Modeling the Multi-Seasonal Link between the Hydrodynamics of a Reservoir and Its Hydropower Plant Operation
Abstract
:1. Introduction
2. Study Site: The Rapel Reservoir
3. Methods
3.1. Hydrologic Scenarios
3.2. Power System Operations
3.3. Hydrodynamic Simulation
3.4. Analysis of Scenarios
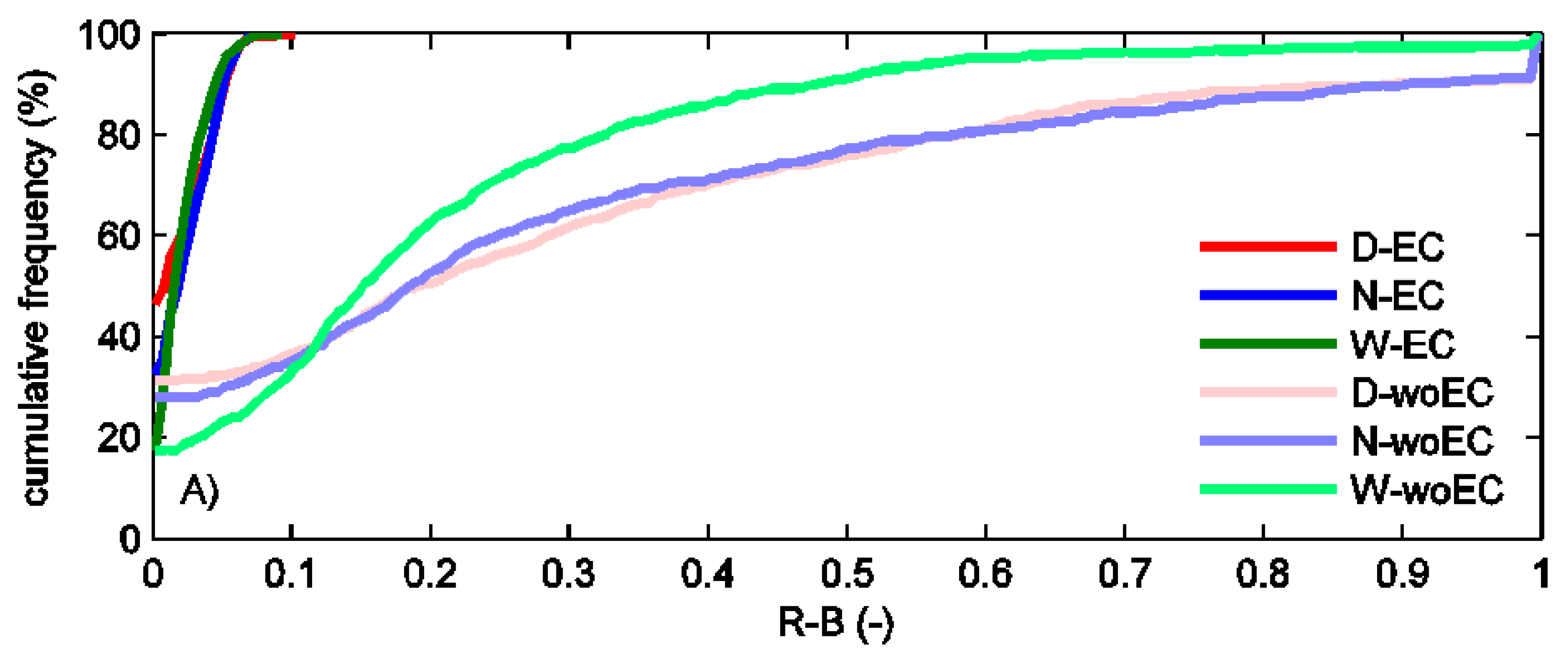
3.4.1. Sub-Daily Hydrologic Alteration
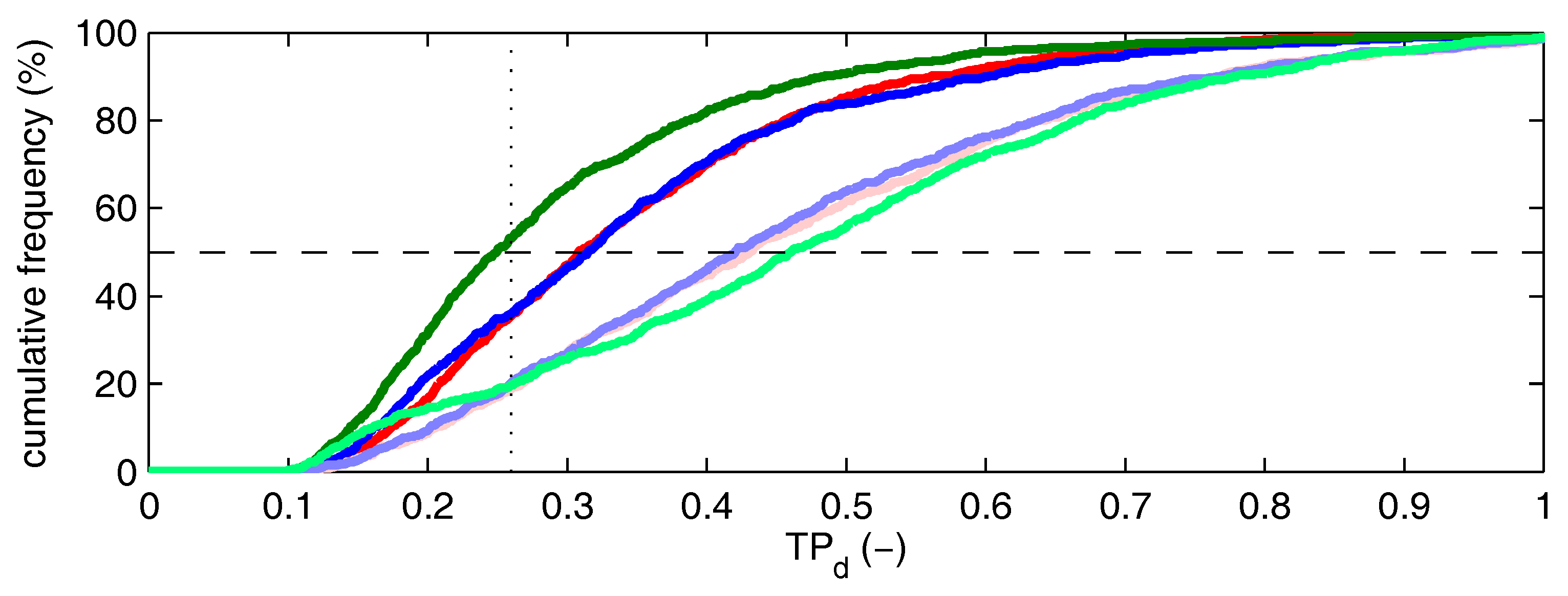
3.4.2. Thermal Pollution
3.4.3. Vertical Mixing
4. Results and Discussion
4.1. Power System Operations Simulation
4.1.1. Sub-Daily Hydrologic Alteration
4.1.2. Costs of EC
4.2. Water Temperature
4.2.1. Water Temperature Validation
4.2.2. Vertical Mixing in the Rapel Reservoir
4.2.3. Thermal Alteration of the Downstream River
5. Conclusions
Acknowledgments
Author Contributions
Conflicts of Interest
References
- Jager, H.I.; Smith, B.T. Sustainable reservoir operation: Can we generate hydropower and preserve ecosystem values? River Res. Appl. 2008, 24, 340–352. [Google Scholar] [CrossRef]
- Hunter, M.A. Hydropower Flow Fluctuations and Salmonids: A Review of the Biological Effects, Mechanical Causes, and Options for Mitigation; Technical Report 119; State of Washington, Department of Fisheries: Olympia, WA, USA, 1992.
