Quantifying Cereal Productivity on Sandy Soil in Response to Some Soil-Improving Cropping Systems
Abstract
:1. Introduction
2. Materials and Method
2.1. Study Area and Field Experiment
2.2. Descriptive Statistics
2.3. Bland–Altman Method
3. Results
3.1. Weather Conditions
3.2. Descriptive Statistics
3.3. Correlation Coefficients between Yield Trait Components
3.4. Bland–Altman Analysis
4. Discussion
4.1. Impact of the Soil-Improving Cropping Systems (SICS) on Yield Trait Components
4.2. Weather Influences
4.3. Usefulness of the Bland–Altman Method
5. Conclusions
- (1)
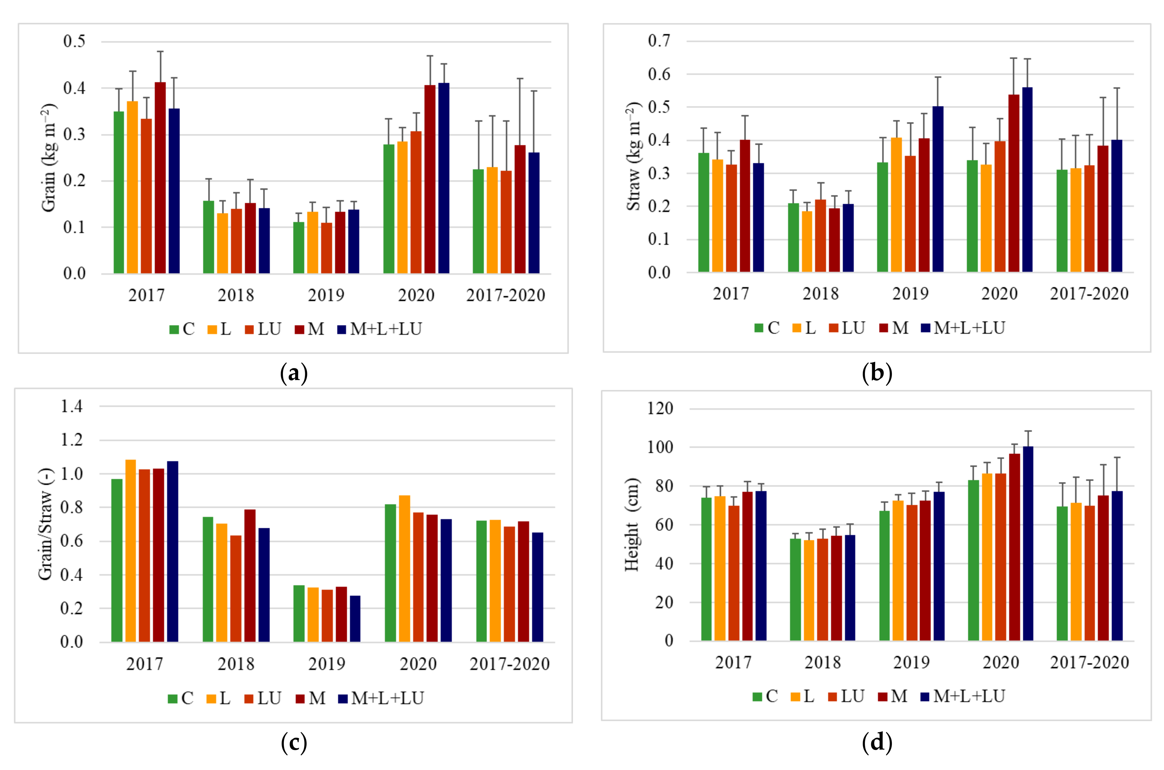
- Differences in the yield of grain and straw and plant height between all each soil-improving cropping system (SICS) and the control were not significant in the first three study years (2017–2019). In the last study year (2020), however, all yield trait components significantly increased in SICS with the use of farmyard manure (M) and farmyard manure, liming, and catch crops together (M + L + LU) but not in SICS with application of liming (L) and catch crops (LU) alone.
