Environmental Drivers of Algal Blooms in a Tropical Coastal Riverine System: A Multivariate Statistical Approach
Highlights
- Combined statistical approaches allowed the identification of algal bloom drivers.
- High concentrations of ammonium-N, pH and dissolved oxygen favour algal abun-dance in the Daule River.
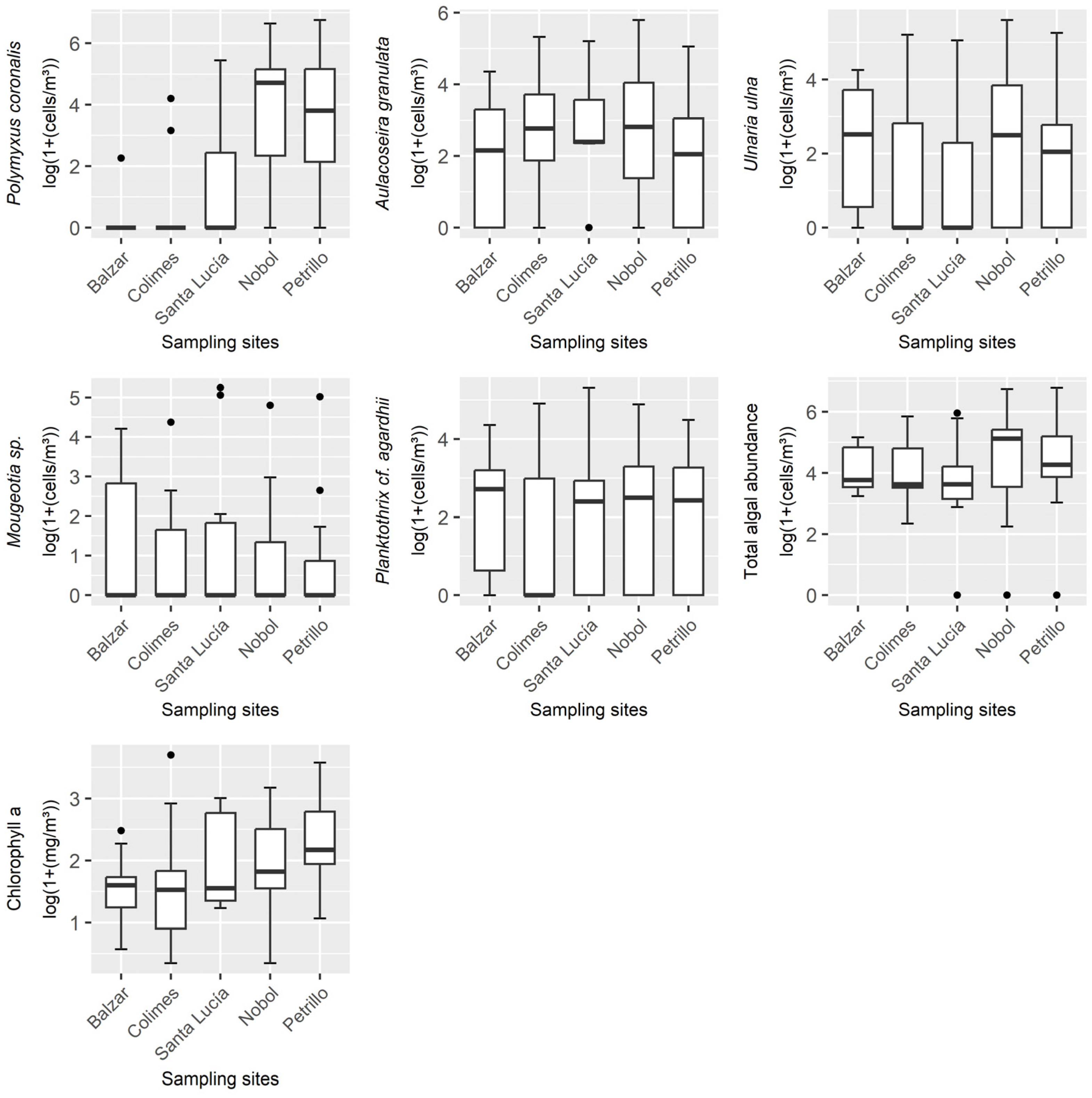
- Site-specific conditions shape algal abundance and composition.
- Integrated statistical analysis enhances the understanding of algal dynamics.
- Nitrogen management is essential to reduce algal blooms in tropical rivers.
- Local interventions can support mitigation actions.
