Spatial Variation, Pollution Assessment and Source Identification of Major Nutrients in Surface Sediments of Nansi Lake, China
Abstract
:1. Introduction
2. Materials and Methods
2.1. Study Area
2.2. Sediments Sampling and Elements Analysis
2.3. Exploratory Statistical Analysis and Data Transformation
2.4. Geo-Statistical Analysis
2.5. Sediments Nutrients Pollution Evaluation
2.6. Statistical Analysis
3. Results and Discussion
3.1. Nutrients Contents in the Surface Sediments of Nansi Lake
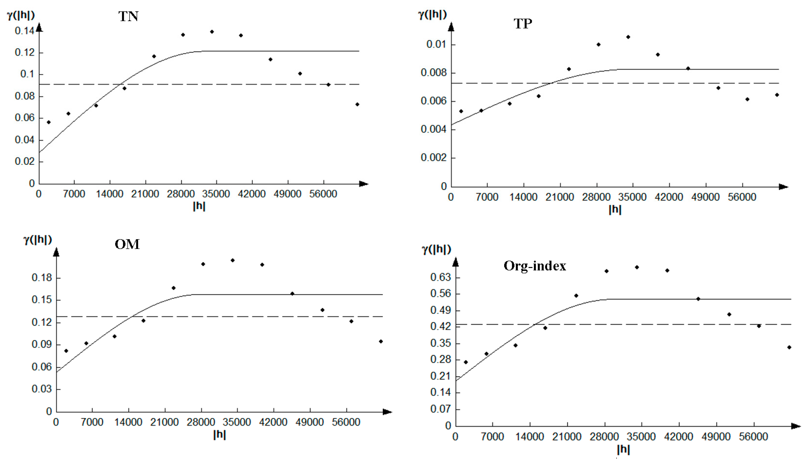
3.2. Semi-Variance Analysis and Spatial Distribution of Nutrients
3.3. Assessment of Sediments Pollution
3.4. Identification of Pollution Sources
3.4.1. Principal Component Analysis
3.4.2. Cluster Analysis
3.4.3. Sources Identification
4. Conclusions
Acknowledgments
Author Contributions
Conflicts of Interest
References
- Hilton, J.; O’Hare, M.; Bowes, M.J.; Jones, J.I. How green is my river? A new paradigm of eutrophication inrivers. Sci. Total Environ. 2006, 365, 66–83. [Google Scholar] [CrossRef] [PubMed]
- Jones, K.B.; Neale, A.C.; Nash, M.S.; van Remortel, R.D.; Wickham, J.D.; Riitters, K.H.; O’Neill, R.V. Predicting nutrient and sediment loadings to streams from landscape metrics: A multiple watershed study from the united states mid-Atlantic region. Landsc. Ecol. 2001, 16, 301–312. [Google Scholar] [CrossRef]
- Gaur, V.K.; Gupta, S.K.; Pandey, S.D.; Gopal, K.; Misra, V. Distribution of heavy metals in sediment and water of river gomti. Environ. Monit. Assess. 2005, 102, 419–433. [Google Scholar] [CrossRef] [PubMed]
- Yang, L.; Shen, J.; Liu, E.; Ji, J. Characteristics of nutrients distribution from recent sediment in lake Nansihu. J. Lake Sci. 2007, 19, 390–396. [Google Scholar]
- Yang, L.; Shen, J.; Zhang, Z.; Zhu, Y.; Sun, Q. A 40-year element geochemical record and its environment implication in lake Nansihu, Shandong Province. Geochimica 2003, 32, 453–460. [Google Scholar]
- Shen, J.; Zhang, Z.; Sun, Q.; Pan, H.; Xia, W.; Wu, Y.; Zhang, Z.; Niu, Z. Character and paleoenvironmental significance of the pigment and organic δ13C in sediments of nansihu lake. J. Lake Sci. 1998, 10, 17–22. [Google Scholar]
- Zhang, Z.; Niu, Z.; Sun, Q.; Shen, J. Pollution of sediment and it’s changing process of Nansihu lake. China Environ. Sci. 1999, 19, 29–32. [Google Scholar]
- Wang, L.; Yang, L.; Kong, L.; Li, S.; Zhu, J.; Wang, Y. Spatial distribution, source identification and pollution assessment of metal content in the surface sediments of Nansi lake, China. J. Geochem. Explor. 2014, 140, 87–95. [Google Scholar] [CrossRef]
- Shen, J.; Zhang, Z.; Yang, L.; Sun, Q. Nansi Lake: Environment and Resource Research; Seismological Press: Beijing, China, 2008. [Google Scholar]
- Guo, Y. On historical change of lakes in Shandong Province. Trans. Oceanol. Limnol. 1990, 3, 15–22. [Google Scholar]
- State Environmental Protection Administration. Water and Waste Analysis, 4th ed.; China Environmental Science Press: Beijing, China, 2002.
