A Theoretical Model to Predict the Critical Hydraulic Gradient for Soil Particle Movement under Two-Dimensional Seepage Flow
Abstract
:1. Introduction
2. Methods
2.1. Particle Movement Process
2.2. Forces on the Movable Particles
2.3. Equilibrium Equations
2.4. Analysis of the Relative Exposure Degree
2.5. Equation for the Critical Hydraulic Gradient
3. Results
3.1. Qualitative Analysis
3.2. Experimental Validation
4. Discussion
4.1. Effect of the Soil Internal Instability
4.2. Effects of Other Parameters
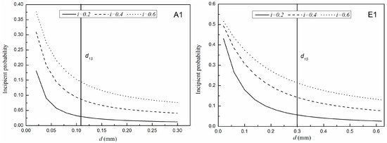
4.3. Exposure Degree and Particle Initiation Probability
5. Conclusions
Acknowledgments
Author Contributions
Conflicts of Interest
Notations
| β | Angle referred to the position of the movable particle |
| LL | Arm of lift force |
| LF | Arm of seepage force |
| Fn | Contact force |
| ic | Critical hydraulic gradient |
| ρS | Densities of the soil particles |
| ρW | Densities of the water |
| dθk | Equivalent diameter |
| Δ | Exposure degree |
| Fτ | Friction force |
| d15 | Grain diameter for which 15% of the grains by weight are finer |
| dc,15 | Grain diameter for which 15% of the grains by weight of the coarse soil are finer |
| df,85 | Grain diameter for which 85% of the grains by weight of the fine soil are finer |
| G | Gravity |
| g | Gravity acceleration |
| K | Hydraulic conductivity |
| i | Hydraulic gradient |
| if | Hydraulic gradient at slopes or dams failure |
| iboil | Hydraulic gradient at soil boil |
| istart | Hydraulic gradient at soil starting movement |
| iini | Hydraulic gradient at initiation of landslide dams |
| P | Initiation probability of particles |
| CL | Lift coefficient |
| FL | Lift force |
| D | Movable particle diameter |
| Θ | Parameter refered to the seepage field and the relative exposure degree |
| Π | Parameter refered to the soil parameters |
| ρ′ | Particle density in water |
| n | Porosity of the soil |
| f (Δ′) | Probability density function of Δ′ |
| R | Radius of the movable particle |
| Δ′ | Relative exposure degree |
| θ | Seepage direction |
| F | Seepage force |
| Vb | Seepage velocity |
| γs | Specific weight of soil |
| γw | Specific weight of the water |
| e | Void ratio of the soil |
References
- Chu-Agor, M.L.; Fox, G.A.; Cancienne, R.M.; Wilson, G.V. Seepage caused tension failures and erosion undercutting of hillslopes. J. Hydrol. 2008, 359, 247–259. [Google Scholar] [CrossRef]
- Fox, G.A.; Wilson, G.V. The role of subsurface flow in hillslope and stream bank erosion: A review. Soil Sci. Soc. Am. J. 2010, 74, 717–733. [Google Scholar] [CrossRef]
- Hagerty, D.J. Piping/sapping erosion I: Basic considerations. J. Hydraul. Eng. 1991, 117, 991–1008. [Google Scholar] [CrossRef]
- WöRman, A. Seepage-induced mass wasting in coarse soil slopes. J. Hydraul. Eng. 1993, 119, 1155–1168. [Google Scholar] [CrossRef]
- Foster, M.; Fell, R.; Spannagle, M. The statistics of embankment dam failures and accidents. Can. Geotech. J. 2011, 37, 1000–1024. [Google Scholar] [CrossRef]
- Richards, K.S.; Reddy, K.R. Critical appraisal of piping phenomena in earth dams. Bull. Eng. Geol. Environ. 2007, 66, 381–402. [Google Scholar] [CrossRef]
- Okeke, C.U.; Wang, F. Critical hydraulic gradients for seepage-induced failure of landslide dams. Geoenviron. Disasters 2016, 3, 1–22. [Google Scholar] [CrossRef]
- Terzaghi, K. Der Grundbruch an Stauwerken und Seine Verhütung. Wasserkraft 1922, 17, 445–449. [Google Scholar]
- Skempton, A.W.; Brogan, J.M. Experiments on piping in sandy gravels. Géotechnique 1994, 44, 449–460. [Google Scholar] [CrossRef]
- Fleshman, M.S.; Rice, J.D. Constant gradient piping test apparatus for evaluation of critical hydraulic conditions for the initiation of piping. Geotech. Test. J. 2013, 36, 834–846. [Google Scholar] [CrossRef]
