Building Blocks: A Quantitative Approach for Evaluating Coastal Vulnerability
Abstract
1. Introduction
2. Study Area
3. Methodology
Data and Parameters Measurement
- a = coastal landslides impact
- b = coastal slope
- c = distance of vegetation behind the back beach
- d = rocky outcrop.
4. Results
4.1. Coastal Landslides Impact
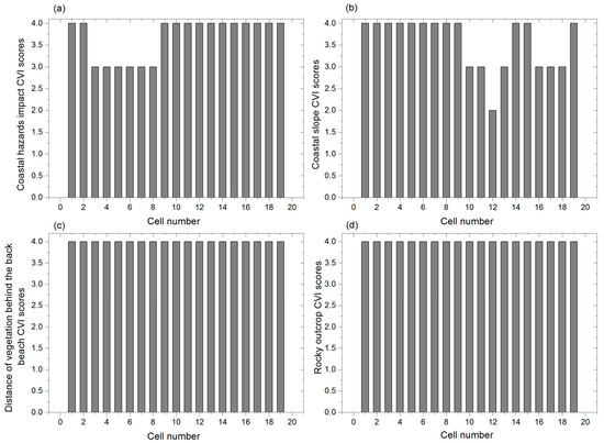
4.2. Parameters Measurement Analysis
4.3. MTCVI Analysis
4.4. Aggregated MTCVI Scores and Their Distribution
5. Discussion
6. Limitation of Research
7. Conclusions
Acknowledgments
Author Contributions
Conflicts of Interest
References
- Tralli, D.M.; Blom, R.G.; Zlotnicki, V.; Donnellan, A.; Evans, D.L. Satellite remote sensing of earthquake, volcano, flood, landslide and coastal inundation hazards. ISPRS J. Photogramm. Remote Sens. 2005, 59, 185–198. [Google Scholar] [CrossRef]
- Dilley, M. Natural Disaster Hotspots: A Global Risk Analysis; World Bank Publications: Washington, DC, USA, 2005; Volume 5. [Google Scholar]
- Bromhead, E.; Ibsen, M.-L. A review of landsliding and coastal erosion damage to historic fortifications in south east England. Landslides 2006, 3, 341–347. [Google Scholar] [CrossRef]
- Papathoma-Köhle, M.; Neuhäuser, B.; Ratzinger, K.; Wenzel, H.; Dominey-Howes, D. Elements at risk as a framework for assessing the vulnerability of communities to landslides. Nat. Hazards Earth Syst. Sci. 2007, 7, 765–779. [Google Scholar] [CrossRef]
- Bollmann, W. Crystal Defects and Crystalline Interfaces; Springer: Berlin, Germany, 2012. [Google Scholar]
- Brakenridge, G.; Syvitski, J.; Overeem, I.; Higgins, S.; Kettner, A.; Stewart-Moore, J.; Westerhoff, R. Global mapping of storm surges and the assessment of coastal vulnerability. Nat. Hazards 2013, 66, 1295–1312. [Google Scholar] [CrossRef]
- Pranzini, E.; Williams, A.T. Coastal Erosion and Protection in Europe; Routledge: London, UK, 2013. [Google Scholar]
- Bhaskaran, P.K.; Gayathri, R.; Murty, P.; Bonthu, S.; Sen, D. A numerical study of coastal inundation and its validation for thane cyclone in the bay of Bengal. Coast. Eng. 2014, 83, 108–118. [Google Scholar] [CrossRef]
- Passeri, D.L.; Hagen, S.C.; Medeiros, S.C.; Bilskie, M.V.; Alizad, K.; Wang, D. The dynamic effects of sea level rise on low-gradient coastal landscapes: A review. Earth’s Future 2015, 3, 159–181. [Google Scholar] [CrossRef]
- Bilskie, M.V.; Hagen, S.; Alizad, K.; Medeiros, S.; Passeri, D.; Needham, H.; Cox, A. Dynamic simulation and numerical analysis of hurricane storm surge under sea level rise with geomorphologic changes along the northern gulf of mexico. Earth’s Future 2016, 4, 177–193. [Google Scholar] [CrossRef]
- Zsamboky, M.; Fernández-Bilbao, A.; Smith, D.; Knight, J.; Allan, J. Impacts of Climate Change on Disadvantaged UK Coastal Communities; Joseph Rowntree Foundation: New York, UK, 2011. [Google Scholar]
- Nicholls, R.J.; Kebede, A.S. Indirect impacts of coastal climate change and sea-level rise: The UK example. Clim. Policy 2012, 12, S28–S52. [Google Scholar] [CrossRef]