- Lu, R. Methods of Agricultural Chemical Analysis in Soil; China Agricultural Science and Technology Press: Beijing, China, 1999. [Google Scholar]
- Fu, W.; Zhao, K.; Zhang, C.; Tunney, H. Using moran’s I and geostatistics to identify spatial patterns of soil nutrients in two different long-term phosphorus-application plots. J. Plant Nutr. Soil Sci. 2011, 174, 785–798. [Google Scholar] [CrossRef]
- McGrath, D.; Zhang, C.; Carton, O.T. Geostatistical analyses and hazard assessment on soil lead in silvermines area, Ireland. Environ. Pollut. 2004, 127, 239–248. [Google Scholar] [CrossRef] [PubMed]
- Clark, I.; Harper, W.V. Practical Geostatistics; Ecosse North American LLC: Columbus, OH, USA, 2000. [Google Scholar]
- Fu, W.; Tunney, H.; Zhang, C. Spatial variation of soil nutrients in a dairy farm and its implications for site-specific fertilizer application. Soil Tillage Res. 2010, 106, 185–193. [Google Scholar] [CrossRef]
- Zhang, M.; Yuan, H. The pauta criterion and rejecting the abnormal value. J. Zhengzhou Univ. Technol. 1997, 1, 84–88. [Google Scholar]
- Goovaerts, P. Geostatistics for Natural Resources Evaluation; Oxford University Press: Oxford, UK, 1997. [Google Scholar]
- Webster, R.; Oliver, M.A. Geostatistics for Environmental Scientists (Statistics in Practice); Wiley: Hoboken, NJ, USA, 2001. [Google Scholar]
- Olea, R.A. Geostatistical Glossary and Multilingual Dictionary; Oxford University Press: Oxford, UK, 1991. [Google Scholar]
- Burgos, P.; Madejon, E.; Perez-de-Mora, A.; Cabrera, F. Spatial variability of the chemical characteristics of a trace-element-contaminated soil before and after remediation. Geoderma 2006, 130, 157–175. [Google Scholar] [CrossRef]
- Goodchild, M.; Parks, B.; Steyaert, L. Environmental Modeling with GIS; Oxford University Press: Oxford, UK, 1993. [Google Scholar]
- Pannatier, Y. VARIOWIN: Software for Spatial Data Analysis in 2D; Springer-Verlag: Berlin, Germany, 1996. [Google Scholar]
- Sakan, S.M.; Đorđević, D.S.; Manojlovic, D.D.; Predrag, P.S. Assessment of heavy metal pollutants accumulation in the tisza river sediments. J. Environ. Manag. 2009, 90, 3382–3390. [Google Scholar] [CrossRef] [PubMed]
- Zhao, Y.; Yan, M. The comparison of the chemical elemental abundance for the shallowsea sediment in huanghe and Changjiang, China. Chin. Sci. Bull. 1992, 13, 1202–1204. [Google Scholar]
- Yu, H.; Zhang, W.; Lu, S.; Yan, S.; Hu, R.; Chen, L.; Zhang, L.; Yu, J. Spatial distribution characteristics of surface sediments nutrients in lake Hongze and their pollution status evaluation. Environ. Sci. 2010, 31, 961–968. [Google Scholar]
- Zhang, Z.; Lv, Y.; Zhang, W.; Zhang, Y.; Sun, C.; Marhaba, T. Phosphorus, organic matter and nitrogen distribution characteristics of the surface sediments in Nansi lake, China. Environ. Earth Sci. 2015, 73, 5669–5675. [Google Scholar] [CrossRef]
- D’Angelo, E.M.; Reddy, K.R. Diagenesis of organic matter in a wetland receiving hypereutrophic lake water: I. Distribution of dissolved nutrients in the soil and water column. J. Environ. Qual. 1994, 23, 928–936. [Google Scholar] [CrossRef]
- Sun, C.; Liu, J.; Wang, Y.; Sun, L.; Yu, H. Multivariate and geostatistical analyses of the spatial distribution and sources of heavy metals in agricultural soil in Dehui, Northeast China. Chemosphere 2013, 92, 517–523. [Google Scholar] [CrossRef] [PubMed]
