Climate Change Adaptation in a Mediterranean Semi-Arid Catchment: Testing Managed Aquifer Recharge and Increased Surface Reservoir Capacity
Abstract
1. Introduction
2. Methods
2.1. Meteorological Forcing
- The Hindacst meteorological forcing has been obtained through the spatial interpolation of ground observation point measurements applying the ordinary kriging [23] to the monthly-observed precipitation and mean temperature. For precipitation, we found no evidence of altitude dependency or direction anisotropy. Thus, monthly spatial covariances were estimated through the experimental semi-variograms of precipitation for each month of the year. The ordinary kriging was then applied directly to the monthly-cumulated precipitation. Regarding temperature, a monthly lapse rate was calculated and the altitude dependency was removed before the estimation of monthly semi-variograms, after having verifyed that the resulting detrended temperature did not show any clear anisotropy. The ordinary kriging was then applied to the detrended temperature, and the observed lapse rate was applied to the resulting temperature.
- The historical RCP4.5 and RCP 8.5 meteorological forcing are represented by the CNRM-CM5 Earth system model (ESM). The CNRM-CM5 [24] consists of several existing models designed independently and coupled through the OASIS software developed at CERFACS: ARPEGE-Climate for the atmosphere, NEMO for the ocean, GELATO for sea-ice, SURFEX for land (ISBA scheme) and the ocean-atmospheric fluxes and TRIP to simulate river routing and water discharge from rivers to the ocean. The daily total precipitation and the daily mean temperature of all nodes covering and surrounding the case study have been extracted and aggregated at a monthly scale. To remove possible systematic bias, the resulting time series have been downscaled to the ground observation point measurements by applying a monthly quantile-quantile mapping correction technique [25]. Each station was compared with the nearest model node to build quantile-quantile mapping between the common period of the observations (predictor) and historical simulation (predictand) for each month of the year [26]. The predictand values lower and higher than the minimum and maximum observed quantiles have been linearly extrapolated. Finally, a spatial interpolation of point measurements (resulting from the historical, RCP4.5, and RCP8.5 meteorological forcing downscaled to the ground observation network) has been performed by applying the ordinary kriging method based on the semi-variograms of the observations fitted on the hindcast meteorological forcing.
2.2. Impact Model
- SPI-Q regression model: SPI-Q [27,28] is a multi-linear regression model simulating the monthly inflow to surface reservoir through a calibrated linear combination of Standardized Precipitation Indices (SPI, [29]) computed for different cumulative time scales of the precipitation data gathered in the area.
- GMAT (Monthly Soil water balance): GMAT [30] is a distributed model that is able to simulate the soil water balance at a monthly scale for natural and agricultural land uses. Using the monthly precipitation and temperature time series, as well as the crops and soil features (all spatially distributed) as input, GMAT delivers the different components of the soil water balance (i.e., actual evapotranspiration, irrigation water demand, runoff, and groundwater recharge). The irrigation water demand is evaluated from the monthly soil water deficit only for irrigated crops.
- Reservoir water balance model. The monthly water balance of the surface reservoir is computed accounting for the inflow estimated from the SPI-Q model, the irrigation water use estimated from the GMAT model, and the total amount of the other reservoir abstractions (e.g., human consumption, industrial uses, and environmental flows).
- Aquifer water balance model. The monthly aquifer water balance is modelled as a lumped linear reservoir accounting for: (a) the groundwater recharge computed by GMAT; (b) the groundwater abstractions from private wells, computed assuming that the amount of the total demand for irrigation not supplied by the considered reservoir is supplied by the aquifer; and, (c) the groundwater outflow as discharge-to-sea and baseflow to the drainage network. Time variations in terms of actual total volume are delivered as output.
2.3. Adaptation Scenarios
- Business as usual (BAU). The BAU scenario represents the current management rules of the water supply system.
- Managed aquifer recharge (MAR). The MAR scenario proposes to take advantage of the current management rules for flooding control requiring keeping a minimum volume available in the case of heavy rainfall. In the proposed scenario, the controlled outflow operated from the irrigation pipelines (by opposition to uncontrolled overflow) is infiltrated to the GW through direct recharge, i.e., using the existing pumping wells as injection wells that can be feasibly connected to the irrigation network.
- Increasing the maximum capacity of the surface reservoir (IMC). The IMC scenario proposes an increased maximum capacity of the surface reservoir. Such a scenario represents a widely recognized and straightforward vision of adaptation techniques (e.g., [31,32]). In practical terms, the increase of dam elevation is considered among the most effective in terms of increased volume per incremental unit of height. Further information concerning the implementation of the adaptation scenarios is given in Section 3.2.
