The Effect of Green Characteristics in Reducing the Inventory of Unsold Housing in New Residential Developments—A Case of Gyeonggi Province, in South Korea
Abstract
1. Introduction
2. Background and Literature Review
2.1. Unsold Housing in Gyeonggi Province, South Korea
2.2. Factors Affecting the Sales of Newly Developed Housing Units in the Suburbs
2.3. Green Factors Affecting the Price of Housing Units in Urban Settings
3. Analytical Design
3.1. Research Question
3.2. Study Site and Period
3.3. Data
3.4. Measures
3.5. Analytical Plan
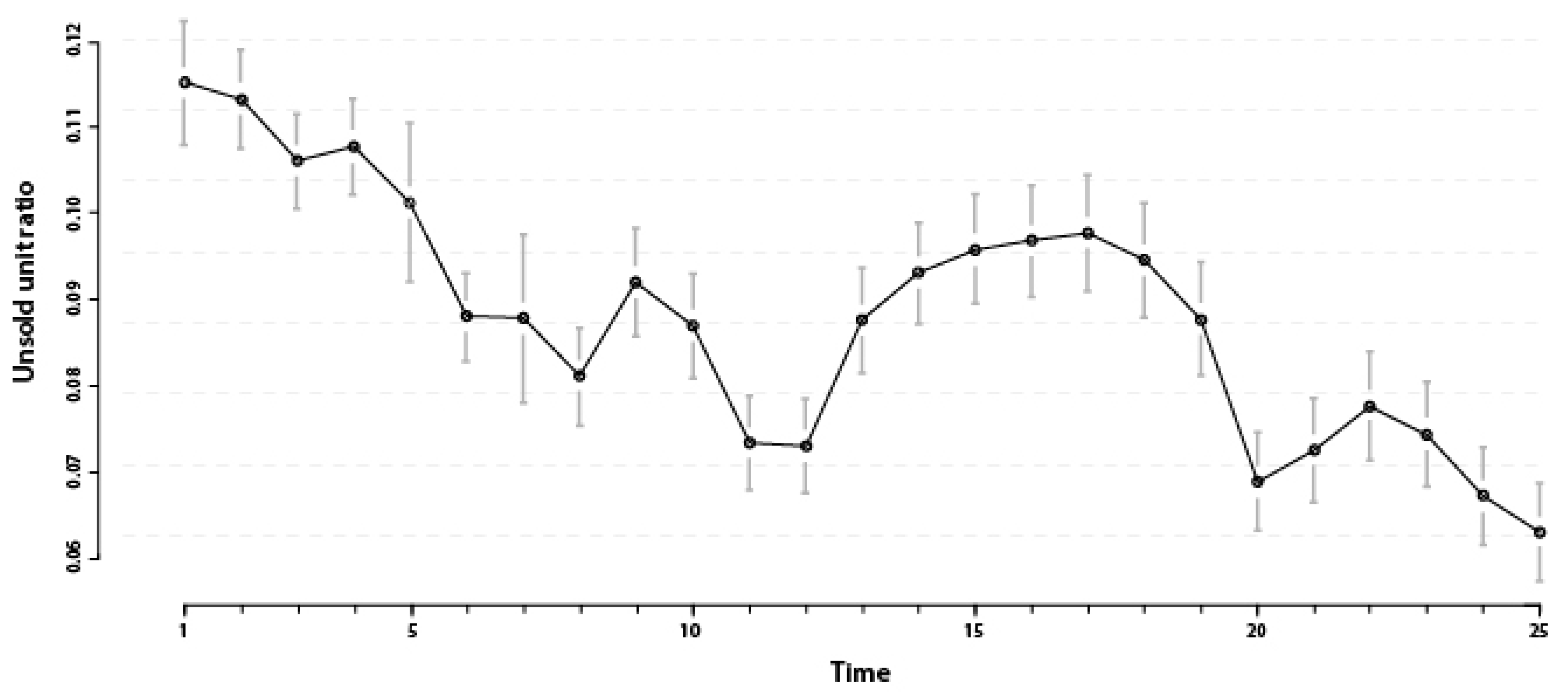
4. Results
4.1. Unconditional Means Model
4.2. Unconditional Growth Model
4.3. Final Model
5. Conclusions and Discussion
Author Contributions
Funding
Conflicts of Interest
Appendix A
| Variables | Description | Mean | St. Dev. | Min | Max |
|---|---|---|---|---|---|
| Unsold_ Unit_Ratio | Unsold housing ratio in Gyeonggi Province. Unsold unit ratio = (Unsold housing units/Total housing units for sale) | 0.089 | 0.155 | 0.000 | 0.625 |
| Time | The quarter time of the study period | 12.343 | 7.239 | 1 | 25 |
| Dist_Urban_park | Distance to the nearest urban park (km), Neighborhood park, Urban agriculture park, Cemetery park, Culture park, Mini park, Waterside park, Children’s park, Historic park, Sports park, etc. | 2.801 | 5.578 | 0.045 | 161.941 |
| ln (Dist_ Mountain_trail) | Log of distance to the nearest entrance of mountain trail (km) | 0.250 | 1.239 | −3.219 | 5.038 |
| Communal_ OpenSpace | Dummy variable of whether the communal open spaces in unsold housing complex i exceeds 80% or not. | ||||
| Location variables | |||||
| ln (Dist_ Arterial_road) | Log of distance to the nearest thoroughfare (km), Expressway, General nation road etc. | −0.242 | 1.234 | −4.522 | 5.026 |
| ln (Dist_ Subway_station) | Log of distance to the nearest subway station (km) | 0.681 | 1.06 | −3.602 | 5.171 |
| ln (Dist_Industrial_complex) | Log of distance to the nearest industrial complex (km) | 1.29 | 0.749 | −2.903 | 3.194 |
| ln (Dist_ Hospital) | Log of distance to the nearest hospital (km) | 2.184 | 0.909 | −1.995 | 5.117 |
| ln (Dist_Government_office) | Log of distance to the nearest government office (km) | 2.239 | 0.786 | −1.711 | 5.106 |
| ln (Dist_ Shopping_mall) | Log of distance to the nearest shopping mall (km) | 1.054 | 0.882 | −4.027 | 5.125 |
| ln (Dist_ CBD_Seoul) | Log of distance to the nearest central business districts of Seoul (km) | 3.454 | 0.431 | 2.029 | 5.445 |
| ln (Dist_Seoul) | Log of distance to Seoul, the capital city of Korea (km) | 2.603 | 0.861 | −1.781 | 5.357 |
| ln (Dist_River) | Log of distance to the nearest river (km) | −0.735 | 1.033 | −4.515 | 5.025 |
| Structural characteristics variables of housing complex | |||||
