Spatial and Temporal Distribution of Soil Moisture at the Catchment Scale Using Remotely-Sensed Energy Fluxes
Abstract
:1. Introduction
2. Materials and Methods
2.1. Study Areas

2.1.1. The Nestos River
2.1.2. Rijnland
2.1.3. The Tamega River
2.2. Data and Pre-Processing
- MODIS surface reflectance (MOD09Q1, MOD09A1) provides an estimate of the surface spectral reflectance at a 250- and a 500-m spatial resolution, as would have been measured at ground level in the absence of atmospheric scattering or absorption.
- MODIS global land surface temperature (LST) and emissivity (MOD11A2) are estimated using the split-window technique on the thermal bands of MODIS at a 1-km spatial resolution.
| Parameter Name | Unit |
|---|---|
| Surface downward short wave flux | (W/m2) |
| 2 m relative humidity | (%) |
| 2 m temperature | (K) |
| 10 m u wind (zonal component) | (m/s) |
| 10 m v wind (meridional component) | (m/s) |
2.3. Methods for Estimating Soil Moisture with Thermal Infrared Satellite Images
3. Results and Discussion
3.1. Spatial Patterns of Soil Moisture
| Land cover | Nestos | Rijnland | Tamega |
|---|---|---|---|
| Rainfed crops | 0.11/0.05 a | 0.22/0.09 a | 0.10/0.04 a |
| Irrigated crops | 0.16/0.08 b | n/a | 0.16/0.07 b |
| Broadleaved forests | 0.20/0.06 c | 0.18/0.07 b | 0.15/0.07 b |
| Coniferous forests | 0.22/0.07 c | 0.18/0.06 b | 0.12/0.03 c |
| Shrubs | 0.15/0.05 b | n/a | 0.11/0.05 a |