3. Case Study
3.1. Parameterization of Models’ Components
3.2. Parameterization of the Adaptation Scenarios
4. Results and Discussions
4.1. Model Validation
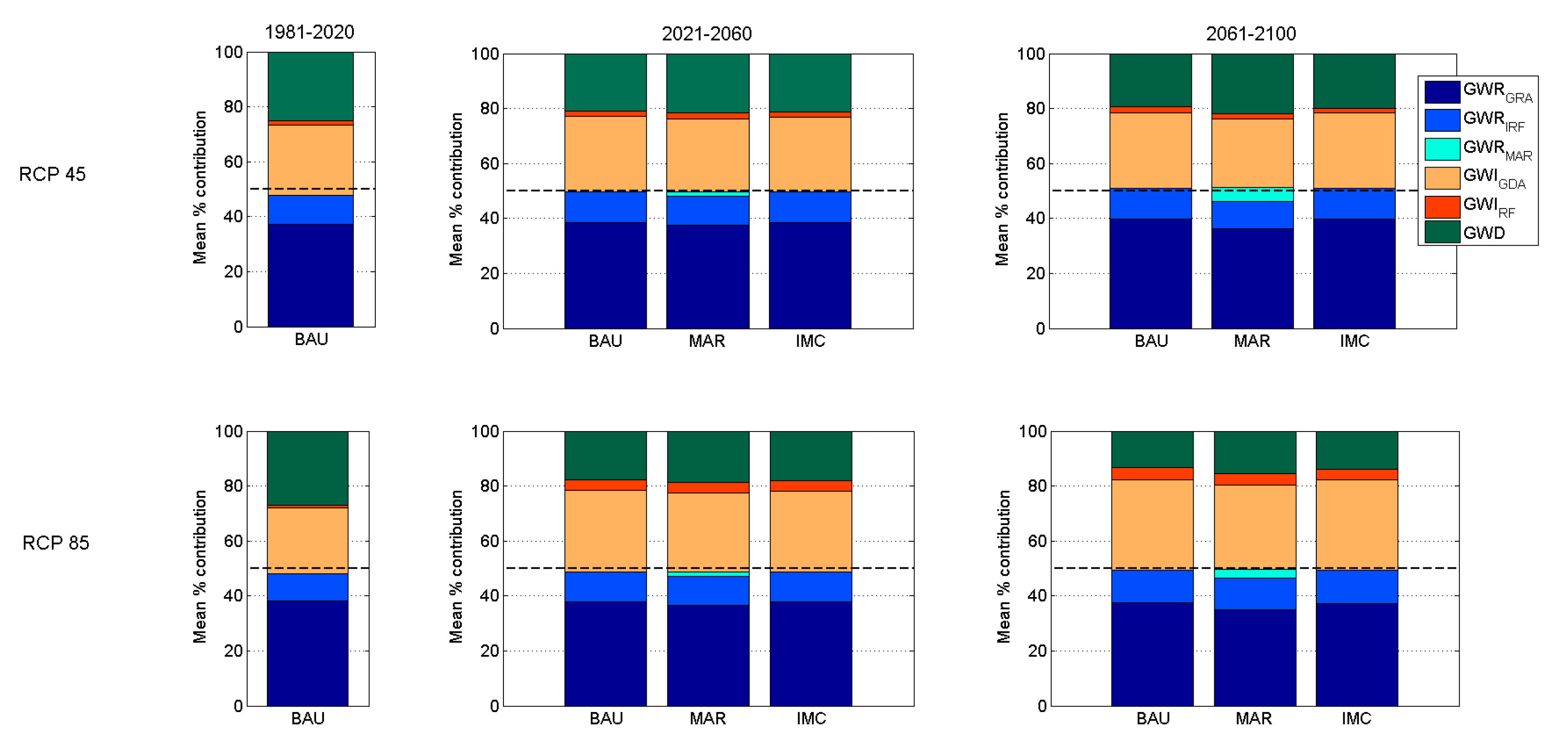
4.2. Expected Impact of Adaptation Scenarios
4.3. Managed Aquifer Recharge under Climate Change Scenarios
5. Conclusions
Author Contributions
Conflicts of Interest
References
- Shiklomanov, I.A.; Rodda, J.C. World Water Resources at the Beginning of the 21st Century; Cambridge University Press: Cambridge, UK, 2003. [Google Scholar]
- Green, T.R.; Taniguchi, M.; Kooi, H.; Gurdak, J.J.; Allen, D.M.; Hiscock, K.M.; Treidel, H.; Aureli, A. Beneath the surface of global change: Impacts of climate change on groundwater. J. Hydrol. 2011, 405, 532–560. [Google Scholar] [CrossRef]
- Taylor, R.G.; Scanlon, B.; Döll, P.; Rodell, M.; Van Beek, R.; Wada, Y.; Longuevergne, L.; Leblanc, M.; Famiglietti, J.S.; Edmunds, M.; et al. Ground water and climate change. Nat. Clim. Chang. 2013, 3, 322–329. [Google Scholar] [CrossRef]
- Zaccaria, D.; Passarella, G.; D’Agostino, D.; Giordano, R.; Solis, S.S. Risk Assessment of Aquifer Salinization in a Large-Scale Coastal Irrigation Scheme, Italy. CLEAN—Soil, Air, Water 2016, 44, 371–382. [Google Scholar] [CrossRef]
- Bouwer, H. Artificial recharge of groundwater: Hydrogeology and engineering. Hydrogeol. J. 2002, 10, 121–142. [Google Scholar] [CrossRef]
- Haddeland, I.; Heinke, J.; Biemans, H.; Eisner, S.; Flörke, M.; Hanasaki, N.; Wisser, D. Global water resources affected by human interventions and climate change. Proc. Natl Acad. Sci. USA 2014, 111, 3251–3256. [Google Scholar] [CrossRef] [PubMed]
- Falloon, P.; Betts, R. Climate impacts on European agriculture and water management in the context of adaptation and mitigation—The importance of an integrated approach. Sci. Total Environ. 2010, 408, 5667–5687. [Google Scholar] [CrossRef] [PubMed]
- Mutiso, S. The significance of subsurface water storage in Kenya. In Management of Aquifer Recharge and Subsurface Storage; Tuinhof, A., Heederik, J.P., Eds.; (NNC-IAH) Publication No. 4; Netherlands National Committee—International Association of Hydrogeologists: Wageningen, The Netherlands, 2003; pp. 25–31. [Google Scholar]
- Preziosi, E.; Del Bon, A.; Romano, E.; Petrangeli, A.B. Vulnerability to Drought of a Complex Water Supply System. The Upper Tiber Basin Case Study (Central Italy). Water Resour. Manag. 2013, 27, 4655–4678. [Google Scholar] [CrossRef]
- Sobowale, A.; Ramalan, A.A.; Mudiare, O.J.; Oyebode, M.A. Groundwater recharge studies in irrigated lands in Nigeria: Implications for basin sustainability. Sustain. Water Qual. Ecol. 2014, 3, 124–132. [Google Scholar] [CrossRef]
