Treatment of Alkaline Stripped Effluent in Aerated Constructed Wetlands: Feasibility Evaluation and Performance Enhancement
Abstract
:1. Introduction
2. Materials and Methods
2.1. Laboratory-Scale Wetlands
2.2. Experimental Conditions
2.3. Sampling and Analysis
2.4. Quantification of AOA, AOB, nirS, nirK, and Anammox
2.5. Calculations
2.6. Statistical Analysis
3. Results
3.1. Physicochemical Parameters
3.2. COD and Alkalinity Removal Performance
3.3. Nitrogen Removal Performance
4. Conclusions
- ■
- The feasibility of treating high-alkalinity stripped effluent in horizontal subsurface-flow CWs was assessed and deemed feasible due to the high buffering capacity and diverse functional microbial transformations of wetlands.
- ■
- Two performance enhancement strategies—effluent recirculation and intermittent artificial aeration—were investigated in three HSFCWs. A 71% TN removal rate was achieved using both strategies simultaneously, indicating that higher oxygen concentrations improve nitrogen removal.
- ■
- Ammonia volatilization from the surface of wetlands was determined to constitute only 3% of the total ammonium removed from the high-alkalinity influent, indicating a potentially important role of biological transformations on nitrogen depuration.
- ■
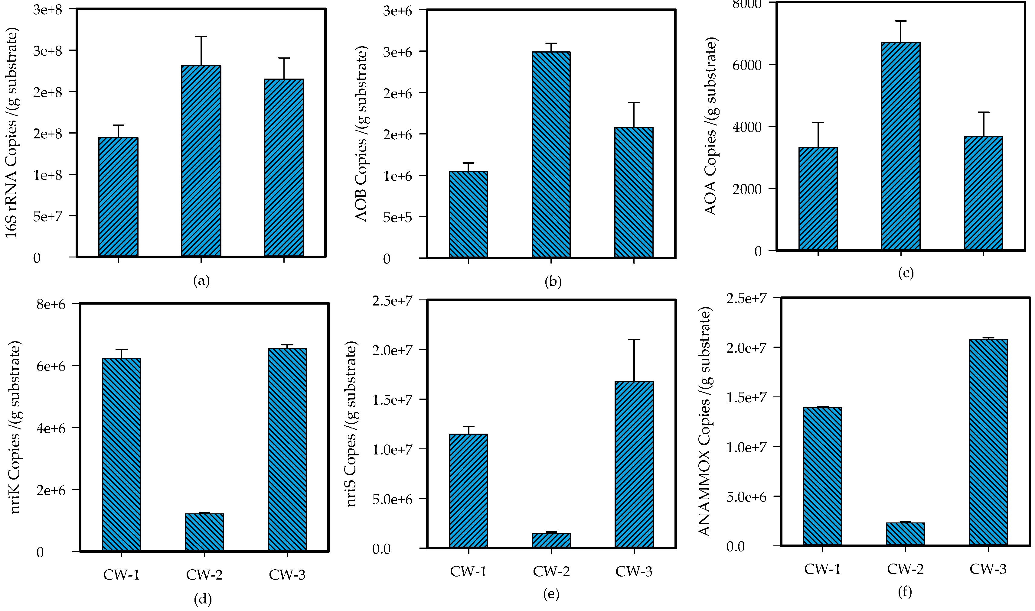
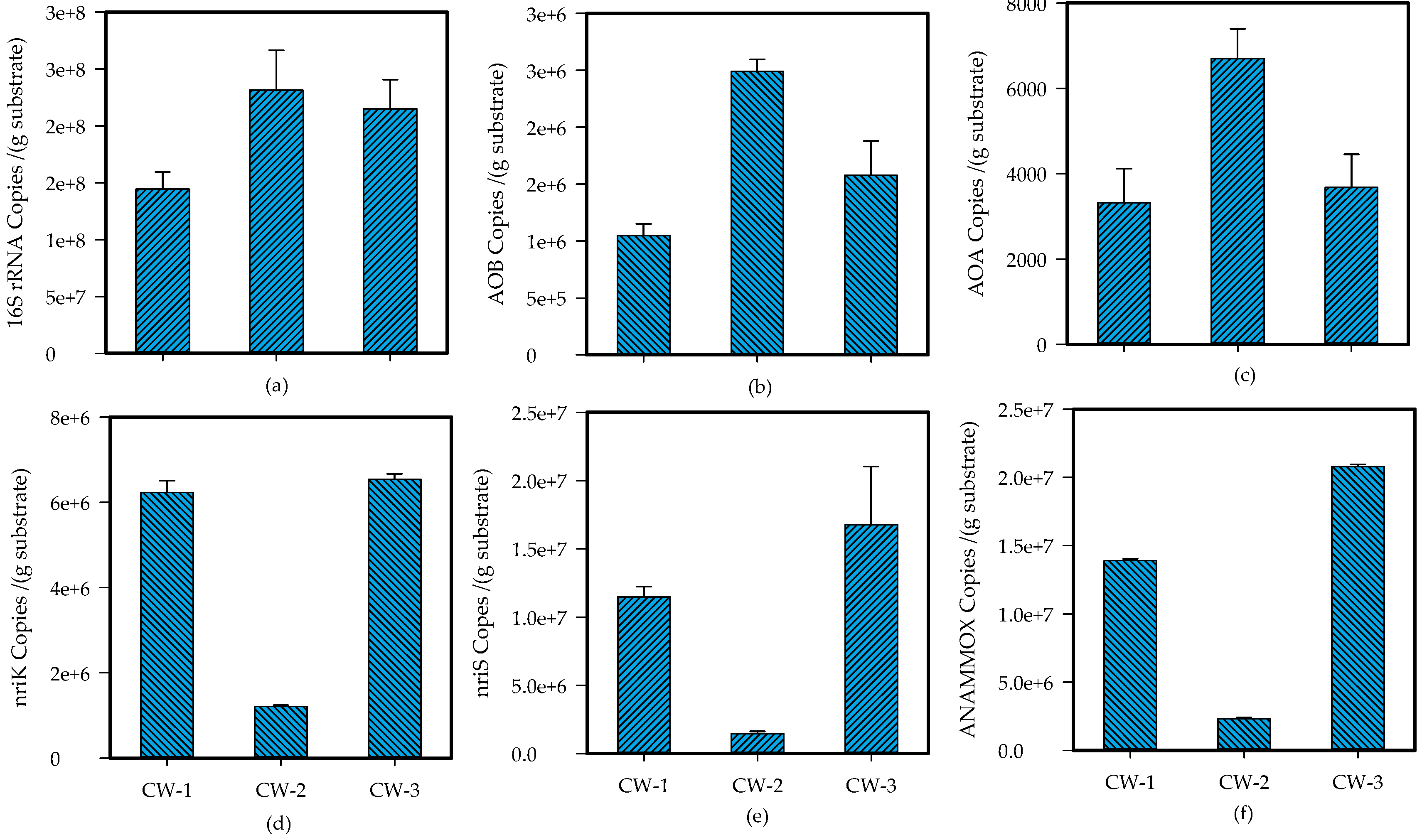
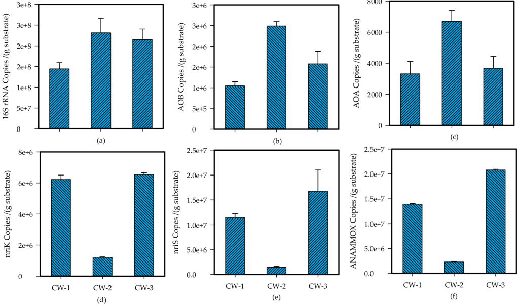
- Bacterial abundance analysis in the present study illustrated Anammox is an important process for nitrogen removal in CWs treating alkaline stripped effluent.