| Pastures | 0.11/0.06 a | 0.20/0.07 a | 0.12/0.06 c |
| Soil Texture | Nestos | Rijnland | Tamega |
|---|---|---|---|
| Fine | 0.19/0.06 a | 0.23/0.11 a | n/a |
| Medium | 0.18/0.07 b | 0.22/0.09 b | 0.13/0.06 |
| Coarse | 0.16/0.06 c | 0.18/0.07 c | n/a |

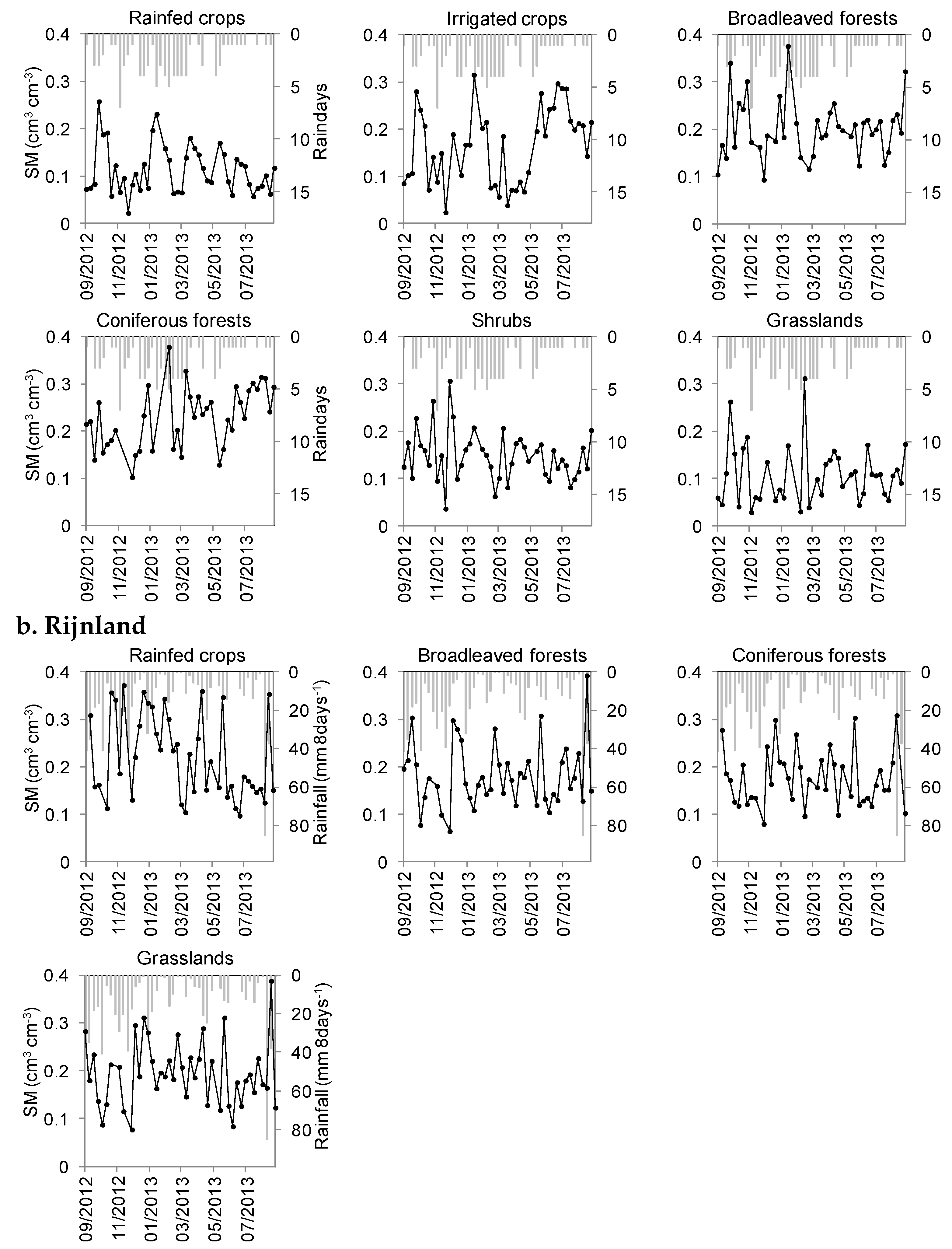
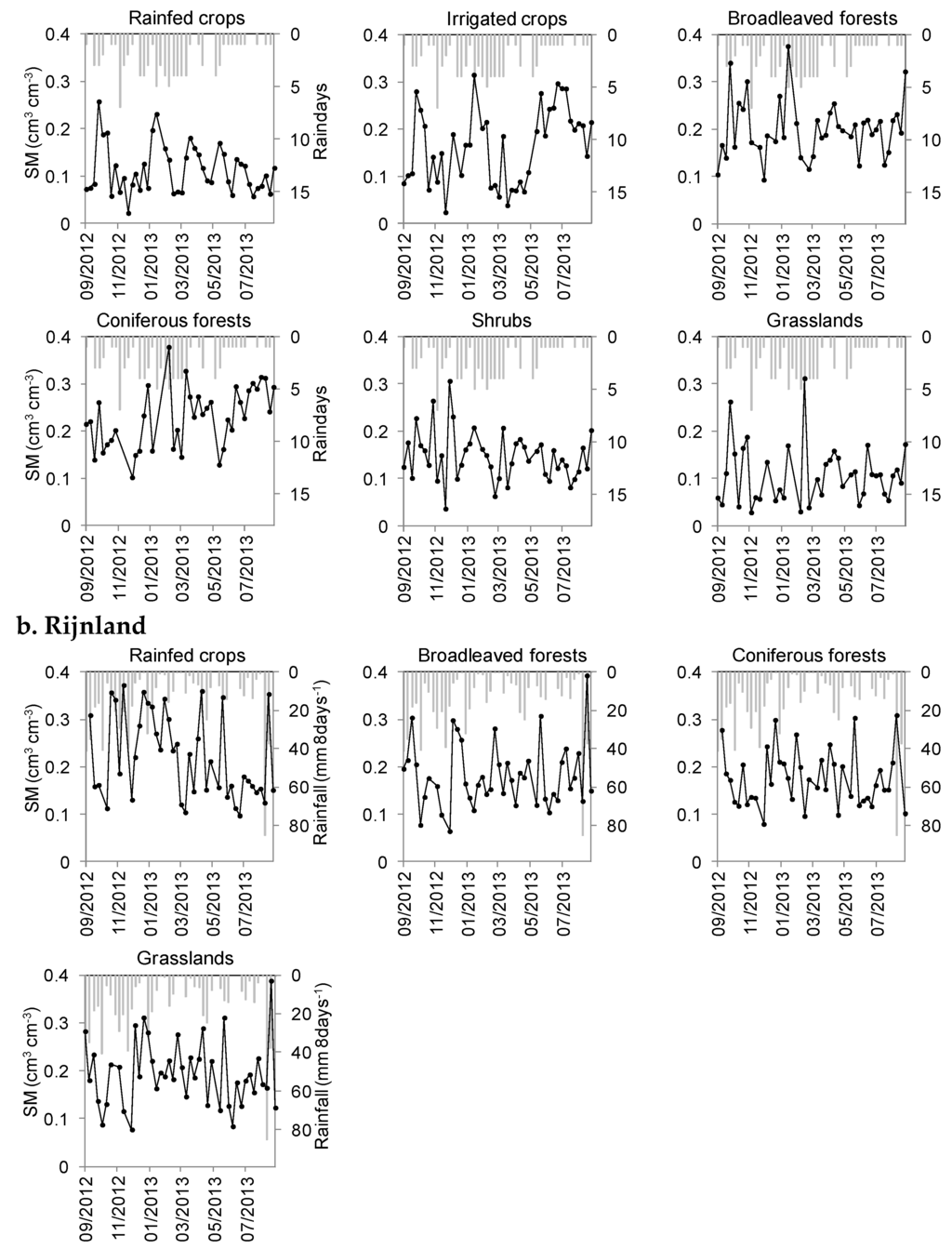
3.2. Temporal Dynamics of Soil Moisture


3.3. Validation and Analysis of Environmental Parameters
| Study Area | Date of Field Survey | Count | r | RMSE (cm3·cm−3) | Mean difference (cm3·cm−3) |
|---|---|---|---|---|---|
| Nestos | 13–15 July 2011 | 20 | 0.62 * | 0.037 | 0.004 |
| Nestos | 3–5 November 2012 | 22 | 0.36 | 0.041 | 0.057 ** |
| Nestos | 9–10 April 2013 | 27 | - | 0.055 | 0.043 * |
| Nestos | 2–3 July 2013 | 24 | 0.42 * | 0.039 | −0.042 ** |
| Rijnland | 17–19 July 2012 | 17 | 0.37 | 0.076 | 0.061 ** |
| Rijnland | 26–29 June 2013 | 25 | 0.31 | 0.087 | 0.091 ** |
| Rijnland | 23–26 September 2013 | 22 | 0.52 * | 0.086 | 0.039 |
| Tamega | 26–29 September 2011 | 28 | 0.43 * | 0.015 | −0.062 ** |
| Tamega | 20–23 May 2013 | 38 | 0.31 | 0.023 | 0.044 ** |
| Tamega | 2–5 September 2013 | 38 | - | 0.024 | −0.070 ** |
| Study Area | Date of Field Survey | Temporal Difference | Rain Event | Location Heterogeneity |
|---|---|---|---|---|
| Nestos | 13–15 July 2011 | 0.389 | - | 0.618 |
| Rijnland | 17–19 July 2012 | 0.003 * | 0.023 * | 0.712 |