- (2)
- Irrespective of the type of the soil-improving cropping systems, all yield trait components were considerably lower in the dry years (2018–2019) than in the wet years (2017–2020). The inter-annual variations were relatively greater than those between the SICS treatments in all study years. The relatively large amount of rainfalls in May in 2019 during intensive growth at shooting and the scarce precipitation during later growth resulted in a significantly greater straw yield.
- (3)
- The values of Bland–Altman bias (mean difference) varied from (in kg m−2) −0.002 for LU in 2019 to 0.128 for M and 0.132 for M + L + LU in 2020. Irrespective of the yield trait components, the highest limits of agreement (LoA) were recorded in 2020 in the M and M + L + LU variants, where all yield trait components reached the maximum values.
- (4)
- The highest Bland–Altman ratio (BAR) values suggest that quantification of the effects of all soil-improving cropping practices was most uncertain for the grain yield in the dry year 2018 and for the straw yield in the wet year 2020. The uncertainty for the plant height was much lower than for the grain and straw yield, irrespective of the soil-improving cropping systems and study year.
- (5)
- Overall, the results from the Bland–Altman method well complement classical statistics by providing helpful information for selection of the most yield-producing soil-improving cropping system, depending on weather conditions prevailing during the growing season.
Author Contributions
Funding
Institutional Review Board Statement
Data Availability Statement
Conflicts of Interest
References
- Yost, J.L.; Hartemink, A.E. Chapter four—Soil organic carbon in sandy soils: A review. In Advances in Agronomy, 1st ed.; Sparks, D.L., Ed.; Academic Press: Newark, DE, USA, 2019; pp. 217–230. [Google Scholar]
- Bronick, C.J.; Lal, R. Manuring and rotation effects on soil organic carbon concentration for different aggregate size fractions on two soils in northeastern Ohio, USA. Soil Tillage Res. 2005, 81, 239–252. [Google Scholar] [CrossRef]
- Thorsen, M.K.; Hopkins, D.W.; Woodward, S.; McKenzie, B.M. Resilience of microorganisms and aggregation of a sandy calcareous soil to amendment with organic and synthetic fertilizer. Soil Use Manag. 2010, 26, 149–157. [Google Scholar]
- Jankowski, M.; Przewoźna, B.; Bednarek, R. Topographical inversion of sandy soils due to local conditions in Northern Poland. Geomorphology 2011, 135, 277–283. [Google Scholar] [CrossRef]
- Huang, J.; Hartemink, A.E. Soil and environmental issues in sandy soils. Earth Sci. Rev. 2020, 208, 103295. [Google Scholar] [CrossRef]
- Białousz, S.; Marcinek, J.; Stuczyński, T.; Turski, R. Soil survey, soil monitoring and soil databases in Poland. In European Soil Bureau—Research Report; No. 9 ESB-RR9; European Soil Bureau: Brussels, Belgium, 2000; pp. 263–273. Available online: https://www.academia.edu/34998638/ (accessed on 19 October 2021).