Abstract
1. Introduction
2. Materials and Methods
2.1. Study Area
2.2. Data and Methods
2.2.1. Water Sampling and Laboratory Analysis
- Sensor calibration
- Physicochemical parameters and sampling
- Laboratory work
- Meteorological and hydrological data
2.2.2. Statistical Data Analysis
- Data quality control
- Imputation techniques
- Adequacy of the sample size
- Univariate statistics
- Bivariate statistics
- Inferential statistics
- Multivariate k-way statistics
3. Results
3.1. Adequacy of the Sample Size
3.2. Univariate Statistics
3.3. Bivariate Statistics
3.4. Inferential Statistics
3.5. Multivariate K-Way Statistics
4. Discussion
5. Conclusions
Supplementary Materials
Author Contributions
Funding
Data Availability Statement
Acknowledgments
Conflicts of Interest
References
- Renuka, N.; Guldhe, A.; Prasanna, R.; Singh, P.; Bux, F. Microalgae as multi-functional options in modern agriculture: Current trends, prospects and challenges. Biotechnol. Adv. 2018, 36, 1255–1273. [Google Scholar] [CrossRef]
- Gomez-Casati, D.F.; Pernice, M.; Tonon, T. Algae. Sci. Rep. 2025, 15, 2034. [Google Scholar] [CrossRef]
- Luo, C.; Wang, X.; Chen, Y.; Luo, H.; Dong, H.; He, S. Predictive Modeling of Cyanobacterial Blooms and Diurnal Variation Analysis Based on GOCI. Water 2025, 17, 749. [Google Scholar] [CrossRef]
- Ao, Y.; Fan, J.; Guo, F.; Li, M.; Li, A.; Shi, Y.; Wei, J. Machine Learning-Based Early Warning of Algal Blooms: A Case Study of Key Environmental Factors in the Anzhaoxin River Basin. Water 2025, 17, 725. [Google Scholar] [CrossRef]
- Li, Y.; Shi, K.; Zhu, M.; Li, H.; Guo, Y.; Miao, S.; Ou, W.; Zheng, Z. Data-driven models for forecasting algal biomass in a large and deep reservoir. Water Res. 2025, 270, 122832. [Google Scholar] [CrossRef] [PubMed]
- Lan, J.; Liu, P.; Hu, X.; Zhu, S. Harmful Algal Blooms in Eutrophic Marine Environments: Causes, Monitoring, and Treatment. Water 2024, 16, 2525. [Google Scholar] [CrossRef]
- Wilkinson, G.M.; Walter, J.A.; Albright, E.A.; King, R.F.; Moody, E.K.; Ortiz, D.A. An evaluation of statistical models of microcystin detection in lakes applied forward under varying climate conditions. Harmful Algae 2024, 137, 102679. [Google Scholar] [CrossRef] [PubMed]
- Butcher, J.B.; Fernandez, M.; Johnson, T.E.; Shabani, A.; Lee, S.S. Geographic Analysis of the Vulnerability of U.S. Lakes to Cyanobacterial Blooms under Future Climate. Earth Interact. 2023, 27, 1–17. [Google Scholar] [CrossRef]
- Ahn, J.M.; Kim, J.; Park, L.J.; Jeon, J.; Jong, J.; Min, J.-H.; Kang, T. Predicting Cyanobacterial Harmful Algal Blooms (CyanoHABs) in a Regulated River Using a Revised EFDC Model. Water 2021, 13, 439. [Google Scholar] [CrossRef]
- Hong, J.-F.; Ouddane, B.; Hwang, J.-S.; Dahms, H.-U. In silico assessment of human health risks caused by cyanotoxins from cyanobacteria. Biocell 2021, 45, 65–77. [Google Scholar] [CrossRef]
- Shin, J.; Cha, Y. Development of a deep learning–based feature stream network for forecasting riverine harmful algal blooms from a network perspective. Water Res. 2025, 268, 122751. [Google Scholar] [CrossRef]
- Demiray, B.Z.; Mermer, O.; Baydaroğlu, Ö.; Demir, I. Predicting Harmful Algal Blooms Using Explainable Deep Learning Models: A Comparative Study. Water 2025, 17, 676. [Google Scholar] [CrossRef]