| Tamega | 26–29 September 2011 | 0.026 * | 0.114 | 0.501 |
4. Discussion
5. Summary and Conclusions
Acknowledgments
Author Contributions
Conflicts of Interest
References
- Wagner, W.; Bloschl, G.; Pampaloni, P.; Calvet, J.C.; Bizzarri, B.; Wigneron, J.P.; Kerr, Y. Operational readiness of microwave remote sensing of soil moisture for hydrologic applications. Nord. Hydrol. 2007, 38, 1–20. [Google Scholar] [CrossRef]
- Ottlé, C.; Vidal-Madjar, D. Assimilation of soil moisture inferred from infrared remote sensing in a hydrological model over the hapex-mobilhy region. J. Hydrol. 1994, 158, 241–264. [Google Scholar] [CrossRef]
- Song, Y.; Hartanto, I.M.; Alexandridis, T.; van Andel, S.J.; Solomatine, D.P. Frequency analysis of earth observation and hydrological model evapotranspiration and soil moisture. In Geophysical Research Abstracts; EGU2014-15887; European Geosciences Union General Assembly: Vienna, Austria, 2014. [Google Scholar]
- Hartanto, I.M. Merging earth observation data, weather predictions, in-situ measurements, and hydrological models, for water information services. Environ. Eng. Manag. J. 2015, 14, 2031–2042. [Google Scholar]
- NOAA-SSM/I. National Oceanic and Atmospheric Administration (NOAA) Special Sensor Microwave/Imager (Ssm/I) Product. Available online: http://www.osdpd.noaa.gov/ml/spp/sharedprocessing.html#SM (accessed on 13 March 2015).
