Long-Term Downstream Effects of a Dam on a Lowland River Flow Regime: Case Study of the Upper Narew
Abstract
1. Introduction
2. Materials and Methods
2.1. Study Area
2.2. Siemianówka Reservoir
2.3. Hydrometeorological Analysis
3. Results
3.1. Precipitation
3.2. Discharge
3.2.1. Minimum Discharge
3.2.2. First Quartile Discharge
3.2.3. Second Quartile Discharge
3.2.4. Third Quartile Discharge
3.2.5. Maximum Discharge
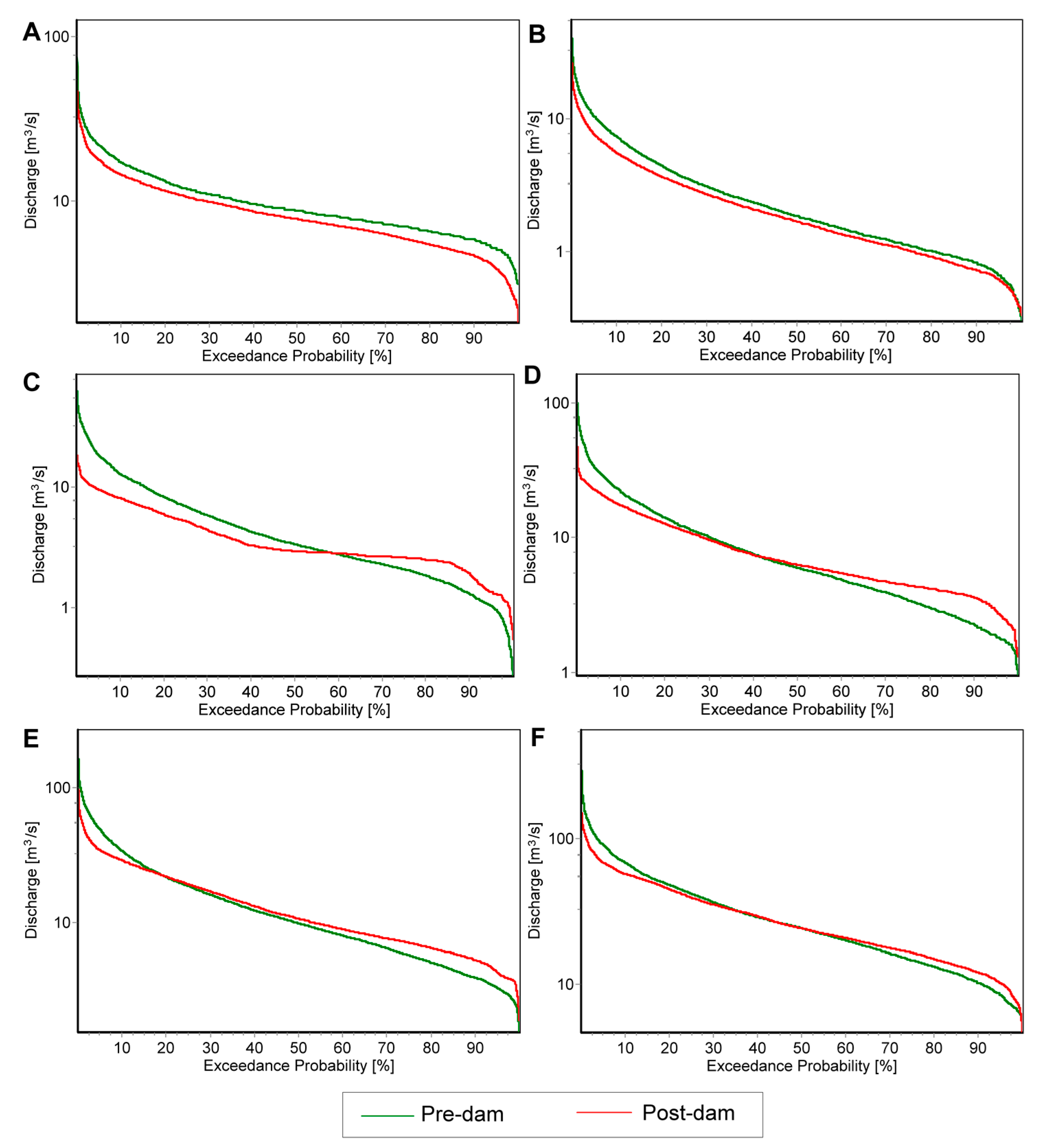
3.3. Flow-Duration Curve
3.4. Ocurrence and Recurrence of Floods and Droughts in Different Seasons
4. Discussion
4.1. Hydrological Aspects
4.2. Hydromorphological Aspects
4.3. Ecological Aspects
4.4. Implications for Management
5. Conclusions
Supplementary Materials
Acknowledgments
Author Contributions
Conflicts of Interest
References
- Dynesius, M.; Nilsson, C. Fragmentation and flow regulation of river systems in the northern third of the world. Science 1994, 266, 753–762. [Google Scholar] [CrossRef] [PubMed]
- Graf, W.L. Dam nation: A geographic census of American dams and their large-scale hydrologic impacts. Water Resour. Res. 1999, 35, 1305–1311. [Google Scholar] [CrossRef]
- Graf, W.L. Downstream hydrologic and geomorphic effects of large dams on American rivers. Geomorphology 2006, 79, 336–360. [Google Scholar] [CrossRef]
- Magilligan, F.J.; Nislow, K.H. Changes in hydrologic regime by dams. Geomorphology 2005, 71, 61–78. [Google Scholar] [CrossRef]
- O’Connor, J.E.; Duda, J.J.; Grant, G.E. 1000 dams down and counting. Science 2015, 348, 496–497. [Google Scholar] [CrossRef] [PubMed]
- Bejarano, M.D.; Sordo-Ward, A.; Alonso, C.; Nilsson, C. Characterizing effects of hydropower plants on sub-daily flow regimes. J. Hydrol. 2017, 550, 186–200. [Google Scholar] [CrossRef]
- Kibler, K.M.; Alipour, M. Flow alteration signatures of diversion hydropower: An analysis of 32 rivers in Southwestern China. Ecohydrology 2017, 10, e1842. [Google Scholar] [CrossRef]
- Maheu, A.; St-Hilaire, A.; Caissie, D.; El-Jabi, N. Understanding the thermal regime of rivers influenced by small and medium size dams in Eastern Canada. River Res. Appl. 2016, 32, 2032–2044. [Google Scholar] [CrossRef]
- Sanyal, J. Predicting possible effects of dams on downstream river bed changes of a Himalayan river with morphodynamic modelling. Quat. Int. 2017, 453, 48–62. [Google Scholar] [CrossRef]
- Williams, G.P.; Wolman, M.G. Downstream Effects of Dams on Alluvial Rivers; Geological Survey Professional Paper 1286; USGS: Washington, DC, USA, 1984. [Google Scholar]
- Ahn, J.M.; Jung, K.Y.; Shin, D. Effects of coordinated operation of weirs and reservoirs on the water quality of the Geum River. Water 2017, 9, 423. [Google Scholar]
