An Assessment of Forest Cover Change and Its Driving Forces in the Syrian Coastal Region during a Period of Conflict, 2010 to 2020
Abstract
1. Introduction
2. Study Area
3. Materials and Methods
3.1. Data Source
3.2. Image Processing, Classification, and Change Detection
3.3. Variables Acquisition Related to Drivers of Change in Forest Cover
4. Results
4.1. Classification Accuracy Assessment
4.2. Change in LULC between 2010 and 2020
4.3. Spatial Patterns of Forest Cover Change (2010–2020)
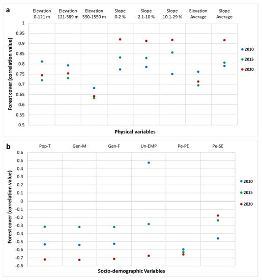
4.4. Variables Analysis Associated with Forest Cover Changes
5. Discussion
5.1. Forest Cover Change and Conflict Conditions
5.2. Forest Cover Change and Climate Conditions
6. Conclusions
Funding
Data Availability Statement
Acknowledgments
Conflicts of Interest
References
- Kumar, D. Monitoring Forest Cover Changes Using Remote Sensing and GIS: A Global Prospective. Res. J. Environ. Sci. 2011, 5, 105–123. [Google Scholar] [CrossRef]
- Rao, K.S.; Pant, R. Land use dynamics and landscape change pattern in a typical micro watershed in the mid elevation zone of central Himalaya, India. Agric. Ecosyst. Environ. 2001, 86, 113–124. [Google Scholar] [CrossRef]
- Barakat, A.; Khellouk, R.; El Jazouli, A.; Touhami, F.; Nadem, S. Monitoring of forest cover dynamics in eastern area of Béni-Mellal Province using ASTER and Sentinel-2A. Geol. Ecol. Landsc. 2018, 86, 203–215. [Google Scholar] [CrossRef]
- Global Forest Resources Assessment 2015—How Are the World’s Forests Changing? Available online: http://www.fao.org/resources/infographics/infographics-details/en/c/325836/ (accessed on 21 October 2020).
- Gamfeldt, L.; Snäll, T.; Bagchi, R.; Jonsson, M.; Gustafsson, L.; Kjellander, P.; Ruiz-Jaen, M.C.; Fröberg, M.; Stendahl, J.; Philipson, C.D.; et al. Higher levels of multiple ecosystem services are found in forests with more tree species. Nat. Commun. 2013, 4, 1340. [Google Scholar] [CrossRef] [PubMed]
- Moyra, S.K.; Harza, S. Monitoring of Forest Cover Dynamics by Geospatial Technique—A Study in Nayagram Block of West Medinipur District, West Bengal, India. Mod. Environ. Sci. Eng. 2016, 2, 257–261. [Google Scholar] [CrossRef]
- Fokeng, R.M.; Forje, W.G.; Meli, V.M.; Bodzemo, B.N. Multi-temporal forest cover change detection in the Metchie-Ngoum Protection Forest Reserve, West Region of Cameroon. Egypt. J. Remote Sens. Space Sci. 2020, 113, 124. [Google Scholar] [CrossRef]
- Reddy, C.S.; Jha, C.S.; Dadhwal, V. Assessment and monitoring of long-term forest cover changes in Odisha, India using remote sensing and GIS. Environ. Monit. Assess. 2012, 185, 4399–4415. [Google Scholar] [CrossRef]
- Panigrahy, R.K.; Kale, M.P.; Dutta, U.; Mishra, A.; Banerjee, B.; Singh, S. Forest cover change detection of Western Ghats of Maharashtra using satellite remote sensing based visual interpretation technique. Curr. Sci. 2010, 98, 657–664. Available online: https://www.jstor.org/stable/24111818?seq=1#metadata_info_tab_contents (accessed on 22 October 2010).
- State of the World’s Forests 2016. Available online: http://www.fao.org/publications/sofo/2016/en/ (accessed on 22 October 2020).
- The State of the World’s Forests 2020. Available online: http://www.fao.org/documents/card/en/c/ca8642en (accessed on 22 October 2020).
- Seabrook, L.; McAlpine, C.; Fensham, R. Cattle, crops and clearing: Regional drivers of landscape change in the Brigalow Belt, Queensland, Australia, 1840–2004. Landsc. Urban Plan. 2006, 78, 373–385. [Google Scholar] [CrossRef]
- Negassa, M.D.; Mallie, D.T.; Gemeda, D.O. Forest cover change detection using Geographic Information Systems and remote sensing techniques: A spatio-temporal study on Komto Protected forest priority area, East Wollega Zone, Ethiopia. Environ. Syst. Res. 2020, 9. [Google Scholar] [CrossRef]
- Safriel, U.; Adeel, Z.; Niemeijer, D.; Puigdefabregas, J.; White, R.; Lal, R.; Winslow, M.; Ziedler, J.; Prince, S.; Archer, E.; et al. Dryland systems. In Ecosystems and Human Well-Being: Current State and Trends; Hassan, R., Scholes, R., Ash, N., Eds.; Island Press: Washington, DC, USA, 2005; Volume 1, pp. 623–662. Available online: http://www.millenniumassessment.org/documents/document.291.aspx.pdf (accessed on 18 October 2020).