- Richter, B.D.; Thomas, G.A. Restoring Environmental Flows by Modifying Dam Operations. Ecol. Soc. 2007, 12, 12. [Google Scholar] [CrossRef]
- Scheidegger, K.J.; Bain, M.B. Larval Fish Distribution and Microhabitat Use in Free-Flowing and Regulated Rivers. Copeia 1995, 1995, 125–135. [Google Scholar] [CrossRef]
- Haas, J.; Olivares, M.A.; Palma-Behnke, R. Grid-wide subdaily hydrologic alteration under massive wind power penetration in Chile. J. Environ. Manag. 2015, 154, 183–189. [Google Scholar] [CrossRef] [PubMed]
- Kern, J.D.; Patino-Echeverri, D.; Characklis, G.W. The impacts of wind power integration on sub-daily variation in river flows downstream of hydroelectric dams. Environ. Sci. Technol. 2014, 48, 9844–9851. [Google Scholar] [CrossRef] [PubMed]
- Kern, J.D.; Characklis, G.W.; Doyle, M.W.; Blumsack, S.; Whisnant, R.B. Influence of Deregulated Electricity Markets on Hydropower Generation and Downstream Flow Regime. J. Water Resour. Plan. Manag. 2012, 138, 342–355. [Google Scholar] [CrossRef]
- Poff, N.L.; Allan, J.D.; Bain, M.B.; Karr, J.R.; Prestegaard, K.L.; Richter, B.D.; Sparks, R.E.; Stromberg, J.C. The Natural Flow Regime. Bioscience 1997, 47, 769–784. [Google Scholar] [CrossRef]
- Poff, N.L.; Zimmerman, J.K.H. Ecological responses to altered flow regimes: A literature review to inform the science and management of environmental flows. Freshw. Biol. 2010, 55, 194–205. [Google Scholar] [CrossRef]
- Bunn, S.E.; Arthington, A.H. Basic Principles and Ecological Consequences of Altered Flow Regimes for Aquatic Biodiversity. Environ. Manag. 2002, 30, 492–507. [Google Scholar] [CrossRef]
- Angus Webb, J.; Miller, K.A.; King, E.L.; de Little, S.C.; Stewardson, M.J.; Zimmerman, J.K.H.; LeRoy Poff, N. Squeezing the most out of existing literature: A systematic re-analysis of published evidence on ecological responses to altered flows. Freshw. Biol. 2013, 58, 2439–2451. [Google Scholar] [CrossRef]
- Olivares, M.A.; Haas, J.; Palma-Behnke, R.; Benavides, C. A framework to identify Pareto-efficient subdaily environmental flow constraints on hydropower reservoirs using a grid-wide power dispatch model. Water Resour. Res. 2015, 51, 3664–3680. [Google Scholar] [CrossRef]
- Pérez-Díaz, J.I.; Wilhelmi, J. Assessment of the economic impact of environmental constraints on short-term hydropower plant operation. Energy Policy 2010, 38, 7960–7970. [Google Scholar] [CrossRef]
- Olden, J.D.; Naiman, R.J. Incorporating thermal regimes into environmental flows assessments: Modifying dam operations to restore freshwater ecosystem integrity. Freshw. Biol. 2010, 55, 86–107. [Google Scholar] [CrossRef]
- Caissie, D. The thermal regime of rivers: A review. Freshw. Biol. 2006, 51, 1389–1406. [Google Scholar] [CrossRef]
- Poole, G.C.; Berman, C.H. An ecological perspective on in-stream temperature: Natural heat dynamics and mechanisms of human-caused thermal degradation. Environ. Manag. 2001, 27, 787–802. [Google Scholar] [CrossRef]
- Miara, A.; Tarr, C.; Spellman, R.; Vörösmarty, C.J.; Macknick, J.E. The power of efficiency: Optimizing environmental and social benefits through demand-side-management. Energy 2014, 76, 502–512. [Google Scholar] [CrossRef]
- Fischer, H.; List, R.; Imberger, J.; Brooks, N. Mixing in Island and Coastal Waters; Academic Press, inc. Harcourt Brace Jovanovich Publishers: San Diego, CA, USA, 1979. [Google Scholar]
- Casamitjana, X.; Serra, T.; Colomer, J.; Baserba, C.; Pérez-Losada, J. Effects of the water withdrawal in the stratification patterns of a reservoir. Hydrobiologia 2003, 504, 21–28. [Google Scholar] [CrossRef]
- De la Fuente, A.; Niño, Y. Pseudo 2D ecosystem model for a dendritic reservoir. Ecol. Model. 2008, 213, 389–401. [Google Scholar] [CrossRef]
- Ibarra, G.; de la Fuente, A.; Contreras, M. Effects of hydropeaking on the hydrodynamics of a stratified reservoir: The Rapel Reservoir case study. J. Hydraul. Res. 2015, 53, 760–772. [Google Scholar] [CrossRef]
- Rossel, V.; de la Fuente, A. Assessing the link between environmental flow, hydropeaking operation and water quality of reservoirs. Ecol. Eng. 2015, 85, 26–38. [Google Scholar] [CrossRef]
- Vila, I.; Contreras, M.; Montecino, V.; Pizarro, J.; Adams, D.D. Rapel: A 30 years temperate reservoir. Eutrophication or contamination? Spec. Issues Adv. Limnol. 2000, 55, 31–44. [Google Scholar]
- De la Fuente, A.; Meruane, C.; Contreras, M.; Ulloa, H.; Niño, Y. Strong vertical mixing of deep water of a stratified reservoir during the Maule earthquake, central Chile (M w 8.8). Geophys. Res. Lett. 2010, 37. [Google Scholar] [CrossRef]
- Centro de Despacho Económico de Carga (Chile’s Power System Operator, CDEC). Data, Statistics and Reports. Available online: http://www.cdec-sing.cl/ (accessed on 12 December 2014).
