps and institutional affiliations. |
© 2021 by the authors. Licensee MDPI, Basel, Switzerland. This article is an open access article distributed under the terms and conditions of the Creative Commons Attribution (CC BY) license (https://creativecommons.org/licenses/by/4.0/).
Share and Cite
Peng, Y.; Yang, F.; Zhu, L.; Li, R.; Wu, C.; Chen, D. Comparative Analysis of the Factors Influencing Land Use Change for Emerging Industry and Traditional Industry: A Case Study of Shenzhen City, China. Land 2021, 10, 575. https://doi.org/10.3390/land10060575
Peng Y, Yang F, Zhu L, Li R, Wu C, Chen D. Comparative Analysis of the Factors Influencing Land Use Change for Emerging Industry and Traditional Industry: A Case Study of Shenzhen City, China. Land. 2021; 10(6):575. https://doi.org/10.3390/land10060575
Chicago/Turabian StylePeng, Yunfei, Fangling Yang, Lingwei Zhu, Ruru Li, Chao Wu, and Deng Chen. 2021. "Comparative Analysis of the Factors Influencing Land Use Change for Emerging Industry and Traditional Industry: A Case Study of Shenzhen City, China" Land 10, no. 6: 575. https://doi.org/10.3390/land10060575
APA StylePeng, Y., Yang, F., Zhu, L., Li, R., Wu, C., & Chen, D. (2021). Comparative Analysis of the Factors Influencing Land Use Change for Emerging Industry and Traditional Industry: A Case Study of Shenzhen City, China. Land, 10(6), 575. https://doi.org/10.3390/land10060575