- Bates, B.C.; Kundzewicz, Z.W.; Wu, S.; Palutikof, J.P. Climate Change Water; Bryson, C.B., Zbigniew, W.K., Wu, S., Jean, P., Eds.; IPCC Secretariat: Geneva, Switzerland, 2008. [Google Scholar]
- Boelee, E.; Mekonnen, Y.; Poda, J.N.; McCartney, M.; Cecchi, P.; Kibret, S.; Hagos, F.; Laamrani, H. Options for water storage and rainwater harvesting to improve health and resilience against climate change in Africa. Reg. Environ. Chang. 2013, 13, 509–519. [Google Scholar] [CrossRef]
- Sprenger, C.; Hartog, N.; Hernández, M.; Vilanova, E.; Grützmacher, G.; Scheibler, F.; Hannappel, S. Inventory of managed aquifer recharge sites in Europe: Historical development, current situation and perspectives. Hydrogeol. J. 2017, 25, 1–14. [Google Scholar] [CrossRef]
- Masciopinto, C.; Vurro, M.; Palmisano, V.N.; Liso, I.S. A Suitable Tool for Sustainable Groundwater Management. Water Resour. Manag. 2017, 1–15. [Google Scholar] [CrossRef]
- Megdal, S.B.; Dillon, P.; Seasholes, K. Water Banks: Using Managed Aquifer Recharge to Meet Water Policy Objectives. Water 2014, 6, 1500–1514. [Google Scholar] [CrossRef]
- Megdal, S.B.; Dillon, P. Policy and Economics of Managed Aquifer Recharge and Water Banking. Water 2015, 7, 592–598. [Google Scholar] [CrossRef]
- Maliva, R.G. Economics of Managed Aquifer Recharge. Water 2016, 6, 1257–1279. [Google Scholar] [CrossRef]
- Damigos, D.; Tentes, G.; Balzarini, M.; Furlanis, F.; Vianello, A. Revealing the economic value of Managed Aquifer Recharge: Evidence from a Contingent Valuation study in Italy. Water Resour. Res. 2017, 53, 1–15. [Google Scholar] [CrossRef]
- Guyennon, N.; Romano, E.; Portoghese, I. Long-term climate sensitivity of an integrated water supply system: The role of irrigation. Sci. Total Environ. 2016, 565, 68–81. [Google Scholar] [CrossRef] [PubMed]
- Taylor, K.E.; Stouffer, R.J.; Meehl, G.A. An overview of CMIP5 and the experiment design. Bull. Am. Meteorol. Soc. 2012, 93, 485–498. [Google Scholar] [CrossRef]
- Moss, R.; Babiker, W.; Brinkman, S.; Calvo, E.; Carter, T.; Edmonds, J.; Elgizouli, I.; Emori, S.; Erda, L.; Hibbard, K.; et al. Towards New Scenarios for the Analysis of Emissions: Climate Change, Impacts and Response Strategies; IPCC Secretariat: Geneva, Switzerland, 2007; ISBN 9789291691241. [Google Scholar]
- Moss, R.H.; Edmonds, J.A.; Hibbard, K.A.; Manning, M.R.; Rose, S.K.; Van Vuuren, D.P.; Carter, T.R.; Emori, S.; Kainuma, M.; Kram, T.; et al. The next generation of scenarios for climate change research and assessment. Nature 2010, 463, 747–756. [Google Scholar] [CrossRef] [PubMed]