- Varol, M. Assessment of heavy metal contamination in sediments of the tigris river (Turkey) using pollution indices and multivariate statistical techniques. J. Hazard. Mater. 2011, 195, 355–364. [Google Scholar] [CrossRef] [PubMed]
- Varol, M.; Şen, B. Assessment of surface water quality using multivariate statistical techniques: A case study of behrimaz stream, Turkey. Environ. Monitor. Assess. 2009, 159, 543–553. [Google Scholar] [CrossRef] [PubMed]
- Lee, C.S.-L.; Li, X.; Shi, W.; Cheung, S.C.-N.; Thornton, I. Metal contamination in urban, suburban, and country park soils of Hong Kong: A study based on gis and multivariate statistics. Sci. Total Environ. 2006, 356, 45–61. [Google Scholar] [CrossRef] [PubMed]
- Lu, X.; Wang, L.; Li, L.Y.; Lei, K.; Huang, L.; Kang, D. Multivariate statistical analysis of heavy metals in street dust of baoji, nw China. J. Hazard. Mater. 2010, 173, 744–749. [Google Scholar] [CrossRef] [PubMed]
- Li, F.; Huang, J.; Zeng, G.; Yuan, X.; Li, X.; Liang, J.; Wang, X.; Tang, X.; Bai, B. Spatial risk assessment and sources identification of heavy metals in surface sediments from the Dongting lake, middle China. J. Geochem. Explor. 2013, 132, 75–83. [Google Scholar] [CrossRef]
- Zhang, X.; Sui, Y.; Zhang, X.; Meng, K.; Herbert, S.J. Spatial variability of nutrient properties in black soil of northeast China. Pedosphere 2007, 17, 19–29. [Google Scholar] [CrossRef]
- Han, Y.; Du, P.; Cao, J.; Posmentier, E.S. Multivariate analysis of heavy metal contamination in urban dusts of Xi’an, central China. Sci. Total Environ. 2006, 355, 176–186. [Google Scholar]
- Yang, Z.; Lu, W.; Long, Y.; Bao, X.; Yang, Q. Assessment of heavy metals contamination in urban topsoil from Changchun city, China. J. Geochem. Explor. 2011, 108, 27–38. [Google Scholar] [CrossRef]
- Persaud, D.; Jaagumagi, R.; Hayton, A. Guidelines for the Protection and Management of Aquatic Sediment Quality in Ontario; Report; Water Resources Branch, Ontario Ministry of the Environment: Toronto, ON, Canada, 1993. [Google Scholar]
- Cambardella, C.A.; Moorman, T.B.; Parkin, T.B.; Karlen, D.L.; Novak, J.M.; Turco, R.F.; Konopka, A.E. Field-scale variability of soil properties in central iowa soils. Soil Sci. Soc. Am. J. 1994, 58, 1501–1511. [Google Scholar] [CrossRef]
- Juang, K.-W.; Lee, D.-Y.; Ellsworth, T.R. Using rank-order geostatistics for spatial interpolation of highly skewed data in a heavy-metal contaminated site. J. Environ. Qual. 2001, 30, 894–903. [Google Scholar] [CrossRef] [PubMed]
- Tomer, M.D.; Burkart, M.R. Long-term effects of nitrogen fertilizer use on ground water nitrate in two small watersheds. J. Environ. Qual. 2003, 32, 2158–2171. [Google Scholar] [CrossRef] [PubMed]
- Sadeghi, A.; Graff, C.D.; Starr, J.; McCarty, G.; Codling, E.; Sefton, K. Spatial variability of soil phosphorous levels before and after poultry litter application. Soil Sci. 2006, 171, 850–857. [Google Scholar] [CrossRef]
- Liu, E.; Shen, J.; Yang, L.; Sun, Q.; Wang, J.; Chen, A. Occurrence of phosphorus in sediments of Nansihu lake and its main inflow rivers. Geochimica 2008, 37, 7. [Google Scholar]
- Proctor, J.; Baker, A. The importance of nickel for plant growth in ultramafic (serpentine) soils. In Toxic Metals in Soil Plant Systems, 1st ed.; Wiley: Hoboken, NJ, USA, 1994. [Google Scholar]