- Rutkowska, A.; Pikuła, D. Effect of crop rotation and nitrogen fertilization on the quality and quantity of soil organic matter. In Soil Processes and Current Trends in Quality: Assessment; Hernandez Soriano, M.C., Ed.; Intech Open: London, UK, 2013; pp. 249–267. Available online: https://www.intechopen.com/chapters/41059 (accessed on 19 October 2021). [CrossRef] [Green Version]
- Osman, K.T. Management of soil problems. In Sandy Soils; Osman, K.T., Ed.; Springer International Publishing: Cham, Switzerland, 2018; pp. 37–65. [Google Scholar]
- Peake, L.R.; Reid, G.J.; Tang, X. Quantifying the influence of biochar on the physical and hydrological properties of dissimilar soils. Geoderma 2014, 235–236, 182–190. [Google Scholar] [CrossRef]
- Zhou, H.; Fang, H.; Zhang, Q.; Wang, Q.; Chen, C.; Mooney, S.J.; Peng, X.; Du, Z. Biochar enhances soil hydraulic function but not soil aggregation in a sandy loam. Eur. J. Soil Sci. 2019, 70, 291–300. [Google Scholar] [CrossRef]
- Usowicz, B.; Lipiec, J. Spatial variability of saturated hydraulic conductivity and its links with other soil properties at the regional scale. Sci. Rep. 2021, 11, 8293. [Google Scholar] [CrossRef]
- Gliński, J.; Lipiec, J. Soil Physical Conditions and Plant Roots, 1st ed.; CRC Press Taylor & Francis Group: Boca Raton, FL, USA, 1990; p. 260. First Published 1990; ISBN 13: 978-1-351-07670-8. [Google Scholar]
- Villagra-Mendoza, K.; Horn, R. Effect of biochar on the unsaturated hydraulic conductivity of two amended soils. Int. Agrophys. 2018, 32, 373–378. [Google Scholar] [CrossRef]
- Krasowicz, S.; Oleszek, W.; Horabik, J.; Dębicki, R.; Jankowiak, J.; Stuczyński, T.; Jadczyszyn, J. Rational management of the soil environment in Poland. Pol. J. Agron. 2011, 7, 43–58. [Google Scholar]
- Behera, S.K.; Shukla, A.K. Spatial distribution of surface soil acidity, electrical conductivity, soil organic carbon content and exchangeable potassium, calcium and magnesium in some cropped acid soils of India. Land Deg. Dev. 2015, 26, 71–79. [Google Scholar] [CrossRef]
- Cai, Z.J.; Wang, B.R.; Xu, M.G.; Zhang, H.M.; He, X.; Zhang, L.; Gao, S. Intensified soil acidification from chemical N fertilization and prevention by manure in an 18-year field experiment in the red soil of southern china. J. Soils Sediments 2015, 15, 260–270. [Google Scholar] [CrossRef]
- Novák, P.; Chyba, J.; Kumhála, F.; Procházka, P. The measurement of stubble cultivator draught force under different soil conditions. Agron. Res. 2014, 12, 135–142. [Google Scholar]
- Schjønning, P.; Heckrath, G.; Christensen, B.T. Threat to soil quality in Denmark. A review of existing knowledge in the context of the EU soil thematic strategy. In DJF Report Plant Science no. 143; Aarhus University: Tjele, Denmark, 2009; pp. 11–121. Available online: http://web.agrsci.dk/djfpublikation/index.asp?action=show&id=1073 (accessed on 19 October 2021).
- Usowicz, B.; Lipiec, J. Spatial variability of soil properties and cereal yield in a cultivated field on sandy soil. Soil Tillage Res. 2017, 174, 241–250. [Google Scholar]
- Reichert, J.M.; Albuquerque, J.A.; Kaiser, D.R.; Reinert, D.J.; Urach, F.L.; Carlesso, R. Estimation of water retention and availability in soils of Rio Grande do Sul. Rev. Bras. Cienc. Solo 2020, 33, 1547–1560. [Google Scholar]