- Cressie, N. Spatial prediction and ordinary kriging. Math. Geol. 1988, 20, 405–421. [Google Scholar] [CrossRef]
- Voldoire, A.; Sanchez-Gomez, E.; Salas y Mélia, D.; Decharme, B.; Cassou, C.; Sénési, S.; Valcke, S.; Beau, I.; Alias, A.; Chevallier, M.; et al. The CNRM-CM5.1 global climate model: Description and basic evaluation. Clim. Dyn. 2013, 40, 2091–2121. [Google Scholar] [CrossRef]
- Déqué, M. Frequency of precipitation and temperature extremes over France in an anthropogenic scenario: Model results and statistical correction according to observed values. Glob. Planet. Chang. 2007, 57, 16–26. [Google Scholar] [CrossRef]
- Guyennon, N.; Romano, E.; Portoghese, I.; Salerno, F.; Calmanti, S.; Petrangeli, A.B.; Tartari, G.; Copetti, D. Benefits from using combined dynamical-statistical downscaling approaches-lessons from a case study in the Mediterranean region. Hydrol. Earth Syst. Sci. 2013, 17, 705. [Google Scholar] [CrossRef]
- Romano, E.; Del Bon, A.; Petrangeli, A.B.; Preziosi, E. Generating synthetic time series of springs discharge in relation to standardized precipitation indices. Case study in Central Italy. J. Hydrol. 2013, 507, 86–99. [Google Scholar] [CrossRef]
- Romano, E.; Guyennon, N.; Del Bon, A.; Petrangeli, A.B.; Preziosi, E. Robust method to quantify the risk of shortage for water supply systems. J. Hydrol. Eng. 2017, 22, 04017021. [Google Scholar] [CrossRef]
- McKee, T.B.; Doesken, N.J.; Kleist, J. The relationship of drought frequency and duration to time scales. In Proceedings of the 8th Conference on Applied Climatology, Anaheim, CA, USA, 17–22 January 1993. [Google Scholar]
- Portoghese, I.; Uricchio, V.; Vurro, M. A GIS tool for hydrogeological water balance evaluation on a regional scale in semi-arid environments. Comput Geosci. 2005, 31, 15–27. [Google Scholar] [CrossRef]
- Milly, P.C.; Betancourt, D.J.; Falkenmark, M.; Hirsch, R.M.; Kundzewicz, Z.W.; Lettenmaier, D.P.; Stouffer, R.J. Stationarity is dead: Whither water management? Science 2008, 319, 573–574. [Google Scholar] [CrossRef] [PubMed]
- Taylor, R. Rethinking Water Scarcity: The Role of Storage. Eos 2009, 90, 237–238. [Google Scholar] [CrossRef]
- Lamaddalena, N.; D’Arcangelo, G.; Billi, A.; Todorovic, M.; Hamdy, A.; Bogliotti, C.; Quarto, A. Participatory water management in Italy: Case study of the Consortium “Bonifica della Capitanata”. Opt. Méditer. Ser. B 2004, 48, 159–169. [Google Scholar]
- Istituto Nazionale di Economia Agraria (INEA). Information System for Water Management in Agriculture (SIGRIA), INEA Rome, 2000. Available online: http://inea.it/irri/carte.cfm (accessed on 23 October 2008). (In Italian).
