Characterization of Soil Carbon Stocks in the City of Johannesburg
Abstract
1. Introduction
2. Materials and Methods
2.1. Study Area
2.2. Soil Data and Analysis
2.2.1. Soil Bulk Density
2.2.2. Soil C Content and Soil C Stocks
- SOC stocks = soil carbon stocks (t C ha−1);
- Soil C = soil C carbon (%);
- BD = soil bulk density (g cm−3);
- t = soil depth (cm).
2.2.3. Spatial Representation of Carbon Stocks
2.2.4. Statistical Analysis
3. Results
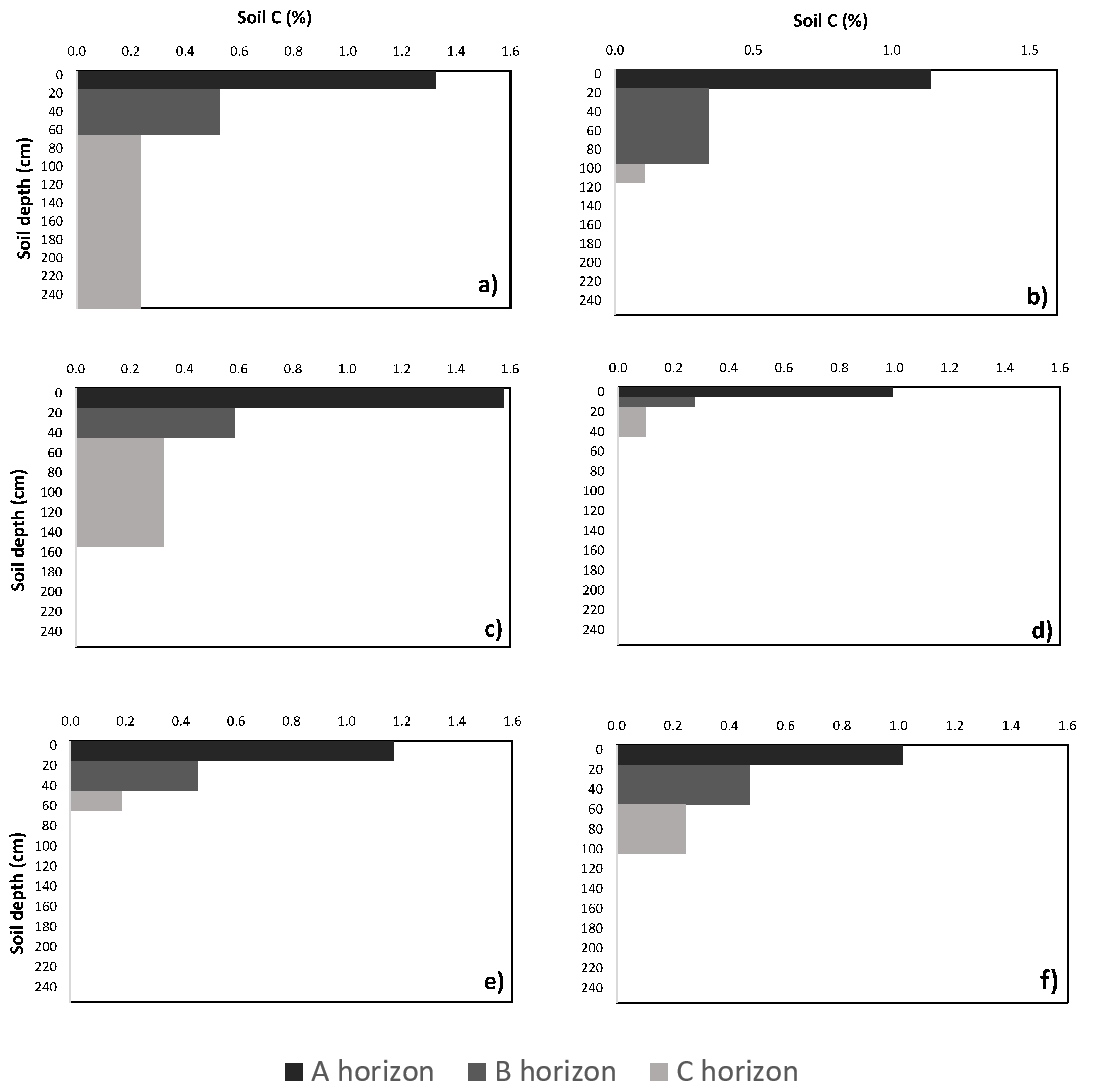
Soil C Content and Soil C Stocks
- (a)
- Recharge (deep) soils
- (b)
- Recharge (shallow) soils
- (c)
- Responsive (saturated) soils
- (d)
- Responsive (shallow) soils
- (e)
- Interflow (A/B) soils
- (f)
- Interflow (soil/bedrock) soils
4. Discussion
4.1. Soil Carbon Content
4.2. Soil Carbon Stocks
5. Conclusions
Author Contributions
Funding
Institutional Review Board Statement
Informed Consent Statement
Data Availability Statement
Acknowledgments
Conflicts of Interest
References
- Davies, R.; Hall, S.J. Direct and indirect effects of urbanization on soil and plant nutrients in desert ecosystems of the Phoenix metropolitan area, Arizona (USA). Urban Ecosyst. 2010, 13, 295–317. [Google Scholar] [CrossRef]
- Asabere, S.B.; Zeppenfeld, T.; Nketia, K.A.; Sauer, D. Urbanization leads to increases in pH, carbonate, and soil organic matter stocks of arable soils of Kumasi, Ghana (West Africa). Front. Environ. Sci. 2018, 6, 1–17. [Google Scholar] [CrossRef]
- Lovett, G.M.; Traynor, M.N.; Pouyat, R.V.; Carreiro, M.M.; Zhu, W.; Baxter, J.W. Atmospheric deposition to oak forests along an urbanrural gradient. Environ. Sci. Technol. 2000, 34, 4294–4300. [Google Scholar] [CrossRef]
- Vodyanitskii, Y.N. Organic matter of urban soils: A review. Eurasian Soil Sci. 2015, 8, 802–811. [Google Scholar] [CrossRef]
- Lorenz, K.; Lal, R. Biogeochemical C and N cycles in urban soils. Environ. Int. 2009, 35, 1–8. [Google Scholar] [CrossRef]
- Mao, Q.; Huang, G.; Buyantuev, A.; Wu, J.; Luo, S.; Ma, K. Spatial heterogeneity of urban soils: The case of the Beijing metropolitan region, China. Ecol. Process. 2014, 3, 1–11. [Google Scholar] [CrossRef]
- Ebenebe, P.C.; Shale, K.; Sedibe, M.; Tikilili, P.; Achilonu, M.C. South African mine effluents: Heavy metal pollution and impact on the ecosystem. Int. J. Chem. Sci. 2017, 15, 1–12. [Google Scholar]
- Fashola, M.O.; Ngole-Jeme, V.M.; Babalola, O.O. Heavy metal pollution from gold mines: Environmental effects and bacterial strategies for resistance. Int. J. Environ. Res. Public Health 2016, 13, 1047. [Google Scholar] [CrossRef]
- Ghaley, B.B.; Porter, J.R.; Sandhu, H.S. Soil-Based ecosystem services: A synthesis of nutrient cycling and carbon sequestration assessment methods. Int. J. Biodivers. Sci. Ecosyst. Serv. Manag. 2014, 10, 177–186. [Google Scholar] [CrossRef]