- Lal, R. Soil organic matter and water retention. Agron. J. 2020, 112, 3265–3277. [Google Scholar] [CrossRef]
- Adhikari, K.; Hartemink, A.E. Soil organic carbon increases under intensive agriculture in the Central Sands, Wisconsin, USA. Geoderma Reg. 2017, 10, 115–125. [Google Scholar] [CrossRef]
- Cai, A.; Xu, M.; Wang, B.; Zhang, W.; Liang, G.; Hou, E.; Lua, Y. Manure acts as a better fertilizer for increasing crop yields than synthetic fertilizer does by improving soil fertility. Soil Tillage Res. 2019, 189, 168–175. [Google Scholar]
- Ajayi, A.E.; Holthusen, D.; Horn, R. Changes in microstructural behaviour and hydraulic functions of biochar amended soils. Soil Tillage Res. 2016, 155, 166–175. [Google Scholar] [CrossRef]
- Minasny, B.; McBratney, A.B. Limited effect of organic matter on soil available water capacity. Eur. J. Soil Sci. 2017, 69, 39–47. [Google Scholar] [CrossRef] [Green Version]
- Bhogal, A.; Nicholson, F.A.; Rollett, A.; Taylor, M.; Litterick, A.; Whittingham, M.J.; Williams, J.R. Improvements in the quality of agricultural soils following organic material additions depend on both the quantity and quality of the materials applied. Front. Sustain. Food Syst. 2018, 2, 9. [Google Scholar] [CrossRef] [Green Version]
- EASAC (European Academies’ Science Advisory Council). Opportunities for soil sustainability in Europe. In Policy Report 36; European Academies Science Advisory Council: Halle, Germany, 2018; pp. 3–38. [Google Scholar]
- Villagra-Mendoza, K.; Horn, R. Effect of biochar addition on hydraulic functions of two textural soils. Geoderma 2018, 326, 88–95. [Google Scholar]
- Gluba, Ł.; Rafalska-Przysucha, A.; Szewczak, K.; Łukowski, M.; Szlązak, R.; Vitková, J.; Kobyłecki, R.; Bis, Z.; Wichliński, M.; Zarzycki, R.; et al. Effect of fine size-fractionated sunflower husk biochar on water retention properties of arable sandy soil. Materials 2021, 14, 1335. [Google Scholar] [CrossRef]
- Ibrahim, A.; Horton, R. Biochar and compost amendment impacts on soil water and pore size distribution of a loamy sand soil. Soil Sci. Soc. Am. J. 2021, 85, 1021–1036. [Google Scholar] [CrossRef]
- Bönecke, E.; Meyer, S.; Vogel, S.; Schröter, I.; Gebbers, R.; Kling, C.; Kramer, E.; Lück, K.; Nagel, A.; Philipp, G.; et al. Guidelines for precise lime management based on high-resolution soil pH, texture and SOM maps generated from proximal soil sensing data. Precis. Agric. 2021, 22, 493–523. [Google Scholar] [CrossRef]
- Bolinder, M.A.; Crotty, F.; Elsen, A.; Frąc, M.; Kismanyoky, T.; Lipiec, J.; Tits, M.; Toth, Z.; Kätterer, T. The effect of crop residues, cover crops, manures and nitrogen fertilization on soil organic carbon changes in agroecosystems: A synthesis of reviews. Mitig. Adapt. Strateg. Glob. Chang. 2020, 25, 929–952. [Google Scholar] [CrossRef]
- Kismányoky, T.; Tóth, Z. Effect of mineral and organic fertilization on soil organic carbon content as well as on grain production of cereals in the IOSDV (ILTE) long-term field experiment, Keszthely, Hungary. Arch. Agron. Soil Sci. 2013, 59, 1121–1131. [Google Scholar] [CrossRef]
- Bloch, S.E.; Ryu, M.H.; Ozaydin, B.; Broglie, R. Harnessing atmospheric nitrogen for cereal crop production. Curr. Opin. Biotechnol. 2020, 62, 181–188. [Google Scholar] [CrossRef]
