Impact of Climate Change on Drought in the Upstream Yangtze River Region
Abstract
:1. Introduction
2. Materials and Methods
2.1. Study Area
2.2. Soil Moisture Content Simulation
2.3. Drought Event Recognition Based on SMAPI
2.3.1. Soil Moisture Anomaly Percentage Index (SMAPI)
2.3.2. Drought Event Recognition
2.4. Regional Climate Change Scenarios
- (1)
- Normalizing the differences between simulated (f) and observational (o) data based on the observed standard deviation (), which are expressed for model m, grid-point n:For model m, the errors in (2) form spatial patterns expressed as vector:where N is the number of grid-points in the regional domain.
- (2)
- Calculating the multi-model error pattern :where M is the number of models.
- (3)
- Removing the effect of and calculate the error vector :where indicates statistical standardization, and is the correlation between the mth model’s error filed and the . After the removal of , the correlation between model m error pattern and becomes zero.
- (4)
- Calculating the correlation coefficient matrix :
3. Results
3.1. Past Drought Event Recognition
3.2. Future Climate Change Assessment
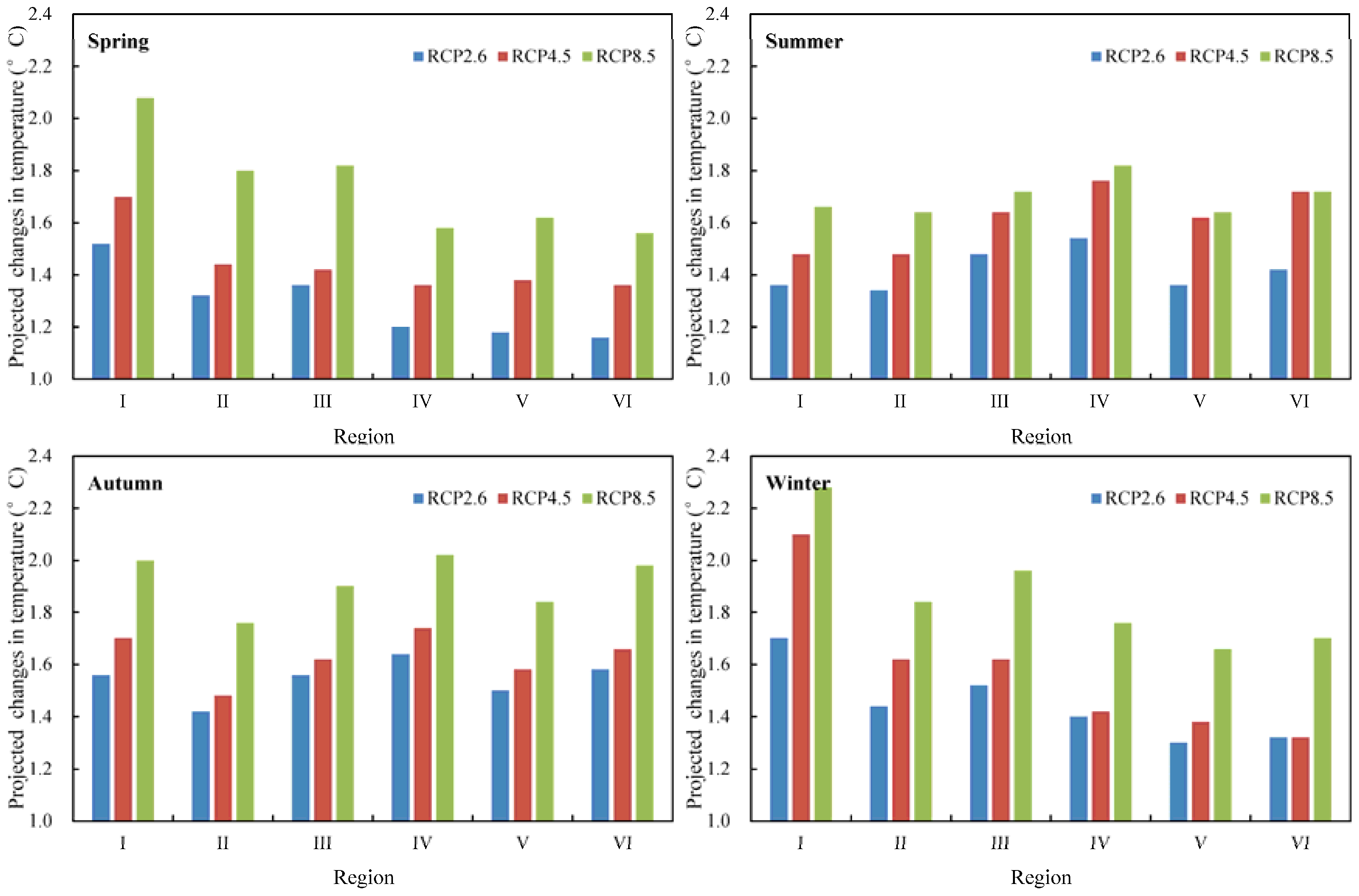
3.2.1. Projected Changes in Temperature
3.2.2. Precipitation Changes
3.3. Analysis on Drought Variation Characteristics under Future Climate Change
3.3.1. Projected Changes in Numbers of Drought Events
3.3.2. Projected Changes in Drought Duration
3.3.3. Projected Changes in Drought Areal Extent
3.3.4. Projected Changes in Drought Intensity
4. Discussion
5. Conclusions
- (1)
- The simulated soil moisture content based on variable infiltration capacity (VIC) model was applied to construct a recognition system for historical drought events. This can better reconstruct the occurrence, development, and termination processes for typical historical drought events in order to analyze the temporal and spatial variation patterns of drought events.