- SMOS-ESA. Soil Moisture Ocean Salinity (SMOS) Mission. Available online: https://earth.esa.int/web/guest/missions/esa-operational-eo-missions/smos (accessed on 13 March 2015).
- Bartalis, Z.; Wagner, W.; Naeimi, V.; Hasenauer, S.; Scipal, K.; Bonekamp, H.; Figa, J.; Anderson, C. Initial soil moisture retrievals from the metop—A advanced scatterometer (ASCAT). Geophys. Res. Lett. 2007, 34. [Google Scholar] [CrossRef]
- Sánchez-Ruiz, S.; Piles, M.; Sánchez, N.; Martínez-Fernández, J.; Vall-llossera, M.; Camps, A. Combining smos with visible and near/shortwave/thermal infrared satellite data for high resolution soil moisture estimates. J. Hydrol. 2014, 516, 273–283. [Google Scholar] [CrossRef]
- Fang, B.; Lakshmi, V. Soil moisture at watershed scale: Remote sensing techniques. J. Hydrol. 2014, 516, 258–272. [Google Scholar] [CrossRef]
- Oh, Y.; Sarabandi, K.; Ulaby, F.T. An empirical model and an inversion technique for radar scattering from bare soil surfaces. IEEE Trans. Geosci. Remote Sens. 1992, 30, 370–381. [Google Scholar] [CrossRef]
- Fung, A.K.; Li, Z.; Chen, K.S. Backscattering from a randomly rough dielectric surface. IEEE Trans. Geosci. Remote Sens. 1992, 30, 356–369. [Google Scholar] [CrossRef]
- Baghdadi, N.; Abou Chaaya, J.; Zribi, M. Semiempirical calibration of the integral equation model for sar data in c-band and cross polarization using radar images and field measurements. IEEE Geosci. Remote Sens. Lett. 2011, 8, 14–18. [Google Scholar] [CrossRef]
- Scott, C.A.; Bastiaanssen, W.G.M.; Ahmad, M.U.D. Mapping root zone soil moisture using remotely sensed optical imagery. J. Irrig. Drain. Eng. 2003, 129, 326–335. [Google Scholar] [CrossRef]
- Bastiaanssen, W.G.M.; Molden, D.J.; Makin, I.W. Remote sensing for irrigated agriculture: Examples from research and possible applications. Agric. Water Manag. 2000, 46, 137–155. [Google Scholar] [CrossRef]
- Ahmad, M.U.D.; Bastiaanssen, W.G.M. Retrieving soil moisture storage in the unsaturated zone using satellite imagery and bi-annual phreatic surface fluctuations. Irrig. Drain. Syst. 2003, 17, 141–161. [Google Scholar] [CrossRef]
- Sabater, J.M.; Jarlan, L.; Calvet, J.-C.; Bouyssel, F.; de Rosnay, P. From near-surface to root-zone soil moisture using different assimilation techniques. J. Hydrometeorol. 2007, 8, 194–206. [Google Scholar] [CrossRef]
- Manfreda, S.; McCabe, M.F.; Fiorentino, M.; Rodríguez-Iturbe, I.; Wood, E. Scaling characteristics of spatial patterns of soil moisture from distributed modelling. Adv. Water Resour. 2007, 30, 2145–2150. [Google Scholar] [CrossRef]
- Ragab, R. Towards a continuous operational system to estimate the root-zone soil moisture from intermittent remotely sensed surface moisture. J. Hydrol. 1995, 173, 1–25. [Google Scholar] [CrossRef]
- Roy, D.P.; Borak, J.S.; Devadiga, S.; Wolfe, R.E.; Zheng, M.; Descloitres, J. The modis land product quality assessment approach. Remote Sens. Environ. 2002, 83, 62–76. [Google Scholar] [CrossRef]
- NASA—Land Processes Distributed Active Archive Center. Land Surface Temperature & Emissivity 8-Day l3 Global 1 km (Mod11a2). Available online: https://lpdaac.usgs.gov/products/modis_products_table/mod11a2 (accessed on 20 July 2012).