- Samani, Z.A. Soil hydraulic stability in a subsurface drainage system. Trans. ASAE 1981, 24, 666–669. [Google Scholar] [CrossRef]
- Wan, C.F. Experimental Investigations of Piping Erosion and Suffusion of Soils in Embankment Dams and Their Foundations; The University of New South Wales: Sydney, Australia, 2006. [Google Scholar]
- Wilson, G.V.; Periketi, R.K.; Fox, G.A.; Cullum, R.F. Seepage erosion properties contributing to streambank failure. Earth Surf. Process. Landf. 2007, 32, 447–459. [Google Scholar] [CrossRef]
- Fox, G.A.; Wilson, G.V.; Simon, A.; Langendoen, E.J.; Akay, O.; Fuchs, J.W. Measuring streambank erosion due to ground water seepage: Correlation to bank pore water pressure, precipitation and stream stage. Earth Surf. Process. Landf. 2007, 32, 1558–1573. [Google Scholar] [CrossRef]
- Chu-Agor, M.L.; Wilson, G.V.; Fox, G.A. Numerical modeling of bank instability by seepage erosion undercutting of layered streambanks. J. Hydrol. Eng. 2008, 13, 1133–1145. [Google Scholar] [CrossRef]
- Howard, A.D.; Mclane, C.F. Erosion of cohesionless sediment by groundwater seepage. Water Resources Res. 1988, 24, 1659–1674. [Google Scholar] [CrossRef]
- Dunne, T. Hydrology, mechanics, and geomorphic implications of erosion by subsurface flow. Spec. Pap. Geol. Soc. Am. 1990, 252, 1–28. [Google Scholar] [CrossRef]
- Lobkovsky, A.E.; Jensen, B.; Kudrolli, A.; Rothman, D.H. Threshold phenomena in erosion driven by subsurface flow. J. Geophys. Res. Earth Surf. 2005, 109, 357–370. [Google Scholar] [CrossRef]
- Adel, H.D.; Bakker, K.J.; Breteler, M.K. Internal stability of minestone. In Proceedings of International Symposium of Modelling Soil–Water-Structure Interaction; Balkema: Rotterdam, The Netherlands, 1988; pp. 225–231. [Google Scholar]
- Kenney, T.C.; Lau, D. Internal stability of granular filters. Can. Geotech. J. 1985, 23, 420–423. [Google Scholar] [CrossRef]
- Wan, C.F.; Fell, R. Assessing the potential of internal instability and suffusion in embankment dams and their foundations. J. Geotech. Geoenviron. Eng. 2008, 134, 401–407. [Google Scholar] [CrossRef]
- Ahlinhan, M.F.; Achmus, M.; Burns, S.E.; Bhatia, S.K.; Avila, C.M.C. Experimental investigation of critical hydraulic gradients for unstable soils. Geotech. Spec. Publ. 2010, 599–608. [Google Scholar] [CrossRef]
- Ojha, C.S.P.; Singh, V.P.; Adrian, D.D. Determination of critical head in piping. J. Hydraul. Eng. 2003, 129, 511–518. [Google Scholar] [CrossRef]
- Schmertmann, J.H. The no-filter factor of safety against piping through sands. Geotech. Spec. Publ. 2000, 65–105. [Google Scholar] [CrossRef]
- Chang, D.S.; Zhang, L.M. Critical hydraulic gradients of internal erosion under complex stress states. J. Geotech. Geoenviron. Eng. 2013, 139, 1454–1467. [Google Scholar] [CrossRef]
- Ojha, C.S.P.; Singh, V.P.; Adrian, D.D. Influence of porosity on piping models of levee failure. J. Geotech. Geoenviron. Eng. 2001, 127, 1071–1074. [Google Scholar] [CrossRef]
- Choi, S.U.; Kwak, S. Theoretical and probabilistic analyses of incipient motion of sediment particles. KSCE J. Civ. Eng. 2001, 5, 59–65. [Google Scholar] [CrossRef]
- Marot, D.; Rochim, A.; Nguyen, H.H.; Bendahmane, F.; Sibille, L. Assessing the susceptibility of gap-graded soils to internal erosion: Proposition of a new experimental methodology. Nat. Hazards 2016, 29, 1–24. [Google Scholar] [CrossRef]
- Wu, L. Computation of the critical hydraulic gradient for piping of non-cohesive soil. Hydro-Sci. Eng. 1980, 4, 90–95. (In Chinese) [Google Scholar] [CrossRef]
- Han, Q.W.; He, M.M. Statistical Theory of Sediment Movement; Science Press: Beijing, China, 1984. (In Chinese) [Google Scholar]
- Xu, H.; Shen, Y.; Bai, Y. Statistical analysis on motion characteristics of bedload rolling. J. Hydraul. Eng. 2014, 110, 1184–1192. (In Chinese) [Google Scholar] [CrossRef]