- (2)
- Compared with the baseline period, the projected changes in temperature are likely to increase from 1.4 °C to 1.8 °C by the 2030s, with a more significant increase in autumn and winter. The mean annual precipitation is likely to increase slightly by 0.6% to 1.3%. However, the seasonal mean precipitation would only increase under the RCP4.5 scenario by merely 0.8% in autumn. In spring, the mean seasonal precipitation increase differs in the subregions. In Regions III, IV, V, and VI, the precipitation is likely to decrease in summer and autumn. In Regions V and VI, the precipitation in winter could also be decreased.
- (3)
- The projected changes in drought frequency, duration, areal extent, intensity suggest that regional drought would become more severely prolonged and frequent by the 2030s. Seven to eight additional regional drought events are likely to happen and the drought duration could extend for 18 d to 25 d. The areas with shorter droughts often have a duration drop within 15 d. The drought area decreases by 1.3% to 2.7% on average. The regional drought intensity increases by 1.2% to 6.2%, with the greatest increase of over 10% in Region IV. The drought intensity increases for more than 80% of the study area, and the increase is over 30% in some localities.
Acknowledgments
Author Contributions
Conflicts of Interest
References
- EM-DAT. “Disaster Profiles”. Available online: http://www.emdat.be/disaster_profiles/index.html (accessed on 1 September 2015).
- The Intergovernmental Panel on Climate Change (IPCC). Climate Change 2013: The Physical Science Basis; Fifth Assessment Report of the Intergovernmental Panel on Climate Change; Cambridge University Press: Cambridge, UK, 2013. [Google Scholar]
- The Intergovernmental Panel on Climate Change (IPCC). Climate Change 2014: Impacts, Adaptation, and Vulnerability; Fifth Assessment Report of the Intergovernmental Panel on Climate Change; Cambridge University Press: Cambridge, UK, 2014. [Google Scholar]
- Dai, A. Drought under global warming: A review. WIREs Clim. Chang. 2010, 2, 45–65. [Google Scholar] [CrossRef]
- Wang, A.; Lettenmaier, D.P.; Sheffield, J. Soil moisture drought in China, 1950–2006. J. Clim. 2011, 24, 3257–3271. [Google Scholar] [CrossRef]
- Wang, H.S.; Rogers, J.C.; Munroe, D.K. Commonly used drought indices as indicators of soil moisture in China. J. Hydrometeorol. 2015, 16, 1397–1408. [Google Scholar] [CrossRef]
- Wu, Z.Y.; Lu, G.H.; Wen, L.; Lin, C.A.; Zhang, J.Y.; Yang, Y. Thirty-five year (1971–2005) simulation of daily soil moisture using the variable infiltration capacity model over China. Atmos. Ocean 2007, 45, 37–45. [Google Scholar] [CrossRef]
- Wen, L.; Lin, C.A.; Wu, Z.Y.; Lu, G.H.; Pomeroy, J.; Zhu, Y.F. Reconstructing sixty year (1950–2009) daily soil moisture over the Canadian Prairies using the Variable Infiltration Capacity model. Can. Water Resour. J. 2011, 36, 83–102. [Google Scholar] [CrossRef]