- Kayiranga, A.; Kurban, A.; Ndayisaba, F.; Nahayo, L.; Karamage, F.; Ablekim, A.; Li, H.W.; Ilniyaz, O. Monitoring Forest Cover Change and Fragmentation Using Remote Sensing and Landscape Metrics in Nyungwe-Kibira Park. J. Geosci. Environ. Prot. 2016, 4, 13–33. [Google Scholar] [CrossRef]
- Mohajane, M.; Essahlaoui, A.; Oudija, F.; El Hafyani, M.; Teodoro, A.C. Mapping Forest Species in the Central Middle Atlas of Morocco (Azrou Forest) through Remote Sensing Techniques. ISPRS Int. J. Geo Inf. 2017, 6, 275. [Google Scholar] [CrossRef]
- Gonzalez-Redin, J.; Luque, S.; Poggio, L.; Smith, R.; Gimona, A. Spatial Bayesian Belief Networks as a Planning Decision Tool for Mapping Ecosystem Services Trade-Offs on Forested Landscapes. Environ. Res. 2016, 144, 15–26. [Google Scholar] [CrossRef]
- Shimizu, K.; Ota, T.; Mizoue, N. Detecting Forest Changes Using Dense Landsat 8 and Sentinel-1 Time Series Data in Tropical Seasonal Forests. Remote Sens. 2019, 11, 1899. [Google Scholar] [CrossRef]
- Finer, M.; Novoa, S.; Weisse, J.; Petersen, R.; Souto, T.; Stearns, F.; Martinez, R.G. Combating deforestation: From satellite to intervention. Science 2018, 360, 1303–1305. [Google Scholar] [CrossRef]
- Forkuo, E.K.; Frimpong, A. Analysis of Forest Cover Change Detection. Int. J. Remote Sens. Appl. 2012, 2, 82–91. Available online: https://www.researchgate.net/publication/269222395_Analysis_of_Forest_Cover_Change_Detection (accessed on 27 December 2020).
- Anees, A.; Aryal, J.; O’Reilly, M.M.; Gale, T.J.; Wardlaw, T. A robust multi-Kernel change detection framework for detecting leaf beetle defoliation using Landsat 7 ETM+ data. ISPRS J. Photogramm. Remote Sens. 2016, 122, 167–178. [Google Scholar] [CrossRef]
- Phompila, C.; Lewis, M.; Ostendorf, B.; Clarke, K. Forest Cover Changes in Lao Tropical Forests: Physical and Socio-Economic Factors are the Most Important Drivers. Land 2017, 6, 23. [Google Scholar] [CrossRef]
- Solomon, N.; Hishe, H.; Annang, T.; Pabi, O.; Asante, I.K.; Birhane, E. Forest Cover Change, Key Drivers and Community Perception in Wujig Mahgo Waren Forest of Northern Ethiopia. Land 2018, 7, 32. [Google Scholar] [CrossRef]
- Baral, P.; Wen, Y.; Urriola, N.N. Forest Cover Changes and Trajectories in a Typical Middle Mountain Watershed of Western Nepal. Land 2018, 7, 72. [Google Scholar] [CrossRef]
- Ngwira, S.; Watanabe, T. An Analysis of the Causes of Deforestation in Malawi: A Case of Mwazisi. Land 2019, 8, 48. [Google Scholar] [CrossRef]
- Ango, T.G.; Hylander, K.; Börjeson, L. Processes of Forest Cover Change since 1958 in the Coffee-Producing Areas of Southwest Ethiopia. Land 2020, 9, 278. [Google Scholar] [CrossRef]
- Doaemo, W.; Mohan, M.; Adrah, E.; Srinivasan, S.; Corte, A.P.D. Exploring Forest Change Spatial Patterns in Papua New Guinea: A Pilot Study in the Bumbu River Basin. Land 2020, 9, 282. [Google Scholar] [CrossRef]
- Mancino, G.; Nolè, A.; Ripullone, F.; Ferrara, A. Landsat TM imagery and NDVI differencing to detect vegetation change: Assessing natural forest expansion in Basilicata, southern Italy. Iforest Biogeosci. For. 2014, 7, 75. [Google Scholar] [CrossRef]
- Czerwinski, C.J.; King, D.J.; Mitchell, S.W. Mapping forest growth and decline in a temperate mixed forest using temporal trend analysis of Landsat imagery, 1987–2010. Remote Sens. Environ. 2014, 141, 188–200. [Google Scholar] [CrossRef]
- Reusing, M. Change detection of natural high forests in Ethiopia using remote sensing and GIS techniques. Int. Arch. Photogramm. Remote Sens. 2000, 33, 1253–1258. Available online: https://www.isprs.org/proceedings/XXXIII/congress/part7/1253_XXXIII-part7.pdf (accessed on 13 October 2020).
