Resilience-Based Anomaly Detection and Risk Assessment for Groundwater Systems During Tunnel Excavation
Abstract
1. Introduction
2. Study Area
2.1. Project Overview
2.2. Hydrogeological Condition
3. Hydrogeological Model
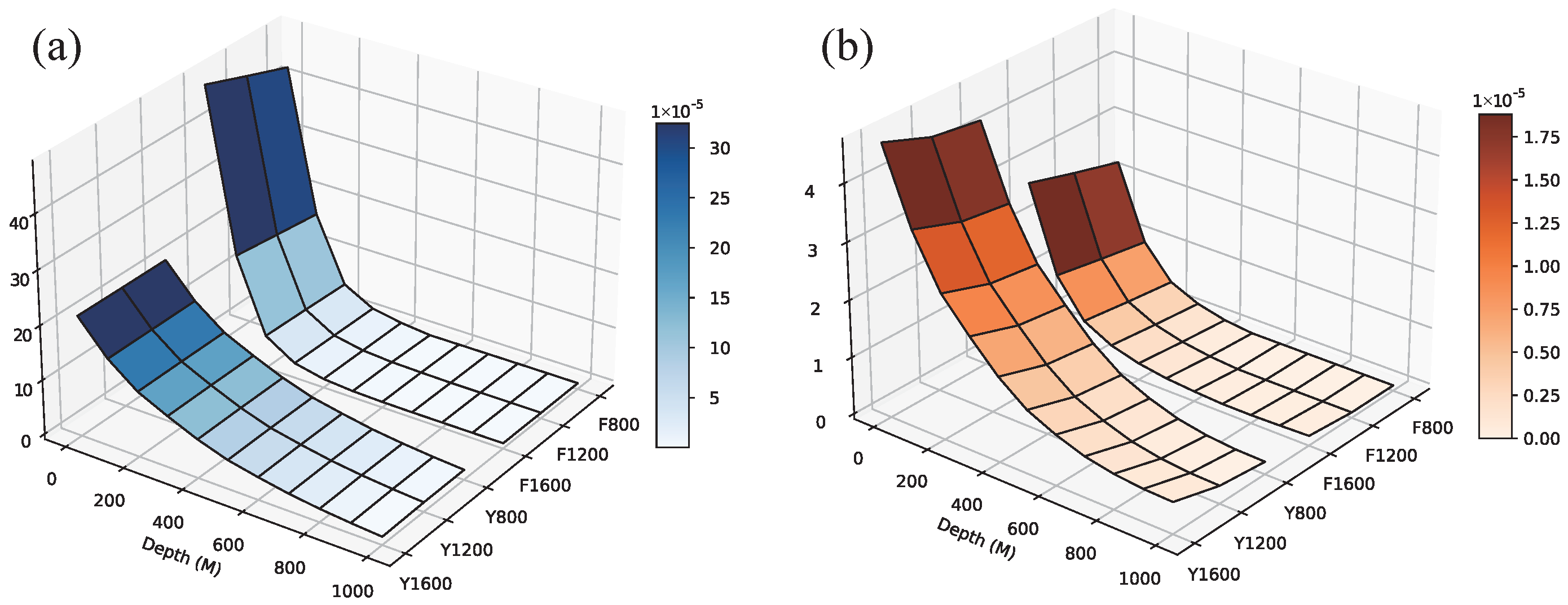
3.1. Mathematical Model
3.2. Model Calibration
4. Construction of Groundwater System Resilience Indicators
4.1. Resilience Conceptual Model
4.2. Construction of Resilience Indicators
4.3. Anomaly Data Recognition
5. Instance Analysis
5.1. Basic Characteristics and Evolution of the Groundwater System
5.2. Robustness and Recovery Regulation Capacity of the Groundwater System
5.3. Comprehensive Resilience of the Groundwater System
5.4. Identification of Potential Anomalies
6. Discussion and Application
Author Contributions
Funding
Data Availability Statement
Conflicts of Interest
References
- He, Q.; Shi, L.; Bai, W.; Wang, Y.; Wang, F. Investigation and simulation analysis of ground collapse accident caused by shield tunnelling: The Foshan Metro Line 3 case. Eng. Fail. Anal. 2024, 166, 108901. [Google Scholar] [CrossRef]
- Hong, Q.; Lai, H.; Liu, Y. Failure analysis and treatments of collapse accidents in loess tunnels. Eng. Fail. Anal. 2023, 145, 107037. [Google Scholar] [CrossRef]
- Wang, G.; Huang, X.; Bu, D.; Dai, Z. How large is the collapsed area of ground collapse induced by tunnelling. Geomech. Geoengin. 2025, 20, 165–178. [Google Scholar] [CrossRef]
- Zhang, P.; Pan, Y.; Yu, Z.; Guan, X.; Wang, G.; An, J.; Lei, H. Ground subsidence characteristics caused by construction of shallow-buried tunnel in a sandy soil composite formation. Arab. J. Geosci. 2020, 13, 901. [Google Scholar] [CrossRef]
- Wang, X.W.; Xu, Y.S. Investigation on the phenomena and influence factors of urban ground collapse in China. Nat. Hazards 2022, 113, 1–33. [Google Scholar] [CrossRef]
- Golian, M.; Abolghasemi, M.; Hosseini, A.; Abbasi, M. Restoring groundwater levels after tunneling: A numerical simulation approach to tunnel sealing decision-making. Hydrogeol. J. 2021, 29, 1611–1628. [Google Scholar] [CrossRef]
- Lv, Y.; Jiang, J.; Chen, L.; Hu, W.; Jiang, Y. Elaborate simulation and predication of the tunnel drainage effect on karst groundwater field and discharge based on Visual MODFLOW. J. Hydrol. 2022, 612, 128023. [Google Scholar] [CrossRef]
- Wang, G.; Luo, J.; Zhang, Z.; Wang, D.; Song, Y.; Li, F. Research on dynamic prediction method of the water inflow in tunnels under complex geological conditions based on the non-darcy flow-energy method. Bull. Eng. Geol. Environ. 2025, 84, 151. [Google Scholar] [CrossRef]
- Liu, H.B.; Zhou, J.Q.; Li, C.; Tan, J.; Hou, D. Semi-empirical models for predicting stable water inflow and influence radius of a tunnel considering non-Darcian effect. J. Hydrol. 2023, 621, 129574. [Google Scholar] [CrossRef]