Acknowledgments
Author Contributions
Conflicts of Interest
References
- Lee, H.; Shoda, M. Removal of COD and color from livestock wastewater by the Fenton method. J. Hazard. Mater. 2008, 153, 1314–1319. [Google Scholar] [CrossRef] [PubMed]
- Daverey, A.; Hung, N.T.; Dutta, K.; Ling, J.G. Ambient temperature SNAD process treating anaerobic digester liquor of swine wastewater. Bioresour. Technol. 2013, 141, 191–198. [Google Scholar] [CrossRef] [PubMed]
- Jiang, X.; Sommer, S.G.; Christensen, K.V. Christensen, A review of the biogas industry in China. Energy Policy 2011, 39, 6073–6081. [Google Scholar] [CrossRef]
- Holm-Nielsen, J.B.; Seadi, T.A.; Oleskowicz-Popiel, P. Oleskowicz-Popiel, The future of anaerobic digestion and biogas utilization. Bioresour. Technol. 2009, 100, 5478–5484. [Google Scholar] [CrossRef] [PubMed]
- Kizito, S.; Wu, S.B.; Kirui, W.K.; Lei, M.; Lu, Q.M.; Bah, H.; Dong, R.J. Evaluation of slow pyrolyzed wood and rice husks biochar for adsorption of ammonium nitrogen from piggery manure anaerobic digestate slurry. Sci. Total Environ. 2015, 505, 102–112. [Google Scholar] [CrossRef] [PubMed]
- Song, Y.H.; Qiu, G.L.; Yuan, P.; Cui, X.Y.; Peng, J.F.; Zeng, P.; Qian, F. Nutrients removal and recovery from anaerobically digested swine wastewater by struvite crystallization without chemical additions. J. Hazard. Mater. 2011, 190, 140–149. [Google Scholar] [CrossRef] [PubMed]
- Değermenci, N.; Ata, O.N.; Yildız, E. Ammonia removal by air stripping in a semi-batch jet loop reactor. J. Ind. Eng. Chem. 2012, 18, 399–404. [Google Scholar] [CrossRef]
- Frison, N.; Katsou, E.; Malamis, S.; Bolzonella, D.; Fatone, F. Biological nutrients removal via nitrite from the supernatant of anaerobic co-digestion using a pilot-scale sequencing batch reactor operating under transient conditions. Chem. Eng. J. 2013, 230, 595–604. [Google Scholar] [CrossRef]
- Sica, M.; Duta, A.; Teodosiu, C.; Draghici, C. Thermodynamic and kinetic study on ammonium removal from a synthetic water solution using ion exchange resin. Clean Technol. Environ. Policy 2014, 16, 351–359. [Google Scholar] [CrossRef]
- Rubia, M.Á.D.L.; Waller, M.; Heaven, S.; Banks, C.J.; Borja, R. Preliminary trials of in situ ammonia stripping from source segregated domestic food waste digestate using biogas: Effect of temperature and flow rate. Bioresour. Technol. 2010, 101, 9486–9492. [Google Scholar] [CrossRef] [PubMed]
- Mayes, W.M.; Batty, P.L.; Younger, P.L.; Jarvis, A.P.; Kõiv, M.; Vohla, M.; Mander, U. Wetland treatment at extremes of pH: A review. Sci. Total Environ. 2009, 407, 3944–3957. [Google Scholar] [CrossRef] [PubMed]
- Oon, Y.L.; Ong, S.A.; Ho, L.N.; Wong, Y.S.; Oon, Y.S.; Lehl, H.K.; Thung, W.E. Hybrid system up-flow constructed wetland integrated with microbial fuel cell for simultaneous wastewater treatment and electricity generation. Bioresour. Technol. 2015, 186, 270–275. [Google Scholar] [CrossRef] [PubMed]
- Vrhovšek, D.V.; Kukanja, S.; Bulc, T. Constructed wetland (CW) for industrial waste water treatment. Water Res. 1996, 30, 2287–2292. [Google Scholar] [CrossRef]
- Bulc, T.G. Long term performance of a constructed wetland for landfill leachate treatment. Ecol. Eng. 2006, 26, 365–374. [Google Scholar] [CrossRef]
- Li, M.H.; Wen, Z.; Yu, X. Study on Removal Efficiencies of pollutant from Constructed Wetland in Aquiculture Waste Water around Poyang Lake. Procedia Environ. Sci. 2011, 10, 2444–2448. [Google Scholar]
- Nyquist, J.; Greger, M. A field study of constructed wetlands for preventing and treating acid mine drainage. Ecol. Eng. 2009, 35, 630–642. [Google Scholar] [CrossRef]