- Sexton, J.O.; Urban, D.L.; Donohue, M.J.; Song, C. Long-term land cover dynamics by multi-temporal classification across the Landsat-5 record. Remote Sens. Environ. 2013, 128, 246–258. [Google Scholar] [CrossRef]
- Molinario, G.; Hansen, M.C.; Potapov, P.V. Forest cover dynamics of shifting cultivation in the Democratic Republic of Congo: A remote sensing-based assessment for 2000–2010. Environ. Res. Lett. 2017, 12, 1–15. [Google Scholar] [CrossRef]
- Melville, B.; Lucieer, A.; Aryal, J. Object-based random forest classification of Landsat ETM+ and WorldView-2 satellite imagery for mapping lowland native grassland communities in Tasmania, Australia. Int. J. Appl. Earth Obs. Geoinf. 2018, 66, 46–55. [Google Scholar] [CrossRef]
- Harrison, D.; Rivard, B.; Sánchez-Azofeifa, A. Classification of tree species based on longwave hyperspectral data from leaves, a case study for a tropical dry forest. Int. J. Appl. Earth Obs. Geoinf. 2018, 66, 93–105. [Google Scholar] [CrossRef]
- Matricardi, E.A.T.; Skole, D.L.; Cochrane, M.A.; Qi, J.; Chomentowski, W. Monitoring selective logging in tropical evergreen forests using landsat: Multitemporal regional analyses in Mato Grosso, Brazil. Earth Interact. 2005, 9, 1–24. [Google Scholar] [CrossRef]
- Matricardi, E.A.T.; Skole, D.L.; Cochrane, M.A.; Pedlowski, M.; Chomentowski, W. Multi-temporal assessment of selective logging in the Brazilian Amazon using Landsat data. Int. J. Remote Sens. 2007, 28, 63–82. [Google Scholar] [CrossRef]
- Matricardi, E.A.T.; Skole, D.L.; Pedlowski, M.A.; Chomentowski, W.; Fernandes, L.C. Assessment of tropical forest degradation by selective logging and fire using Landsat imagery. Remote Sens. Environ. 2010, 114, 1117–1129. [Google Scholar] [CrossRef]
- Asner, G.P.; Knapp, D.E.; Broadbent, E.N.; Oliveira, P.J.C.; Keller, M.; Silva, J.N. Selective logging in the Brazilian Amazon. Science 2005, 5747, 480–482. [Google Scholar] [CrossRef] [PubMed]
- Souza, C.M., Jr.; Roberts, D.A.; Cochrane, M.A. Combining spectral and spatial information to map canopy damages from selective logging and forest fires. Remote Sens. Environ. 2005, 98, 329–343. [Google Scholar] [CrossRef]
- Margono, B.A.; Turubanova, S.; Zhuravleva, I.; Potapov, P.; Tyukavina, T.; Baccini, A.; Goetz, S.; Hansen, M.C. Mapping and monitoring deforestation and forest degradation in Sumatra (Indonesia) using Landsat time series data sets from 1990 to 2010. Environ. Res. Lett. 2012, 7, 034010. [Google Scholar] [CrossRef]
- Sedano, F.; Lisboa, S.N.; Duncanson, L.; Ribeiro, N.; Sitoe, A.; Sahajpal, R.; Hurtt, G.; Tucker, C.J. Monitoring forest degradation from charcoal production with historical Landsat imagery. A case study in southern Mozambique. Environ. Res. Lett. 2020, 15, 015001. Available online: https://iopscience.iop.org/article/10.1088/1748-9326/ab3186 (accessed on 2 January 2021). [CrossRef]
- Anees, A.; Aryal, J. A Statistical Framework for Near-Real Time Detection of Beetle Infestation in Pine Forests Using MODIS Data. IEEE Geosci. Remote Sens. Lett. 2014, 11, 1717–1721. [Google Scholar] [CrossRef]
- Anees, A.; Aryal, J. Near-real time detection of beetle infestation in pine forests using MODIS data. IEEE J. Sel. Top. Appl. Earth Obs. Remote Sens. 2014, 7, 3713–3723. [Google Scholar] [CrossRef]
- Anees, A.; Aryal, J.; O’Reilly, M.M.; Gale, T.J. A Relative Density Ratio-Based Framework for Detection of Land Cover Changes in MODIS NDVI Time Series. IEEE J. Sel. Top. Appl. Earth Obs. Remote Sens. 2016, 9, 359–3371. [Google Scholar] [CrossRef]
- Food Security & Conflict in Syria. Available online: https://www.scpr-syria.org/launch-of-food-security-conflict-in-syria-report/ (accessed on 26 October 2020).
- ASTER Global Digital Elevation. Available online: https://search.earthdata.nasa.gov/search/ (accessed on 28 October 2020).
- Hammad, M.; Mucsi, L.; van Leeuwen, V.B. Land cover change investigation in the southern Syrian coastal basins during the past 30-years using Landsat remote sensing data. J. Environ. Geogr. 2018, 11, 45–51. [Google Scholar] [CrossRef]
- Mohammed, S.; Abdo, H.G.; Szabo, S.; Pham, Q.B.; Holb, I.J.; Linh, N.T.T.; Anh, D.T.; Alsafadi, K.; Mokhtar, A.; Kbibo, I.; et al. Estimating Human Impacts on Soil Erosion Considering Different Hillslope Inclinations and Land Uses in the Coastal Region of Syria. Water 2020, 12, 2786. [Google Scholar] [CrossRef]
- Sanlaville, P.; Dalongeville, R.; Bernier, P.; Evin, J. The Syrian Coast: A Model of Holocene Coastal Evolution. J. Coast. Res. 1997, 13, 385–396. Available online: https://journals.flvc.org/jcr/article/view/80154 (accessed on 27 January 2020).
- Ghanem, S.; Rukia, A.A.; Sulieman, M.M.; Brevik, E.C.; Mohammed, S. Dataset on the Mediterranean soils from the coastal region of the Lattakia governorate, Syria. Data Brief 2020, 29, 105254. [Google Scholar] [CrossRef]
- Mohamed, M.A.; Anders, J.; Schneider, C. Monitoring of Changes in Land Use/Land Cover in Syria from 2010 to 2018 Using Multitemporal Landsat Imagery and GIS. Land 2020, 9, 226. [Google Scholar] [CrossRef]
- Syria’s Coastal Zone and its Desired Integrated Management. Proposed Vision and Policy. Available online: https://www.pap-thecoastcentre.org/pdfs/Syria%20coastal%20zone%20and%20its%20integrated%20management%20-%20proposed%20vision%20and%20policy.pdf (accessed on 28 October 2020).