- Chile’s Independent System Operators (CDEC-SING and CDEC-SIC) Statistics of Inflows. Available online: https://sic.coordinadorelectrico.cl/informes-y-documentos/fichas/estadistica-de-caudales-afluentes/ (accessed on 10 October 2016).
- Pereira, M.V.F.; Pinto, L.M.V.G. Multi-stage stochastic optimization applied to energy planning. Math. Program. 1991, 52, 359–375. [Google Scholar] [CrossRef]
- Chile’s Independent Power System Operator Weekly Scheduling of Chile’s Central Interconnected System. Available online: http://www.cdecsic.cl/informes-y-documentos/fichas/operacion-programada-2/ (accessed on 21 September 2016).
- Laval, B.; Imberger, J.; Hodges, B.R.; Stocker, R. Modeling circulation in lakes: Spatial and temporal variations. Limnol. Oceanogr. 2003, 48, 983–994. [Google Scholar] [CrossRef]
- Hodges, B.; Imberger, J.; Saggio, A.; Winters, K.B. Modeling Basin-Scale Waves in Stratified Lakes. Limnol. Oceanogr. 2000, 45, 1603–1620. [Google Scholar] [CrossRef]
- Willmott, C.J. On the validation of models. Phys. Geogr. 1981, 2, 184–194. [Google Scholar]
- Richter, B.; Baumgartner, J.; Powell, J.; Braun, D. A Method for Assessing Hydrologic Alteration within Ecosystems. Conserv. Biol. 1996, 10, 1163–1174. [Google Scholar] [CrossRef]
- Kern, J.D.; Patino-Echeverri, D.; Characklis, G.W. An integrated reservoir-power system model for evaluating the impacts of wind integration on hydropower resources. Renew. Energy 2014, 71, 553–562. [Google Scholar] [CrossRef]
- Bevelhimer, M.S.; McManamay, R.A.; O’Connor, B. Characterizing sub-daily flow regimes: Implications of hydrologic resolution on ecohydrology studies. River Res. Appl. 2015, 31, 867–879. [Google Scholar] [CrossRef]
- Baker, D.B.; Richards, R.P.; Loftus, T.T.; Kramer, J.W. A new flashiness index: Charactersitics and applications to midwestern rivers and streams. J. Am. Water Resour. Assoc. 2004, 40, 503–522. [Google Scholar] [CrossRef]
- Lundquist, J.D.; Cayan, D.R. Seasonal and Spatial Patterns in Diurnal Cycles in Streamflow in the Western United States. J. Hydrometeorol. 2002, 3, 591–603. [Google Scholar] [CrossRef]
- McKinney, T.; Speas, D.W.; Rogers, R.S.; Persons, W.R. Rainbow Trout in a Regulated River below Glen Canyon Dam, Arizona, following Increased Minimum Flows and Reduced Discharge Variability. N. Am. J. Fish. Manag. 2001, 21, 216–222. [Google Scholar] [CrossRef]
- Zimmerman, J.K.H.; Letcher, B.H.; Nislow, K.H.; Lutz, K.A.; Magilligan, F.J. Determining the effects of dams on subdaily variation in river flows at a whole-basin scale. River Res. Appl. 2010, 26, 1246–1260. [Google Scholar] [CrossRef]
- Shiau, J.-T.; Wu, F.-C. Optimizing environmental flows for multiple reaches affected by a multipurpose reservoir system in Taiwan: Restoring natural flow regimes at multiple temporal scales. Water Resour. Res. 2013, 49, 565–584. [Google Scholar] [CrossRef]
- Webb, B.W.; Hannah, D.M.; Moore, R.D.; Brown, L.E.; Nobilis, F. Recent advances in stream and river temperature research. Hydrol. Process. 2008, 22, 902–918. [Google Scholar] [CrossRef]