- Lee, V.; Meza-Padilla, I.; Nissimov, J.I. Virus Infection of a Freshwater Cyanobacterium Contributes Significantly to the Release of Toxins Through Cell Lysis. Microorganisms 2025, 13, 486. [Google Scholar] [CrossRef]
- Yan, Z.; Kamanmalek, S.; Alamdari, N.; Nikoo, M.R. Comprehensive Insights into Harmful Algal Blooms: A Review of Chemical, Physical, Biological, and Climatological Influencers with Predictive Modeling Approaches. J. Environ. Eng. 2024, 150, 03124002. [Google Scholar] [CrossRef]
- Wang, Y.; Zhao, D.; Woolway, R.I.; Yan, H.; Paerl, H.W.; Zheng, Y.; Zheng, C.; Feng, L. Global elevation of algal bloom frequency in large lakes over the past two decades. Natl. Sci. Rev. 2025, 12, nwaf011. [Google Scholar] [CrossRef]
- Song, Y. Hydrodynamic impacts on algal blooms in reservoirs and bloom mitigation using reservoir operation strategies: A review. J. Hydrol. 2023, 620, 129375. [Google Scholar] [CrossRef]
- Xia, R.; Zhang, Y.; Wang, G.; Zhang, Y.; Dou, M.; Hou, X.; Qiao, Y.; Wang, Q.; Yang, Z. Multi-factor identification and modelling analyses for managing large river algal blooms. Environ. Pollut. 2019, 254, 113056. [Google Scholar] [CrossRef] [PubMed]
- Kamjunke, N.; Brix, H.; Flöser, G.; Bussmann, I.; Schütze, C.; Achterberg, E.P.; Ködel, U.; Fischer, P.; Rewrie, L.; Sanders, T.; et al. Large-scale nutrient and carbon dynamics along the river-estuary-ocean continuum. Sci. Total Environ. 2023, 890, 164421. [Google Scholar] [CrossRef] [PubMed]
- Xin, X.; Zhang, H.; Lei, P.; Tang, W.; Yin, W.; Li, J.; Zhong, H.; Li, K. Algal blooms in the middle and lower Han River: Characteristics, early warning and prevention. Sci. Total Environ. 2020, 706, 135293. [Google Scholar] [CrossRef]
- Bharathi, M.; Venkataramana, V.; Sarma, V. Phytoplankton community structure is governed by salinity gradient and nutrient composition in the tropical estuarine system. Cont. Shelf Res. 2022, 234, 104643. [Google Scholar] [CrossRef]
- Karthik, R.; Robin, R.; Anandavelu, I.; Purvaja, R.; Singh, G.; Mugilarasan, M.; Jayalakshmi, T.; Samuel, V.D.; Ramesh, R. Diatom bloom in the Amba River, west coast of India: A nutrient-enriched tropical river-fed estuary. Reg. Stud. Mar. Sci. 2020, 35, 101244. [Google Scholar] [CrossRef]
- Kumar, P.S.; Kumaraswami, M.; Rao, G.D.; Ezhilarasan, P.; Sivasankar, R.; Rao, V.R.; Ramu, K. Influence of nutrient fluxes on phytoplankton community and harmful algal blooms along the coastal waters of southeastern Arabian Sea. Cont. Shelf Res. 2018, 161, 20–28. [Google Scholar] [CrossRef]
- González-Narváez, M.; Fernández-Gómez, M.J.; Mendes, S.; Molina, J.-L.; Ruiz-Barzola, O.; Galindo-Villardón, P. Study of Temporal Variations in Species–Environment Association through an Innovative Multivariate Method: MixSTATICO. Sustainability 2021, 13, 5924. [Google Scholar] [CrossRef]
- Ren, X.; Zhang, H.; Zou, J.; Tian, X.; Pu, J.; Man, X.; Zhou, A.; Wei, Y.; Gao, D.; Chen, S. Tracking the seasonal dynamic response of water quality and phytoplankton communities: A case study of the Yaoshi River in the Sichuan Basin, China. Environ. Monit. Assess. 2025, 197, 888. [Google Scholar] [CrossRef]
- Kumar, P.S.; Thomas, J. Seasonal distribution and population dynamics of limnic microalgae and their association with physico-chemical parameters of river Noyyal through multivariate statistical analysis. Sci. Rep. 2019, 9, 15021. [Google Scholar] [CrossRef]