| Area_floor | Dummy variable of the floor area of housing unit (area between 60 and 85 , between 85 and 102 , between 102 and 135 , larger than 135 and reference: area less than 60 ) | ||||
| Brand | Dummy variable of top 10 brands (apartment constructed by a major construction company ranked top ten in the evaluation each year) | ||||
| ln (Number_ Household) | Log of number of households in each housing complex (person) | 6.235 | 1.149 | 1.792 | 8.16 |
| Economic variables | |||||
| Financial_Policy | Dummy variable of financial policy-affected time period (enforced at 1 April 2013; at 1 September 2014, at 28 April 2016, at 2 August 2017) | ||||
| Economy_ growth_rate | A measure of economic growth rate from one period to another using percentage terms (Korea) | 4.938 | 0.881 | 2.9 | 5.9 |
| Mortgage_rate | The rate of interest charged on a mortgage, determined by the lender and can be either fixed or fluctuating with a benchmark interest rate (Korea) | 3.379 | 0.361 | 2.91 | 4.18 |
References
- Wu, F. China’s recent urban development in the process of land and housing marketisation and economic globalisation. Habitat Int. 2001, 25, 273–289. [Google Scholar] [CrossRef]
- Ibrahim, M.F.; Ying, W. Public housing choices in Singapore: Planning implications. In Proceedings of the 39th International Planning Congress, International Society of City and Regional Planners, Cairo, Egypt, 17–22 October 2003. [Google Scholar]
- Tan, T.-H. Sustainability and Housing Provision in Malaysia. J. Strateg. Innov. Sustain. 2011, 7, 62–71. [Google Scholar]
- Groves, R. Housing and the New Welfare State: Perspectives from East Asia and Europe; Routledge: Oxfordshire, UK, 2016. [Google Scholar]
- Tobi, S.U.M.; Jasimin, T.H.; Rani, W.N.M.W.M. Overview of Affordable Housing from Supply and Demand Context in Malaysia. In Proceedings of the IOP Conference Series: Earth and Environmental Science, Ivano-Frankivsk, Ukraine, 21–22 October 2020; IOP Publishing: Bristol, UK, 2020; Volume 409, p. 012010. [Google Scholar]
- Kim, H.A. Recent Causes of the Increased Unsold Housings and the Solution. Constr. Econ. Res. Inst. Korea 2007, 21, 1–34. [Google Scholar]
- Ling, C.S.; Almeida, S.; Shukri, M.; Sze, L. Imbalances in the property market. BNM Q. Bull. Q. 2017, 3, 26–32. [Google Scholar]
- Zhu, Y.-R.; Ahn, K.-H. A Study on the Development Effects of the New Towns in Beijing Metropolitan Area—Focused on Population and Industry Distribution. J. Urban Des. Inst. Korea Urban Des. 2007, 8, 89–104. [Google Scholar]
- Ju, S.R.; Jeon, S.Y. A Study on the Planning and its Periodic Changes of Public Housing in Malaysia. Southeast Asian Rev. 2012, 22, 207–245. [Google Scholar]
- Ha, S.K. Metropolitan New Town and Housing Problem. Archit. Inst. Korea 1995, 39, 44–47. [Google Scholar]