- Bruno, M.C.; Siviglia, A.; Carolli, M.; Maiolini, B. Multiple drift responses of benthic invertebrates to interacting hydropeaking and thermopeaking waves. Ecohydrology 2013, 6, 511–522. [Google Scholar] [CrossRef]
- Richter, B.; Baumgartner, J.; Wigington, R.; Braun, D. How much water does a river need? Freshw. Biol. 1997, 37, 231–249. [Google Scholar] [CrossRef]
- Vanzo, D.; Siviglia, A.; Carolli, M.; Zolezzi, G. Characterization of sub-daily thermal regime in alpine rivers: Quantification of alterations induced by hydropeaking. Hydrol. Process. 2016, 30, 1052–1070. [Google Scholar] [CrossRef]
- Winters, K.B.; Lombard, P.N.; Riley, J.J.; D’Asaro, E.A. Available potential energy and mixing in density-stratified fluids. J. Fluid Mech. 1995, 289, 115–128. [Google Scholar] [CrossRef]
- Antenucci, J.; Imberger, J. Energetics of long internal gravity waves in large lakes. Limnol. Oceanogr. 2001, 46, 1760–1773. [Google Scholar] [CrossRef]
- Ulloa, H.N.; Winters, K.B.; de la Fuente, A.; Niño, Y. Degeneration of internal Kelvin waves in a continuous two-layer stratification. J. Fluid Mech. 2015, 777, 68–96. [Google Scholar] [CrossRef]












| EC/Hydrology | Dry | Normal | Wet |
|---|---|---|---|
| With EC | D-EC | N-EC | W-EC |
| Without EC | D-woEC | N-woEC | W-woEC |
| EC-woEC | Dry | Normal | Wet | |
|---|---|---|---|---|
| System costs | Percentage (M USD) | 0.06% (5) | 0.3% (23) | 0.3% (22) |
| Rapel costs | Percentage (M USD) | 3.9% (2.2) | 10.9% (8.8) | 6.8% (7.8) |
| Aspect | Variable | Dry | Normal | Wet |
|---|---|---|---|---|
| Monetary costs | Cost of the power system | +0.1% | +0.3% | +0.3% |
| Hydrological alteration | Median R-B index | −94% | −89% | −89% |
| Thermal alteration | Median index | −28% | −25% | −46% |
| Vertical stratification | Average | +14% | +29% | +9% |
© 2017 by the authors. Licensee MDPI, Basel, Switzerland. This article is an open access article distributed under the terms and conditions of the Creative Commons Attribution (CC BY) license (http://creativecommons.org/licenses/by/4.0/).
Share and Cite
Carpentier, D.; Haas, J.; Olivares, M.; De la Fuente, A. Modeling the Multi-Seasonal Link between the Hydrodynamics of a Reservoir and Its Hydropower Plant Operation. Water 2017, 9, 367. https://doi.org/10.3390/w9060367
Carpentier D, Haas J, Olivares M, De la Fuente A. Modeling the Multi-Seasonal Link between the Hydrodynamics of a Reservoir and Its Hydropower Plant Operation. Water. 2017; 9(6):367. https://doi.org/10.3390/w9060367
Chicago/Turabian StyleCarpentier, Diego, Jannik Haas, Marcelo Olivares, and Alberto De la Fuente. 2017. "Modeling the Multi-Seasonal Link between the Hydrodynamics of a Reservoir and Its Hydropower Plant Operation" Water 9, no. 6: 367. https://doi.org/10.3390/w9060367
APA StyleCarpentier, D., Haas, J., Olivares, M., & De la Fuente, A. (2017). Modeling the Multi-Seasonal Link between the Hydrodynamics of a Reservoir and Its Hydropower Plant Operation. Water, 9(6), 367. https://doi.org/10.3390/w9060367