- Xu, Y.; Xiang, Z.; Rizo, E.Z.; Naselli-Flores, L.; Han, B.-P. Combination of linear and nonlinear multivariate approaches effectively uncover responses of phytoplankton communities to environmental changes at regional scale. J. Environ. Manag. 2022, 305, 114399. [Google Scholar] [CrossRef]
- Fai, P.B.A.; Kenko, D.B.N.; Tchamadeu, N.N.; Mbida, M.; Korejs, K.; Riegert, J. Use of multivariate analysis to identify phytoplankton bioindicators of stream water quality in the monomodal equatorial agroecological zone of Cameroon. Environ. Monit. Assess. 2023, 195, 788. [Google Scholar] [CrossRef]
- Lopes, J.; Pinto, A.; Eleutério, T.; Meirelles, M.; Vasconcelos, H. Multivariate Statistical Analysis of the Phytoplankton Interactions with Physicochemical and Meteorological Parameters in Volcanic Crater Lakes from Azores. Water 2022, 14, 2548. [Google Scholar] [CrossRef]
- Torres, G.; Carnicer, O.; Canepa, A.; De La Fuente, P.; Recalde, S.; Narea, R.; Pinto, E.; Borbor-Córdova, M.J. Spatio-temporal pattern of dinoflagellates along the tropical Eastern Pacific Coast (Ecuador). Front. Mar. Sci. 2019, 6, 145. [Google Scholar] [CrossRef]
- Borbor-Cordova, M.J.; Torres, G.; Mantilla-Saltos, G.; Casierra-Tomala, A.; Rafael Bermúdez, J.; Renteria, W.; Bayot, B. Oceanography of harmful algal blooms on the Ecuadorian coast (1997–2017): Integrating remote sensing and biological data. Front. Mar. Sci. 2019, 6, 13. [Google Scholar] [CrossRef]
- Borbor-Córdova, M.J.; Pozo-Cajas, M.; Cedeno-Montesdeoca, A.; Saltos, G.M.; Kislik, C.; Espinoza-Celi, M.E.; Lira, R.; Ruiz-Barzola, O.; Torres, G. Risk Perception of Coastal Communities and Authorities on Harmful Algal Blooms in Ecuador. Front. Mar. Sci. 2018, 5, 365. [Google Scholar] [CrossRef]
- Vera, J.; Alcívar, P.; Panta, R.; Rodríguez, J.; Díez, J.; López, A.; Raju, N. Identification and Composition of Cyanobacteria in Ecuadorian Shrimp Farming Ponds—Possible Risk to Human Health. Curr. Microbiol. 2024, 81, 237. [Google Scholar] [CrossRef]
- Merchan, B.; Ullauri, P.; Amaya, F.; Dender, L.; Carrión, P.; Berrezueta, E. Design of a sewage and wastewater treatment system for pollution mitigation in El Rosario, El Empalme, Ecuador. WIT Trans. Ecol. Environ. 2021, 251, 77–85. [Google Scholar] [CrossRef]
- Deknock, A.; De Troyer, N.; Houbraken, M.; Dominguez-Granda, L.; Nolivos, I.; Van Echelpoel, W.; Forio, M.A.E.; Spanoghe, P.; Goethals, P. Distribution of agricultural pesticides in the freshwater environment of the Guayas river basin (Ecuador). Sci. Total Environ. 2019, 646, 996–1008. [Google Scholar] [CrossRef] [PubMed]
- Ribeiro, L.; Pindo, J.C.; Dominguez-Granda, L. Assessment of groundwater vulnerability in the Daule aquifer, Ecuador, using the susceptibility index method. Sci. Total Environ. 2017, 574, 1674–1683. [Google Scholar] [CrossRef] [PubMed]
- Aguilera, A.; Gómez, E.B.; Kaštovský, J.; Echenique, R.O.; Salerno, G.L. The polyphasic analysis of two native Raphidiopsis isolates supports the unification of the genera Raphidiopsis and Cylindrospermopsis (Nostocales, Cyanobacteria). Phycologia 2018, 57, 130–146. [Google Scholar] [CrossRef]
- United Nations. Transforming Our World: The 2030 Agenda for Sustainable Development; United Nations: New York, NY, USA, 2015. [Google Scholar]
- FONDAGUA. La Cuenca del Río Daule. Available online: http://fondagua.org/cuenca-del-rio-daule/ (accessed on 19 December 2025).