- Huq, S.; Kovats, S.; Reid, H.; Satterthwaite, D. Reducing Risks to Cities from Disasters and Climate Change; SAGE Publications Sage UK: London, UK, 2007. [Google Scholar]
- McGranahan, G.; Balk, D.; Anderson, B. The rising tide: Assessing the risks of climate change and human settlements in low elevation coastal zones. Environ. Urban. 2007, 19, 17–37. [Google Scholar] [CrossRef]
- Neumann, B.; Vafeidis, A.T.; Zimmermann, J.; Nicholls, R.J. Future coastal population growth and exposure to sea-level rise and coastal flooding-a global assessment. PLoS ONE 2015, 10, e0118571. [Google Scholar] [CrossRef] [PubMed]
- Creel, L. Ripple Effects: Population and Coastal Regions; Population Reference Bureau: Washington, DC, USA, 2003. [Google Scholar]
- Kantamaneni, K.; Alrashed, I.; Phillips, M. Cost vs. Safety: A novel design for tornado proof homes. HBRC J. 2017, 13, 223–232. [Google Scholar] [CrossRef]
- Douglas, B.C. Sea level change in the era of the recording tide gauge. Int. Geophys. 2001, 75, 37–64. [Google Scholar]
- Antunes, C.; Taborda, R. Sea level at cascais tide gauge: Data, analysis and results. J. Coast. Res. 2009, 1, 218–222. [Google Scholar]
- Murphy, J.M.; Sexton, D.; Jenkins, G.; Booth, B.; Brown, C.; Clark, R.; Collins, M.; Harris, G.; Kendon, E.; Betts, R. UK Climate Projections Science Report: Climate Change Projections; Meteorological Office Hadley Centre: Exeter, UK, 2009.
- Benson, C.; Clay, E.J. Understanding the Economic and Financial Impacts of Natural Disasters; World Bank Publications: Washington, DC, USA, 2004. [Google Scholar]
- Nicholls, R.J.; Wong, P.P.; Burkett, V.; Codignotto, J.; Hay, J.; McLean, R.; Ragoonaden, S.; Woodroffe, C.D.; Abuodha, P.; Arblaster, J. Coastal Systems and Low-Lying Areas. Climate Change 2007: Impacts, Adaptation and Vulnerability; Parry, M.L., Canziani, O.F., Palutik, J.P., van der Linden, P.J., Hanson, C.E., Eds.; Cambridge University Press: Cambridge, UK, 2007; pp. 315–356. [Google Scholar]
- Kantamaneni, K.; Du, X. Is catastrophic climate change turning britain into a hurricane hotspot? Int. J. Environ. Res. 2017. [Google Scholar] [CrossRef]
- Cutter, S.L. The changing context of hazard extremes: Events, impacts, and consequences. J. Extreme Events 2016, 3, 1671005. [Google Scholar] [CrossRef]
- Kidwell, D.M.; Dietrich, J.C.; Hagen, S.C.; Medeiros, S.C. An earth’s future special collection: Impacts of the coastal dynamics of sea level rise on low-gradient coastal landscapes. Earth’s Future 2017, 5, 2–9. [Google Scholar] [CrossRef]
- Moore, J.C.; Jevrejeva, S.; Grinsted, A. Efficacy of geoengineering to limit 21st century sea-level rise. Proc. Natl. Acad. Sci. USA 2010, 107, 15699–15703. [Google Scholar] [CrossRef] [PubMed]
- Kumar, T.S.; Mahendra, R.; Nayak, S.; Radhakrishnan, K.; Sahu, K. Coastal vulnerability assessment for orissa state, east coast of india. J. Coast Res. 2010, 26, 523–534. [Google Scholar] [CrossRef]
- Gornitz, V. Vulnerability of the east coast, USA to future sea level rise. J. Coast Res. 1990, 9, 201–237. [Google Scholar]