- Schwilch, L.; Bernet, L.; Fleskens, E.; Giannakis, J.; Leventon, T.; Marañón, J.; Mills, C.; Short, J.; Stolte, H.; van Delden, S. Operationalizing ecosystem services for the mitigation of soil threats: A proposed framework. Ecol. Indic. 2016, 67, 586–597. [Google Scholar] [CrossRef]
- Oertel, C.; Matschullat, J.; Zurba, K.; Zimmermann, F.; Erasmi, S. Greenhouse gas emissions from Soils—A review. Geochemistry 2016, 76, 327–352. [Google Scholar] [CrossRef]
- Jobbágy, E.; Jackson, R. The vertical distribution of soil organic carbon and its relation to climate and vegetation. Ecol. Appl. 2000, 10, 423–436. [Google Scholar] [CrossRef]
- Batjes, N.H. Total carbon and nitrogen in the soils of the world. Eur. J. Soil Sci. 1996, 47, 151–163. [Google Scholar] [CrossRef]
- Le Quéré, C.; Raupach, M.R.; Canadell, J.G.; Marland, G.; Bopp, L.; Ciais, P.; Conway, T.J.; Doney, S.C.; Feely, R.A.; Foster, P.; et al. Trends in the sources and sinks of carbon dioxide. Nat. Geosci. 2009, 2, 831–836. [Google Scholar] [CrossRef]
- Tommaso, S.; Mouratiadou, I.; Gaiser, T.; Berg-Mohnicke, M.; Wallor, E.; Ewert, F.; Nendel, C. Estimating the contribution of crop residues to soil organic carbon conservation. Environ. Res. Lett. 2019, 14, 094008. [Google Scholar] [CrossRef]
- Obalum, S.; Chibuike, G.; Peth, S.; Ouyang, Y. Soil organic matter as sole indicator of soil degradation. Environ. Monit. Assess. 2017, 189, 176. [Google Scholar] [CrossRef]
- Jim, C.Y. Soil characteristics and management in an urban park in Hong Kong. Environ. Manag. 1998, 22, 683–695. [Google Scholar] [CrossRef]
- Schneider, A.; Friedl, M.A.; Potere, D. A new map of global urban extent from MODIS satellite data. Environ. Res. Lett. 2009, 4, 044003. [Google Scholar] [CrossRef]
- Intergovernmental Panel on Climate Change. Human settlements, infrastructure, and spatial planning. In Climate Change 2014: Mitigation of Climate Change: Working Group III Contribution to the IPCC Fifth Assessment Report; Cambridge University Press: Cambridge, UK; New York, NY, USA, 2015; pp. 923–1000. [Google Scholar]
- Yang, X.; Yue, W.; Xu, H.; Wu, J.; He, Y. Environmental consequences of rapid urbanization in Zhejiang province, East China. Int. J. Environ. Res. Public Health 2014, 11, 7045–7059. [Google Scholar] [CrossRef]
- Alberti, M. The effects of urban patterns on ecosystem function. Int. Reg. Sci. Rev. 2005, 28, 168–192. [Google Scholar] [CrossRef]
- Cullis, J.D.S.; Horn, A.; Rossouw, N.; Fisher-Jeffes, L.; Kunneke, M.M.; Hoffman, W. Urbanisation, climate change and its impact on water quality and economic risks in a water scarce and rapidly urbanising catchment: Case study of the Berg River Catchment. H2Open J. 2019, 2, 146–167. [Google Scholar] [CrossRef]
- Du Preez, C.C.; van Huyssteen, C.W.; Mnkeni, P.N.S. Land use and soil organic matter in South Africa 1: A review on spatial variability and the influence of rangeland stock production. S. Afr. J. Sci. 2011, 107, 27–34. [Google Scholar] [CrossRef]