- Liang, X.; Lettenmaier, D.P.; Wood, E.F.; Burges, S.J. A simple hydrologically based model of land surface water and energy fluxes for general circulation models. J. Geophys. Res. 1994, 99, 415–428. [Google Scholar] [CrossRef]
- Liang, X.; Wood, E.F.; Lettenmaier, D.P. Surface soil moisture parameterization of the VIC-2L model: Evaluation and modification. Glob. Planet. Chang. 1996, 13, 195–206. [Google Scholar] [CrossRef]
- Andreadis, K.M.; Clark, E.A.; Wood, A.W.; Hamlet, A.F.; Lettenmaier, D.P. Twentieth-century drought in the conterminous United States. J. Hydrometeorol. 2005, 6, 985–1001. [Google Scholar] [CrossRef]
- Wu, Z.Y.; Lu, G.H.; Wen, L.; Lin, C.A. Reconstructing and analyzing China’s fifty-nine year (1951–2009) drought history using hydrological model simulation. Hydrol. Earth Syst. Sci. 2011, 15, 2881–2894. [Google Scholar] [CrossRef]
- Byun, H.R.; Wilhite, D.A. Objective quantification of drought severity and duration. J. Clim. 1999, 12, 2747–2756. [Google Scholar] [CrossRef]
- Knutti, R.; Furrer, R.; Tebaldi, C.; Cermak, J.; Meehl, G.A. Challenges in combining projections from multiple models. J. Clim. 2010, 23, 2739–2758. [Google Scholar] [CrossRef]
- Doblas-Reyes, F.J.; Pavan, V.; Stephenson, D.B. The skill of multi-model seasonal forecasts of the wintertime North Atlantic Oscillation. Clim. Dyn. 2003, 21, 501–514. [Google Scholar] [CrossRef]
- Thomson, M.C.; Doblas-Reyes, F.J.; Mason, S.J.; Hagedorn, R.; Connor, S.J.; Phindela, T.; Morse, A.P.; Palmer, T.N. Malaria early warnings based on seasonal climate forecasts from multi-model ensembles. Nature 2006, 439, 576–579. [Google Scholar] [CrossRef] [PubMed]
- Knutti, R.; Masson, D.; Gettelman, A. Climate model genealogy: Generation CMIP5 and how we got there. Geophys. Res. Lett. 2013, 40, 1194–1199. [Google Scholar] [CrossRef]
- Masson, D.; Knutti, R. Climate model genealogy. Geophys. Res. Lett. 2011, 38, 167–177. [Google Scholar] [CrossRef]
- Abramowitz, G. Model independence in multi-model ensemble prediction. Aust. Meteorol. Ocean. 2010, 59, 3–6. [Google Scholar]
- Feng, Y.W.; Ren, G.Y.; Liu, Z.Y.; Wu, J.D.; Zhang, L. Rainfall and runoff trends in upper Yangtze River. Res. Sci. 2013, 37, 63–67. (In Chinese) [Google Scholar]
- Zhao, Z.C.; Luo, Y.; Huang, J.B. A review on evaluation of climate modeling. Adv. Clim. Chang. Res. 2013, 9, 1–8. (In Chinese) [Google Scholar]
- Zhang, N.; Xia, Z.Q.; Zhang, S.F.; Jiang, H. Temporal and spatial characteristics of precipitation and droughts in the upper reaches of the Yangtze River basin (China) in recent five decades. J. Hydroinform. 2012, 14, 221–235. [Google Scholar] [CrossRef]
- Hong, X.; Guo, S.; Zhou, Y.; Xiong, L.H. Uncertainties in assessing hydrological drought using streamflow drought index for the upper Yangtze River basin. Stoch. Environ. Res. Risk Assess. 2015, 29, 1235–1247. [Google Scholar] [CrossRef]