- Gornitz, V.M.; Daniels, R.C.; White, T.W.; Birdwell, K.R. The development of a coastal risk assessment database: Vulnerability to sea-level rise in the US southeast. J. Coast Res. 1994, 327–338. [Google Scholar]
- Mendoza, E.T.; Jimenez, J.A. Factors controlling vulnerability to storm impacts along the Catalonian coast. In Coastal Engineering Conference; American Society of Civil Engineers: Reston, VA, USA, 2004; Volume 3, pp. 3087–3099. [Google Scholar]
- Alexandrakis, G.; Poulos, S.; Petrakis, S.; Collins, M. The development of a beach vulnerability index (bvi) for the assessment of erosion in the case of the north Cretan coast (Aegean Sea) Hellenic. J. Geosci. 2011, 45, 11–22. [Google Scholar]
- Alexandrakis, G.; Poulos, S.E. An Holistic Approach to Beach Erosion Vulnerability Assessment Scientific Reports; Nature Publisher Group: London, UK, 2014; Volume 4, p. 6078. [Google Scholar]
- Palmer, B.; Van der Elst, R.; Mackay, F.; Mather, A.; Smith, A.; Bundy, S.; Thackeray, Z.; Leuci, R.; Parak, O. Preliminary coastal vulnerability assessment for kwazulu-natal, south africa. J. Coast Res. 2011, 64, 1390. [Google Scholar]
- Denner, K.; Phillips, M.; Jenkins, R.; Thomas, T. A coastal vulnerability and environmental risk assessment of loughor estuary, south wales. Ocean Coast. Manag. 2015, 116, 478–490. [Google Scholar] [CrossRef]
- Barros, J.L.; Tavares, A.O.; Santos, A.; Fonte, A. Territorial vulnerability assessment supporting risk managing coastal areas due to tsunami impact. Water 2015, 7, 4971–4998. [Google Scholar] [CrossRef]
- Kantamaneni, K. Counting the cost of coastal vulnerability. Ocean Coast. Manag. 2016, 132, 155–169. [Google Scholar] [CrossRef]
- Monioudi, I.N.; Karditsa, A.; Chatzipavlis, A.; Alexandrakis, G.; Andreadis, O.P.; Velegrakis, A.F.; Poulos, S.E.; Ghionis, G.; Petrakis, S.; Sifnioti, D. Assessment of vulnerability of the eastern Cretan Beaches (Greece) to sea level rise. Reg. Environ. Chang. 2016, 16, 1951–1962. [Google Scholar] [CrossRef]
- Samanta, B.; Das, S.; Hazra, S. Micro level vulnerability assessment of a community living in mousuni island in the Indian sundarban: An integrated study employing geoinformatics. In Environment and Earth Observation; Springer: Berlin, Germany, 2017; pp. 195–213. [Google Scholar]
- Hsu, T.-W.; Shih, D.-S.; Li, C.-Y.; Lan, Y.-J.; Lin, Y.-C. A study on coastal flooding and risk assessment under climate change in the mid-western coast of Taiwan. Water 2017, 9, 390. [Google Scholar] [CrossRef]
- Peña-Alonso, C.; Fraile-Jurado, P.; Hernández-Calvento, L.; Pérez-Chacón, E.; Ariza, E. Measuring geomorphological vulnerability on beaches using a set of indicators (gvi): A tool for management. J. Environ. Manag. 2017, 204, 230–245. [Google Scholar] [CrossRef] [PubMed]
- Adger, W.N. Vulnerability. Glob. Environ. Chang. 2006, 16, 268–281. [Google Scholar] [CrossRef]
- Thieler, E.R.; Hammar-Klose, E.S. National Assessment of Coastal Vulnerability to Sea-Level Rise; US Atlantic Coast; US Geological Survey: Reston, VA, USA, 1999.