- Syrian Center for Weather and Climate, Amount of Rainfall in Syria. Available online: https://sccwf.com/ (accessed on 28 October 2020).
- Climate-Change Atlas of Syria. Available online: https://www.researchgate.net/publication/311666757_Climate-Change_Atlas_of_Syria (accessed on 28 October 2020).
- Statistical Abstracts of Central Bureau of Statistics (CBS). Statistical Abstract for Years: 2010, 2017, 2018, and 2019. Available online: http://cbssyr.sy/index.htm (accessed on 28 June 2020).
- Armed Conflict in Syria: Overview and U.S. Response, Updated 27 July 2020. Available online: https://crsreports.congress.gov/product/pdf/download/RL/RL33487/RL33487.pdf/ (accessed on 10 November 2020).
- Forest Conditions in Syria and Lebanon. Available online: http://www.fao.org/3/x5343e/x5343e06.htm (accessed on 26 October 2020).
- Forests in Syria. Available online: http://www.forest-monitor.com/en/forests-syria/ (accessed on 26 October 2020).
- Vegetation the Mediterranean Forests of Coastal Mountains. Available online: https://www.researchgate.net/publication/280988107 (accessed on 26 October 2020).
- State of Mediterranean Forests 2018. Available online: http://www.fao.org/3/CA2081EN/ca2081en.PDF (accessed on 30 October 2020).
- USGS. Landsat Data Sets. Available online: https://earthexplorer.usgs.gov (accessed on 20 October 2020).
- Irons, J.R.; Dwyer, J.L.; Barsi, J.A. The next Landsat satellite: The Landsat data continuity mission. Remote Sens. Environ. 2012, 122, 11–21. [Google Scholar] [CrossRef]
- Wulder, M.A.; Masek, J.G.; Cohen, W.B.; Loveland, T.R.; Woodcock, C.E. Opening the archive: How free data has enabled the science and monitoring promise of Landsat. Remote Sens. Environ. 2012, 122, 2–10. [Google Scholar] [CrossRef]
- Looting, Burning, Cutting: How a Decade of War Has Shrunk Syria’s Forests. Available online: https://syriadirect.org/news/looting-burning-cutting-how-a-decade-of-war-has-shrunk-syria%E2%80%99s-forests/ (accessed on 11 December 2020).
- FAO: Counting the Cost Agriculture in Syria after Six Years of Crisis. 2017. Available online: http://www.fao.org/3/b-i7081e.pdf (accessed on 22 October 2020).
- Government of the Syrian Arab Republic and UN Office for the Coordination of Humanitarian Affairs, Report: Syrian Arab Republic Humanitarian Assistance Response Plan (SHARP). 2018. Available online: https://reliefweb.int/report/syrian-arab-republic/2018-syrian-arab-republic-humanitarian-response-plan-january-december (accessed on 24 October 2020).
- Norwegian Refugee Council and und High Commissioner for Refugees, Protection Cluster, Report: Whole of Syria 2018 Protection Needs Overview v2. 2017. Available online: https://reliefweb.int/report/syrian-arab-republic/syrian-arab-republic-whole-syria-protection-sector-2018-protection-needs (accessed on 11 October 2020).
- Al-Fares, W. Historical Land Use/Land Cover Classification Using Remote Sensing—A Case Study of the Euphrates River Basin in Syria; Springer: Berlin, Germany, 2012; Available online: https://link.springer.com/book/10.1007%2F978-3-319-00624-6 (accessed on 26 November 2020).
- Wu, C.; Du, B.; Cui, X.; Zhang, L. A post—Classification change detection method based on iterative slow feature analysis and Bayesian soft fusion. Remote Sens. Environ. 2017, 199, 241–255. [Google Scholar] [CrossRef]
- Mather, P.M.; Koch, M. Computer Processing of Remotely-Sensed Images: An Introduction, 4th ed.; John Wiley and Sons: Chichester, UK, 2011; pp. 325–375. Available online: https://onlinelibrary.wiley.com/doi/pdf/10.1002/9780470666517 (accessed on 12 October 2020).
- Liu, J.G.; Mason, P.J. Essential Image Processing and GIS for Remote Sensing, 1st ed.; John Wiley & Sons Ltd.: Chichester, UK, 2009; pp. 105–119. Available online: https://www.wiley.com/en-us/Essential+Image+Processing+and+GIS+for+Remote+Sensing-p-9780470510315 (accessed on 12 October 2020).
- Chutia, D.; Bhattacharyya, D.K.; Sarma, J.; Raju, P.N.L. An effective ensemble classification framework using random forests and a correlation based feature selection technique. Trans. GIS 2017, 21, 1165–1178. [Google Scholar] [CrossRef]
- Lillesand, M.T.; Kiefer, R.W.; Chipman, J.W. Remote Sensing and Image Interpretation, 7th ed.; Wiley Global Education: Hoboken, NJ, USA, 2015; pp. 517–555. Available online: https://www.wiley.com/en-us/Remote+Sensing+and+Image+Interpretation%2C+7th+Edition-p-9781118343289 (accessed on 9 November 2020).