- Cooper, A.R.; Infante, D.M.; Wehrly, K.E.; Wang, L.; Brenden, T.O. Identifying indicators and quantifying large-scale effects of dams on fishes. Ecol. Indic. 2016, 61, 646–657. [Google Scholar] [CrossRef]
- Song, Y.; Cheng, F.; Murphy, B.R.; Xie, S. Downstream effects of the Three Gorges Dam on larval dispersal, spatial distribution and growth of the four major Chinese carps call for reprioritizing conservation measures. Can. J. Fish. Aquat. Sci. 2017. [Google Scholar] [CrossRef]
- Valentin, S.; Wasson, J.G.; Philippe, M. Effects of hydropower peaking on epilithon and invertebrate community trophic structure. River Res. Appl. 1995, 10, 105–119. [Google Scholar] [CrossRef]
- Chen, Q.; Zhang, X.; Chen, Y.; Qiongfang, L.; Qiu, L.; Liu, M. Downstream effects of a hydropeaking dam on ecohydrological conditions at subdaily to monthly time scales. Ecol. Eng. 2015, 77, 40–50. [Google Scholar] [CrossRef]
- Han, J.; Zhang, W.; Fan, Y.; Yu, M. Interacting effects of multiple factors on the morphological evolution of the meandering reaches downstream the Three Gorges Dam. J. Geogr. Sci. 2017, 27, 1268–1278. [Google Scholar] [CrossRef]
- Owusu, K.; Obour, P.B.; Nkansah, M.A. Downstream effects of dams on livelihoods of river-dependent communities: The case of Ghana’s Kpong Dam. Geogr. Tidsskr. Dan. J. Geogr. 2016, 117, 1–10. [Google Scholar] [CrossRef]
- Jiang, L.; Ban, X.; Wang, X.; Cai, X. Assessment of hydrologic alteration caused by the Three Gorges Dam in the middle and lower reaches of Yangtze River, China. Water 2014, 6, 1419–1434. [Google Scholar] [CrossRef]
- Lee, J.E.; Heo, J.-H.; Lee, J.; Kim, N.W. Assessment of flood frequency alteration by dam construction via SWAT Simulation. Water 2017, 9, 264. [Google Scholar] [CrossRef]
- Zhang, X.; Dong, Z.; Gupta, H.; Wu, G.; Li, D. Impact of the Three Gorges Dam on the hydrology and ecology of the Yangtze River. Water 2016, 8, 590. [Google Scholar] [CrossRef]
- Mbaka, J.G.; Mwaniki, M.W. A global review of the downstream effect of small impoundments on stream habitat conditions and macroinvertebrates. Environ. Rev. 2015, 23, 257–263. [Google Scholar] [CrossRef]
- Gradziński, R.; Baryła, J.; Doktor, M.; Gmur, D.; Gradziński, M.; Kędzior, A.; Paszkowski, M.; Soja, R.; Zieliński, T.; Żurek, S. Vegetation-controlled modern anastamosing system of the upper Narew River (NE Poland) and its sediments. Sediment. Geol. 2003, 157, 253–276. [Google Scholar] [CrossRef]
- Marcinkowski, P.; Grabowski, R.C.; Okruszko, T. Controls on anastomosis in lowland river systems: Towards process-based solutions to habitat conservation. Sci. Total Environ. 2017, 609, 1544–1555. [Google Scholar] [CrossRef] [PubMed]
- Cygan, B.; Niedbała, J.; Piekarski, M.K. Wpływ Zbiornika Siemianówka na kształtowanie się charakterystyk hydrologicznych rzeki Narwi. In Proceedings of the Conference Materials Zagospodarowanie Zlewni Bugu i Narwi w Ramach Zrównoważonego Rozwoju 2003, Popowo, Poland, 23–24 May 2003. (In Polish). [Google Scholar]