- Wan, Z.; Zhang, Y.; Zhang, Q.; Li, Z.-L. Validation of the land-surface temperature products retrieved from terra moderate resolution imaging spectroradiometer data. Remote Sens. Environ. 2002, 83, 163–180. [Google Scholar] [CrossRef]
- Wan, Z.; Zhang, Y.; Zhang, Q.; Li, Z.-L. Quality assessment and validation of the modis global land surface temperature. Int. J. Remote Sens. 2004, 25, 261–274. [Google Scholar] [CrossRef]
- Wang, W.; Liang, S.; Meyers, T. Validating modis land surface temperature products using long-term nighttime ground measurements. Remote Sens. Environ. 2008, 112, 623–635. [Google Scholar] [CrossRef]
- Tóth, B.; Weynants, M.; Nemes, A.; Makó, A.; Bilas, G.; Tóth, G. New generation of hydraulic pedotransfer functions for europe. Eur. J. Soil Sci. 2015, 66, 226–238. [Google Scholar] [CrossRef] [PubMed]
- Wösten, J.; Lilly, A.; Nemes, A.; le Bas, C. Development and use of a database of hydraulic properties of european soils. Geoderma 1999, 90, 169–185. [Google Scholar] [CrossRef]
- Makó, A.; Tóth, B.; Hernádi, H.; Farkas, C.; Marth, P. Introduction of the hungarian detailed soil hydrophysical database (martha) and its use to test external pedotransfer functions. Agrokém. Talajt. 2010, 59, 29–38. [Google Scholar] [CrossRef]
- Misopolinos, N.; Silleos, N.; Bilas, G.; Karapetsas, N.; Barbagiannis, N.; Panagiotopoulos, K.; Haidoudi, K.; Zalidis, G. Assessment of Nutrients, Heavy Metals and hydrodynamic Soil Properties for the Wise Use of Water and Fertilizers and the Growth of Safe Products in the Region of Eastern Macedonia and Thrace; Final Report; Prefecture of East Macedonia and Thrace: Komotini, Greece, 2010. [Google Scholar]
- Nunes, Α.; Araujo, A.; Alexandridis, T.K.; Chambel, P. Effects of different scale land cover maps in watershed modelling. In Proceedings of the European Geosciences Union General Assembly, Vienna, Austria, 7–12 April 2013.
- Rao, R.G.S.; Ulaby, F.T. Optimal spatial sampling techniques for ground truth data in microwave remote sensing of soil moisture. Remote Sens. Environ. 1977, 6, 289–301. [Google Scholar] [CrossRef]
- Justice, C.O.; Townshend, J.R.G. Integrating ground truth data with remote sensing. In Terrain Analysis and Remote Sensing; Townshend, J.R.G., Ed.; Allen and Uniwin: London, UK, 1981; pp. 38–58. [Google Scholar]
- Bastiaanssen, W.G.M.; Menenti, M.; Feddes, R.A.; Holtslag, A.A.M. A remote sensing surface energy balance algorithm for land (SEBAL): 1. Formulation. J. Hydrol. 1998, 212–213, 198–212. [Google Scholar] [CrossRef]
- Allen, R.G.; Pereira, L.S.; Raes, D.; Smith, M. Crop Evapotranspiration: Guidelines for Computing Crop Water Requirements; FAO Irrigation and Drainage Paper; Food and Agriculture Organization of the United Nations: Rome, Italy, 1998. [Google Scholar]
- Cherif, I.; Alexandridis, T.K.; Jauch, E.; Chambel-Leitao, P.; Almeida, C. Improving remotely sensed actual evapotranspiration estimation with raster meteorological data. Int. J. Remote Sens. 2015, 36, 4606–4620. [Google Scholar] [CrossRef]
- Alexandridis, T.K.; Cherif, I.; Chemin, Y.; Silleos, G.N.; Stavrinos, E.; Zalidis, G.C. Integrated methodology for estimating water use in mediterranean agricultural areas. Remote Sens. 2009, 1, 445–465. [Google Scholar] [CrossRef]
- Heathman, G.C.; Larose, M.; Cosh, M.H.; Bindlish, R. Surface and profile soil moisture spatio-temporal analysis during an excessive rainfall period in the southern great plains, USA. Catena 2009, 78, 159–169. [Google Scholar] [CrossRef]