- Alyamani, M.S.; Zekâi, S. Determination of hydraulic conductivity from complete grain-size distribution curves. Ground Water 1993, 31, 551–555. [Google Scholar] [CrossRef]
- Kezdi, A. Soil Physics; Elsevier Scientific Publishing Company: Amsterdam, The Netherlands, 1979. [Google Scholar]
- Chu-Agor, M.L.; Fox, G.A.; Wilson, G.V. Empirical sediment transport function predicting seepage erosion undercutting for cohesive bank failure prediction. J. Hydrol. 2009, 377, 155–164. [Google Scholar] [CrossRef]
- Liang, Y.; Zhang, Q.; Zeng, C.; Liu, Z. Non-Cohesive Particles Starting Mechanism under the Changing Seepage Direction. J. Chongqing Jiaotong Univ. (Nat. Sci.) 2016, 35, 89–93. (In Chinese) [Google Scholar]
- Rice, J.D.; Fleshman, M.S. Laboratory Modeling of Critical Hydraulic Conditions for the Initiation of Piping. In Proceedings of the Geo-Congress 2013, San Diego, CA, USA, 3–7 March 2013; American Society of Civil Engineers (ASCE): Reston, VA, USA, 2013; pp. 1044–1055. [Google Scholar]
- Fleshman, M.S.; Rice, J.D. Laboratory Modeling of the Mechanisms of Piping Erosion Initiation. J. Geotech. Geoenviron. Eng. 2014, 140, 04014017. [Google Scholar] [CrossRef]
- Zhou, J.; Bai, Y.F.; Yao, Z.X. A mathematical model for determination of the critical hydraulic gradient in soil piping. In Proceedings of the GeoShanghai International Conference 2010, Shanghai, China, 3–5 June 2010; American Society of Civil Engineers (ASCE): Reston, VA, USA; pp. 239–244. [Google Scholar] [CrossRef]
- Xing, R.; Zhang, G.; Liang, Z.; Wu, Z. Study on the location characteristics of bed surface particle. J. Sediment. Res. 2016, 4, 28–33. (In Chinese) [Google Scholar] [CrossRef]










| Soils | K (m/s) | Soils | K (m/s) |
|---|---|---|---|
| Coarse gravel | 1~2 × 10−3 | Clay sand | 2 × 10−5~10−6 |
| Sandy gravel | 10−3~10−4 | Sandy loess | 10−5~10−6 |
| Grit sand | 5 × 10−4~10−4 | Muddy loess | 10−7~10−8 |
| Silver sand | 5 × 10−5~10−5 | Clay | 10−8~10−10 |
| Predicted i | Measured i | Author |
|---|---|---|
| 0.39 | 0.20 | Skempton and Brogan |
| 0.48 | 0.34 | |
| 0.50 | 1.00 | |
| 0.68 | 1.00 | |
| 0.60 | 0.70 | Ahlinhan et al. |
| 0.63 | 0.80 | |
| 0.71 | 0.90 | |
| 0.73 | 0.95 | |
| 0.70 | 0.90 | |
| 0.72 | 0.96 | |
| 0.75 | 0.97 | |
| 0.42 | 0.30 | |
| 0.43 | 0.36 | |
| 0.52 | 0.60 | |
| 0.25 | 0.19 | |
| 0.24 | 0.21 | |
| 0.31 | 0.25 | |
| 0.21 | 0.19 | |
| 0.23 | 0.21 | |
| 1.10 | 1.30 | Fleshman and Rice |
| 0.93 | 1.47 | |
| 0.91 | 1.40 | |
| 0.81 | 1.38 | |
| 1.36 | 1.73 |
© 2017 by the authors. Licensee MDPI, Basel, Switzerland. This article is an open access article distributed under the terms and conditions of the Creative Commons Attribution (CC BY) license (http://creativecommons.org/licenses/by/4.0/).
Share and Cite
Huang, Z.; Bai, Y.; Xu, H.; Cao, Y.; Hu, X. A Theoretical Model to Predict the Critical Hydraulic Gradient for Soil Particle Movement under Two-Dimensional Seepage Flow. Water 2017, 9, 828. https://doi.org/10.3390/w9110828
Huang Z, Bai Y, Xu H, Cao Y, Hu X. A Theoretical Model to Predict the Critical Hydraulic Gradient for Soil Particle Movement under Two-Dimensional Seepage Flow. Water. 2017; 9(11):828. https://doi.org/10.3390/w9110828
Chicago/Turabian StyleHuang, Zhe, Yuchuan Bai, Haijue Xu, Yufen Cao, and Xiao Hu. 2017. "A Theoretical Model to Predict the Critical Hydraulic Gradient for Soil Particle Movement under Two-Dimensional Seepage Flow" Water 9, no. 11: 828. https://doi.org/10.3390/w9110828
APA StyleHuang, Z., Bai, Y., Xu, H., Cao, Y., & Hu, X. (2017). A Theoretical Model to Predict the Critical Hydraulic Gradient for Soil Particle Movement under Two-Dimensional Seepage Flow. Water, 9(11), 828. https://doi.org/10.3390/w9110828