- Park, I.K. The Current Status and Prospect of New Town Housing, Korean Social Trends 2019 Statistics Research Institute 2019; SRI: Daejeon-si, Korea, 2019; pp. 250–260. [Google Scholar]
- Land and Housing Institute. Research on the establishment of the 3rd new town development strategy and planning standards. Land Hous. Insttitute J. 2020, 2020, 2016. [Google Scholar]
- Jang, S.; Lee, S.; Kim, J.; Kim, J. Relationship between demand-supply in the housing market and unsold new housing stocks. J. Asian Archit. Build. Eng. 2010, 9, 387–394. [Google Scholar] [CrossRef]
- Jo, Y.S.; Kim, J.J. A Study on the Decision Making Model of Unsold Houses (Apartment). Resid. Environ. Inst. Korea 2010, 8, 241–251. [Google Scholar]
- Molloy, R. Long-term vacant housing in the United States. Reg. Sci. Urban. Econ. 2016, 59, 118–129. [Google Scholar] [CrossRef]
- Loibl, W.; Toetzer, T. Modeling growth and densification processes in suburban regions—simulation of landscape transition with spatial agents. Environ. Model. Softw. 2003, 18, 553–563. [Google Scholar] [CrossRef]
- Nelson, A.C.; Pendall, R.; Dawkins, C.J.; Knaap, G.J. The link between growth management and housing affordability: The academic evidence. Growth Manag. Afford. Hous. Confl. 2002, 117, 158. [Google Scholar]
- Munroe, D.K. Exploring the Determinants of Spatial Pattern in Residential Land Markets: Amenities and Disamenities in Charlotte, NC, USA. Environ. Plan. B Plan. Des. 2007, 34, 336–354. [Google Scholar] [CrossRef]
- Cervero, R.; Day, J. Residential Relocation and Commuting Behavior in Shanghai, China: The Case for Transit Oriented Development; UC Berkeley Center for Future Urban Transport: Berkeley, CA, USA, 2008. [Google Scholar]
- Kang, K.A.; Kim, J.J. A Study on the Factors Affecting Unsold house in the Changes of Macro-economic Variables. Resid. Environ. Inst. Korea 2017, 15, 193–207. [Google Scholar] [CrossRef]
- Jim, C.; Chen, W.Y. Impacts of urban environmental elements on residential housing prices in Guangzhou (China). Landsc. Urban. Plan. 2006, 78, 422–434. [Google Scholar] [CrossRef]
- Kolbe, J.; Wüstemann, H. Estimating the value of urban green space: A hedonic pricing analysis of the housing market in Cologne, SFB 649 Discussion Paper, Germany. Acta Univ. Lodz. Folia Oeconomica 2014, 5, 307. [Google Scholar]
- Yuen, B.; Hien, W.N. Resident perceptions and expectations of rooftop gardens in Singapore. Landsc. Urban. Plan. 2005, 73, 263–276. [Google Scholar] [CrossRef]
- Hu, S.; Yang, S.; Li, W.; Zhang, C.; Xu, F. Spatially non-stationary relationships between urban residential land price and impact factors in Wuhan city, China. Appl. Geogr. 2016, 68, 48–56. [Google Scholar] [CrossRef]
- Lee, J.S.; Kim, J.; Son, Y.H. A Study on the Influences of Environmental Factors on the Apartment Price: Focused on View Quality and Park Accessibility in Songdo Newtown. Korea Real Estate Rev. 2013, 23, 99–121. [Google Scholar]
