Evaluation of Hyperspectral Multi-Band Indices to Estimate Chlorophyll-A Concentration Using Field Spectral Measurements and Satellite Data in Dianshan Lake, China
Abstract
:1. Introduction
2. Study Area and Datasets
2.1. Study Area
2.2. Field Spectral Measurements Data

2.3. In-situ Chl-a Data
3. Analyses
3.1. Spectral Reflectance Properties

3.2. Multi-Band Indices Tuning
3.2.1. Three-Band Index
letting vary λ1, (b)
letting vary λ2 varying, (c)
letting vary λ3.
letting vary λ1, (b)
letting vary λ2 varying, (c)
letting vary λ3.
3.2.2. Four-Band Index
with
, which could subtract the effect of suspended solids and minimize the absorption by pure water as well as backscattering in NIR region [18]. The four-band index is shown as Equation (2).
; (b)
; (c)
; (d)
.
; (b)
; (c)
; (d)
.
4. Results
4.1. Estimation of Chl-a Concentration with Field Spectral Multi-Band Indices

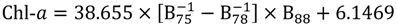
4.2. Estimation of Chl-a Concentration with Satellite Hyperspectral Multi-Band Indices

| Band number | Spectral range (nm) | Center wavelength (nm) | Band number | Spectral range (nm) | Center wavelength (nm) |
|---|---|---|---|---|---|
| 66 | 650–654.18 | 652.09 | 79 | 709–713.99 | 711.495 |
| 67 | 654.18–658.43 | 656.305 | 80 | 713.99–719.04 | 716.515 |
| 68 | 658.43–662.72 | 660.575 | 81 | 719.04–724.17 | 721.605 |
| 69 | 662.72–667.08 | 664.9 | 82 | 724.17–729.37 | 726.77 |
| 70 | 667.08–671.49 | 669.285 | 83 | 729.37–734.65 | 732.01 |
| 71 | 671.49–675.96 | 673.725 | 84 | 734.65–740.01 | 737.33 |
| 72 | 675.96–680.49 | 678.225 | 85 | 740.01–745.44 | 742.725 |
| 73 | 680.49–685.08 | 682.785 | 86 | 745.44–750.95 | 748.195 |
| 74 | 685.08–689.74 | 687.41 | 87 | 750.95–756.55 | 753.75 |
| 75 | 689.74–694.45 | 692.095 | 88 | 756.55–762.23 | 759.39 |
| 76 | 694.45–699.24 | 696.845 | 89 | 762.23–767.99 | 765.11 |
| 77 | 699.24–704.08 | 701.66 | 90 | 767.99–773.85 | 770.92 |
| 78 | 704.08–709 | 706.54 | 91 | 773.85–779.79 | 776.82 |


5. Discussion and Conclusions
Acknowledgements
References
- Cheng, X.; Li, X. Long-term changes in nutrients and phytoplankton response in Lake Dianshan, a shallow temperate lake in China. J. Freshwater Ecol. 2010, 25, 549–554. [Google Scholar] [CrossRef]
- Moses, W.J.; Gitelson, A.A.; Berdnikov, S. Estimation of chlorophyll-a concentration in case 2 waters using MODIS and MERIS data-successes and challenges. Environ. Res. Lett. 2009, 6, 845–849. [Google Scholar]
- Giardino, C.; Bresciani, M.; Pilkaitytė, R.; Bartoli, M. In situ measurements and satellite remote sensing of case 2 waters: First results from the Curonian Lagoon. Oceanologia 2010, 52, 197–210. [Google Scholar] [CrossRef]
- Kutser, T.; Metsamaa, L.; Strombeck, N.; Vahtmäe, E. Monitoring cyanobacteria blooms by satellite remote sensing. Estuar. Coast. Shelf Sci. 2006, 67, 303–312. [Google Scholar] [CrossRef]
- Kilham, N.E.; Roberts, D. Amazon River time series of surface sediment concentration from MODIS. Int. J. Remote Sens. 2011, 32, 2659–2679. [Google Scholar] [CrossRef]