- Mayes, W.M.; Younger, P.L.; Aumônier, J. Buffering of alkaline steel slag leachate across a natural wetland. Environ. Sci. Technol. 2006, 40, 1237–1243. [Google Scholar] [CrossRef] [PubMed]
- Wang, Z.H.; Liu, X.J.; Ju, X.T.; Zhang, F.S. Field in situ determination of ammonia volatilization from soil: Venting method. Plant Natrition Fertil. Sci. 2002, 8, 205–209. [Google Scholar]
- Throbäck, I.N.; Enwall, K.; Jarvis, A.; Hallin, S. Reassessing PCR primers targeting nirS, nirK and nosZ genes for community surveys of denitrifying bacteria with DGGE. FEMS Microbiol. Ecol. 2004, 49, 401–417. [Google Scholar] [CrossRef] [PubMed]
- Huang, X.; Liu, C.; Wang, Z.; Gao, C.; Zhu, G.; Liu, L. The Effects of Different Substrates on Ammonium Removal in Constructed Wetlands: A Comparison of Their Physicochemical Characteristics and Ammonium-Oxidizing Prokaryotic Communities. CLEAN Soil Air Water 2013, 41, 283–290. [Google Scholar] [CrossRef]
- Tsushima, I.; Kindaichi, T.; Okabe, S. Quantification of anaerobic ammonium-oxidizing bacteria in enrichment cultures by real-time PCR. Water Res. 2007, 41, 785–794. [Google Scholar] [CrossRef] [PubMed]
- Huang, X.; Liu, C.; Wang, Z.; Gao, C.; Zhu, G.; Liu, L. Occurrence and distribution of veterinary antibiotics and tetracycline resistance genes in farmland soils around swine feedlots in Fujian Province, China. Environ. Sci. Pollut. Res. 2013, 20, 9066–9074. [Google Scholar] [CrossRef] [PubMed]
- Li, B.; Irvin, S. The comparison of alkalinity and ORP as indicators for nitrification and denitrification in a sequencing batch reactor (SBR). Biochem. Eng. J. 2007, 34, 248–255. [Google Scholar] [CrossRef]
- Sun, G.; Gray, K.R.; Biddlestone, A.J.; Allen, S.J.; Cooper, D.J. Effect of effluent recirculation on the performance of a reed bed system treating agricultural wastewater. Proc. Biochem. 2003, 39, 351–357. [Google Scholar] [CrossRef]
- Vymazal, J. Removal of nutrients in various types of constructed wetlands. Sci. Total Environ. 2007, 380, 48–65. [Google Scholar] [CrossRef] [PubMed]
- Rørslett, B.; Berge, D.; Johansen, S.W. Lake enrichment by submersed macrophytes: A Norwegian whole-lake experience with Elodea canadensis. Aquat. Bot. 1986, 26, 325–340. [Google Scholar] [CrossRef]
- Schot, P.P.; Wassen, M.J. Calcium concentrations in wetland groundwater in relation to water sources and soil conditions in the recharge area. J. Hydrol. 1993, 141, 197–217. [Google Scholar] [CrossRef]
- Mlh, B.; Wheeler, B.D. Vegetation patterns in spring-fed calcareous fens: Calcite precipitation and constraints on fertility. J. Ecol. 1989, 77, 597–609. [Google Scholar]
- Ayaz, S.Ç.; Aktaş, Ö.; Findik, N.; Akça, L.; Kınacı, C. Effect of recirculation on nitrogen removal in a hybrid constructed wetland system. Ecol. Eng. 2012, 40, 1–5. [Google Scholar] [CrossRef]
- Lavrova, S.; Koumanova, B. Influence of recirculation in a lab-scale vertical flow constructed wetland on the treatment efficiency of landfill leachate. Bioresour. Technol. 2010, 101, 1756–1761. [Google Scholar] [CrossRef] [PubMed]
- Abril, G.; Frankignoulle, M. Nitrogen–alkalinity interactions in the highly polluted scheldt basin (Belgium). Water Res. 2001, 35, 844–850. [Google Scholar] [CrossRef]
- Vymazal, J. The use constructed wetlands with horizontal sub-surface flow for various types of wastewater. Ecol. Eng. 2009, 35, 1–17. [Google Scholar] [CrossRef]
- Maltais-Landry, G.; Maranger, R.; Brisson, J.; Chazarenc, F. Nitrogen transformations and retention in planted and artificially aerated constructed wetlands. Water Res. 2009, 43, 535–545. [Google Scholar] [CrossRef] [PubMed]
- Tanner, C.C.; Kadlec, R.H. Oxygen flux implications of observed nitrogen removal rates in subsurface-flow treatment wetlands. Water Sci. Technol. A J. Int. Assoc. Water Pollut. Res. 2003, 48, 191–198. [Google Scholar]