- Xu, J.J.; Yang, D.W. New model for drought estimation and prediction based on distributed hydrological simulation. J. Hydraul. Eng. 2010, 41, 739–747. (In Chinese) [Google Scholar]
- Hansen, M.C.; Defries, R.S.; Townshend, J.R.G.; Sohlberg, R. Global land cover classification at 1 km spatial resolution using a classification tree approach. Int. J. Remote Sens. 2000, 21, 1331–1364. [Google Scholar] [CrossRef]
- Reynolds, C.A.; Jackson, T.J.; Rawls, W.J. Estimating soil water-holding capacities by linking the Food and Agriculture Organization Soil map of the world with global pedon databases and continuous pedotransfer functions. Water Resour. Res. 2000, 36, 3653–3662. [Google Scholar] [CrossRef]
- Rosenbrock, H.H. An automatic method for finding the greater or least value of a function. Comput. J. 1960, 3, 175–184. [Google Scholar] [CrossRef]
- Pennell, C.; Reichler, T. On the effective number of climate models. J. Clim. 2011, 24, 2358–2367. [Google Scholar] [CrossRef]
- Lenderink, G.; Buishand, A.; Wvan, D. Estimates of future discharges of the river Rhine using two scenario methodologies: Direct versus delta approach. Hydrol. Earth Syst. Sci. 2007, 11, 1145–1159. [Google Scholar] [CrossRef]
- Wood, A.W.; Maurer, E.P.; Kumar, A.; Lettenmaier, D.P. Long-range experimental hydrologic forecasting for the eastern United States. J. Geophys. Res. 2002, 107, 4429. [Google Scholar] [CrossRef]
- Raff, D.A.; Pruitt, T.; Brekke, L.D. A framework for assessing flood frequency based on climate projection information. Hydrol. Earth Syst. Sci. 2009, 13, 2119–2136. [Google Scholar] [CrossRef]
- Wang, S.P.; Duan, H.X.; Feng, J.Y. China drought effect and causes analysis in 2011. J. Arid Meteorol. 2012, 30, 136–147. (In Chinese) [Google Scholar]
- Leng, G.; Tang, Q.; Rayburg, S. Climate change impacts on meteorological, agricultural and hydrological droughts in China. Glob. Planet. Chang. 2015, 126, 23–34. [Google Scholar] [CrossRef]
- Kay, A.L.; Davies, H.N.; Bell, V.A.; Jones, R.G. Comparison of uncertainty sources for climate change impacts: Flood frequency in England. Clim. Chang. 2009, 92, 41–63. [Google Scholar] [CrossRef]
- Seo, S.B.; Kim, Y.O.; Kim, C.R. A new way for incorporating GCM information into water shortage projections. Water 2015, 7, 2435–2450. [Google Scholar] [CrossRef]








| Station | River | Drainage Area (km2) | Longitude | Latitude | Period (Year) | Re (%) | R2D | R2M |
|---|---|---|---|---|---|---|---|---|
| Shigu | Jinsha River | 232,651 | 99°56′ | 26°54′ | 1980–2000 | −6.0 | 0.84 | 0.89 |
| Daofu | Yalong River | 14,465 | 101°04′ | 31°02′ | 1998–2007 | −2.0 | 0.82 | 0.87 |
| Zhenjiangguan | Mintuo River | 4486 | 103°44′ | 32°18′ | 1980–2000 | −13.0 | 0.73 | 0.79 |
| Beibei | Jialing River | 156,142 | 106°25′ | 29°51′ | 1994–2000 | 21.7 | 0.79 | 0.90 |
| Bazhong | Qu River | 2732 | 106°44′ | 31°53′ | 1980–1993 | 8.0 | 0.60 | 0.83 |
| Maoba | Qu River | 1428 | 107°45′ | 31°37′ | 1980–2000 | −16.2 | 0.73 | 0.89 |