- Guo, C.; Wang, Z.; Lin, Q.; Lu, D.; Du, X. Analytical Method of Spatiotemporal Evolution Characteristics of Unsteady Seepage Flow Pore Water Pressure in Front of Tunnel Face. KSCE J. Civ. Eng. 2024, 28, 4639–4655. [Google Scholar] [CrossRef]
- Mather, J. Relationship between rock, soil and groundwater compositions. In Geochemical Processes, Weathering and Groundwater Recharge in Catchments; CRC Press: Boca Raton, FL, USA, 2020; pp. 305–328. [Google Scholar] [CrossRef]
- Pujades, E.; Willems, T.; Bodeux, S.; Orban, P.; Dassargues, A. Underground pumped storage hydroelectricity using abandoned works (deep mines or open pits) and the impact on groundwater flow. Hydrogeol. J. 2016, 24, 1531–1546. [Google Scholar] [CrossRef]
- Motlagh, Z.K.; Derakhshani, R.; Sayadi, M.H. Groundwater vulnerability assessment in central Iran: Integration of GIS-based DRASTIC model and a machine learning approach. Groundw. Sustain. Dev. 2023, 23, 101037. [Google Scholar] [CrossRef]
- Shivaei, S.; Hataf, N.; Pirastehfar, K. 3D numerical investigation of the coupled interaction behavior between mechanized twin tunnels and groundwater—A case study: Shiraz metro line 2. Tunn. Undergr. Space Technol. 2020, 103, 103458. [Google Scholar] [CrossRef]
- Rodríguez, C.A.; Rodríguez-Pérez, Á.M.; López, R.; Hernández-Torres, J.A.; Caparrós-Mancera, J.J. A finite element method integrated with Terzaghi’s principle to estimate settlement of a building due to tunnel construction. Buildings 2023, 13, 1343. [Google Scholar] [CrossRef]
- Lu, D.; Li, X.; Du, X.; Lin, Q.; Gong, Q. Numerical simulation and analysis on the mechanical responses of the urban existing subway tunnel during the rising groundwater. Tunn. Undergr. Space Technol. 2020, 98, 103297. [Google Scholar] [CrossRef]
- Johnson, A. Investigation of network models finite difference method. Eurasian J. Chem. Med. Pet. Res. 2023, 2, 1–9. [Google Scholar] [CrossRef]
- Chávez-Negrete, C.; Domínguez-Mota, F.; Román-Gutiérrez, R. Interface formulation for generalized finite difference method for solving groundwater flow. Comput. Geotech. 2024, 166, 105990. [Google Scholar] [CrossRef]
- Zheng, X.; Yang, Z.; Wang, S.; Chen, Y.F.; Hu, R.; Zhao, X.J.; Wu, X.L.; Yang, X.L. Evaluation of hydrogeological impact of tunnel engineering in a karst aquifer by coupled discrete-continuum numerical simulations. J. Hydrol. 2021, 597, 125765. [Google Scholar] [CrossRef]
- Hassani, A.N.; Farhadian, H.; Katibeh, H. A comparative study on evaluation of steady-state groundwater inflow into a circular shallow tunnel. Tunn. Undergr. Space Technol. 2018, 73, 15–25. [Google Scholar] [CrossRef]
- Cheng, P.; Zhao, L.; Luo, Z.; Li, L.; Li, Q.; Deng, X.; Peng, W. Analytical solution for the limiting drainage of a mountain tunnel based on area-well theory. Tunn. Undergr. Space Technol. 2019, 84, 22–30. [Google Scholar] [CrossRef]