- Toru, T.; Kibret, K. Carbon stock under major land use/land cover types of Hades sub-watershed, eastern Ethiopia. Carbon Balance Manag. 2019, 14, 1–14. [Google Scholar] [CrossRef]
- Lindén, L.; Riikonen, A.; Setälä, H.; Yli-Pelkonen, V. Quantifying carbon stocks in urban parks under cold climate conditions. Urban For. Urban Green. 2020, 49, 126633. [Google Scholar] [CrossRef]
- Wang, S.; Adhikari, K.; Zhuang, Q.; Gu, H.; Jin, X. Impacts of urbanization on soil organic carbon stocks in the northeast coastal agricultural areas of China. Sci. Total Environ. 2020, 721, 137814. [Google Scholar] [CrossRef]
- Zondi, S. Recharge Rates and Processes in the Upper Crocodile Catchment. Master’s Thesis, University of the Witwatersrand, Johannesburg, South Africa, 2017. [Google Scholar]
- Tinnefeld, M. Conceptual Hydropedological Response Verification and Polygon Refinement on Portion 31 & 32 Blue Hills 397 JR, Midrand, Gauteng Province; Hydro Pedo (Pty) Ltd: Johannesburg, South Africa, 2017. [Google Scholar]
- The City of Johannesburg. Drafted Integrated Development Plan 2020/21; The City of Johannesburg: Johannesburg, South Africa, 2020. [Google Scholar]
- Terblanche, A.P.S.; Opperman, L.; Nel, C.M.E.; Reinach, S.G.; Tosen, G.; Cadman, A. Preliminary results ofexposure measurements and health effects of the Vaal Triangle air pollution health study. S. Afr. Med. J. 1992, 81, 550–556. [Google Scholar]
- Annegarn, H.; Scorgie, Y. Air quality management strategy for the Vaal Triangle: Part III. Clean Air J. 1997, 9, 11–19. [Google Scholar]
- Scorgie, Y.; Kneen, M.A.; Annegarn, H.J.; Burger, L.W. Air pollution in the Vaal Triangle: Quantifying source contributions and identifying cost effective solutions. Off. J. Natl. Assoc. Clean Air 2003, 13, 2. [Google Scholar] [CrossRef]
- Tinnefeld, M.; Le Roux, P.A.L.; Job, N.; Van Zijl, G.M.; Van Tol, J.J.; Lorentz, S.A. Research Report on the Hydropedology of Part of the Halfway House Granite Dome; Department of Infrastructure and Environment, City of Johannesburg Metropolitan Council: Johannesburg, South Africa; University of the Free State, Institute of Groundwater Studies: Bloemfontein, South Africa, 2017. [Google Scholar]
- Soil Classification Working Group. Soil Classification: A Taxonomic System for South Africa; Department of Agricultural Development: Pretoria, South Africa, 1991. [Google Scholar]
- IUSS Working Group WRB. World reference base for soil resources 2014. Update 2015 International Soil Classification System for Naming Soils and Creating Legends for Soil Maps; World Soil Resources Reports No. 106; FAO: Rome, Italy, 2015. [Google Scholar]
- Van Tol, J.J.; Le Roux, P.A.L. Hydropedological grouping of South African soil forms. S. Afr. J. Plant Soil 2019, 1–3. [Google Scholar] [CrossRef]