- Zhao, Y.; Peth, S.; Hallett, P.; Wang, X.; Giese, M.; Gao, Y.; Horn, R. Factors controlling the spatial patterns of soil moisture in a grazed semi-arid steppe investigated by multivariate geostatistics. Ecohydrology 2011, 4, 36–48. [Google Scholar] [CrossRef]
- Jacobs, A.F.; Heusinkveld, B.G.; Holtslag, A.A. Carbon dioxide and water vapour flux densities over a grassland area in the netherlands. Int. J. Climatol. 2003, 23, 1663–1675. [Google Scholar] [CrossRef]
- Hebrard, O.; Voltz, M.; Andrieux, P.; Moussa, R. Spatio-temporal distribution of soil surface moisture in a heterogeneously farmed mediterranean catchment. J. Hydrol. 2006, 329, 110–121. [Google Scholar] [CrossRef]
- Shannon, C.E. A mathematical theory of communication. Bell Syst. Tech. J. 1948, 27, 379–423. [Google Scholar] [CrossRef]
- Dobriyal, P.; Qureshi, A.; Badola, R.; Hussain, S.A. A review of the methods available for estimating soil moisture and its implications for water resource management. J. Hydrol. 2012, 458, 110–117. [Google Scholar] [CrossRef]
- Schnur, M.T.; Xie, H.; Wang, X. Estimating root zone soil moisture at distant sites using modis ndvi and evi in a semi-arid region of southwestern USA. Ecol. Inform. 2010, 5, 400–409. [Google Scholar] [CrossRef]
- Sousa, A.; Pereira, J.; Silva, J. Evaluating the performance of multitemporal image compositing algorithms for burned area analysis. Int. J. Remote Sens. 2003, 24, 1219–1236. [Google Scholar] [CrossRef]
- Langner, A.; Miettinen, J.; Siegert, F. Land cover change 2002–2005 in borneo and the role of fire derived from modis imagery. Glob. Chang. Biol. 2007, 13, 2329–2340. [Google Scholar] [CrossRef]
- Alexandridis, T.K.; Gitas, I.Z.; Silleos, N.G. An estimation of the optimum temporal resolution for monitoring vegetation condition on a nationwide scale using modis/terra data. Int. J. Remote Sens. 2008, 29, 3589–3607. [Google Scholar] [CrossRef]
- Chen, P.-Y.; Srinivasan, R.; Fedosejevs, G.; Kiniry, J. Evaluating different ndvi composite techniques using noaa-14 avhrr data. Int. J. Remote Sens. 2003, 24, 3403–3412. [Google Scholar] [CrossRef]
- Fleming, K.; Hendrickx, J.M.; Hong, S.-H. Regional mapping of root zone soil moisture using optical satellite imagery. Proc. SPIE 2005, 5811, 159–170. [Google Scholar]
- Hendrickx, J.M.; Honga, S.-H.; Friesenb, J.; Compaorec, H.; van de Giesenb, N.C.; Rodgersd, C.; Vlekd, P.L. Mapping energy balance fluxes and root zone soil moisture in the white volta basin using optical imagery. Proc. SPIE 2006, 6239. [Google Scholar] [CrossRef]
- Kerr, Y.H.; Waldteufel, P.; Wigneron, J.P.; Martinuzzi, J.; Font, J.; Berger, M. Soil moisture retrieval from space: The soil moisture and ocean salinity (SMOS) mission. IEEE Trans. Geosci. Remote Sens. 2001, 39, 1729–1735. [Google Scholar] [CrossRef]
- Tan, B.; Woodcock, C.; Hu, J.; Zhang, P.; Ozdogan, M.; Huang, D.; Yang, W.; Knyazikhin, Y.; Myneni, R. The impact of gridding artifacts on the local spatial properties of modis data: Implications for validation, compositing, and band-to-band registration across resolutions. Remote Sens. Environ. 2006, 105, 98–114. [Google Scholar] [CrossRef]
- Alexandridis, T.K.; Cherif, I.; Kalogeropoulos, C.; Monachou, S.; Eskridge, K.; Silleos, N. Rapid error assessment for quantitative estimations from landsat 7 gap-filled images. Remote Sens. Lett. 2013, 4, 920–928. [Google Scholar] [CrossRef]
- Akuraju, V.R.; Ryu, D.; George, B.; Ryu, Y.; Dassanayake, K. Analysis of root-zone soil moisture control on evapotranspiration in two agriculture fields in australia. In Proceedings of the 20th International Congress on Modelling and Simulation, Adelaide, Australia, 1–6 December 2013.