- Kantamaneni, K. Coastal infrastructure vulnerability: An integrated assessment model. Nat. Hazards 2016, 84, 139–154. [Google Scholar] [CrossRef]
- Harik, G.; Alameddine, I.; Maroun, R.; Rachid, G.; Bruschi, D.; Garcia, D.A.; El-Fadel, M. Implications of adopting a biodiversity-based vulnerability index versus a shoreline environmental sensitivity index on management and policy planning along coastal areas. J. Environ. Manag. 2017, 187, 187–200. [Google Scholar] [CrossRef] [PubMed]
- Sadeghi-Pouya, A.; Nouri, J.; Mansouri, N.; Kia-Lashaki, A. An indexing approach to assess flood vulnerability in the western coastal cities of mazandaran, Iran. J. Disaster Risk Reduct. 2017, 22, 304–316. [Google Scholar] [CrossRef]
- Bárcena, J.F.; Gómez, A.G.; García, A.; Álvarez, C.; Juanes, J.A. Quantifying and mapping the vulnerability of estuaries to point-source pollution using a multi-metric assessment: The estuarine vulnerability index (EVI). Ecol. Indic. 2017, 76, 159–169. [Google Scholar] [CrossRef]
- González-Baheza, A.; Arizpe, O. Vulnerability assessment for supporting sustainable coastal city development: A case study of La Paz, Mexico. Clim. Dev. 2017. [Google Scholar] [CrossRef]
- ONS (Office of National Statistics). Census Data-2011. Available online: https://www.ons.gov.uk/census/2011census/2011censusdata (accessed on 15 April 2016).
- New Forest District Council. Barton on Sea Coastal Protection Information Leaflet & Barton on Sea Instability. Available online: http://www.newforest.gov.uk/CHttpHandler.ashx?id=23392&p=0; http://www.scopac.org.uk/3_Peter_Ferguson.pdf; (accessed on 8 December 2016).
- Fort, D.; Clark, A.; Cliffe, D. The investigation and monitoring of coastal landslides at Barton-on-sea, Hampshire, UK. Landslides Res. Theory Pract. 2000, 2, 567–572. [Google Scholar]
- West, I. Barton & Highcliffe Coast Erosion. Available online: http://www.southampton.ac.uk/~imw/Barton-Erosion-History.htm (accessed on 21 November 2017).
- Clark, A. Barton-on-Sea, Hampshire, UK. Available online: http://www.risknat.org/projets/riskydrogeo/docs/guide_pratique/Acivite1_Ateliers/Presentations%20Atelier1/A1P13-Coastal%20changes/programs/barton.html (accessed on 10 December 2016).