- Zhang, L.; Sun, C.; Liu, H.; Zheng, S. The role of public information in increasing homebuyers’ willingness-to-pay for green housing: Evidence from Beijing. Ecol. Econ. 2016, 129, 40–49. [Google Scholar] [CrossRef]
- Haaland, C.; van Den-Bosch, C.K. Challenges and strategies for urban green-space planning in cities undergoing densifi-cation: A review. Urban For. Urban Green. 2015, 14, 760–771. [Google Scholar] [CrossRef]
- Zalejska-Jonsson, A.; Wilkinson, S.J.; Wahlund, R. Willingness to Pay for Green Infrastructure in Residential Develop-ment—A Consumer Perspective. Atmosphere 2020, 11, 152. [Google Scholar] [CrossRef]
- Hong, K.-G. The Influences of Apartment Complex Characteristics on Housing Price by Hierarchical Linear Model. J. Korean Hous. Assoc. 2014, 25, 39–47. [Google Scholar] [CrossRef][Green Version]
- Park, I.S.; Eom, Y.S.; Eom, S.W. Apartment in green area index calculation and analysis of the impact of housing prices: The case of the Jeonju. J. Korean Reg. Econ. 2016, 34, 113–129. [Google Scholar]
- Xiao, Y.; Li, Z.; Webster, C. Estimating the mediating effect of privately-supplied green space on the relationship between urban public green space and property value: Evidence from Shanghai, China. Land Use Policy 2016, 54, 439–447. [Google Scholar] [CrossRef]
- Ko, H.R.; Song, S.J.; Shin, J.C. An Analysis on the Influencing Factors on the Sales Rates of Apartment Complexes—Focused on the Housing Characteristics of Apartment Unit Types. Resid. Environ. Inst. Korea 2018, 16, 159–177. [Google Scholar] [CrossRef]
- Tak, J.-H.; Rho, J.-H. Decision-making Factors and Characteristics for Buying an Unsold Apartment: Focused on Unsold Apartment Residents. J. Korea Acad. Ind. Coop. Soc. 2017, 18, 229–238. [Google Scholar]
- Kang, M.S. Unsold Apartments Status and Possible Growth; KB Financial Group: Seoul, Korea, 2018. [Google Scholar]
- Shin, K.J. New Apartment Burned out Unsettled Residents. Available online: http://www.jbnews.com/news/articleView.html?idxno=419781 (accessed on 12 February 2012).
- Poovenraj. Vacancy Tax—Timely Solution to Problem of Property Overhang. Available online: https://www.businesstoday.com.my/2020/09/11/vacancy-tax-timely-solution-to-problem-of-property-overhang/ (accessed on 11 September 2020).
- Choi, J.-K.; Yoo, S.-K.; Kim, J.-J. Relationship Between the Default Risk of a Construction Company and Unsold Housing Stock. J. Archit. Inst. Korea Struct. Constr. 2013, 29, 89–96. [Google Scholar]
- Song, I.H. “After Building the Apartment, Select the Desired Unit”… Attention to the After-Sale System. Available online: https://biz.chosun.com/site/data/html_dir/2017/11/19/2017111901935.html (accessed on 20 November 2017).