- Xu, S.; Sheng, C.; Tian, C. Changing soil carbon: Influencing factors, sequestration strategy and research direction. Carbon Balance Manag. 2020, 15, 1–9. [Google Scholar] [CrossRef]
- Blake, G.R.; Hartge, K.H. Bulk density. In Methods of Soil Analysis, Part 1; Klute, A., Ed.; Agronomy 9 ASA: Madison, WI, USA, 1986; pp. 363–375. [Google Scholar]
- Nelson, D.W.; Sommers, L.E. Total carbon, organic carbon, and organic matter. In Methods of Soil Analysis, Part 3: Chemical Methods; Sparks, D.L., Page, A.L., Helmke, P.A., Loeppert, R.H., Soltanpour, P.N., Tabatabai, M.A., Johnston, C.T., Sumner, M.E., Eds.; Book Series No.5; Soil Science Society of America: Madison, WI, USA, 1996; pp. 961–1010. [Google Scholar]
- Van Zijl, G.M.; Van Tol, J.J.; Bouwer, D.; Lorentz, S.; Le Roux, P.A.L. Combining historical remote sensing, digital soil mapping and hydrological modelling to produce solutions for infrastructure damage in Cosmo City, South Africa. Remote Sens. 2020, 12, 433. [Google Scholar] [CrossRef]
- Noppol Arunrat, N.; Pumijumnong, N.; Sereenonchai, S.; Chareonwong, U. Factors controlling soil organic carbon sequestration of highland agricultural areas in the Mae Chaem Basin, Northern Thailand. J. Agron. 2020, 10, 305. [Google Scholar] [CrossRef]
- Ribeiro, H.V.; Rybski, D.; Kropp, J.P. Effects of changing population or density on urban carbon dioxide emissions. Nat. Commun. 2019, 10, 3204. [Google Scholar] [CrossRef] [PubMed]
- Rybski, D.; Sterzel, T.; Reusser, D.; Fichtner, C.; Kropp, J. Cities as nuclei of sustainability? Environ. Plan. B 2016, 44, 425–440. [Google Scholar] [CrossRef]
- Ontl, T.A.; Schulte, L.A. Soil carbon storage. Nat. Educ. Knowl. 2012, 3, 35. [Google Scholar]
- Henry, M.; Valentini, R.; Bernoux, M. Soil carbon stocks in ecoregions of Africa. Biogeosci. Discuss. 2009, 6, 797–823. [Google Scholar] [CrossRef]
- Parajuli, P.B.; Duffy, S. Evaluation of soil organic carbon and soil moisture content from agricultural fields in Mississippi. Open J. Soil Sci. 2013, 3, 81–90. [Google Scholar] [CrossRef]
- Liu, Z.; Shao, M.; Wang, Y. Effect of environmental factors on regional soil organic carbon stocks across the Loess Plateau region, China. Agric. Ecosyst. Environ. 2011, 142, 184–194. [Google Scholar] [CrossRef]
- Hobley, E.; Wilson, B.; Wilkie, A.; Gray, J.; Koen, T. Drivers of soil organic carbon storage and vertical distribution in Eastern Australia. Plant Soil 2015, 390, 111–127. [Google Scholar] [CrossRef]
- Davies, Z.G.; Edmondson, J.L.; Heinemeyer, A.; Leake, J.R.; Gaston, K.J. Mapping an urban ecosystem service: Quantifying above-ground carbon storage at a city-wide scale. J. Appl. Ecol. 2011, 48, 1125–1134. [Google Scholar] [CrossRef]
- Wilson, T.M.; Warren, J.G. Bulk Density and carbon concentration variance influence on soil carbon stock measurements. Commun. Soil Sci. Plant Anal. 2015, 46, 2342–2356. [Google Scholar] [CrossRef]