| Donglin | Qu River | 6462 | 107°41′ | 31°17′ | 1980–2000 | −9.0 | 0.63 | 0.86 |
| Chishui | Yangtze River | 16,622 | 105°41′ | 28°35′ | 1997–2008 | −6.0 | 0.64 | 0.82 |
| Yichang | Yangtze River | 1,005,501 | 111°17′ | 30°42′ | 1980–2000 | −6.1 | 0.94 | 0.97 |
| Category | SMAPI | Average Frequency |
|---|---|---|
| extreme drought | ≤−50% | 0.005 |
| severe drought | −50% to −30% | 0.020 |
| moderate drought | −30% to −15% | 0.100 |
| mild drought | −15% to −5% | 0.200 |
| near normal | −5% to 5% | 0.350 |
| slightly wet | 5% to 15% | 0.200 |
| moderately wet | 15% to 30% | 0.100 |
| very wet | 30% to 50% | 0.020 |
| extremely wet | >50% | 0.005 |
| Number | Organization | Climate Model | Resolution |
|---|---|---|---|
| A1 | Commonwealth Scientific and Industrial Research Organization (CSIRO) and Bureau of Meteorology (BOM), Australia | ACCESS1.0 | 192 × 145 |
| A2 | ACCESS1.3 | 192 × 145 | |
| B1 | Beijing Climate Center, China Meteorological Administration, China | BCC-CSM1.1 | 128 × 64 |
| B2 | BCC-CSM1.1(m) | 320 × 160 | |
| C | College of Global Change and Earth System Science, Beijing Normal University, China | BNU-ESM | 128 × 64 |
| D1 | Canadian Centre for Climate Modelling and Analysis, Canada | CanESM2 | 128 × 64 |
| D2 | CanCM4 | 128 × 64 | |
| E | National Center for Atmospheric Research, USA | CCSM4 | 288 × 192 |
| F1 | Community Earth System Model Contributors, USA | CESM1(BGC) | 288 × 192 |
| F2 | CESM1(CAM5) | 288 × 192 | |
| F3 | CESM1(FASTCHEM) | 288 × 192 | |
| F4 | CESM1(WACCM) | 144 × 96 | |
| G1 | Centro Euro-Mediterraneo per I Cambiamenti Climatici, Italy | CMCC-CESM | 96 × 48 |
| G2 | CMCC-CM | 480 × 240 | |
| G3 | CMCC-CMS | 192 × 96 | |
| H | Centre National de Recherches Météorologiques/Centre Européen de Recherche et Formation Avancée en Calcul Scientifique, France | CNRM-CM5 | 256 × 128 |
| I | Commonwealth Scientific and Industrial Research Organization in collaboration with Queensland Climate Change Centre of Excellence, Australia | CSIRO-Mk3.6.0 | 192 × 96 |
| J | EC-EARTH consortium | EC-EARTH | 320 × 160 |
| K | LASG, Institute of Atmospheric Physics, Chinese Academy of Sciences and CESS, Tsinghua University, China | FGOALS-g2 | 128 × 60 |
| L | LASG, Institute of Atmospheric Physics, Chinese Academy of Sciences, China | FGOALS-s2 | 128 × 108 |
| M | The First Institute of Oceanography, SOA, China | FIO-ESM | 128 × 64 |
| N1 | NOAA Geophysical Fluid Dynamics Laboratory, USA | GFDL-CM2p1 | 144 × 90 |
| N2 | GFDL-CM3 | 144 × 90 | |
| N3 | GFDL-ESM2G | 144 × 90 | |
| N4 | GFDL-ESM2M | 144 × 90 | |
| O1 | NASA Goddard Institute for Space Studies, USA | GISS-E2-H | 144 × 90 |
| O2 | GISS-E2-H-CC | 144 × 90 | |
| O3 | GISS-E2-R | 144 × 90 | |
| O4 | GISS-E2-R-CC | 144 × 90 | |
| P | National Institute of Meteorological Research/Korea Meteorological Administration, South Korea | HadGEM2-AO | 192 × 145 |