- Liu, Y.; Yue, W.; Fan, P.; Song, Y. Suburban residential development in the era of market-oriented land reform: The case of Hangzhou, China. Land Use Policy 2015, 42, 233–243. [Google Scholar] [CrossRef]
- Shen, J.; Wu, F. Moving to the Suburbs: Demand-Side Driving Forces of Suburban Growth in China. Environ. Plan. A Econ. Space 2013, 45, 1823–1844. [Google Scholar] [CrossRef]
- Kim, D.; Lee, S. The Effect of Characteristics of Apartment Complex on the Count Rate of House Transaction. J. Korea Real Estate Anal. Assoc. 2018, 24, 53–68. [Google Scholar] [CrossRef]
- Hur, J.W.; Son, S.M. An Empirical Analysis on Regional Effect of the Unsold Housing Policy. J. Korea Plan. Assoc. 2013, 48, 131–147. [Google Scholar]
- Kwon, H.S.; Bang, D.W. Effects of Demand-Side Housing Policies on New Apartment Unsold Rates. J. Korea Real Estate Anal. Assoc. 2016, 22, 5–16. [Google Scholar]
- Kim, Y.H. Factors of Relocation of the Residents to the Second New-Town—Focusing on the residents who relocated from the “first” new-towns and those who relocated from outside the new-towns. J. Geogr. 2014, 60, 83–112. [Google Scholar]
- Lee, G.-K.; Lee, J.-H. A Study on the Solution of Unsold Houses through User Centered Marketing Strategies. J. Korea Acad. Coop. Soc. 2014, 15, 1318–1326. [Google Scholar] [CrossRef]
- Tak, J.H.; Rho, J.H. A Study on the Decision-making Factors of Living-in Idea into Unsold Apartment of Metropolitan Area. J. Korea Contents Assoc. 2017, 17, 247–255. [Google Scholar]
- Czembrowski, P.; Kronenberg, J. Hedonic pricing and different urban green space types and sizes: Insights into the discussion on valuing ecosystem services. Landsc. Urban Plan. 2016, 146, 11–19. [Google Scholar] [CrossRef]
- Eom, Y.S.; Choi, A.S.; Kim, S.G.; Kim, J.O. A hedonic valuation of urban green space in Seoul, Korea. Environ. Resour. Econ. Rev. 2019, 28, 61–93. [Google Scholar]
- Trojanek, R.; Gluszak, M.; Tanas, J. The effect of urban green spaces on house prices in Warsaw. Int. J. Strat. Prop. Manag. 2018, 22, 358–371. [Google Scholar] [CrossRef]
- Choi, S.R.; Eom, Y.S. The amenity value of urban green spaces in Seoul: A choice experiment approach. Korea Environ. Econ. Assoc. 2017, 2017, 53–76. [Google Scholar]
- Chen, W.Y.; Jim, C. Amenities and disamenities: A hedonic analysis of the heterogeneous urban landscape in Shenzhen (China). Geogr. J. 2010, 176, 227–240. [Google Scholar] [CrossRef]
- Choi, E.Y.; Koh, S.S.; Kim, M.S. A Study on the Determinants of Apartment Premiums in Korea. Korea Real Estate Rev. 2011, 21, 235–254. [Google Scholar]
- Lee, D. Statellite View of Housing Complex in Wirye New Town. Available online: https://file.mk.co.kr/meet/neds/2018/03/image_readtop_2018_187721_15217812583249013.jpg (accessed on 24 August 2020).
- Lee, H.; Kim, K.; Moon, J.; Kim, T.; Lim, Y.; Shin, S.; Kim, I.; Lee, Y. Eye Level View of the Communal Open Space in Housing Complex in Wirye New Town. Available online: https://file.mk.co.kr/meet/neds/2016/07/image_readtop_2016_521485_14695939602553117.jpg (accessed on 24 August 2020).
- Yoo, G.S. Ui Uijeongbu City, The G&B Project Urban Park Project. Available online: http://www.kgmaeil.net/news/photo/202002/232844_41623_490.jpg (accessed on 6 February 2020).
- Forest Social Press Corp. Wonsusan Mountain, a Forest Overlooking the City at a Glance. Available online: https://img1.daumcdn.net/thumb/R1280x0/?scode=mtistory2&fname=https%3A%2F%2Fblog.kakaocdn.net%2Fdn%2FbhCxif%2FbtqHEepNlq9%2Fkb6TQy4vMFOncw4Mh48Yx0%2Fimg.jpg (accessed on 1 September 2020).
- The Enforcement Decree of the National Land Planning and Utilization Act, Presidential Decree No.27052; Korea Law Information Center: Sejong-si, Korea, 2016; Volume 86.
- Jung, S.H. Why 35th floor—Background and meaning of Seoul’s height management standards. Seoul Solut. World Cities 2018, 21, 16–23. [Google Scholar]
- Yoon, A.Y. “The Lower the Better”… Considering the Coverage Ratio, You Can See a Pleasant Apartment. Available online: https://www.hankyung.com/realestate/article/2015082813291 (accessed on 28 August 2015).