- Hach Company. Sonda de Oxígeno Disuelto Luminiscente: Modelos LDO10101, LDO10103, LDO10105, LDO10110, LDO10115 o LDO10130; Hach Company: Loveland, CO, USA, 2009. [Google Scholar]
- Li, S.; Shi, X.; Lepère, C.; Liu, M.; Wang, X.; Kong, F. Unexpected predominance of photosynthetic picoeukaryotes in shallow eutrophic lakes. J. Plankton Res. 2016, 38, 830–842. [Google Scholar] [CrossRef]
- Mermer, O.; Demir, I. Multivariate Regression Analysis for Identifying Key Drivers of Harmful Algal Bloom in Lake Erie. Appl. Sci. 2025, 15, 4824. [Google Scholar] [CrossRef]
- Nong, X.; Guan, X.; Chen, L.; Wei, J.; Li, R. Identifying environmental impacts on planktonic algal proliferation and associated risks: A five-year observation study in Danjiangkou Reservoir, China. Sci. Rep. 2024, 14, 21568. [Google Scholar] [CrossRef]
- Srichandan, S.; Baliarsingh, S.K.; Prakash, S.; Lotliker, A.A.; Parida, C.; Sahu, K.C. Seasonal dynamics of phytoplankton in response to environmental variables in contrasting coastal ecosystems. Environ. Sci. Pollut. Res. 2019, 26, 12025–12041. [Google Scholar] [CrossRef]
- Rice, E.; Baird, R.; Eaton, A.; Clesceri, L. (Eds.) Standard Methods for the Examination of Water and Wastewater, 22nd ed.; American Public Health Association: Washington, DC, USA, 2012. [Google Scholar]
- Sournia, A. Phytoplankton Manual; UNESCO: Paris, France, 1978. [Google Scholar]
- Wehr, J.; Sheath, R.; Kociolek, J. Freshwater Algae of North America, 2nd ed.; Elsevier: Amsterdam, The Netherlands, 2015. [Google Scholar]
- Bellinger, E.G.; Sigee, D.C. Freshwater Algae: Identification and Use as Bioindicators; Wiley-Blackwell: Chichester, UK, 2010. [Google Scholar]
- Rosen, B. Color Atlas of Freshwater Algae: Comprehensive Identification Guide, Including Harmful Algal Blooms; Springer Nature: Cham, Switzerland, 2025. [Google Scholar] [CrossRef]
- Canter, H.; Lund, J. Freshwater Algae: Their Microscopic World Explored; Biopress: Bristol, UK, 1995. [Google Scholar]
- Chalov, S.; Terskii, P.; Pluntke, T.; Efimova, L.; Efimov, V.; Belyaev, V.; Terskaia, A.; Habel, M.; Karthe, D.; Bernhofer, C. Integrated approach to study river fluxes, water and sediment sources apportionment in sparsely monitored catchment. Proc. Int. Assoc. Hydrol. Sci. 2019, 381, 7–11. [Google Scholar] [CrossRef]
- Kaiser, H.F. A Second Generation Little Jiffy. Psychometrika 1970, 35, 401–415. [Google Scholar] [CrossRef]
- Kaiser, H.F.; Rice, J. Little Jiffy, Mark IV. Educ. Psychol. Meas. 1974, 34, 111–117. [Google Scholar] [CrossRef]
- Kaiser, H.F. An index of factorial simplicity. Psychometrika 1974, 39, 31–36. [Google Scholar] [CrossRef]
- Dziuban, C.D.; Shirkey, E.C. When is a correlation matrix appropriate for factor analysis? Some decision rules. Psychol. Bull. 1974, 81, 358–361. [Google Scholar] [CrossRef]
- Mirzaei, K.; Khalaji, M. Cross-cultural adaptation and validation of the Persian version of the oral health values scale. BMC Oral Health 2025, 25, 222. [Google Scholar] [CrossRef]
- Şahin, İ.; Atar, A.; Yaman, Ö.; Demir, H.P. Turkish validity and reliability study of the psychological food involvement scale: PFIS-TR. BMC Psychol. 2025, 13, 84. [Google Scholar] [CrossRef]
- Bartlett, M.S. The Effect of Standardization on a χ2 Approximation in Factor Analysis. Biometrika 1951, 38, 337–344. [Google Scholar] [CrossRef]