- Congalton, R.G. A review of assessing the accuracy of classifications of remotely sensed data. Remote Sens. Environ. 1991, 37, 35–46. [Google Scholar] [CrossRef]
- Congalton, R.G.; Green, K. Assessing the Accuracy of Remotely Sensed Data: Principles and Practices, 2nd ed.; CRC Press Taylor & Francis Group: Boca Raton, FL, USA, 2009; pp. 121–140. Available online: https://www.taylorfrancis.com/books/assessing-accuracy-remotely-sensed-data-russell-congalton-kass-green/10.1201/9781420055139 (accessed on 7 October 2020).
- FAO. Map Accuracy Assessment and Area Estimation: A Practical Guide; FAO: Rome, Italy, 2016; pp. 31–34. Available online: http://www.fao.org/3/a-i5601e.pdf (accessed on 1 November 2020).
- Köhl, M.; Magnussen, S.S.; Marchetti, M. Sampling Methods, Remote Sensing and GIS Multiresource Forest Inventory, 3rd ed.; Springer: Berlin/Heidelberg, Germany, 2006; pp. 71–195. Available online: https://www.springer.com/de/book/9783540325710 (accessed on 19 October 2020).
- Eklund, L.; Persson, A.; Petter Pilesjo, P. Cropland changes in times of conflict, reconstruction, and economic development in Iraqi Kurdistan. Ambio 2016, 45, 78–88. [Google Scholar] [CrossRef]
- Olofsson, P.; Foody, G.M.; Herold, M.; Stehman, S.V.; Woodcock, C.E.; Wulder, M.A. Good practices for estimating area and assessing accuracy of land change. Remote Sens. Environ. 2014, 148, 42–57. [Google Scholar] [CrossRef]
- Olofsson, P.; Foody, G.M.; Foody, G.M.; Stehman, S.V.; Woodcock, C.E.; Wulder, M.A. Making better use of accuracy data in land change studies: Estimating accuracy and area and quantifying uncertainty using stratified estimation. Remote Sens. Environ. 2013, 129, 122–131. [Google Scholar] [CrossRef]
- Slimani, M.A.; Aboudi, A.E.; Rahimi, A.; Khalil, Z. Use of GIS and Satellite Imagery in the Study of the Spatial linsn of Vegetation in the Entifa Forest (High Atlas Central, Morocco). In Recent Advances in Environmental Science from the Euro-Mediterranean and Surrounding Regions; Kallel, A., Ksibi, M., Ben Dhia, H., Khélifi, N., Eds.; Springer International Publishing AG: Berlin/Heidelberg, Germany, 2018; pp. 1749–11751. [Google Scholar] [CrossRef]
- Chen, Y.; Du, M.; Dong, R. Correlation between urban heat island effect and the thermal inertia using aster data in Beijing, China. Remote Sens. Spat. Inf. Sci. 2008, XXXVII Pt B7, 1723–1728. Available online: http://citeseerx.ist.psu.edu/viewdoc/download?doi=10.1.1.183.7026&rep=rep1&type=pdf (accessed on 12 December 2020).
- Manandhar, R.; Odeh, I.O.A.; Ancev, T. Improving the Accuracy of Land Use and Land Cover Classification of Landsat Data using Post-classification Enhancement. Remote Sens. 2009, 1, 330–344. [Google Scholar] [CrossRef]
- Wilson, S.A.; Wilson, C.O. Modeling the impacts of civil war on land use and land cover change within Kono District, Sierra Leone: A socio-geospatial approach. Geocarto Int. 2013, 28, 476–501. [Google Scholar] [CrossRef]
- Krivoruchko, K. Spatial Statistical Data Analysis for GIS Users, 1st ed.; ERSI Press: Redlands, CA, USA, 2011; pp. 107–147. Available online: http://downloads.esri.com/esripress/pdfs/spatial-statistical-data-analysis-for-gis-users.pdf (accessed on 12 December 2020).
- Mohamed, M.A. Classification of Landforms for Digital Soil Mapping in Urban Areas Using LiDAR Data Derived Terrain Attributes: A Case Study from Berlin, Germany. Land 2020, 9, 319. [Google Scholar] [CrossRef]
- Anderson, J.R.; Hardy, E.E.; Roach, J.T.; Witmer, R.E. A Land Use and Land Cover Classification System for Use with Remote Sensor Data. Geological Survey Professional: Paper 964; United States Government Printing Office: Washington, DC, USA, 1976. [Google Scholar] [CrossRef]
- Lins, K.S.; Kleckner, R.L. LC Mapping: An Overview and History of the Concepts. In Gap Analysis: A Landscape Approach to Biodiversity Planning; Scott, J.M., Tear, T.H., Davis, W.F., Eds.; American Society for Photogrammetry and Remote Sensing: Bethesda, MD, USA, 1996; pp. 57–65. [Google Scholar]
- Sectarianism in Syria’s Civil War A Geopolitical Study. Available online: https://www.washingtoninstitute.org/policy-analysis/view/sectarianism-in-syrias-civil-war (accessed on 27 October 2020).
- War on The Forests of The Syrian Coast. Available online: https://syriauntold.com/2019/06/06/war-on-the-forests-of-the-syrian-coast/ (accessed on 27 October 2020).