- Ministry of Land Infrastructure and Transport. 2018 Korea Housing Survey; Ministry of Land Infrastructure and Transport: Sejong-si, Korea, 2019. [Google Scholar]
- Tasca, G.A.; Illing, V.; Ogrodniczuk, J.S.; Joyce, A.S. Assessing and adjusting for dependent observations in group treatment research using multilevel models. Group Dyn. Theory, Res. Pract. 2009, 13, 151–162. [Google Scholar] [CrossRef]
- Rabe-Hesketh, S.; Skrondal, A. Multilevel and Longitudinal Modeling Using Stata; STATA Press: College Station, TX, USA, 2012. [Google Scholar]
- McCoach, D.B.; Kaniskan, B. Using time-varying covariates in multilevel growth models. Front. Psychol. 2010, 1, 17. [Google Scholar] [CrossRef]
- Qiu, J.; Li, R.; Xiao, Y.; Xia, J.; Zhu, H.; Niu, Y.; Huang, D.; Shao, Q.; Cui, Y.; Wang, Y. Spatiotemporal Heterogeneity in Human Schistosoma japonicum Infection at Village Level in Hubei Province, China. Int. J. Environ. Res. Public Health 2019, 16, 2198. [Google Scholar] [CrossRef]
- Fazio, G.; Piacentino, D. Convergence analysis for hierarchical longitudinal data. Econ. Model. 2018, 73, 89–99. [Google Scholar] [CrossRef]
- Singer, J.D.; Willett, J.B. Applied Longitudinal Data Analysis: Modeling Change and Event Occurrence; Oxford University Press: Oxford, UK, 2003. [Google Scholar]
- Steele, F. Multilevel models for longitudinal data. J. R. Stat. Soc. Ser. A Stat. Soc. 2007, 171, 5–19. [Google Scholar] [CrossRef]
- Tu, Y.-K.; Chiu, Y.-W.; Pandis, N. Analyzing longitudinal orthodontic data. Part 1: Multilevel linear and curvilinear models. Am. J. Orthod. Dentofac. Orthop. 2013, 144, 481–486. [Google Scholar] [CrossRef] [PubMed]
- Khatiwada, A. Multilevel Models for Longitudinal Data. Electronic Theses and Dissertations; East Tennessee State University: Johnson City, TN, USA, 2016. [Google Scholar]
- Arnberger, A.; Eder, R. The influence of green space on community attachment of urban and suburban residents. Urban. For. Urban. Green. 2012, 11, 41–49. [Google Scholar] [CrossRef]
- Özgüner, H.; Kendle, A. Public attitudes towards naturalistic versus designed landscapes in the city of Sheffield (UK). Landsc. Urban. Plan. 2006, 74, 139–157. [Google Scholar] [CrossRef]
- Pisman, A.; Allaert, G.; Lombaerde, P. Urban and suburban lifestyles and residential preferences in a highly urbanized society. Belgeo 2011, 1-2, 89–104. [Google Scholar] [CrossRef]
- Sung, J.S. A study on the integrated creation and management of parks, green areas and urban forests in cities. Korea For. Serv. 2007, 1–189. [Google Scholar]
- Zawilińska, B. Residents’ attitudes towards a national park under conditions of suburbanization and tourism pressure: A case study of Ojcow National Park (Poland). Eur. Countrys. 2020, 12, 119–137. [Google Scholar] [CrossRef]
- Kim, H.S. Environmental issue: Controversy over imbalances in park services. (Gyeonggi Research Institute pending issue pol-icy analysis data). 2015. [Google Scholar]
- Aridou, I.O.; Alescio, N.R.; Mair, R.E. An Assesment of the Preferences of Urban Residents for Green Space; Worcester Polytechnic Institute: Worcester, MA, USA, 2019. [Google Scholar]
- Łaszkiewicz, E.; Czembrowski, P.; Kronenberg, J. Can proximity to urban green spaces be considered a luxury? Classifying a non-tradable good with the use of hedonic pricing method. Ecol. Econ. 2019, 161, 237–247. [Google Scholar] [CrossRef]
- Xiao, Y.; Lu, Y.; Guo, Y.; Yuan, Y. Estimating the willingness to pay for green space services in Shanghai: Implications for social equity in urban China. Urban. For. Urban. Green. 2017, 26, 95–103. [Google Scholar] [CrossRef]
- Choi, C.G.; Lee, S. Suburbanization in Asia: A Focus on Seoul; Routledge: Oxfordshire, UK, 2018; pp. 121–132. [Google Scholar]