- Sen, H.T.; Polat, Ş.; Karaman, M.; Özdemir, D. A validity and reliability study of the citizenship fatigue scale in a Turkish sample. BMC Nurs. 2025, 24, 630. [Google Scholar] [CrossRef] [PubMed]
- Legendre, P.; Legendre, L. Ecological resemblance. In Developments in Environmental Modelling; Elsevier: Amsterdam, The Netherlands, 2012; Volume 24, pp. 265–335. [Google Scholar]
- Emerson, J.W.; Green, W.A.; Schloerke, B.; Crowley, J.; Cook, D.; Hofmann, H.; Wickham, H. The Generalized Pairs Plot. J. Comput. Graph. Stat. 2013, 22, 79–91. [Google Scholar] [CrossRef]
- Huang, J.; Zhang, J.; Wang, N.; Hu, S.; Duan, Y. Identification of the Driving Factors to Algal Biomass in Lake Dianchi: Implications for Eutrophication Control. Water 2024, 16, 3485. [Google Scholar] [CrossRef]
- Royston, J.P. Algorithm AS 181: The W Test for Normality. Appl. Stat. 1982, 31, 176–180. [Google Scholar] [CrossRef]
- Royston, P. Remark AS R94: A Remark on Algorithm AS 181: The W-test for Normality. Appl. Stat. 1995, 44, 547–551. [Google Scholar] [CrossRef]
- Bartlett, M.S. Properties of sufficiency and statistical tests. Proc. R. Soc. Lond. A Math. Phys. Sci. 1937, 160, 268–282. [Google Scholar] [CrossRef]
- Fox, J. Applied Regression Analysis and Generalized Linear Models, 3rd ed.; SAGE Publications: Thousand Oaks, CA, USA, 2016. [Google Scholar]
- Chambers, J.; Freeny, A.; Heiberger, R. Analysis of Variance; Designed Experiments. In Statistical Models in S; Chambers, J.M., Hastie, T.J., Eds.; Wadsworth & Brooks/Cole: Pacific Grove, CA, USA, 1992; pp. 145–193. [Google Scholar]
- Yandell, B.S. Practical Data Analysis for Designed Experiments, 1st ed.; Routledge: NewYork, NY, USA, 1997. [Google Scholar]
- Simier, M.; Blanc, L.; Pellegrin, F.; Nandris, D. Approche simultanée de K couples de tableaux: Application à l’étude des relations pathologie végétale—Environnement. Rev. Stat. Appl. 1999, 47, 31–46. [Google Scholar]
- Thioulouse, J.; Simier, M.; Chessel, D. Simultaneous analysis of a sequence of paired ecological tables. Ecology 2004, 85, 272–283. [Google Scholar] [CrossRef]
- Bouroche, J. Analyse des Données Ternaires: La Double Analyse en Composantes Principales. Ph.D. Thesis, Université de Paris VI, Paris, France, 1975. [Google Scholar]
- Thioulouse, J.; Dray, S.; Dufour, A.-B.; Siberchicot, A.; Jombart, T.; Pavoine, S. Multivariate Analysis of Ecological Data with ade4; Springer: New York, NY, USA, 2018. [Google Scholar]
- Bailey, L.W. Notes on new species of microscopical organisms, chiefly from the Para River, South America. Bost. J. Nat. Hist. 1862, 7, 329–352. [Google Scholar]
- Simonsen, R. The diatom system: Ideas on phylogeny. Bacillaria 1979, 2, 9–71. [Google Scholar]
- Compère, P. Ulnaria (Kützing) Compère, a new genus name for Fragilaria subgen. Alterasynedra Lange-Bertalot with comments on the typification of Synedra Ehrenberg. In Lange-Bertalot Festschrift. Studies on Diatoms Dedicated to Prof. Dr. Dr. h.c. Horst Lange-Bertalot on the Occasion of His 65th Birthday; Jahn, R., Kociolek, J.P., Witkowski, A., Compère, P., Eds.; A.R.G. Gantner Verlag, K.G.: Ruggell, Liechtenstein, 2001; pp. 97–102. [Google Scholar]
- Anagnostidis, K.; Komárek, J. Modern approach to the classification system of cyanophytes. 3. Oscillatoriales. Arch. Hydrobiol. Suppl. 1988, 80, 327–472. [Google Scholar]
- Ministerio de Agricultura, Ganadería y Pesca. Geoportal del Agro Ecuatoriano. Available online: http://geoportal.agricultura.gob.ec/index.php/copisa (accessed on 29 October 2025).