| Q1 | Met Office Hadley Centre (additional HadGEM2-ES realizations contributed by Instituto Nacional de Pesquisas Espaciais), UK | HadCM3 | 96 × 73 |
| Q2 | HadGEM2-CC | 192 × 145 | |
| Q3 | HadGEM2-ES | 192 × 145 | |
| R | Institute for Numerical Mathematics, Russia | INM-CM4 | 180 × 120 |
| S1 | Institut Pierre-Simon Laplace, France | IPSL-CM5A-LR | 96 × 96 |
| S2 | IPSL-CM5A-MR | 144 × 143 | |
| S3 | IPSL-CM5B-LR | 96 × 96 | |
| T1 | Japan Agency for Marine-Earth Science and Technology, Atmosphere and Ocean Research Institute (The University of Tokyo), and National Institute for Environmental Studies, Japan | MIROC-ESM | 128 × 64 |
| T2 | MIROC-ESM-CHEM | 128 × 64 | |
| U1 | Atmosphere and Ocean Research Institute (The University of Tokyo), National Institute for Environmental Studies, and Japan Agency for Marine-Earth Science and Technology, Japan | MIROC4h | 640 × 320 |
| U2 | MIROC5 | 256 × 128 | |
| V1 | Max-Planck-Institut für Meteorologie (Max Planck Institute for Meteorology), Germany | MPI-ESM-MR | 192 × 96 |
| V2 | MPI-ESM-LR | 192 × 96 | |
| V3 | MPI-ESM-P | 192 × 96 | |
| W | Meteorological Research Institute, Japan | MRI-CGCM3 | 320 × 160 |
| X1 | Norwegian Climate Centre, Norway | NorESM1-M | 144 × 96 |
| X2 | NorESM1-ME | 144 × 96 |
| Regions | Total Drought Events | First Ranking | Second Ranking | Third Ranking | ||||||
|---|---|---|---|---|---|---|---|---|---|---|
| T1/T2 | D (d) | A (%) | T1/T2 | D (d) | A (%) | T1/T2 | D (d) | A (%) | ||
| I | 12 | 09/07/1994 | 141 | 59.1 | 11/08/1984 | 123 | 66.2 | 29/04/1966 | 97 | 65.0 |
| 21/11/1994 | 11/12/1984 | 03/08/1966 | ||||||||
| II | 19 | 07/12/2009 | 264 | 54.6 | 28/10/2012 | 171 | 50.2 | 17/02/1969 | 145 | 67.3 |
| 27/06/2010 | 16/04/2013 | 11/07/1969 | ||||||||
| III | 9 | 19/08/1997 | 105 | 55.6 | 06/03/1969 | 101 | 66.6 | 08/08/2011 | 86 | 55.1 |
| 01/12/1997 | 14/06/1969 | 01/11/2011 | ||||||||
| IV | 18 | 20/07/1997 | 161 | 70.1 | 30/05/2006 | 124 | 67.2 | 08/08/1957 | 109 | 63.6 |
| 27/12/1997 | 30/09/2006 | 24/11/1957 | ||||||||
| V | 21 | 16/08/2009 | 290 | 68.0 | 01/08/2003 | 128 | 71.5 | 27/10/1988 | 120 | 64.3 |
| 01/06/2010 | 06/12/2003 | 23/02/1989 | ||||||||
| VI | 20 | 05/07/2001 | 107 | 65.8 | 29/06/2011 | 95 | 69.1 | 09/08/1997 | 95 | 70.0 |
| 19/10/2001 | 01/10/2011 | 11/11/1997 | ||||||||
| Areal | 12 | 04/03/1969 | 124 | 51.3 | 23/07/1997 | 113 | 50.6 | 01/09/2009 | 111 | 42.3 |
| 05/07/1969 | 12/11/1997 | 20/12/2009 | ||||||||
| Emission Scenario | Climate Model | Annual | Spring | Summer | Autumn | Winter |
|---|---|---|---|---|---|---|
| RCP2.6 | BCC-CSM1.1(m) | 1.3 | 1.3 | 1.4 | 1.4 | 1.1 |
| GISS-E2-R | 1.0 | 1.1 | 0.9 | 1.1 | 0.9 | |
| HadGEM2-ES | 2.0 | 1.8 | 1.9 | 2.1 | 2.2 | |
| IPSL-CM5A-LR | 1.6 | 1.3 | 1.5 | 1.9 | 1.8 | |
| MPI-ESM-MR | 1.3 | 1.1 | 1.3 | 1.2 | 1.5 | |
| RCP4.5 | BCC-CSM1.1(m) | 1.6 | 1.9 | 1.7 | 1.5 | 1.3 |
| GISS-E2-R | 1.2 | 1.2 | 1.2 | 1.1 | 1.4 | |
| HadGEM2-ES | 1.8 | 1.6 | 1.7 | 2.0 | 2.0 | |
| IPSL-CM5A-LR | 1.7 | 1.3 | 1.7 | 2.0 | 1.9 | |