- Jekatierynczuk-Rudczyk, E.; Górniak, A. Influence of Siemianówka Reservoir on Narew River below dam. In Ecosystem of Siemianówka Reservoir in 1990–2004 and its Restoration; Górniak, A., Ed.; Department of Hydrobiology, University of Białystok: Białystok, Poland, 2006; pp. 193–199. (In Polish) [Google Scholar]
- Kiczko, A.; Romanowicz, R.J.; Osuch, M. Impact of water management policy on flow conditions in wetland areas. Phys. Chem. Earth 2011, 36, 638–645. [Google Scholar] [CrossRef]
- Mioduszewski, W.; Gajewski, G.; Biesiada, M. Zróżnicowanie stosunków wodnych w dolinie Narwi w granicach Narwiańskiego Parku Narodowego. Water Environ. Rural Areas 2004, 11, 39–50. (In Polish) [Google Scholar]
- Romanowicz, R.J.; Osuch, M. Assessment of land use and water management induced changes in flow regime of the Upper Narew. Phys. Chem. Earth 2011, 36, 662–672. [Google Scholar] [CrossRef]
- Grabowska, M.; Ejsmont-Karabin, J.; Karpowicz, M. Reservoir-river relationships in lowland, shallow, eutrophic systems: An impact of zooplankton from hypertrophic reservoir on river zooplankton. Pol. J. Ecol. 2013, 61, 759–768. [Google Scholar]
- Grabowska, M.; Mazur-Marzec, H. The effect of cyanobacterial blooms in the Siemianówka Dam Reservoir on the phytoplankton structure in the Narew River. Oceanol. Hydrobiol. Stud. 2011, 40, 19–26. [Google Scholar] [CrossRef]
- Karpowicz, M. Influence of eutrophic lowland reservoir on Crustacean zooplankton assemblages in river valley oxbow lakes. Pol. J. Environ. Stud. 2014, 23, 2055–2061. [Google Scholar]
- Karpowicz, M. Microcrustacean (Cladocera, Copepoda) source-sink dynamics in a lowland river ecosystem with a dam reservoir. Oceanol. Hydrobiol. Stud. 2016, 45, 297–303. [Google Scholar] [CrossRef]
- Banaszuk, P.; Wysocka-Czubaszek, A. Phosphorus dynamics and fluxes in a lowland river: The Narew anastomosing river system, NE Poland. Ecol. Eng. 2005, 25, 429–441. [Google Scholar] [CrossRef]
- Banaszuk, H.; Banaszuk, P.; Gradziński, R.; Kamocki, A.K.; Mioduszewski, W.; Okruszko, T.; Próchnicki, P.; Szewczyk, M. Przyroda Podlasia: Narwiański Park Narodowy; Ekonomia Podlasia: Podlasie, Poland, 2004; ISBN 83-87231-07-X. (In Polish) [Google Scholar]
- BIPROMEL. Siemianówka Reservoir–Water Management Rules; Technical Report; Bipromel: Warszawa, Poland, 1999. (In Polish) [Google Scholar]
- Sokołowski, J. Monografia Zbiornika Wodnego Siemianówka; WZMIUW: Warszawa, Poland, 1999. (In Polish) [Google Scholar]
- Pettitt, A.N. A non-parametric approach to the change-point problem. Appl. Stat. 1979, 28, 126–135. [Google Scholar] [CrossRef]
- Rybski, D.; Neumann, J. A Review on the Pettitt Test. In In Extremis; Kropp, J., Schellnhuber, H.J., Eds.; Springer: Berlin/Heidelberg, Germany, 2011; pp. 202–213. ISBN 978-3-642-14863-7. [Google Scholar]