- Chaudhari, P.R.; Ahire, D.V.; Ahire, V.D.; Chkravarty, M.; Maity, S. Soil bulk density as related to soil texture, organic matter content and available total nutrients of coimbatore soil. Int. J. Sci. Res. 2013, 3, 1–8. [Google Scholar]
- Ghimire, P.; Bhatta, B.; Pokhrel, B.; Kafle, G.; Paudel, P. Soil organic carbon stocks under different land uses in chure region of makawanpur district, Nepal. SAARC J. Agric. 2018, 16, 13–23. [Google Scholar] [CrossRef]
- Wen, Y.; Xiao, J.; Goodman, B.A.; He, X. Effects of organic amendments on the transformation of Fe (Oxyhydr) oxides and soil organic carbon storage. Front. Earth Sci. 2019, 7, 1–15. [Google Scholar] [CrossRef]
- Weber, K.A.; Urrutia, M.M.; Churchill, P.F.; Kukkadapu, R.K.; Roden, E.E. Anaerobic redox cycling of iron by freshwater sediment microorganisms. Environ. Microbiol. 2006, 8, 100–113. [Google Scholar] [CrossRef]
- Plante, A.F.; Conant, R.T.; Stewart, C.E.; Paustian, K.; Six, J. Impact of soil texture on the distribution of soil organic matter in physical and chemical fractions. Soil Sci. Soc. Am. J. 2006, 70, 287–296. [Google Scholar] [CrossRef]
- Azlan, A.; Aweng, E.R.; Ibrahim, C.O.; Noorhaidah, A. Correlation between soil organic matter, total organic matter and water content with climate and depths of soil at different land use in Kelantan, Malaysia. J. Appl. Sci. Environ. Manag. 2012, 16, 353–358. [Google Scholar]
- Wei, H.; Guenet, B.; Vicca, S.; Nunan, N.; Asard, H.; AbdElgawad, H.; Shen, W.; Janssens, I.A. High clay content accelerates the decomposition of fresh organic matter in artificial soils. Soil Biol. Biochem. 2014, 77, 100–108. [Google Scholar] [CrossRef]



| Hydropedological Group | Soil Forms [34] | WRB [35] | Description |
|---|---|---|---|
| Recharge (deep) | Glencoe, Clovelly, Hutton, Constantia, Griffin | Plinthosols, Acrisol, Arenosols | These soils show limited signs of saturation and water flows vertically through and out of the soil profile. |
| Recharge (shallow) | Glenrosa, Mispah | Leptosols | These soils also show limited signs of wetness, where water flows vertically into the underlying bedrock. |
| Responsive (saturated) | Westleigh, Kroonstad, Katspruit | Plinthosols, Gleysols | These soils show prolonged periods of saturation and typically result in overland flow due to limited water storage capacity. |
| Responsive (shallow) | Dresden, Mispah | Plinthosols, Leptosols | Shallow soils with a permeable underlying rock. These soils have limited water storage capacity, promoting overland flow. |
| Interflow (A/B) | Longlands, Wasbank | Plinthosols, Planosols, Acrisols, Luvisols | These are typically duplex soils, with clayey topsoil horizons, facilitating build-up of water. |