| MPI-ESM-MR | 1.5 | 1.3 | 1.5 | 1.6 | 1.6 | |
| RCP8.5 | BCC-CSM1.1(m) | 1.6 | 1.9 | 1.6 | 1.6 | 1.4 |
| GISS-E2-R | 1.6 | 1.4 | 1.4 | 1.6 | 1.8 | |
| HadGEM2-ES | 2.0 | 1.9 | 2.0 | 2.2 | 1.9 | |
| IPSL-CM5A-LR | 2.2 | 2.1 | 1.9 | 2.4 | 2.5 | |
| MPI-ESM-MR | 1.7 | 1.7 | 1.5 | 1.7 | 1.9 |
| Emission Scenario | Climate Model | Annual | Spring | Summer | Autumn | Winter |
|---|---|---|---|---|---|---|
| RCP2.6 | BCC-CSM1.1(m) | 0.8 | 7.5 | 2.1 | −7.0 | 3.1 |
| GISS-E2-R | −0.9 | 1.2 | −1.0 | −3.1 | 4.2 | |
| HadGEM2-ES | 2.9 | 3.1 | 3.2 | 2.0 | 3.5 | |
| IPSL-CM5A-LR | 3.4 | 4.8 | 0.0 | 8.3 | 6.1 | |
| MPI-ESM-MR | 0.1 | 2.3 | 0.7 | −2.6 | 3.4 | |
| RCP4.5 | BCC-CSM1.1(m) | −1.3 | 1.7 | −3.9 | 2.4 | −6.7 |
| GISS-E2-R | −0.3 | 4.7 | −2.1 | 0.1 | 1.8 | |
| HadGEM2-ES | 0.1 | 2.4 | −0.1 | −1.8 | 3.8 | |
| IPSL-CM5A-LR | 3.5 | 8.2 | −0.5 | 6.3 | 13.0 | |
| MPI-ESM-MR | 1.2 | 12.4 | −0.4 | −3.0 | 3.4 | |
| RCP8.5 | BCC-CSM1.1(m) | 0.6 | 1.2 | 2.0 | −1.5 | −2.3 |
| GISS-E2-R | 0.3 | 5.3 | −0.1 | −3.5 | 5.3 | |
| HadGEM2-ES | −0.2 | 2.4 | −0.3 | −1.9 | 0.7 | |
| IPSL-CM5A-LR | 2.9 | 4.6 | 1.2 | 4.1 | 3.5 | |
| MPI-ESM-MR | 2.9 | 6.0 | 4.7 | −2.6 | 1.4 |
| Emission Scenario | Regions | BCC-CSM1.1(m) | GISS-E2-R | HadGEM2-ES | IPSL-CM5A-LR | MPI-ESM-MR |
|---|---|---|---|---|---|---|
| RCP2.6 | I | 7 | 2 | 6 | −3 | 9 |
| II | −1 | 0 | 11 | 7 | 9 | |
| III | 9 | 7 | 3 | −2 | 2 | |
| IV | 5 | 12 | 6 | 8 | 1 | |
| V | 2 | 7 | 1 | 1 | 5 | |
| VI | 4 | 9 | 2 | 5 | 3 | |
| Areal | 5 | 11 | 9 | 10 | 7 | |
| RCP4.5 | I | 6 | −1 | 6 | −5 | 6 |
| II | 0 | 4 | 9 | 0 | 10 | |
| III | 7 | 5 | 7 | 1 | 5 | |
| IV | 9 | 5 | 4 | 5 | 0 | |
| V | 5 | 9 | 7 | −1 | 5 | |
| VI | 5 | 5 | 4 | 5 | 3 | |
| Areal | 9 | 9 | 7 | 6 | 9 | |
| RCP8.5 | I | 7 | 2 | 6 | −2 | 4 |
| II | 4 | 4 | 14 | 9 | 7 | |
| III | 7 | 6 | 3 | 4 | 3 | |
| IV | 4 | 5 | 4 | 12 | 1 | |
| V | 5 | 11 | 6 | 11 | 2 | |
| VI | 10 | 8 | 3 | 9 | 2 | |
| Areal | 8 | 9 | 5 | 9 | 6 |
| Emission Scenario | Regions | BCC-CSM1.1(m) | GISS-E2-R | HadGEM2-ES | IPSL-CM5A-LR | MPI-ESM-MR |
|---|---|---|---|---|---|---|
| RCP2.6 | I | 11 | −1 | −25 | −7 | 26 |
| II | 50 | −1 | 1 | 14 | −2 | |
| III | 19 | 22 | 39 | 39 | −14 | |
| IV | 43 | 0 | −5 | −16 | −18 | |
| V | 47 | 24 | −5 | 34 | 18 | |
| VI | 35 | 12 | −13 | 4 | 13 | |
| Areal | 58 | 16 | 9 | 17 | 3 | |
| RCP4.5 | I | 21 | −3 | −28 | −17 | 30 |
| II | 33 | 10 | 10 | 32 | −5 | |
| III | 2 | 24 | 22 | 11 | 5 | |
| IV | 13 | −15 | 2 | 6 | 2 | |
| V | 40 | 27 | 5 | 5 | 7 | |
| VI | 23 | 33 | -12 | -9 | 8 | |
| Areal | 20 | 26 | 12 | 20 | 15 | |
| RCP8.5 | I | 22 | −23 | −32 | 16 | 28 |
| II | 2 | 11 | 13 | 42 | 0 | |
| III | 4 | 17 | 22 | 23 | 4 | |
| IV | 18 | 7 | −2 | 4 | 2 | |
| V | 33 | 28 | 12 | 10 | 21 | |
| VI | 5 | 20 | 15 | 4 | 17 | |
| Areal | 13 | 23 | 14 | 63 | 14 |
| Emission Scenario | Regions | BCC-CSM1.1(m) | GISS-E2-R | HadGEM2-ES | IPSL-CM5A-LR | MPI-ESM-MR |
|---|---|---|---|---|---|---|