- Darecki, M.; Stramski, D. An evaluation of MODIS and SeaWiFS bio-optical algorithms in the Baltic Sea. Remote Sens. Environ. 2004, 89, 326–350. [Google Scholar] [CrossRef]
- Dall’Olmo, G.; Gitelson, A.A. Effect of bio-optical parameter variability and uncertainties in reflectance measurements on the remote estimation of chlorophyll-a concentration in turbid productive waters: Modeling results. Appl. Opt. 2006, 45, 3577–3592. [Google Scholar]
- Lavender, S.J.; Pinkerton, M.H.; Froidefond, J.M.; Morales, J.; Aiken, J.; Moore, G.F. Sea WIFS validation in European coastal waters using optical and biogeochemical measurements. Int. J. Remote Sens. 2004, 25, 1481–1488. [Google Scholar] [CrossRef]
- Gitelson, A. The peak near 700 nm on radiance spectra of algae and water: Relationships of its magnitude and position with chlorophyll concentration. Int. J. Remote Sens. 1992, 17, 3367–3373. [Google Scholar] [CrossRef]
- Mobley, C.D.; Sundman, L.K.; Davis, C.O.; Bowles, J.H.; Downes, T.V.; Leathers, R.A.; Montes, M.J.; Bowles, J.H.; Bissett, W.P.; Kohler, D.D.R.; et al. Interpretation of hyperspectral remote-sensing imagery by spectrum matching and look-up tables. Appl. Opt. 2005, 44, 3576–3592. [Google Scholar] [CrossRef]
- Gitelson, A.A.; Gurlin, D.; Moses, W.; Barrow, T. A bio-optical algorithm for the remote estimation of the chlorophyll-a concentration in case 2 waters. Environ. Res. Lett. 2009, 4, 1–5. [Google Scholar]
- Thiemann, S.; Kaufman, H. Determination of chlorophyll content and tropic state of lakes using field spectrometer and IRS-IC satellite data in the Mecklenburg Lake Distract, Germany. Remote Sens. Environ. 2000, 73, 227–235. [Google Scholar] [CrossRef]
- Jiao, H.; Zha, Y.; Gao, J.; Li, Y.M.; Wei, Y.C.; Huang, J.Z. Estimation of chlorophyll-a concentration in Lake Tai, China using in-situ hyperspectral data. Int. J. Remote Sens. 2006, 27, 4267–4276. [Google Scholar] [CrossRef]
- Zimba, P.V.; Gitelson, A. Remote estimation of chlorophyll concentration in hyper-eutrophic aquatic systems: Model tuning and accuracy optimization. Aquaculture 2006, 256, 272–286. [Google Scholar] [CrossRef]
- Gitelson, A.A.; Gritz, Y.; Merzlyak, M.N. Relationships between leaf chlorophyll content and spectral reflectance and algorithms for non-destructive chlorophyll assessment in higher plant leaves. J. Plant Physiol. 2003, 160, 271–282. [Google Scholar] [CrossRef]
- Gitelson, A.A.; Vĭna, A.; Ciganda, V.; Rundquist, D.C.; Arkebauer, T.J. Remote estimation of canopy chlorophyll content in crops. Geophys. Res. Lett. 2005, 32, L08403. [Google Scholar]
- Tzortziou, M.; Herman, J.R.; Gallegos, C.L.; Neale, P.; Subramaniam, A.; Harding, L.; Ahmad, Z. Bio-optics of the Chesapeake Bay from measurements and radiative transfer closure. Estuar. Coast. Shelf Sci. 2006, 68, 348–362. [Google Scholar] [CrossRef]
- Tassan, S.; Ferrari, G.M. Variability of light absorption by aquatic particles in the near-infrared spectral region. Appl. Opt. 2003, 42, 4802–4810. [Google Scholar] [CrossRef]