- Erdirencelebi, D. Treatment of high-fat-containing dairy wastewater in a sequential UASBR system: Influence of recycle. J. Chem. Technol. Biotechnol. 2011, 86, 525–533. [Google Scholar] [CrossRef]
- Zhi, W.; Ji, G. Quantitative response relationships between nitrogen transformation rates and nitrogen functional genes in a tidal flow constructed wetland under C/N ratio constraints. Water Res. 2014, 64, 32–41. [Google Scholar] [CrossRef] [PubMed]
- Braker, G.; Zhou, J.; Wu, L.; Devol, A.H.; Tiedje, J.M. Nitrite reductase genes (nirK and nirS) as functional markers to investigate diversity of denitrifying bacteria in pacific northwest marine sediment communities. Appl. Environ. Microbiol. 2000, 66, 2096–2104. [Google Scholar] [CrossRef] [PubMed]
- Tambone, F.; Genevini, P.; Imporzano, G.; Adani, F. Assessing amendment properties of digestate by studying the organic matter composition and the degree of biological stability during the anaerobic digestion of the organic fraction of MSW. Bioresour. Technol. 2009, 100, 3140–3152. [Google Scholar] [CrossRef] [PubMed]
- Strous, M. Microbiology of anaerobic ammonium oxidation. Appl. Sci. 2000, 12, 349–360. [Google Scholar]






| Parameters | Influent |
|---|---|
| pH | 10.0 ± 0.5 |
| DO | 0.01 ± 0.01 |
| Temperature (°C) | 18 ± 2 |
| COD (mg/L) | 1311 ± 60 |
| NH4+-N (mg/L) | 264 ± 25 |
| NO2−-N (mg/L) | 1.2 ± 0.2 |
| NO3−-N (mg/L) | 0.7 ± 0.4 |
| TN (mg/L) | 266 ± 30 |
| Alkalinity (mg/L) | 2968 ± 215 |
| Name of Primers | Bacterial Group | Sequence | Amplified Length (bp) | Annealing Temperature (°C) | Ref. |
|---|---|---|---|---|---|
| nirK | Denitrifying bacterial | FlaCu: 5′-ATCATGGT(C/G)CTGCCGCG-3′ R3Cu: 5′-GCCTCGATCAG(A/G)TTGTGGTT-3′ | 472 | 60 | [19] |
| nirS | cd3aF: 5′-GT(C/G)AACGT(C/G)AAGGA(A/G)AC(C/G)GG-3′ R3cd: 5′-GA(C/G)TTCGG(A/G)TG(C/G)GTCTTGA-3′ | 425 | 58 | [19] | |
| AOB | Nitrifying bacterial | amoA-1F: 5′-GGGGTTTCTACTGGTGGT-3′ amoA-2R: 5′-CCCCTCKGSAAAGCCTTCTTC-3′ | 491 | 55 | [20] |
| AOA | Archaea | Arch-amoAF: 5′-STAATGGTCTGGCTTAGACG-3′ Arch-amoAR: 5′-GCGGCCATCCATCTGTATGT-3′ | 635 | 53 | [20] |
| Anammox | Anammox bacterial | AMX809F:5′-GCCGTAAACGATGGGCACT-3′ AMX1066R:5′-AACGTCTCACGACACGAGCTG-3′ | 258 | 60 | [21] |
| 16S r RNA | / | 1369-F: 5′-CGGTGAATACGTTCYCGG-3′ 1541-R:5′-AAGGAGGTGATCCRGCCGCA-3′ | 172 | 53 | [22] |
© 2016 by the authors; licensee MDPI, Basel, Switzerland. This article is an open access article distributed under the terms and conditions of the Creative Commons Attribution (CC-BY) license (http://creativecommons.org/licenses/by/4.0/).
Share and Cite
He, K.; Lv, T.; Wu, S.; Guo, L.; Ajmal, Z.; Luo, H.; Dong, R. Treatment of Alkaline Stripped Effluent in Aerated Constructed Wetlands: Feasibility Evaluation and Performance Enhancement. Water 2016, 8, 386. https://doi.org/10.3390/w8090386
He K, Lv T, Wu S, Guo L, Ajmal Z, Luo H, Dong R. Treatment of Alkaline Stripped Effluent in Aerated Constructed Wetlands: Feasibility Evaluation and Performance Enhancement. Water. 2016; 8(9):386. https://doi.org/10.3390/w8090386
Chicago/Turabian StyleHe, Keli, Tao Lv, Shubiao Wu, Luchen Guo, Zeeshan Ajmal, Hongzhen Luo, and Renjie Dong. 2016. "Treatment of Alkaline Stripped Effluent in Aerated Constructed Wetlands: Feasibility Evaluation and Performance Enhancement" Water 8, no. 9: 386. https://doi.org/10.3390/w8090386
APA StyleHe, K., Lv, T., Wu, S., Guo, L., Ajmal, Z., Luo, H., & Dong, R. (2016). Treatment of Alkaline Stripped Effluent in Aerated Constructed Wetlands: Feasibility Evaluation and Performance Enhancement. Water, 8(9), 386. https://doi.org/10.3390/w8090386