- Feng, F.; Wang, H.; Fang, T.; Liu, J.-T. The correlation between microbial biomass and carbon, nitrogen, phosphorus in the sediments of lake Donghu. China Environ. Sci. 2006, 26, 342–345. [Google Scholar]
- Tsuneda, S.; Mikami, M.; Kimochi, Y.; Hirata, A. Effect of salinity on nitrous oxide emission in the biological nitrogen removal process for industrial wastewater. J. Hazard. Mater. 2005, 119, 93–98. [Google Scholar] [CrossRef] [PubMed]




| Min | 5% | 25% | Med | 75% | 95% | Max | Mean | S.D. | C.V. | Canada | B | Dis. | PK-S | |
|---|---|---|---|---|---|---|---|---|---|---|---|---|---|---|
| TP | 0.39 | 0.49 | 0.59 | 0.64 | 0.73 | 0.95 | 1.37 | 0.68 | 0.14 | 0.15 | 0.6 | 0.6 | Box-cox | 0.19 |
| TN | 0.34 | 0.68 | 1.4 | 2.2 | 3.7 | 6.3 | 7.68 | 2.7 | 0.18 | 0.63 | 0.55 | 0.5 | lgN | 0.74 |
| TOC | 0.16 | 0.50 | 1.18 | 2.22 | 3.91 | 7.04 | 9.06 | 2.82 | 2.10 | 0.74 | 1 | 1.13 | lgN | 0.94 |
| TOC/TN | 4.71 | 7.35 | 8.43 | 10.09 | 10.57 | 11.17 | 11.79 | 10.44 | - | - | - | - | - | - |
| Model | Range | Nugget | Sill | Nugget-to-Sill | |
|---|---|---|---|---|---|
| TP | Exponential | 26,819 | 2.83 | 6.28 | 0.45 |
| TN | Spherical | 32,619 | 0.029 | 0.093 | 0.31 |
| TOC | Spherical | 27,717 | 0.054 | 0.11 | 0.51 |
| Org-index | Spherical | 29,517 | 0.19 | 0.35 | 0.56 |
| Variable | Principle Loading Factors | Communalities | |||
|---|---|---|---|---|---|
| PC1 | PC2 | PC3 | PC4 | ||
| TN | −0.10 | 0.97 | 0.06 | 0.11 | 0.96 |
| TOC | −0.09 | 0.96 | 0.07 | 0.07 | 0.95 |
| TP | −0.14 | 0.34 | 0.02 | 0.91 | 0.96 |
| Cd | 0.01 | 0.59 | 0.72 | 0.17 | 0.89 |
| Hg | 0.05 | 0.79 | 0.15 | 0.38 | 0.79 |
| Pb | 0.46 | 0.21 | 0.66 | 0.08 | 0.71 |
| Ti | 0.78 | −0.52 | −0.07 | −0.06 | 0.90 |
| V | 0.92 | −0.21 | 0.21 | −0.07 | 0.94 |
| Cu | 0.76 | 0.24 | 0.31 | −0.04 | 0.73 |
| Zn | 0.75 | 0.14 | 0.56 | 0.19 | 0.92 |
| Fe2O3 | 0.89 | −0.03 | 0.36 | −0.09 | 0.93 |
| Al2O3 | 0.89 | −0.37 | −0.03 | −0.12 | 0.95 |
| As | 0.33 | −0.07 | 0.84 | −0.10 | 0.83 |
| Cr | 0.92 | 0.11 | 0.27 | −0.03 | 0.93 |
| Eigenvalue | 5.39 | 3.55 | 2.36 | 1.10 | - |
| %Totalvariance | 38.53 | 25.34 | 16.82 | 7.85 | - |
| Cumulative%variance | 38.53 | 63.87 | 80.69 | 88.55 | - |
© 2017 by the authors. Licensee MDPI, Basel, Switzerland. This article is an open access article distributed under the terms and conditions of the Creative Commons Attribution (CC BY) license (http://creativecommons.org/licenses/by/4.0/).
Share and Cite
Wang, L.; Xia, J.; Yu, J.; Yang, L.; Zhan, C.; Qiao, Y.; Lu, H. Spatial Variation, Pollution Assessment and Source Identification of Major Nutrients in Surface Sediments of Nansi Lake, China. Water 2017, 9, 444. https://doi.org/10.3390/w9060444
Wang L, Xia J, Yu J, Yang L, Zhan C, Qiao Y, Lu H. Spatial Variation, Pollution Assessment and Source Identification of Major Nutrients in Surface Sediments of Nansi Lake, China. Water. 2017; 9(6):444. https://doi.org/10.3390/w9060444
Chicago/Turabian StyleWang, Longfeng, Jun Xia, Jingjie Yu, Liyuan Yang, Chesheng Zhan, Yunfeng Qiao, and Hongwei Lu. 2017. "Spatial Variation, Pollution Assessment and Source Identification of Major Nutrients in Surface Sediments of Nansi Lake, China" Water 9, no. 6: 444. https://doi.org/10.3390/w9060444
APA StyleWang, L., Xia, J., Yu, J., Yang, L., Zhan, C., Qiao, Y., & Lu, H. (2017). Spatial Variation, Pollution Assessment and Source Identification of Major Nutrients in Surface Sediments of Nansi Lake, China. Water, 9(6), 444. https://doi.org/10.3390/w9060444