| RCP2.6 | I | 1.6 | −3.2 | 3.0 | 2.6 | 14.1 |
| II | 4.8 | 12.8 | 5.6 | −3.7 | −6.1 | |
| III | −7.2 | 4.1 | 31.2 | −11.3 | 17.6 | |
| IV | −15.3 | −3.5 | −11.0 | −0.4 | 1.4 | |
| V | 8.5 | −2.1 | 1.0 | 2.3 | −3.6 | |
| VI | 7.5 | 5.4 | 8.3 | 2.0 | 2.9 | |
| Areal | 0.8 | −11.1 | 3.2 | −4.4 | 3.9 | |
| RCP4.5 | I | −0.6 | 2.1 | 3.5 | 5.3 | 18.8 |
| II | 2.9 | 11.1 | 8.9 | −5.0 | −4.9 | |
| III | 7.4 | 5.7 | 22.5 | −15.1 | 10.3 | |
| IV | −4.0 | −3.6 | −9.3 | 10.5 | 1.6 | |
| V | 6.5 | 0.7 | 11.8 | 9.0 | 7.4 | |
| VI | 1.4 | 3.4 | −0.9 | 0.5 | 7.8 | |
| Areal | 4.2 | −10.7 | −0.4 | −9.0 | 9.2 | |
| RCP8.5 | I | 2.4 | −10.3 | 3.1 | 1.3 | 18.3 |
| II | 1.1 | 7.0 | 2.9 | −2.2 | −6.6 | |
| III | 3.1 | 6.7 | 32.4 | −10.4 | 17.0 | |
| IV | −7.7 | 2.0 | −10.5 | 5.7 | 0.0 | |
| V | 1.7 | −9.2 | 21.0 | 7.1 | 4.0 | |
| VI | 1.1 | 0.6 | 33.2 | 9.2 | 4.3 | |
| Areal | 3.6 | −10.0 | −9.7 | −4.4 | 7.1 |
| Emission Scenario | Regions | BCC-CSM1.1(m) | GISS-E2-R | HadGEM2-ES | IPSL-CM5A-LR | MPI-ESM-MR |
|---|---|---|---|---|---|---|
| RCP2.6 | I | 12.3 | −3.9 | −3.0 | 15.4 | 9.3 |
| II | 8.7 | −1.5 | 17.2 | −8.3 | −1.2 | |
| III | 2.9 | −0.8 | 13.1 | 12.3 | −4.0 | |
| IV | −8.5 | 7.7 | −3.7 | 3.1 | 5.5 | |
| V | 4.3 | 4.6 | −8.1 | 18.7 | 10.4 | |
| VI | 2.5 | 10.6 | 43.0 | 9.8 | 1.4 | |
| Areal | 1.6 | 0.4 | 11.2 | 0.9 | −1.2 | |
| RCP4.5 | I | 26.2 | 4.9 | −0.2 | −2.1 | 8.5 |
| II | 2.1 | 15.3 | 9.5 | −8.7 | 0.1 | |
| III | 17.2 | 1.2 | 6.2 | 7.2 | 6.5 | |
| IV | 4.3 | 8.4 | −5.3 | 22.5 | 20.8 | |
| V | 14.1 | 6.5 | −5.7 | 21.5 | 26.1 | |
| VI | 8.6 | 8.3 | 44.6 | 15.5 | 20.0 | |
| Areal | 9.7 | 6.1 | 12.5 | 0.6 | 2.3 | |
| RCP8.5 | I | 13.7 | −4.2 | −2.2 | 10.2 | 10.7 |
| II | −3.7 | 0.4 | 12.4 | -6.6 | −0.8 | |
| III | 7.5 | −4.6 | 4.7 | 2.4 | −6.1 | |
| IV | 3.1 | 15.3 | −1.0 | 2.1 | −3.8 | |
| V | −1.1 | −7.2 | 4.0 | 15.6 | 7.9 | |
| VI | −2.0 | 8.0 | 43.1 | 9.9 | 11.3 | |
| Areal | 1.2 | 3.0 | 5.0 | 0.7 | −3.9 |
© 2016 by the authors; licensee MDPI, Basel, Switzerland. This article is an open access article distributed under the terms and conditions of the Creative Commons Attribution (CC-BY) license (http://creativecommons.org/licenses/by/4.0/).
Share and Cite
Lu, G.; Wu, H.; Xiao, H.; He, H.; Wu, Z. Impact of Climate Change on Drought in the Upstream Yangtze River Region. Water 2016, 8, 576. https://doi.org/10.3390/w8120576
Lu G, Wu H, Xiao H, He H, Wu Z. Impact of Climate Change on Drought in the Upstream Yangtze River Region. Water. 2016; 8(12):576. https://doi.org/10.3390/w8120576
Chicago/Turabian StyleLu, Guihua, Hongwei Wu, Heng Xiao, Hai He, and Zhiyong Wu. 2016. "Impact of Climate Change on Drought in the Upstream Yangtze River Region" Water 8, no. 12: 576. https://doi.org/10.3390/w8120576
APA StyleLu, G., Wu, H., Xiao, H., He, H., & Wu, Z. (2016). Impact of Climate Change on Drought in the Upstream Yangtze River Region. Water, 8(12), 576. https://doi.org/10.3390/w8120576