- Le, C.; Li, Y.; Zha, Y.; Sun, D.; Huang, C.; Lu, H. A four-band semi-analytical model for estimating chlorophyll a in highly turbid lakes: The case of Taihu Lake, China. Remote Sens. Environ. 2009, 113, 1175–1182. [Google Scholar] [CrossRef]
- Gons, H.J.; Rijkeboer, M.; Ruddick, K.G. Effect of a waveband shift on chlorophyll retrieval from MERIS imagery of inland and coastal waters. J. Plankton Res. 2005, 27, 125–127. [Google Scholar]
- Bresciani, M.; Vascellari, M.; Giardino, C.; Matta, E. Remote sensing supports the definition of the water quality status of Lake Omodeo (Italy). Eur. J. Remote Sens. 2012, 45, 349–360. [Google Scholar]
- Zhou, G.; Liu, Q.; Ma, R.; Tian, G. Inversion of chlorophyll-a concentration in turbid water of Lake Taihu based on optimized multi-spectral combination. J. Lake Sci. 2008, 20, 153–159. [Google Scholar]
- Brando, V.E.; Dekker, A.G. Satellite hyperspectral remote sensing for estimating estuarine and coastal water quality. IEEE Trans. Geosci. Remote Sens. 2003, 41, 1378–1387. [Google Scholar] [CrossRef]
- Gons, H.J. Optical teledetection of chlorophyll a in turbid inland waters. Environ. Sci. Technol. 1999, 33, 1127–1132. [Google Scholar] [CrossRef]
- Wang, Q.; Wu, C.; Li, Q.; Li, J.S. Chinese HJ-1A/B satellites and data characteristics. Sci. China Earth Sci. 2010, 53, 51–57. [Google Scholar] [CrossRef]
- Mobley, C.D. Estimation of the remote-sensing reflectance from above-surface measurements. Appl. Opt. 1999, 38, 7442–7455. [Google Scholar] [CrossRef]
- Tang, J.W.; Tiang, G.L.; Wang, X.Y.; Wang, X.; Song, Q. The methods of water spectra measuring and analysis I: Above-water method. J. Remote Sens. 2004, 8, 37–44. [Google Scholar]
- Simis, S.G.H.; Peters, S.W.M.; Gons, H.J. Remote sensing of the cyanobacterial pigment phycocyanin in turbid inland water. Limnol. Oceanogr. 2005, 50, 237–245. [Google Scholar] [CrossRef]
- UNESCO, Determination of photosynthetic pigments in sea-water. In Monographs on Oceanographic Methodology; UNESCO: Paris, France, 1966; pp. 12–14.
- Chen, S.; Fang, L.; Li, H.; Chen, W.; Huang, W. Evaluation of a three-band model for estimating chlorophyll-a concentration in tidal reaches of the Pearl River Estuary, China. ISPRS J. Photogramm. Remote Sens. 2011, 66, 356–364. [Google Scholar] [CrossRef]
- Jupp, D.; Kirk, J.; Harris, G. Detection, identification, and mapping of cyanobacteria-using remote sensing to measure the optical quality of turbid inland waters. Aust. J. Mar. Freshwater Res. 1994, 45, 801–828. [Google Scholar] [CrossRef]
- Ma, R.; Dai, J.F. Investigation of chlorophyll-a and total suspended matter concentrations using Landsat ETM and field spectral measurement in Taihu Lake, China. Int. J. Remote Sens. 2005, 26, 2779–2795. [Google Scholar]
- Dall’Olmo, G.; Gitelson, A.A.; Rundquist, D.C.; Leavitt, B.; Barrow, T.; Holz, J.C. Assessing the potential of SeaWiFS and MODIS for estimating chlorophyll concentration in turbid productive waters using red and near-infrared bands. Remote Sens. Environ. 2005, 96, 176–187. [Google Scholar] [CrossRef]