- Yang, H.J. Agglomeration Economies in Multi-Family Housing Estate Developments in Korea: Internalization and Enlargement of Public and Commercial Facilities. Ph.D. Thesis, Graduate School of Environmental Studies, Seoul National University, Seoul, Korea, 2017. [Google Scholar]
- Jim, C.; Shan, X. Socioeconomic effect on perception of urban green spaces in Guangzhou, China. Cities 2013, 31, 123–131. [Google Scholar] [CrossRef]
- McConnell, V.; Walls, M.A. The Value of Open Space: Evidence from Studies of Nonmarket Benefits; Resources for the Future Washington: Washington, DC, USA, 2005. [Google Scholar]
- Nicholls, S.; Crompton, J.L. Impacts of Regional Parks on Property Values in Texas. J. Park Recreat. Adm. 2005, 23, 87–108. [Google Scholar]
- Loukaitou-Sideris, A.; Sideris, A. What brings children to the park? Analysis and measurement of the variables affecting children’s use of parks. J. Am. Plan. Assoc. 2009, 76, 89–107. [Google Scholar] [CrossRef]
- Sarkissian, W.; Bateman, R.; Hurley, B. Open space in medium-density housing guidelines for planning and design. Nimbin NSW 2013, 2480. [Google Scholar]
- Rachmawati, D.; Shukri, S.; Azam, S.M.F.; Khatibi, A. Factors influencing customers’ purchase decision of residential property in Selangor, Malaysia. Manag. Sci. Lett. 2019, 9, 1341–1348. [Google Scholar] [CrossRef]
- Kim, Y.S.; Jang, K.S. Characteristics of the 3rd New City Policy and The Future Tasks (NARS Report–1713); National Assembly Research Service. NARS: New York, NY, USA, 2020. [Google Scholar]
- The Enforcement Decree of the National Land Planning and Utilization Act, Presidential Decree No.21443; Korea Law Information Center: Sejong-si, Korea, 2009; Volume 27.
- Strathe, A.B.; Danfær, A.; Sørensen, H.; Kebreab, E. A multilevel nonlinear mixed-effects approach to model growth in pigs. J. Anim. Sci. 2010, 88, 638–649. [Google Scholar] [CrossRef] [PubMed]




| Theme | Findings | Source |
|---|---|---|
| Unsold housing in Gyeonggi Province, South Korea | Housing demand and housing prices in cities have escalated. | Jo and Kim, 2010 [14] |
| Following unsuccessful large-scale housing developments in the period of economic downturn, a large number of housing units remained unsold. | Jang and Lee, 2010 [13] | |
| With the government measures, the quantity of unsold housing units has been fluctuating. | Kim, 2007 [6] | |
| Kang, 2018 [34] | ||
| The high proportion of vacant units causes safety problems for the residents, has a negative impact on the nearby housing market, and forces the construction companies. | Tan, 2011 [3] | |
| Shin, 2012 [35] | ||
| Poovenraj, 2020 [36] | ||
| Choi et al., 2013 [37] | ||
| Song, 2017 [38] | ||
| Factors affecting the sales of newly developed housing units in the suburbs | Improved accessibility to important destinations raises the demand for the subject housing units. | Liu et al., 2015 [39] |
| Shen and Wu, 2013 [40] | ||
| The structural characteristics of housing complexes affect the housing demand. | Kim and Lee, 2018 [41] | |
| Certain macroeconomic indices and/or real estate policies affect housing demand. | Hur and Son, 2013 [42] | |
| Kwon and Bang, 2016 [43] | ||
| The quality of living environment affects housing demand. | Kim, 2014 [44] | |
| Lee and Lee, 2014 [45] | ||
| Tak and Rho, 2017 [46] | ||
| Green factors affecting the price of housing units in urban settings | Proximity to public green spaces adds extra value to residential units. | Czembrowski and Kronenberg, 2016 [47] |
| Eom et al., 2019 [48] | ||
| Trojanek et al., 2018 [49] | ||
| Proximity to natural landscapes such as forests and mountains is preferred by residents. | Czembrowski and Kronenberg, 2016 [47] | |
| Choi and Eom, 2017 [50] | ||