- Wei, Z.; Zhu, Y. A theoretical calculation method of ground settlement based on a groundwater seepage and drainage model in tunnel engineering. Sustainability 2021, 13, 2733. [Google Scholar] [CrossRef]
- Yu, J.; Ge, S.; Hou, L.; Zhang, Y.; Liu, Y. Limit drainage of separated tunnel based on ecological groundwater table: A case study. Adv. Civ. Eng. 2021, 2021, 2669924. [Google Scholar] [CrossRef]
- Yunlong, J.; Zhengzheng, C.; Zhenhua, L.; Feng, D.; Cunhan, H.; Haixiao, L.; Wenqiang, W.; Minglei, Z. Nonlinear evolution characteristics and seepage mechanical model of fluids in broken rock mass based on the bifurcation theory. Sci. Rep. 2024, 14, 10982. [Google Scholar] [CrossRef] [PubMed]
- Peng, C.; Liu, Y.; Chen, H.; Yuan, Q.; Chen, Q.; Mei, S.; Wu, Z. Analysis of hydrogeochemical characteristics of tunnel groundwater based on multivariate statistical technology. Geofluids 2021, 2021, 4867942. [Google Scholar] [CrossRef]
- Ahmed, N.Z.; El-Shourbagy, M.; Akl, A.; Metwally, K. Field monitoring and numerical analysis of ground deformation induced by tunnelling beneath an existing tunnel. Cogent Eng. 2021, 8, 1861731. [Google Scholar] [CrossRef]
- Liu, J.Q.; Sun, Y.K.; Li, C.j.; Yuan, H.l.; Chen, W.Z.; Liu, X.Y.; Zhou, X.S. Field monitoring and numerical analysis of tunnel water inrush and the environmental changes. Tunn. Undergr. Space Technol. 2022, 122, 104360. [Google Scholar] [CrossRef]
- Batabyal, A.A. The concept of resilience: Retrospect and prospect. Environ. Dev. Econ. 1998, 3, 221–262. [Google Scholar] [CrossRef]
- Woods, D.D. Four concepts for resilience and the implications for the future of resilience engineering. Reliab. Eng. Syst. Saf. 2015, 141, 5–9. [Google Scholar] [CrossRef]
- Wied, M.; Oehmen, J.; Welo, T. Conceptualizing resilience in engineering systems: An analysis of the literature. Syst. Eng. 2020, 23, 3–13. [Google Scholar] [CrossRef]
- Chen, C.; Xu, L.; Zhao, D.; Xu, T.; Lei, P. A new model for describing the urban resilience considering adaptability, resistance and recovery. Saf. Sci. 2020, 128, 104756. [Google Scholar] [CrossRef]
- Van Meerbeek, K.; Jucker, T.; Svenning, J.C. Unifying the concepts of stability and resilience in ecology. J. Ecol. 2021, 109, 3114–3132. [Google Scholar] [CrossRef]
- Dakos, V.; Kéfi, S. Ecological resilience: What to measure and how. Environ. Res. Lett. 2022, 17, 043003. [Google Scholar] [CrossRef]
- Walker, B. Resilience: What it is and is not. Ecol. Soc. 2020, 25, 11. [Google Scholar] [CrossRef]
- Falk, D.A.; van Mantgem, P.J.; Keeley, J.E.; Gregg, R.M.; Guiterman, C.H.; Tepley, A.J.; Young, D.J.; Marshall, L.A. Mechanisms of forest resilience. For. Ecol. Manag. 2022, 512, 120129. [Google Scholar] [CrossRef]
- Evenhuis, E. New directions in researching regional economic resilience and adaptation. In Handbook on Regional Economic Resilience; Edward Elgar Publishing: Cheltenham, UK, 2020; pp. 69–86. [Google Scholar] [CrossRef]