- ISTAT, Istituto Nazionale di Statistica. 5° National Agricultural Census, Istat Roma, 2000. Available online: http://censagr.istat.it/ (accessed on 10 November 2015). (In Italian).
- Zingaro, D.; Portoghese, I.; Giannocaro, G. Modelling crop pattern change and water resources exploitation: A case study. Water. Under review. [CrossRef]
- Passarella, G.; Barca, E.; Sollitto, D.; Masciale, R.; Bruno, D.E. Cross-Calibration of Two Independent Groundwater Balance Models and Evaluation of Unknown Terms: The Case of the Shallow Aquifer of “Tavoliere di Puglia” (South Italy). Water Resour. Manag. 2017, 31, 327–340. [Google Scholar] [CrossRef]
- Ciollaro, G.; Lamaddalena, N.; Altieri, S. Analisi comparativa fra consumi idrici stimati e misurati in un distretto irriguo dell’Itala meridionale [Comparative analysis between estimated and measured water needs in an irrigated district of Southern Italy]. Associazione Italiana di Genio Rurale—Rivista di Ingegneria Agraria 1993, 4, 234–243. (In Italian) [Google Scholar]
- Todorovic, M.; Lamaddalena, N.; Liuzzi, G.T. Modern Strategies and Tools for Water Saving and Drought Mitigation in Southern Italy; The International Centre for Advanced Mediterranean Agronomic Studies: Zaragoza, Spain, 2008. [Google Scholar]
- Kendall, M.G. Rank Correlation Methods; Oxford University Press: New York, NY, USA, 1975. [Google Scholar]










| Model | Variable | Unit | Description |
|---|---|---|---|
| Meteorological forcing | ETP | mm [month] | Distributed potential evapotranspiration |
| Ta | °C | Distributed monthly mean of daily mean temperature at 2 m | |
| Rt | mm [month] | Distributed monthly cumulated precipitation | |
| Domain definitions | GRA | m2 | Groundwater recharge area |
| RDA | m2 | Reservoir demand area: area connected to the surface reservoir distribution network | |
| GDA | m2 | Groundwater demand area: entire domain except the RDA | |
| GMAT model | ETR | mm [month] | Distributed actual evapotranspiration |
| GWR | mm [month] | Distributed groundwater recharge | |
| GWI | m3 [month] | Distributed Groundwater extraction | |
| Reservoir water balance model | RWV | m3 [month] | Surface reservoir water volume |
| RO | m3 [month] | Surface reservoir overflow | |
| GWIRF | m3 [month] | Groundwater abstractions needed for irrigation in case of reservoir failure | |
| Aquifer Water Balance Model | GWRGRA | m3 [month] | Groundwater recharge cumulated over the groundwater recharge area |
| GWRIRF | m3 [month] | Cumulated recharge to aquifer due to the irrigation return flow | |
| GWD | m3 [month] | Cumulated Natural groundwater outflow as discharge to the sea and river baseflow | |
| GWIGDA | m3 [month] | Cumulated direct abstraction to groundwater for irrigation | |
| GWV | m3 [month] | Groundwater volume |
| Variable | Unit | Value | Description | Source |
|---|---|---|---|---|
| KGDI | - | 0.70 | Deficit irrigation coefficient | [38] |
| KCE | - | 0.87 | Mean conveyance efficiency | [39] |
| KIE | - | 0.70 | Mean irrigation efficiency | [39] |
| k | Month−1 | 0.0116 | Groundwater outflow linear rate coefficient | [19] |