- Mohanty, T.R.; Tiwari, N.K.; Kumari, S.; Ray, A.; Manna, R.K.; Bayen, S.; Roy, S.; Das Gupta, S.; Ramteke, M.H.; Swain, H.S.; et al. Variation of Aulacoseira granulata as an eco-pollution indicator in subtropical large river Ganga in India: A multivariate analytical approach. Environ. Sci. Pollut. Res. 2022, 29, 37498–37512. [Google Scholar] [CrossRef] [PubMed]
- Hegab, M.H.; El Sayed, S.M.; Ahmed, N.M.; Abdel-Aal, E.I.; Kassem, D.A.; Gaber, K.M.; Haroon, A.M.; Gawad, S.S.A.; Goher, M.E.; Hussian, A.-E.M. Evaluating the spatial pattern of water quality of the Nile River, Egypt, through multivariate analysis of chemical and biological indicators. Sci. Rep. 2025, 15, 7626. [Google Scholar] [CrossRef] [PubMed]
- García–Nieto, P.J.; García–Gonzalo, E.; Fernández, J.R.A.; Muñiz, C.D. Forecast of chlorophyll-a concentration as an indicator of phytoplankton biomass in El Val reservoir by utilizing various machine learning techniques: A case study in Ebro river basin, Spain. J. Hydrol. 2024, 639, 131639. [Google Scholar] [CrossRef]
- Zhang, C.; McIntosh, K.D.; Sienkiewicz, N.; Stelzer, E.A.; Graham, J.L.; Lu, J. qPCR-based phytoplankton abundance and chlorophyll a: A multi-year study in twelve large freshwater rivers across the United States. Sci. Total Environ. 2024, 954, 175067. [Google Scholar] [CrossRef] [PubMed]
- Chen, Y.; Xia, R.; Jia, R.; Hu, Q.; Yang, Z.; Wang, L.; Zhang, K.; Wang, Y.; Zhang, X. Flow backward alleviated the river algal blooms. Water Res. 2023, 245, 120593. [Google Scholar] [CrossRef]
- Huayamave, J. Estudio de las Aguas y Sedimientos del río Daule, en la Provincia de Guayas, Desde el Punto de Vista Físico Químico, Orgánico, Bacteriológico y Toxicológico. Ph.D. Thesis, Universidad de Las Palmas de Gran Canaria, Las Palmas de Gran Canaria, Spain, 2013. [Google Scholar]
- Vigiak, O.; Grizzetti, B.; Udias-Moinelo, A.; Zanni, M.; Dorati, C.; Bouraoui, F.; Pistocchi, A. Predicting biochemical oxygen demand in European freshwater bodies. Sci. Total Environ. 2019, 666, 1089–1105. [Google Scholar] [CrossRef]
- Ministerio del Ambiente del Ecuador. Revisión y Actualización de la Norma de Calidad Ambiental y de Descarga de Efluentes: Recurso Agua; Anexo 1; Ministerio del Ambiente: Quito, Ecuador, 2015; pp. 1–40. [Google Scholar]
- Haque, S. How Effective Are Existing Phosphorus Management Strategies in Mitigating Surface Water Quality Problems in the U.S.? Sustainability 2021, 13, 6565. [Google Scholar] [CrossRef]
- Wurtsbaugh, W.A.; Paerl, H.W.; Dodds, W.K. Nutrients, eutrophication and harmful algal blooms along the freshwater to marine continuum. WIREs Water 2019, 6, e1373. [Google Scholar] [CrossRef]
- Borbor-Cordova, M.J.; Boyer, E.W.; McDowell, W.H.; Hall, C.A. Nitrogen and phosphorus budgets for a tropical watershed impacted by agricultural land use: Guayas, Ecuador. Biogeochemistry 2006, 79, 135–161. [Google Scholar] [CrossRef]
- Stenger-Kovács, C.; Béres, V.B.; Buczkó, K.; Tapolczai, K.; Padisák, J.; Selmeczy, G.B.; Lengyel, E. Diatom community response to inland water salinization: A review. Hydrobiologia 2023, 850, 4627–4663. [Google Scholar] [CrossRef]
- Taurozzi, D.; Cesarini, G.; Scalici, M. Diatoms as bioindicators for health assessments of ephemeral freshwater ecosystems: A comprehensive review. Ecol. Indic. 2024, 166, 112309. [Google Scholar] [CrossRef]
- U.S. Environmental Protection Agency. Common Toxins Produced by Cyanobacteria, Dinoflagellates, and Diatoms. Available online: https://www.epa.gov/habs/common-toxins-produced-cyanobacteria-dinoflagellates-and-diatoms (accessed on 22 December 2025).