- Li, L.; Li, L.; Shi, K.; Li, Z.; Song, K. A semi-analytical algorithm for remote estimation of phycocyanin in inland waters. Sci. Total Environ. 2012, 435–436, 141–150. [Google Scholar]
- Du, C.; Wang, S.X.; Zhou, Y.; Yan, F.L. Remote chlorophyll-a retrieval in Taihu Lake by three-band model using hyperion hyperspectral data. Environ Sci. 2009, 30, 2904–2910. [Google Scholar]
- Flink, P.; Lindell, T.; Oslund, C. Statistical analysis of hyperspectral data from two Swedish lakes. Sci. Total Environ. 2001, 268, 155–169. [Google Scholar] [CrossRef]
- Yacobi, Y.Z.; Moses, W.J.; Kaganovsky, S.; Sulimani, B.; Leavitt, B.C.; Gitelson, A.A. NIR-red reflectance-based algorithms for chlorophyll-a estimation in mesotrophic inland and coastal waters: Lake Kinneret case study. Water Res. 2011, 45, 2428–2436. [Google Scholar] [CrossRef]
- Schalles, J.F.; Gitelson, A.; Yacobi, Y.Z.; Kroenke, A.E. Chlorophyll estimation using whole seasonal, remotely sensed high spectral resolution data for an eutrophic lake. J. Phycol. 1998, 34, 383–390. [Google Scholar] [CrossRef]
- Stumpf, R.P.; Tyler, M.A. Satellite detection of bloom and pigment distributions in estuaries. Remote Sens. Environ. 1988, 24, 385–404. [Google Scholar] [CrossRef]
- Duan, H.; Ma, R.; Xu, J.; Zhang, Y.; Zhang, B. Comparison of different semi-empirical algorithms to estimate chlorophyll-a concentration in inland lake water. Environ. Monit. Assess. 2010, 170, 231–244. [Google Scholar] [CrossRef]
- Zhang, Y.; Feng, L.; Li, J.; Luo, L.; Yin, Y.; Liu, M.; Li, Y. Seasonal-spatial variation and remote sensing of phytoplankton absorption in Lake Taihu, a large eutrophic and shallow lake in China. J. Plankton Res. 2010, 32, 1023–1037. [Google Scholar] [CrossRef]
© 2013 by the authors; licensee MDPI, Basel, Switzerland. This article is an open access article distributed under the terms and conditions of the Creative Commons Attribution license (http://creativecommons.org/licenses/by/3.0/).
Share and Cite
Zhou, L.; Xu, B.; Ma, W.; Zhao, B.; Li, L.; Huai, H. Evaluation of Hyperspectral Multi-Band Indices to Estimate Chlorophyll-A Concentration Using Field Spectral Measurements and Satellite Data in Dianshan Lake, China. Water 2013, 5, 525-539. https://doi.org/10.3390/w5020525
Zhou L, Xu B, Ma W, Zhao B, Li L, Huai H. Evaluation of Hyperspectral Multi-Band Indices to Estimate Chlorophyll-A Concentration Using Field Spectral Measurements and Satellite Data in Dianshan Lake, China. Water. 2013; 5(2):525-539. https://doi.org/10.3390/w5020525
Chicago/Turabian StyleZhou, Liguo, Bo Xu, Weichun Ma, Bin Zhao, Linna Li, and Hongyan Huai. 2013. "Evaluation of Hyperspectral Multi-Band Indices to Estimate Chlorophyll-A Concentration Using Field Spectral Measurements and Satellite Data in Dianshan Lake, China" Water 5, no. 2: 525-539. https://doi.org/10.3390/w5020525
APA StyleZhou, L., Xu, B., Ma, W., Zhao, B., Li, L., & Huai, H. (2013). Evaluation of Hyperspectral Multi-Band Indices to Estimate Chlorophyll-A Concentration Using Field Spectral Measurements and Satellite Data in Dianshan Lake, China. Water, 5(2), 525-539. https://doi.org/10.3390/w5020525