- Gibson, A.; Culshaw, M.; Dashwood, C.; Pennington, C. Landslide management in the UK—The problem of managing hazards in a ‘low-risk’environment. Landslides 2013, 10, 599–610. [Google Scholar] [CrossRef]
- Pilkey, O.H.; Davis, T.W. An Analysis of Coastal Recession Models: North Carolina Coast; Society for Sedimentary Geology: Tulsa, OK, USA, 1987. [Google Scholar]
- O’Connor, M.; Cooper, J.; Jackson, D. Morphological behaviour of headland-embayment and inlet-associated beaches, northwest Ireland. J. Coast. Res. 2007, 59, 626–630. [Google Scholar]
- Thomas, T.; Williams, A.; Rangel-Buitrago, N.; Phillips, M.; Anfuso, G. Assessing embayed equilibrium state, beach rotation and environmental forcing influences; Tenby southwest wales, UK. J. Mar. Sci. Eng. 2016, 4, 30. [Google Scholar] [CrossRef]
- Mansour, M.F.; Morgenstern, N.R.; Martin, C.D. Expected damage from displacement of slow-moving slides. Landslides 2011, 8, 117–131. [Google Scholar] [CrossRef]
- Thomas, T.; Phillips, M.; Williams, A. Mesoscale evolution of a headland bay: Beach rotation processes. Geomorphology 2010, 123, 129–141. [Google Scholar] [CrossRef]
- Gopalakrishnan, S.; Landry, C.E.; Smith, M.D.; Whitehead, J.C. Economics of coastal erosion and adaptation to sea level rise. Annu. Rev. Resour. Econ. 2016, 8, 119–139. [Google Scholar] [CrossRef]
- McLaughlin, S.; Cooper, J.A.G. A multi-scale coastal vulnerability index: A tool for coastal managers? Environ. Hazards 2010, 9, 233–248. [Google Scholar] [CrossRef]
- Bosom, E.; Jiménez, J. Probabilistic coastal vulnerability assessment to storms at regional scale-application to Catalan beaches (NW Mediterranean). Nat. Hazards Earth Syst. Sci. 2011, 11, 475. [Google Scholar] [CrossRef]
- Du, X.; Guo, H.; Fan, X.; Zhu, J.; Yan, Z.; Zhan, Q. Vertical accuracy assessment of freely available digital elevation models over low-lying coastal plains. Intl. J. Digit. Earth 2016, 9, 252–271. [Google Scholar] [CrossRef]









| Parameter | Name |
|---|---|
| New parameter | Coastal landslides impact |
| Existing parameters | Coastal slope |
| Distance of vegetation behind the back beach | |
| Rocky outcrop |
| Parameter | Source | Period |
|---|---|---|
| Coastal landslides impact | BGS and New Milton Town Council | 2000–2016 |
| Coastal slope | NASA-Google Earth Pro | 2015 |
| Distance of vegetation behind the back of beach | Channel Coastal Observatory High Resolution Aerial Maps | 2013 |
| Rocky outcrop | Channel Coastal Observatory High Resolution Aerial Maps | 2013 |
| Parameters Threshold | ||||
|---|---|---|---|---|
| Parameter | Low (1) | Moderate (2) | High (3) | Very High (4) |
| Coastal landslides impact | Low | Moderate | High impact | Very high impact |
| Coastal slope (%) | >12% | 12–8% | 8–4% | <4% |
| Distance of vegetation behind the back of beach (m) | >600 m | 200–600 m | 100–200 m | <100 m |
| Rocky outcrop (%) | >50% | 20–50% | 10–20% | <10% |
| Total Relative Vulnerability Score | Vulnerability |
|---|---|
| 7 | Low |
| 8–10 | Moderate |
| 11–13 | High |
| 14–16 | Very High |
© 2017 by the authors. Licensee MDPI, Basel, Switzerland. This article is an open access article distributed under the terms and conditions of the Creative Commons Attribution (CC BY) license (http://creativecommons.org/licenses/by/4.0/).
Share and Cite
Kantamaneni, K.; Du, X.; Aher, S.; Singh, R.M. Building Blocks: A Quantitative Approach for Evaluating Coastal Vulnerability. Water 2017, 9, 905. https://doi.org/10.3390/w9120905
Kantamaneni K, Du X, Aher S, Singh RM. Building Blocks: A Quantitative Approach for Evaluating Coastal Vulnerability. Water. 2017; 9(12):905. https://doi.org/10.3390/w9120905
Chicago/Turabian StyleKantamaneni, Komali, Xiaoping Du, Sainath Aher, and Rao Martand Singh. 2017. "Building Blocks: A Quantitative Approach for Evaluating Coastal Vulnerability" Water 9, no. 12: 905. https://doi.org/10.3390/w9120905
APA StyleKantamaneni, K., Du, X., Aher, S., & Singh, R. M. (2017). Building Blocks: A Quantitative Approach for Evaluating Coastal Vulnerability. Water, 9(12), 905. https://doi.org/10.3390/w9120905