- Popp, M.P.; Purcell, L.C.; Ross, W.J.; Norsworthy, J.S. Profitability of using nitrogen fertilizer or inoculating soybean seed. Agrosyst. Geosci. Environ. 2020, 3, e20115. [Google Scholar] [CrossRef]
- Świtek, S.; Sawinska, Z. Farmer rationality and the adoption of greening practices in Poland. Sci. Agric. 2017, 74, 275–284. [Google Scholar] [CrossRef]
- Zaniewicz-Bajkowska, A.; Rosa, R.; Kosterna, E.; Franczuk, J. Catch crops for green manure biomass yield and macroelement content depending on the sowing date. Acta Sci. Pol. Agric. 2013, 12, 65–79. [Google Scholar]
- Valkama, E.; Lemola, R.; Känkänen, H.; Turtola, E. Meta-analysis of the effects of undersown catch crops on nitrogen leaching loss and grain yields in the Nordic countries. Agric. Ecosyst. Environ. 2015, 203, 93–101. [Google Scholar]
- Soussana, J.-F.; Lutfalla, S.; Ehrhardt, F.; Rosenstock, T.; Lamanna, C.; Havlík, P.; Richards, M.; Wollenberg, E.; Chotte, J.-L.; Torquebiau, E.; et al. Matching policy and science: Rationale for the ‘4 per 1000—Soils for food security and climate’ initiative. Soil Tillage Res. 2017, 188, 3–15. [Google Scholar] [CrossRef]
- Bland, J.M.; Altman, D.G. Statistical method for assessing agreement between two methods of clinical measurement. Lancet 1986, 327, 307–310. [Google Scholar]
- Bland, J.M.; Altman, D.G. Measuring agreement in method comparison studies. Stat. Methods Med. Res. 1999, 8, 135–160. [Google Scholar] [CrossRef]
- Myles, P.S.; Cui, J. Using the Bland–Altman method to measure agreement with repeated measures. Br. J. Anaesth. 2007, 99, 309–311. [Google Scholar] [CrossRef] [PubMed] [Green Version]
- Giavarina, D. Understanding Bland-Altman analysis. Bio. Chem. Med. 2015, 24, 141–151. [Google Scholar] [CrossRef] [PubMed] [Green Version]
- Numao, S.; Uchida, R.; Kurosaki, T.; Nakagaichi, M. Differences in circulating fatty acid-binding protein 4 concentration in the venous and capillary blood immediately after acute exercise. J. Physiol. Anthropol. 2021, 40, 5. [Google Scholar] [CrossRef] [PubMed]
- Usowicz, B.; Marczewski, W.; Usowicz, J.; Łukowski, M.; Lipiec, J. Comparison of surface soil moisture from SMOS satellite and ground measurements. Int. Agrophys. 2014, 28, 359–369. [Google Scholar] [CrossRef] [Green Version]
- Zawadzki, J.; Kędzior, M. Soil moisture variability over Odra watershed: Comparison between SMOS and GLDAS data. Int. J. Appl. Earth. Obs. 2016, 45, 110–124. [Google Scholar] [CrossRef]
- Usowicz, B.; Lipiec, J. Determining the effect of exogenous organic materials on spatial distribution of maize yield. Sci. Rep. 2019, 9, 19883. [Google Scholar] [CrossRef]
- Usowicz, B.; Lipiec, J.; Łukowski, M.; Bis, Z.; Usowicz, J.; Latawiec, A.E. Impact of biochar addition on soil thermal properties: Modelling approach. Geoderma 2020, 376, 114574. [Google Scholar] [CrossRef]
- Rehman, H.U.; Pouladi, N.; Pulido-Moncada, M.; Arthur, E. Repeatability and agreement between methods for determining the Atterberg limits of fine-grained soils. Soil Sci. Soc. Am. J. 2020, 84, 21–30. [Google Scholar] [CrossRef]
- WRB IUSS Working Group. World reference base for soil resources 2014, update 2015. In International Soil Classification System for Naming Soils and Creating Legends for Soil Maps; World Soil Resources Reports No. 106; FAO: Rome, Italy, 2015; Available online: https://publications.jrc.ec.europa.eu/repository/handle/JRC91947 (accessed on 19 October 2021).