- Gbanie, S.B.; Griffin, A.L.; Thornton, A. Impacts on the Urban Environment: Land Cover Change Trajectories and Landscape Fragmentation in Post-War Western Area, Sierra Leone. Remote Sens. 2018, 10, 129. [Google Scholar] [CrossRef]
- Dudley, J.P.; Ginsberg, J.R.; Plumptre, A.J.; Hart, J.A.; Campos, L.C. Effects of War and Civil Strife on Wildlife and Wildlife Habitats Efectos de la Guerra y Conflictos Civiles Sobre la Vida Silvestre y Sus Hábitats. Conserv. Biol. 2015, 16, 319–329. [Google Scholar] [CrossRef]
- Nackoney, J.; Molinario, G.; Peter Potapov, P.; Turubanova, S.; Hansen, M.C.; Furuichi, T. Impacts of civil conflict on primary forest habitat in northern Democratic Republic of the Congo, 1990–2010. Biol. Conserv. 2015, 170, 321–328. [Google Scholar] [CrossRef]
- The Impact of the Conflict on Population Displacement, Water and Agriculture in the Orontes River Basin, February 2014. Available online: https://reliefweb.int/report/syrian-arab-republic/syria-impact-conflict-population-displacement-water-and-agriculture (accessed on 11 December 2020).
- Negligence and Corruption Have Set Syria’s Forests Ablaze. Available online: https://english.enabbaladi.net/archives/2020/09/negligence-and-corruption-have-set-syrias-forests-ablaze/#ixzz6gLBoehpe (accessed on 11 December 2020).
- Forest Fires in the Mediterranean Area. Available online: http://www.fao.org/3/x1880e/x1880e07.htm (accessed on 11 December 2020).
- Tree Cover Loss in Syria. Available online: https://www.globalforestwatch.org/ (accessed on 11 December 2020).
- Distribution of Zones of Influence in Syria. Available online: http://norsforstudies.org/category/mapsinfographic/maps/ (accessed on 6 October 2020).
- Voski, A. The Role of Climate Change in Armed Conflicts across the Developing World and in the Ongoing Syrian War. Carlet. Rev. Int. Aff. 2016, 3, 120–141. [Google Scholar] [CrossRef]
- Abela, J.G.; Brottragerb, M.; Cuaresmac, J.C.; Muttarakd, R. Climate, conflict and forced migration. Glob. Environ. Chang. 2019, 54, 239–249. [Google Scholar] [CrossRef]
- Abela, J.G.; Brottragerb, M.; Cuaresmac, J.C.; Muttarakd, R. On climate variability and civil war in Asia. Clim. Chang. 2014, 122, 709–721. [Google Scholar] [CrossRef]
- Is Climate Change Fueling Civil War? Available online: https://www.colorado.edu/today/2019/06/13/climate-change-fueling-civil-war (accessed on 12 December 2020).
- Climate Change Hastened Syria’s Civil War. Available online: https://www.scientificamerican.com/article/climate-change-hastened-the-syrian-war/ (accessed on 12 December 2020).
- CNA’s Military Advisory Board Reports: The Role of Water Stress in Instability and Conflict. Available online: https://www.cna.org/mab/reports (accessed on 12 December 2020).








| Natural Vegetation Cover | (ha) | (%) | |
|---|---|---|---|
| Coniferous Forests | Pinus bruita | 80,833.5 | 15.0 |
| Abies cilicica | 30,705.3 | 5.7 | |
| Cedrus libani | 4703.6 | 0.9 | |
| Cupressus sempervirens | 16,604.0 | 3.1 | |
| Pinus halepensis | 7590.0 | 1.4 | |
| Broad-leaved Forests | Quercus calliprinos | 7023.5 | 1.3 |
| Quercus cerris sp. Pseudocerris | 32,114.0 | 6.0 | |
| Quercus infectoria | 16,247.0 | 3.0 | |
| Castanea sativa | 5267.4 | 1.0 | |
| Riverside Forests | 149,403.7 | 27.6 | |
| Scrub | Small areas of sparse vegetation and low shrubs | 188,364.5 | 35.0 |
| Landsat Sensor | Scene Path-Row | Date of Acquisition (yyyy/mm/dd) | Spatial Resolution | Standard False Color Composite Bands | Bands for Visual Interpretation | Spectral Bands (μm) |
|---|---|---|---|---|---|---|
| TM 2010 | 174/35 174/36 | 2010/08/29 2010/08/29 | 30 × 30 m | 5-4-3 | 4-5-3 | Band 3 = Red (0.63–0.69), Band 4 = NIR (0.76–0.9), Band 5 = SWIR (1.55–1.75) |
| OLI 2015 | 174/35 174/36 | 2015/09/12 2015/09/12 | 30 × 30 m | 6-5-4 | 5-6-4 | Band 4 = Red (0.630–0.680), Band 5 = NIR (0.845–0.885), Band 6 = SWIR 1 (1.560–1.660) |
| OLI 2020 | 174/35 174/36 | 2020/09/09 2020/09/09 | 30 × 30 m | 6-5-4 | 5-6-4 |
| LULC Type | Description |
|---|---|
| Urban and peri-urban areas | Built-up areas and settlements (cities, villages), non-built-up areas (open structures related to human activities, such as quarries and permanent and temporary military zones) |