| The presence of semi-public green spaces within housing complexes positively influences. The price of housing units. | Hong, 2014 [29] | |
| Park et al., 2016 [30] | ||
| Xiao et al., 2016 [31] | ||
| Chen and Jim, 2010 [51] |
| Variable | Unconditional Means Model | Unconditional Growth Model | Final Model |
|---|---|---|---|
| Question variables | |||
| Time | −0.026 *** (0.001) | −0.019 *** (0.001) | |
| UP (Dist_Urban_park) | −0.0003 (0.0003) | ||
| TR (ln (Dist_Mountain_trail)) | −0.005 | ||
| (0.004) | |||
| CO (Communal_OpenSpace) | 0.094 *** (0.026) | ||
| Time *CO (Communal_OpenSpace) | −0.009 *** (0.002) | ||
| Location variables | |||
| ln (Dist_Arterial_road) | −0.008 ** (0.004) | ||
| ln (Dist_Subway_station) | −0.002 (0.002) | ||
| ln (Dist_Industrial_complex) | 0.031 *** (0.004) | ||
| ln (Dist_Hospital) | 0.001 (0.001) | ||
| ln (Dist_Government_office) | 0.007 (0.007) | ||
| ln (Dist_Shopping_mall) | 0.003 *** (0.001) | ||
| ln (Dist_CBD_Seoul) | 0.034 (0.03) | ||
| ln (Dist_Seoul) | 0.033 ** (0.014) | ||
| ln (Dist_River) | −0.024 *** (0.004) | ||
| Structural characteristics of housing complexes variables | |||
| Area_floor_60_to_85 | −0.026 ** (0.011) | ||
| Area_floor_85_to_102 | −0.076 *** (0.027) | ||
| Area_floor_102_to_135 | −0.094 *** (0.023) | ||
| Area_floor_larger_than_135 | −0.077 *** −0.028 | ||
| Brand | 0.002 (0.003) | ||
| ln (Number_Households) | −0.022 *** (0.005) | ||
| Economic variables | |||
| Financial_Policy_01/04/2013 | 0.004 *** (0.001) | ||
| Financial_Policy_01/09/2014 | 0.0002 (0.001) | ||
| Financial_Policy_28/04/2016 | 0.005 *** (0.001) | ||
| Financial_Policy_02/08/2017 | −0.017 *** (0.001) | ||
| Economy_growth_rate | −0.003 *** (0.001) | ||
| Mortgage_rate | 0.017 *** (0.002) | ||
| Fixed Effects | |||
| Constant | 0.094 *** (0.002) | 0.436 *** (0.011) | 0.208 ** (0.081) |
| Random Effects | |||
| Level 1 (within housing complex) | |||
| Residual ( | 0.0097 | 0.004 | 0.0039 |
| Level 2 (between housing complex) | |||
| Mean Initial Status ( | 0.0149 | 0.3789 | 0.4213 |
| Mean Rate of Change ( | 0.0014 | 0.0014 | |
| Rate of Change Covariance ( | −0.89 | −0.91 | |
| Intraclass Correlation Coefficient (ICC) | 60.50% | 80.20% | 80.80% |
| Observations | 60,593 | 60,593 | 60,593 |
| Log Likelihood | 49,001.20 | 66,510.51 | 66,810.23 |
| Akaike Inf. Crit. | −97,996.400 | −133,009.000 | −133,552.500 |
| Bayesian Inf. Crit. | −97,969.360 | −132,954.900 | −133,246.100 |
Publisher’s Note: MDPI stays neutral with regard to jurisdictional claims in published maps and institutional affiliations. |
© 2021 by the authors. Licensee MDPI, Basel, Switzerland. This article is an open access article distributed under the terms and conditions of the Creative Commons Attribution (CC BY) license (https://creativecommons.org/licenses/by/4.0/).
Share and Cite
Yoo, H.; Yoon, H. The Effect of Green Characteristics in Reducing the Inventory of Unsold Housing in New Residential Developments—A Case of Gyeonggi Province, in South Korea. Land 2021, 10, 377. https://doi.org/10.3390/land10040377
Yoo H, Yoon H. The Effect of Green Characteristics in Reducing the Inventory of Unsold Housing in New Residential Developments—A Case of Gyeonggi Province, in South Korea. Land. 2021; 10(4):377. https://doi.org/10.3390/land10040377
Chicago/Turabian StyleYoo, Hayoung, and Heeyeun Yoon. 2021. "The Effect of Green Characteristics in Reducing the Inventory of Unsold Housing in New Residential Developments—A Case of Gyeonggi Province, in South Korea" Land 10, no. 4: 377. https://doi.org/10.3390/land10040377
APA StyleYoo, H., & Yoon, H. (2021). The Effect of Green Characteristics in Reducing the Inventory of Unsold Housing in New Residential Developments—A Case of Gyeonggi Province, in South Korea. Land, 10(4), 377. https://doi.org/10.3390/land10040377