- Dahiya, I.S.; Ritcher, J.; Mark, P.S. Soil spatial variability: Review. Int. J. Trop. Agric. 1984, 11, 1–102. [Google Scholar]
- Mkhonza, N.P.; Buthelezi-Dube, N.N.; Muchaonyerwa, P. Effects of lime application on nitrogen and phosphorus availability in humic soils. Sci. Rep. 2020, 10, 8634. [Google Scholar] [CrossRef] [PubMed]
- Tamm, I.; Tamm, Ü.; Ingver, A.; Koppel, R.; Tupits, I.; Bender, A.; Tamm, S.; Narits, L.; Koppel, M. Different leguminous pre-crops increased yield of succeeding cereals in two consecutive years. Acta Agr. Scand. Sect. B Soil Plant Sci. 2016, 66, 593–601. [Google Scholar] [CrossRef]
- Gitari, H.I.; Gachene, C.K.K.; Karanja, N.N.; Kamau, S.; Nyawade, S.; Schulte-Geldermann, E. Potato-legume intercropping on a sloping terrain and its effects on soil physico-chemical properties. Plant Soil 2019, 438, 447–460. [Google Scholar] [CrossRef]
- Jerzak, M.; Mikulski, W. The importance of subsidies for the production of grain legumes for reconstruction of the domestic market of protein raw materials of vegetable origin in Poland. Probl. Agric. Econ. 2017, 2, 152–163. [Google Scholar]
- Wysokinski, A.; Kuziemska, B. The sources of nitrogen for yellow lupine and spring triticale in their intercropping. Plant Soil Environ. 2019, 65, 145–151. [Google Scholar] [CrossRef] [Green Version]
- Kundzewicz, Z.W.; Piniewski, M.; Mezghani, A.; Okruszko, T.; Pińskwar, I.; Kardel, I.; Hov, Ø.; Szcześniak, M.; Szwed, M.; Benestad, R.E.; et al. Assessment of climate change and associated impact on selected sectors in Poland. Acta Geophys. 2018, 66, 1509–1523. [Google Scholar] [CrossRef] [Green Version]
- Dai, J.; Bean, B.; Brown, B.; Bruening, W.; Edwards, J.; Flowers, M.; Karow, R.; Lee, C.; Morgan, G.; Ottman, M.; et al. Harvest index and straw yield of five classes of wheat. Biomass Bioenerg. 2016, 85, 223–227. [Google Scholar] [CrossRef] [Green Version]
- Liu, W.; Hou, P.; Liu, G.; Yang, Y.; Guo, X.; Ming, B.; Xie, R.; Wang, K.; Liu, Y.; Li, S. Contribution of total dry matter and harvest index to maize grain yield—A multisource data analysis. Food Energy Secur. 2020, 9, e256. [Google Scholar] [CrossRef]
- Lipiec, J.; Usowicz, B. Spatial relationships among cereal yields and selected soil physical and chemical properties. Sci. Total Environ. 2018, 633, 1579–1590. [Google Scholar] [CrossRef] [PubMed]
- Van Stralen, K.J.; Dekker, F.W.; Zoccali, C.; Jager, K.J. Measuring agreement, more complicated than it seems. Nephron Clin. Pract. 2012, 120, c162–c167. [Google Scholar] [CrossRef]
- Peng, B.; Guan, K.; Tang, J.; Ainsworth, E.A.; Asseng, S.; Bernacchi, C.J.; Cooper, M.; DeLucia, E.H.; Elliott, J.; Ewert, F.; et al. Towards a multiscale crop modelling framework for climate change adaptation assessment. Nat. Plants 2020, 6, 338–348. [Google Scholar] [CrossRef] [PubMed]









| Year 2017, Oats | Year 2018, Spring Wheat | |||||
|---|---|---|---|---|---|---|
| (kg m−2) | (cm) | (kg m−2) | (cm) | |||
| Yield | Grain | Straw | Height | Grain | Straw | Height |
| Number | 45 | 45 | 45 | 45 | 45 | 45 |
| Mean | 0.361 | 0.350 | 74.3 | 0.143 | 0.205 | 53.5 |
| SD | 0.063 | 0.069 | 5.6 | 0.040 | 0.040 | 4.2 |