| Cultivated areas | Areas cultivated with crops: horticultural crops (fruit-tree plantations, field and vegetable crops grown on small plots receiving intensive inputs), tree crops (olive grove areas), non-irrigated crops (mostly rainfed winter/spring field crops). |
| Forest and other wooded areas | Undifferentiated coniferous and broadleaf, deciduous and evergreen, forest areas, scrubland, and degraded forest, often interspersed with tree crops |
| Bare areas with or without sparse grasslands | Unvegetated land, exposed rocks and burnt out areas |
| Water bodies | Freshwater lakes and reservoirs, rivers |
| Dependent Variables | Explanation |
|---|---|
| Forest cover change | Spatial and temporal dynamics (2010–2020) |
| Independent Variables | |
| Elevation | Altitude (above sea level) in meters |
| Slope | Surface’s gradient, describing the magnitude of the steepest gradient (in%) |
| Pop-T | Total population |
| Gen-M | Number of males |
| Gen-F | Number of females |
| Un-EMP | Number of unemployed |
| Pe-PE | Number of people with primary education |
| Pe-SE | Number of people with secondary education (scientific, literary and professional education) |
| (a) Confusion Matrix for 2010 LULC Map | |||||||
| 1 | 2 | 3 | 4 | 5 | Total | UA (%) | |
| 1. Urban and peri-urban areas | 18 | 1 | 1 | 0 | 0 | 20 | 90.0 |
| 2. Cultivated areas | 1 | 176 | 8 | 8 | 0 | 193 | 91.2 |
| 3. Forest and other wooded areas | 1 | 13 | 132 | 4 | 0 | 150 | 88.0 |
| 4. Bare areas | 2 | 12 | 2 | 101 | 0 | 117 | 86.3 |
| 5. Water bodies | 0 | 0 | 0 | 0 | 11 | 11 | 100.0 |
| Total | 22 | 202 | 143 | 113 | 11 | 491 | |
| PA (%) | 81.8 | 87.1 | 92.3 | 89.4 | 100.0 | ||
| PA adjusted (%) | 83.3 | 90.3 | 89.1 | 88.4 | 100.0 | ||
| Overall accuracy (%) | 89.2 | ||||||
| Overall adjusted accuracy (%) | 89.3 | ||||||
| (b) Confusion Matrix for 2015 LULC Map | |||||||
| 1 | 2 | 3 | 4 | 5 | Total | UA (%) | |
| 1. Urban and peri-urban areas | 21 | 4 | 1 | 4 | 0 | 30 | 70.0 |
| 2. Cultivated areas | 1 | 167 | 5 | 2 | 0 | 175 | 95.4 |
| 3. Forest and other wooded areas | 0 | 19 | 138 | 1 | 0 | 158 | 87.3 |
| 4. Bare areas | 2 | 9 | 5 | 101 | 0 | 117 | 86.3 |
| 5. Water bodies | 0 | 0 | 0 | 0 | 11 | 11 | 100.0 |
| Total | 24 | 199 | 149 | 108 | 11 | 491 | |
| PA (%) | 87.5 | 83.9 | 92.6 | 93.5 | 100.0 | ||
| PA adjusted (%) | 86.1 | 89.3 | 88.1 | 93.5 | 100.0 | ||
| Overall accuracy (%) | 89.2 | ||||||
| Overall adjusted accuracy (%) | 89.9 | ||||||
| (c) Confusion Matrix for 2020 LULC Map | |||||||
| 1 | 2 | 3 | 4 | 5 | Total | UA (%) | |
| 1. Urban and peri-urban areas | 16 | 8 | 0 | 2 | 0 | 26 | 61.5 |
| 2. Cultivated areas | 2 | 167 | 3 | 6 | 0 | 178 | 93.8 |
| 3. Forest and other wooded areas | 0 | 21 | 121 | 2 | 0 | 144 | 84.0 |
| 4. Bare areas | 1 | 18 | 6 | 107 | 0 | 132 | 81.1 |
| 5. Water bodies | 0 | 0 | 0 | 0 | 11 | 11 | 100.0 |
| Total | 19 | 214 | 130 | 117 | 11 | 491 | |
| PA (%) | 84.2 | 78.0 | 93.1 | 91.5 | 100.0 | ||
| PA adjusted (%) | 85.8 | 82.4 | 88.3 | 91.2 | 100.0 | ||
| Overall accuracy (%) | 85.9 | ||||||
| Overall adjusted accuracy (%) | 86.0 | ||||||
| (a) Area Estimate for 2010 | ||||
| LULC Category | Area Calculated Based on Pixels | Adjusted Area Estimate | Adjusted Area of Total Area | Confidence Interval (±) |
| 1. Urban and peri-urban areas | 23,984.8 | 25,920.4 | 4.8% | 4163.0 |
| 2. Cultivated areas | 257,832.1 | 260,370.1 | 48.3% | 10,624.0 |
| 3. Forest and other wooded areas | 129,869.0 | 128,303.7 | 23.8% | 7648.0 |
| 4. Bare areas | 124,742.0 | 121,833.8 | 22.6% | 7284.0 |
| 5. Water bodies | 2427.6 | 2427.6 | 0.5% | 365.0 |
| (b) Area Estimate for 2015 | ||||
| LULC Category | Classified Map Area | Adjusted Area Estimate | Adjusted Area of Total Area | Confidence Interval (±) |
| 1. Urban and peri-urban areas | 32,773.1 | 26,653.0 | 4.9% | 9741.5 |
| 2. Cultivated areas | 252,772.2 | 268,627.0 | 49.9% | 12,772.0 |
| 3. Forest and other wooded areas | 118,775.5 | 119,167.0 | 22.1% | 10,644.0 |
| 4. Bare areas | 132,620.5 | 122,495.0 | 22.7% | 10,164.0 |