- Calvet, J.-C.; Noilhan, J. From near-surface to root-zone soil moisture using year-round data. J. Hydrometeorol. 2000, 1, 393–411. [Google Scholar] [CrossRef]
- Ford, T.; Harris, E.; Quiring, S. Estimating root zone soil moisture using near-surface observations from smos. Hydrol. Earth Syst. Sci. 2014, 18, 139–154. [Google Scholar] [CrossRef]
- Brocca, L.; Tullo, T.; Melone, F.; Moramarco, T.; Morbidelli, R. Catchment scale soil moisture spatial–temporal variability. J. Hydrol. 2012, 422, 63–75. [Google Scholar] [CrossRef]
- Mohanty, B.; Skaggs, T. Spatio-temporal evolution and time-stable characteristics of soil moisture within remote sensing footprints with varying soil, slope, and vegetation. Adv. Water Resour. 2001, 24, 1051–1067. [Google Scholar] [CrossRef]
- Chemin, Y.; Alexandridis, T.K.; Cherif, I. Grass image processing environment—Application to evapotranspiration direct readout. OSGeo J. 2010, 6, 27–31. [Google Scholar]
- Baggaley, N.; Mayr, T.; Bellamy, P. Identification of key soil and terrain properties that influence the spatial variability of soil moisture throughout the growing season. Soil Use Manag. 2009, 25, 262–273. [Google Scholar] [CrossRef]
© 2016 by the authors; licensee MDPI, Basel, Switzerland. This article is an open access article distributed under the terms and conditions of the Creative Commons by Attribution (CC-BY) license (http://creativecommons.org/licenses/by/4.0/).
Share and Cite
Alexandridis, T.K.; Cherif, I.; Bilas, G.; Almeida, W.G.; Hartanto, I.M.; Van Andel, S.J.; Araujo, A. Spatial and Temporal Distribution of Soil Moisture at the Catchment Scale Using Remotely-Sensed Energy Fluxes. Water 2016, 8, 32. https://doi.org/10.3390/w8010032
Alexandridis TK, Cherif I, Bilas G, Almeida WG, Hartanto IM, Van Andel SJ, Araujo A. Spatial and Temporal Distribution of Soil Moisture at the Catchment Scale Using Remotely-Sensed Energy Fluxes. Water. 2016; 8(1):32. https://doi.org/10.3390/w8010032
Chicago/Turabian StyleAlexandridis, Thomas K., Ines Cherif, George Bilas, Waldenio G. Almeida, Isnaeni M. Hartanto, Schalk Jan Van Andel, and Antonio Araujo. 2016. "Spatial and Temporal Distribution of Soil Moisture at the Catchment Scale Using Remotely-Sensed Energy Fluxes" Water 8, no. 1: 32. https://doi.org/10.3390/w8010032
APA StyleAlexandridis, T. K., Cherif, I., Bilas, G., Almeida, W. G., Hartanto, I. M., Van Andel, S. J., & Araujo, A. (2016). Spatial and Temporal Distribution of Soil Moisture at the Catchment Scale Using Remotely-Sensed Energy Fluxes. Water, 8(1), 32. https://doi.org/10.3390/w8010032