- Yu, Y.; Ma, D.; Zhu, W. Resilience assessment of international cobalt trade network. Resour. Policy 2023, 83, 103636. [Google Scholar] [CrossRef]
- Hynes, W.; Trump, B.D.; Kirman, A.; Haldane, A.; Linkov, I. Systemic resilience in economics. Nat. Phys. 2022, 18, 381–384. [Google Scholar] [CrossRef]
- Martin, R.; Sunley, P. Regional economic resilience: Evolution and evaluation. In Handbook on Regional Economic Resilience; Edward Elgar Publishing: Cheltenham, UK, 2020; pp. 10–35. [Google Scholar] [CrossRef]
- Wang, Z.; Wei, W. Regional economic resilience in China: Measurement and determinants. Reg. Stud. 2021, 55, 1228–1239. [Google Scholar] [CrossRef]
- Huang, Z.; Zhang, D.; Pitilakis, K.; Tsinidis, G.; Huang, H.; Zhang, D.; Argyroudis, S. Resilience assessment of tunnels: Framework and application for tunnels in alluvial deposits exposed to seismic hazard. Soil Dyn. Earthq. Eng. 2022, 162, 107456. [Google Scholar] [CrossRef]
- Sam, J. Use of fragility curves to assess the seismic vulnerability of soft rock tunnels: A review. J. Vibroeng. 2025, 27, 285–320. [Google Scholar] [CrossRef]
- Aka, F.T.; Buh, G.W.; Fantong, W.Y.; Issa; Zouh, I.T.; Djomou, S.L.B.; Ghogomu, R.T.; Gibson, T.; Marmol del, M.A.; Sigha, L.N.; et al. Disaster prevention, disaster preparedness and local community resilience within the context of disaster risk management in Cameroon. Nat. Hazards 2017, 86, 57–88. [Google Scholar] [CrossRef]
- Tariq, H.; Pathirage, C.; Fernando, T. Measuring community disaster resilience at local levels: An adaptable resilience framework. Int. J. Disaster Risk Reduct. 2021, 62, 102358. [Google Scholar] [CrossRef]
- Shi, Y.; Zhai, G.; Xu, L.; Zhou, S.; Lu, Y.; Liu, H.; Huang, W. Assessment methods of urban system resilience: From the perspective of complex adaptive system theory. Cities 2021, 112, 103141. [Google Scholar] [CrossRef]
- Li, Z.; Fu, D.; Wang, J.; Min, K.; Zhang, J. Urban resilience assessment model for waterlogging disasters and its application. J. Tsinghua Univ. Sci. Technol. 2022, 62, 266–276. [Google Scholar] [CrossRef]
- Lu, X.; Liao, W.; Fang, D.; Lin, K.; Tian, Y.; Zhang, C.; Zheng, Z.; Zhao, P. Quantification of disaster resilience in civil engineering: A review. J. Saf. Sci. Resil. 2020, 1, 19–30. [Google Scholar] [CrossRef]
- Peters, E.; Van Lanen, H.; Torfs, P.; Bier, G. Drought in groundwater—Drought distribution and performance indicators. J. Hydrol. 2005, 306, 302–317. [Google Scholar] [CrossRef]
- Seo, S.B.; Mahinthakumar, G.; Arumugam, S.; Kumar, M. Assessing the resiliency of surface water and groundwater systems under groundwater pumping. Hydrol. Earth Syst. Sci. Discuss. 2017, 2017, 1–47. [Google Scholar] [CrossRef]