- Tan, X.; Gan, T.Y.; Shao, D. Effects of persistence and large-scale climate anomalies on trends and change points in extreme precipitation of Canada. J. Hydrol. 2017, 550, 453–465. [Google Scholar] [CrossRef]
- Huh, S.; Dickey, D.A.; Meador, M.R.; Ruhl, K.E. Temporal analysis of frequency and duration of low and high streamflow: Years of record needed to characterise streamflow variability. J. Hydrol. 2005, 310, 78–94. [Google Scholar] [CrossRef]
- Marcinkowski, P.; Piniewski, M.; Kardel, I.; Szcześniak, M.; Benestad, M.; Srinivasan, R.; Ignar, S.; Okruszko, T. Effect of Climate Change on Hydrology, Sediment and Nutrient Losses in Two Lowland Catchments in Poland. Water 2017, 9, 156. [Google Scholar] [CrossRef]
- Banaszuk, P.; Kamocki, A. Effects of climatic fluctuations and land-use changes on the hydrology of temperate fluviogenous mire. Ecol. Eng. 2008, 32, 133–146. [Google Scholar] [CrossRef]
- Kamocki, A.; Kołos, A.; Banaszuk, P. Can we effectively stop the expansion of trees on wetlands? Results of a birch removal experiment. Wetl. Ecol. Manag. 2016, 25, 359–367. [Google Scholar] [CrossRef]
- Grygoruk, M.; Batelaan, O.; Mirosław-Świątek, D.; Szatyłowicz, J.; Okruszko, T. Evapotranspiration of bush encroachments on a temperate mire meadow—A nonlinear function of landscape composition and groundwater flow. Ecol. Eng. 2014, 73, 598–609. [Google Scholar] [CrossRef]
- Deoniziak, K.; Hermaniuk, A.; Wereszczuk, A. Effects of wetland restoration on the amphibian community in the Narew River Valley (Northeast Poland). Salamandra 2017, 53, 50–58. [Google Scholar]
- Grygoruk, M.; Frąk, M.; Chmielewski, A. Agricultural rivers at risk: Dredging results in a loss of macroinvertebrates. Preliminary observation from the Narew Catchment, Poland. Water 2015, 7, 4511–4522. [Google Scholar] [CrossRef]
- Nanson, G.C.; Knighton, A.D. Anabranching rivers: Their cause. character and classification. Earth Surf. Process. Landf. 1996, 21, 217–239. [Google Scholar] [CrossRef]
- Schumann, R.R. Morphology of Red Creek, Wyoming, an arid-region anastomosing channel system. Earth Surf. Process. Landf. 1989, 14, 277–288. [Google Scholar] [CrossRef]
- Próchnicki, P. The expansion of common reed (phragmites australis (cav.) trin. ex steud.) in the anastomosing river valley after cessation of agriculture use (Narew River valley, NE Poland). Pol. J. Ecol. 2005, 53, 353–364. [Google Scholar]
- Stromberg, J.C.; Lite, S.J.; Marler, R.; Paradzick, C.; Shafroth, P.B.; Shorrock, D.; White, J.M.; White, M.S. Altered stream-flow regimes and invasive plant species: The Tamarix case. Glob. Ecol. Biogeogr. 2007, 16, 381–393. [Google Scholar] [CrossRef]