| 5. Water bodies | 1914.2 | 1914.0 | 0.4% | 376.0 |
| (c) Area Estimate for 2020 | ||||
| LULC category | Classified Map Area | Adjusted Area Estimate | Adjusted Area of Total Area | Confidence Interval (±) |
| 1. Urban and peri-urban areas | 38,138.5 | 27,359.4 | 5.1% | 8500.0 |
| 2. Cultivated areas | 239,787.4 | 272,907.5 | 50.6% | 15,488.0 |
| 3. Forest and other wooded areas | 100,714.5 | 97,188.6 | 18.0% | 9781.0 |
| 4. Bare areas | 157,783.9 | 138,968.8 | 25.8% | 12,875.0 |
| 5. Water bodies | 2431.2 | 2431.2 | 0.5% | 353.0 |
| LULC Category | 2010 to 2015 (ha) | 2015 to 2020 (ha) | 2010 to 2020 (ha) |
| Urban and peri-urban areas to cultivated areas | 67.3 | 83.5 | 165.4 |
| Urban and peri-urban areas to forest | 0.0 | 0.0 | 0.0 |
| Urban and peri-urban areas to bare areas | 34.8 | 71.0 | 105.8 |
| Urban and peri-urban areas to water bodies | 0.0 | 0.0 | 0.0 |
| Cultivated areas to urban and peri-urban areas | 175.6 | 202.0 | 233.4 |
| Cultivated areas to forest | 0.0 | 0.0 | 0.0 |
| Cultivated areas to bare areas | 44.8 | 70.0 | 130.8 |
| Cultivated areas to water bodies | 0.0 | 0.0 | 0.0 |
| Forest to urban and peri-urban areas | 423.6 | 447.5 | 860.0 |
| Forest to cultivated areas | 6327.6 | 3482.0 | 8823.0 |
| Forest to bare areas | 2385.5 | 18,048.9 | 21,432.1 |
| Forest to water bodies | 0.0 | 0.0 | 0.0 |
| Bare areas to urban and peri-urban areas | 133.4 | 56.9 | 345.6 |
| Bare areas to cultivated areas | 1860.0 | 715.0 | 3547.5 |
| Bare areas to forest | 0.0 | 0.0 | 0.0 |
| Bare areas to water bodies | 0.0 | 0.0 | 0.0 |
| Water bodies to urban and peri-urban areas | 0.0 | 0.0 | 0.0 |
| Water bodies to cultivated areas | 2.0 | 0.0 | 2.0 |
| Water bodies to forest | 0.0 | 0.0 | 0.0 |
| Water bodies to bare areas | 511.6 | 517.2 | 3.6 |
| Forest Class | Stand 2010 | Stand 2015 | Stand 2020 | |||
|---|---|---|---|---|---|---|
| Area (ha) | % | Area (ha) | % | Area (ha) | % | |
| Dense forest | 30,117.8 | 23.5 | 27,180.4 | 22.8 | 18,339.5 | 18.9 |
| Open forest | 32,600.3 | 25.4 | 48,278.1 | 40.5 | 47,233.7 | 48.6 |
| Dispersed forest and shrubs | 65,585.6 | 51.1 | 43,707.7 | 36.7 | 31,615.5 | 32.5 |
| Total | 128,303.7 | 100.0 | 119,167.0 | 100.0 | 97,188.6 | 100.0 |
| Forest Class | 2010–2015 | 2015–2020 | Total (2010–2020) | ||||||
|---|---|---|---|---|---|---|---|---|---|
| Area (ha) | Area (%) | Rate (ha2 year1) | Area (ha) | Area (%) | Rate (ha2 year1) | Area (ha) | Area (%) | Rate (ha2 year1) | |
| Dense forest | −2937.4 | −2.3 | −587.5 | −8840.9 | −7.4 | −1768.2 | −11,778.3 | −9.2 | −1177.8 |
| Open forest | 15,677.8 | 12.2 | 3135.6 | −1044.4 | −0.9 | −208.9 | 14,633.4 | 11.4 | 1463.3 |
| Dispersed forest and shrubs | −21,877.9 | −17.1 | −4375.6 | −12,092.2 | −10.1 | −2418.4 | −33,970.1 | −26.5 | −3397.0 |
| Total | −9136.7 | −7.2 | −1827.3 | −21,978.4 | −18.4 | −4395.7 | −31,115.1 | −24.3 | −3111.5 |
Publisher’s Note: MDPI stays neutral with regard to jurisdictional claims in published maps and institutional affiliations. |
© 2021 by the author. Licensee MDPI, Basel, Switzerland. This article is an open access article distributed under the terms and conditions of the Creative Commons Attribution (CC BY) license (http://creativecommons.org/licenses/by/4.0/).
Share and Cite
Mohamed, M.A. An Assessment of Forest Cover Change and Its Driving Forces in the Syrian Coastal Region during a Period of Conflict, 2010 to 2020. Land 2021, 10, 191. https://doi.org/10.3390/land10020191
Mohamed MA. An Assessment of Forest Cover Change and Its Driving Forces in the Syrian Coastal Region during a Period of Conflict, 2010 to 2020. Land. 2021; 10(2):191. https://doi.org/10.3390/land10020191
Chicago/Turabian StyleMohamed, Mohamed Ali. 2021. "An Assessment of Forest Cover Change and Its Driving Forces in the Syrian Coastal Region during a Period of Conflict, 2010 to 2020" Land 10, no. 2: 191. https://doi.org/10.3390/land10020191
APA StyleMohamed, M. A. (2021). An Assessment of Forest Cover Change and Its Driving Forces in the Syrian Coastal Region during a Period of Conflict, 2010 to 2020. Land, 10(2), 191. https://doi.org/10.3390/land10020191