- Vergalli, J.; Fayolle, S.; Combes, A.; Franquet, E.; Comte, K. Persistence of microcystin production by Planktothrix agardhii (Cyanobacteria) exposed to different salinities. Phycologia 2020, 59, 24–34. [Google Scholar] [CrossRef]
- Hampel, J.J.; McCarthy, M.J.; Neudeck, M.; Bullerjahn, G.S.; McKay, R.M.L.; Newell, S.E. Ammonium recycling supports toxic Planktothrix blooms in Sandusky Bay, Lake Erie: Evidence from stable isotope and metatranscriptome data. Harmful Algae 2019, 81, 42–52. [Google Scholar] [CrossRef] [PubMed]
- Shimura, Y.; Fujisawa, T.; Hirose, Y.; Misawa, N.; Kanesaki, Y.; Nakamura, Y.; Kawachi, M. Complete sequence and structure of the genome of the harmful algal bloom-forming cyanobacterium Planktothrix agardhii NIES-204T and detailed analysis of secondary metabolite gene clusters. Harmful Algae 2021, 101, 101942. [Google Scholar] [CrossRef]
- Aguilera, A.; Aubriot, L.; Echenique, R.O.; Donadelli, J.L.; Salerno, G.L. Raphidiopsis mediterranea (Nostocales) exhibits a flexible growth strategy under light and nutrient fluctuations in contrast to Planktothrix agardhii (Oscillatoriales). Hydrobiologia 2019, 839, 145–157. [Google Scholar] [CrossRef]
- U.S. Environmental Protection Agency. Aquatic Life Ambient Water Quality Criteria for Ammonia—Freshwater; U.S. EPA: Washington, DC, USA, 2013; pp. 1–255. [Google Scholar]
- Schmidt, K.; Birchill, A.J.; Atkinson, A.; Brewin, R.J.W.; Clark, J.R.; Hickman, A.E.; Johns, D.G.; Lohan, M.C.; Milne, A.; Pardo, S.; et al. Increasing picocyanobacteria success in shelf waters contributes to long-term food web degradation. Glob. Change Biol. 2020, 26, 5574–5587. [Google Scholar] [CrossRef] [PubMed]
- Ning, M.; Li, H.; Xu, Z.; Chen, L.; He, Y. Picophytoplankton identification by flow cytometry and high-throughput sequencing in a clean reservoir. Ecotoxicol. Environ. Saf. 2021, 216, 112216. [Google Scholar] [CrossRef]
- Chick, J.H.; Levchuk, A.P.; Medley, K.A.; Havel, J.H. Underestimation of rotifer abundance a much greater problem than previously appreciated. Limnol. Oceanogr. Methods 2010, 8, 79–87. [Google Scholar] [CrossRef]
- Weisse, T.; Montagnes, D.J. Ecology of planktonic ciliates in a changing world: Concepts, methods, and challenges. J. Eukaryot. Microbiol. 2022, 69, e12879. [Google Scholar] [CrossRef]
- Utermöhl, H. Zur Vervollkommnung der quantitativen Phytoplankton-Methodik. Int. Ver. Theor. Angew. Limnol. Mitt. 1958, 9, 1–38. [Google Scholar] [CrossRef]







Disclaimer/Publisher’s Note: The statements, opinions and data contained in all publications are solely those of the individual author(s) and contributor(s) and not of MDPI and/or the editor(s). MDPI and/or the editor(s) disclaim responsibility for any injury to people or property resulting from any ideas, methods, instructions or products referred to in the content. |
© 2026 by the authors. Licensee MDPI, Basel, Switzerland. This article is an open access article distributed under the terms and conditions of the Creative Commons Attribution (CC BY) license.
Share and Cite
Gurumendi-Noriega, M.; González-Narváez, M.; Ramos-Veliz, J.; Rosado-Moncayo, A.M.; Apolo-Masache, B.; Dominguez-Granda, L.; Bonilla, J.; Van der heyden, C. Environmental Drivers of Algal Blooms in a Tropical Coastal Riverine System: A Multivariate Statistical Approach. Water 2026, 18, 797. https://doi.org/10.3390/w18070797
Gurumendi-Noriega M, González-Narváez M, Ramos-Veliz J, Rosado-Moncayo AM, Apolo-Masache B, Dominguez-Granda L, Bonilla J, Van der heyden C. Environmental Drivers of Algal Blooms in a Tropical Coastal Riverine System: A Multivariate Statistical Approach. Water. 2026; 18(7):797. https://doi.org/10.3390/w18070797
Chicago/Turabian StyleGurumendi-Noriega, Miguel, Mariela González-Narváez, John Ramos-Veliz, Andrea Mishell Rosado-Moncayo, Boris Apolo-Masache, Luis Dominguez-Granda, Julio Bonilla, and Christine Van der heyden. 2026. "Environmental Drivers of Algal Blooms in a Tropical Coastal Riverine System: A Multivariate Statistical Approach" Water 18, no. 7: 797. https://doi.org/10.3390/w18070797
APA StyleGurumendi-Noriega, M., González-Narváez, M., Ramos-Veliz, J., Rosado-Moncayo, A. M., Apolo-Masache, B., Dominguez-Granda, L., Bonilla, J., & Van der heyden, C. (2026). Environmental Drivers of Algal Blooms in a Tropical Coastal Riverine System: A Multivariate Statistical Approach. Water, 18(7), 797. https://doi.org/10.3390/w18070797