- Galatowitsch, S.M.; Larson, D.L.; Larson, J.L. Factors affecting post-control reinvasion by seed of an invasive species, Phragmites australis, in the central Platte River, Nebraska. Biol. Invasions 2016, 18, 2505–2516. [Google Scholar] [CrossRef]
- Piniewski, M.; Laize, C.L.R.; Acreman, M.; Okruszko, T.; Schneider, C. Effects of climate change on environmental flow indicators in the Narew Basin, Poland. J. Environ. Qual. 2011, 43, 155–167. [Google Scholar] [CrossRef] [PubMed]
- Kiczko, A.; Napiórkowski, J. Aspiration-Reservation Decision Support System fo Siemianówka Reservoir. In Modelling of Hydrological Processes in the Narew Catchment; Springer: Berlin, Germany, 2011; pp. 111–121. [Google Scholar]
- Kiczko, A.; Romanowicz, R.; Napiórkowski, J.; Piotrowski, A. Integration of reservoir management and flow routing model—Upper Narew Case Study. Publ. Inst. Geophys. Pol. Acad. Sci. 2008, E-9, 41–56. [Google Scholar]
- Pugacewicz, E. Zmiany w awifaunie lęgowej doliny Górnej Narwi w latach 1986–2007. Dubelt 2012, 4, 1–41. (In Polish) [Google Scholar]
- Szewczyk, M.; Dembek, W.; Kamocki, A. Response of Riparian vegetation to the decrease of flooding: Narew National Park, Poland. In Proceedings of the International Conference ‘Towards Natural Flood Reduction Strategies’, Warsaw, Poland, 6–13 September 2003; Available online: http://www.academia.edu/download/36018017/3_9l.pdf (accessed on 2 August 2017).










| Gauge Station | River | Flow Data Availability | Catchment Area (km2) |
|---|---|---|---|
| Narewka * | Narewka | 1951–2013 | 590.4 |
| Bondary | Narew | 1963–2013 | 1094.6 |
| Narew | Narew | 1951–2013 | 1978.0 |
| Suraż | Narew | 1951–2013 | 3376.5 |
| Fasty * | Supraśl | 1975–2013 | 1818.0 |
| Strękowa Góra | Narew | 1951–2012 | 6656.0 |
© 2017 by the authors. Licensee MDPI, Basel, Switzerland. This article is an open access article distributed under the terms and conditions of the Creative Commons Attribution (CC BY) license (http://creativecommons.org/licenses/by/4.0/).
Share and Cite
Marcinkowski, P.; Grygoruk, M. Long-Term Downstream Effects of a Dam on a Lowland River Flow Regime: Case Study of the Upper Narew. Water 2017, 9, 783. https://doi.org/10.3390/w9100783
Marcinkowski P, Grygoruk M. Long-Term Downstream Effects of a Dam on a Lowland River Flow Regime: Case Study of the Upper Narew. Water. 2017; 9(10):783. https://doi.org/10.3390/w9100783
Chicago/Turabian StyleMarcinkowski, Paweł, and Mateusz Grygoruk. 2017. "Long-Term Downstream Effects of a Dam on a Lowland River Flow Regime: Case Study of the Upper Narew" Water 9, no. 10: 783. https://doi.org/10.3390/w9100783
APA StyleMarcinkowski, P., & Grygoruk, M. (2017). Long-Term Downstream Effects of a Dam on a Lowland River Flow Regime: Case Study of the Upper Narew. Water, 9(10), 783. https://doi.org/10.3390/w9100783