| CV (%) | 17.5 | 19.7 | 7.5 | 28.1 | 19.3 | 7.9 |
| Minimum | 0.240 | 0.220 | 64.0 | 0.070 | 0.140 | 48.0 |
| Maximum | 0.530 | 0.560 | 85.0 | 0.250 | 0.310 | 63.0 |
| Skewness | 0.276 | 0.596 | −0.052 | 0.883 | 0.930 | 0.803 |
| Kurtosis | −0.340 | 0.480 | −1.018 | 0.141 | 0.406 | −0.514 |
| Year 2019, Spring Wheat | Year 2020, Oats | |||||
| (kg m−2) | (cm) | (kg m−2) | (cm) | |||
| Yield | Grain | Straw | Height | Grain | Straw | Height |
| Number | 45 | 45 | 45 | 45 | 45 | 45 |
| Mean | 0.123 | 0.395 | 71.6 | 0.333 | 0.432 | 90.1 |
| SD | 0.026 | 0.094 | 5.6 | 0.072 | 0.123 | 9.2 |
| CV (%) | 20.9 | 23.8 | 7.8 | 21.5 | 28.5 | 10.2 |
| Minimum | 0.070 | 0.200 | 59.0 | 0.170 | 0.230 | 75.0 |
| Maximum | 0.180 | 0.590 | 84.0 | 0.490 | 0.770 | 110.0 |
| Skewness | 0.249 | 0.053 | −0.229 | 0.322 | 0.477 | 0.300 |
| Kurtosis | −0.289 | −0.249 | −0.349 | −0.445 | −0.031 | −0.494 |
| Oats, 2017 | Spring Wheat, 2018 | Spring Wheat, 2019 | Oats, 2020 | ||||||||||
|---|---|---|---|---|---|---|---|---|---|---|---|---|---|
| Grain | Straw | Height | Grain | Straw | Height | Grain | Straw | Height | Grain | Straw | Height | ||
| 2017 | Grain | 1.000 | 0.623 | 0.487 | −0.112 | −0.169 | 0.081 | 0.155 | −0.116 | 0.067 | 0.182 | −0.022 | 0.073 |
| Straw | 1.000 | 0.562 | −0.257 | −0.126 | −0.014 | −0.153 | −0.181 | −0.096 | 0.116 | −0.020 | 0.057 | ||
| Height | 1.000 | −0.063 | −0.001 | 0.229 | 0.325 | 0.150 | 0.230 | 0.306 | 0.135 | 0.336 | |||
| 2018 | Grain | 1.000 | 0.393 | 0.512 | 0.322 | 0.228 | 0.109 | 0.174 | 0.122 | −0.007 | |||
| Straw | 1.000 | 0.189 | −0.096 | −0.057 | −0.080 | 0.136 | 0.115 | 0.058 | |||||
| Height | 1.000 | 0.329 | 0.346 | 0.333 | 0.217 | 0.198 | 0.112 | ||||||
| 2019 | Grain | 1.000 | 0.676 | 0.596 | 0.312 | 0.121 | 0.330 | ||||||
| Straw | 1.000 | 0.785 | 0.473 | 0.367 | 0.506 | ||||||||
| Height | 1.000 | 0.375 | 0.326 | 0.483 | |||||||||
| 2020 | Grain | 1.000 | 0.798 | 0.776 | |||||||||
| Straw | 1.000 | 0.833 | |||||||||||
| Height | 1.000 | ||||||||||||
Publisher’s Note: MDPI stays neutral with regard to jurisdictional claims in published maps and institutional affiliations. |
© 2021 by the authors. Licensee MDPI, Basel, Switzerland. This article is an open access article distributed under the terms and conditions of the Creative Commons Attribution (CC BY) license (https://creativecommons.org/licenses/by/4.0/).
Share and Cite
Lipiec, J.; Usowicz, B. Quantifying Cereal Productivity on Sandy Soil in Response to Some Soil-Improving Cropping Systems. Land 2021, 10, 1199. https://doi.org/10.3390/land10111199
Lipiec J, Usowicz B. Quantifying Cereal Productivity on Sandy Soil in Response to Some Soil-Improving Cropping Systems. Land. 2021; 10(11):1199. https://doi.org/10.3390/land10111199
Chicago/Turabian StyleLipiec, Jerzy, and Bogusław Usowicz. 2021. "Quantifying Cereal Productivity on Sandy Soil in Response to Some Soil-Improving Cropping Systems" Land 10, no. 11: 1199. https://doi.org/10.3390/land10111199
APA StyleLipiec, J., & Usowicz, B. (2021). Quantifying Cereal Productivity on Sandy Soil in Response to Some Soil-Improving Cropping Systems. Land, 10(11), 1199. https://doi.org/10.3390/land10111199