| Interflow (soil/bedrock) | Avalon, Pinedene, Fernwood, Tukulu | Plinthosols, Lixisols, Arenosols, Stagnosols, Acrisols, | In these soils, a freely drained soil horizon overlies a relatively impermeable bedrock, leading to periodic saturation. |
| Hydropedological Group | Average Soil Depth (cm) | Horizon | Bulk Density (g cm−3) | Soil C (%) | SOC Stocks (t C ha−1) | n |
|---|---|---|---|---|---|---|
| Recharge (deep) | 20 | A | 1.51 ± 0 | 1.33 ± 0.85 | 35.05 ± 22.41 | 29 |
| 50 | B | 1.56 ± 0.72 | 0.53 ± 0.13 | 41.42 ± 10.87 | 28 | |
| 180 | C | 1.41 ± 0.11 | 0.24 ± 0.06 | 16.35 ± 5.92 | 20 | |
| Total | 250 | 92.82 ± 39.2 | 77 | |||
| Recharge (shallow) | 15 | A | 1.46 ± 0 | 1.14 ± 0.44 | 25.50 ± 9.77 | 9 |
| 80 | B | 1.26 ± 0 | 0.34 ± 0.37 | 27.84 ± 29.89 | 9 | |
| 15 | C | 1.40 ± 0.16 | 0.11 ± 0.14 | 2.83 ± 3.97 | 9 | |
| Total | 110 | 56.17 ± 43.63 | 27 | |||
| Responsive (saturated) | 15 | A | 1.21 ± 0 | 1.58 ± 0.76 | 30.16 ± 14.55 | 13 |
| 30 | B | 1.55 ± 0 | 0.58 ± 0.18 | 27.61 ± 8.51 | 13 | |
| 110 | C | 1.50 ± 0.07 | 0.32 ± 0.20 | 29.93 ± 21.55 | 13 | |
| Total | 155 | 87.7 ± 44.61 | 39 | |||
| Responsive (shallow) | 15 | A | 1.41 ± 0 | 1.00 ± 0.44 | 17.11 ± 7.62 | 5 |
| 10 | B | 1.55 ± 0 | 0.28 ± 0.39 | 4.27 ± 6.02 | 5 | |
| 30 | C | 1.45 ± 0 | 0.10 ± 0.22 | 1.43 ± 3.20 | 5 | |
| Total | 55 | 22.81 ± 16.84 | 15 | |||
| Interflow (A/B) | 15 | A | 1.39 ± 0 | 1.17 ± 0.59 | 19.54 ± 9.83 | 15 |
| 30 | B | 1.45 ± 0.01 | 0.45 ± 0.20 | 19.44 ± 8.49 | 15 | |
| 15 | C | 1.47 ± 0.07 | 0.19 ± 0.16 | 5.51 ± 4.66 | 15 | |
| Total | 60 | 44.49 ± 22.98 | 45 | |||
| Interflow (soil/bedrock) | 15 | A | 1.43 ± 0 | 1.01 ± 0.35 | 23.21 ± 8.11 | 22 |
| 35 | B | 1.57 ± 0.06 | 0.47 ± 0.26 | 26.23 ± 13.25 | 22 | |
| 60 | C | 1.46 ± 0.10 | 0.25 ± 0.08 | 12.30 ± 5.59 | 18 | |
| Total | 110 | 61.74 ± 26.95 | 62 |
Publisher’s Note: MDPI stays neutral with regard to jurisdictional claims in published maps and institutional affiliations. |
© 2021 by the authors. Licensee MDPI, Basel, Switzerland. This article is an open access article distributed under the terms and conditions of the Creative Commons Attribution (CC BY) license (http://creativecommons.org/licenses/by/4.0/).
Share and Cite
Seboko, K.R.; Kotze, E.; van Tol, J.; van Zijl, G. Characterization of Soil Carbon Stocks in the City of Johannesburg. Land 2021, 10, 83. https://doi.org/10.3390/land10010083
Seboko KR, Kotze E, van Tol J, van Zijl G. Characterization of Soil Carbon Stocks in the City of Johannesburg. Land. 2021; 10(1):83. https://doi.org/10.3390/land10010083
Chicago/Turabian StyleSeboko, Kelebohile Rose, Elmarie Kotze, Johan van Tol, and George van Zijl. 2021. "Characterization of Soil Carbon Stocks in the City of Johannesburg" Land 10, no. 1: 83. https://doi.org/10.3390/land10010083
APA StyleSeboko, K. R., Kotze, E., van Tol, J., & van Zijl, G. (2021). Characterization of Soil Carbon Stocks in the City of Johannesburg. Land, 10(1), 83. https://doi.org/10.3390/land10010083