| GWVinit | 106 m3 | 1100 | Initial groundwater volume | [19] |
| RWVmax | 106 m3 | [205.45, 237.7] | Range of maximum storage capacity | CBC |
| Groundwater Mass Balance Term | Hindcast 1981–2010 | ||
|---|---|---|---|
| BAU | MAR | IMC | |
| GWRGRA | 143.5 | 143.5 | 143.5 |
| GWRIRF | 34.8 | 34.8 | 35.6 |
| GWRMAR | 0.0 | 14.6 | 0.0 |
| GWIGDA | −91.1 | −91.1 | −91.1 |
| GWIRF | −9.4 | −9.4 | −8.2 |
| GWD | −88.7 | −97.7 | −90.0 |
| Mass Balance Terms | RCP 4.5 | |||||||
| 1981–2020 | 2021–2060 | 2061–2100 | ||||||
| BAU | BAU | MAR | IMC | BAU | MAR | IMC | ||
| GWRGRA | 138.5 | 136.4 | 136.4 | 136.4 | 142.8 | 142.8 | 142.8 | |
| GWRIRF | 39.8 | 39.2 | 39.2 | 40.0 | 39.3 | 39.3 | 40.1 | |
| GWRMAR | 0.0 | 0.0 | 5.3 | 0.0 | 0.0 | 20.0 | 0.0 | |
| GWIGDA | −95.3 | −97.1 | −97.1 | −97.1 | −98.4 | −98.4 | −98.4 | |
| GWIRF | −5.5 | −7.5 | −7.5 | −6.3 | −7.8 | −7.8 | −6.4 | |
| GWD | −93.6 | −73.5 | −79.0 | −75.5 | −69.4 | −85.9 | −71.5 | |
| RO | 12.2 | 8.6 | 2.5 | 6.3 | 36.7 | 13.7 | 33.6 | |
| RWV | 105.0 | 85.4 | 85.4 | 100.4 | 106.0 | 106.0 | 122.7 | |
| GWV | 664.3 | 521.7 | 560.9 | 535.8 | 492.6 | 610.1 | 507.8 | |
| Mass Balance Terms | RCP 8.5 | |||||||
| 1981–2020 | 2021–2060 | 2061–2100 | ||||||
| BAU | BAU | MAR | IMC | BAU | MAR | IMC | ||
| GWRGRA | 143.5 | 126.7 | 126.7 | 126.7 | 123.0 | 123.0 | 123.0 | |
| GWRIRF | 38.4 | 36.4 | 36.4 | 36.8 | 39.7 | 39.7 | 40.5 | |
| GWRMAR | 0.0 | 0.0 | 5.8 | 0.0 | 0.0 | 11.5 | 0.0 | |
| GWIGDA | −90.0 | −99.0 | −99.0 | −99.0 | −108.2 | −108.2 | −108.2 | |
| GWIRF | −3.8 | −13.6 | −13.6 | −13.0 | −13.9 | −13.9 | −12.7 | |
| GWD | −101.5 | −58.8 | −64.3 | −60.4 | −44.0 | −54.6 | −45.7 | |
| RO | 27.6 | 10.8 | 4.1 | 9.4 | 18.6 | 5.4 | 15.8 | |
| RWV | 115.8 | 72.9 | 72.9 | 78.5 | 79.0 | 79.0 | 89.9 | |
| GWV | 720.4 | 417.6 | 456.8 | 428.9 | 312.2 | 387.7 | 324.6 | |
© 2017 by the authors. Licensee MDPI, Basel, Switzerland. This article is an open access article distributed under the terms and conditions of the Creative Commons Attribution (CC BY) license (http://creativecommons.org/licenses/by/4.0/).
Share and Cite
Guyennon, N.; Salerno, F.; Portoghese, I.; Romano, E. Climate Change Adaptation in a Mediterranean Semi-Arid Catchment: Testing Managed Aquifer Recharge and Increased Surface Reservoir Capacity. Water 2017, 9, 689. https://doi.org/10.3390/w9090689
Guyennon N, Salerno F, Portoghese I, Romano E. Climate Change Adaptation in a Mediterranean Semi-Arid Catchment: Testing Managed Aquifer Recharge and Increased Surface Reservoir Capacity. Water. 2017; 9(9):689. https://doi.org/10.3390/w9090689
Chicago/Turabian StyleGuyennon, Nicolas, Franco Salerno, Ivan Portoghese, and Emanuele Romano. 2017. "Climate Change Adaptation in a Mediterranean Semi-Arid Catchment: Testing Managed Aquifer Recharge and Increased Surface Reservoir Capacity" Water 9, no. 9: 689. https://doi.org/10.3390/w9090689
APA StyleGuyennon, N., Salerno, F., Portoghese, I., & Romano, E. (2017). Climate Change Adaptation in a Mediterranean Semi-Arid Catchment: Testing Managed Aquifer Recharge and Increased Surface Reservoir Capacity. Water, 9(9), 689. https://doi.org/10.3390/w9090689