- Shrestha, S.; Neupane, S.; Mohanasundaram, S.; Pandey, V.P. Mapping groundwater resiliency under climate change scenarios: A case study of Kathmandu Valley, Nepal. Environ. Res. 2020, 183, 109149. [Google Scholar] [CrossRef]
- Chinnasamy, P.; Maheshwari, B.; Prathapar, S.A. Adaptation of Standardised Precipitation Index for understanding watertable fluctuations and groundwater resilience in hard-rock areas of India. Environ. Earth Sci. 2018, 77, 562. [Google Scholar] [CrossRef]
- Zeydalinejad, N.; Nassery, H.R.; Alijani, F.; Shakiba, A. Forecasting the resilience of Bibitarkhoun karst spring, southwest Iran, to the future climate change. Model. Earth Syst. Environ. 2020, 6, 2359–2375. [Google Scholar] [CrossRef]
- Lin, Y.C.; Kuo, E.D.; Chi, W.J. Analysis of meteorological drought resilience and risk assessment of groundwater using signal analysis method. Water Resour. Manag. 2021, 35, 179–197. [Google Scholar] [CrossRef]
- Zeydalinejad, N. An overview of the methods for evaluating the resilience of groundwater systems. MethodsX 2023, 10, 102134. [Google Scholar] [CrossRef] [PubMed]
- Surinaidu, L.; Rao, V.G.; Rao, N.S.; Srinu, S. Hydrogeological and groundwater modeling studies to estimate the groundwater inflows into the coal Mines at different mine development stages using MODFLOW, Andhra Pradesh, India. Water Resour. Ind. 2014, 7, 49–65. [Google Scholar] [CrossRef]
- Khadri, S.; Pande, C. Ground water flow modeling for calibrating steady state using MODFLOW software: A case study of Mahesh River basin, India. Model. Earth Syst. Environ. 2016, 2, 39. [Google Scholar] [CrossRef]
- Lin, Y.P.; Chen, Y.W.; Chang, L.C.; Yeh, M.S.; Huang, G.H.; Petway, J.R. Groundwater simulations and uncertainty analysis using MODFLOW and geostatistical approach with conditioning multi-aquifer spatial covariance. Water 2017, 9, 164. [Google Scholar] [CrossRef]
- Alattar, M.H.; Troy, T.J.; Russo, T.A.; Boyce, S.E. Modeling the surface water and groundwater budgets of the US using MODFLOW-OWHM. Adv. Water Resour. 2020, 143, 103682. [Google Scholar] [CrossRef]
- Chen, Z.; Huang, J.; Zhan, H.; Wang, J.; Dou, Z.; Zhang, C.; Chen, C.; Fu, Y. Optimization schemes for deep foundation pit dewatering under complicated hydrogeological conditions using MODFLOW-USG. Eng. Geol. 2022, 303, 106653. [Google Scholar] [CrossRef]
- Perdikaki, M.; Pouliaris, C.; Makropoulos, C.; Kallioras, A. Simulation of horizontal injection wells in Managed Aquifer Recharge facilities using the conduit flow process (CFP) code for MODFLOW-2005. Environ. Model. Softw. 2022, 148, 105289. [Google Scholar] [CrossRef]
- Sisay, B.M.; Nedaw, D.; Birhanu, B.; Gigar, A.G. Application of SWAT and MODFLOW models for characterization of surface–groundwater interaction in the Modjo River catchment, central Ethiopia. Environ. Earth Sci. 2023, 82, 341. [Google Scholar] [CrossRef]
- Ardila, P.R.; Durán, J.; Pomar, L. Paleocollapse structures as geological record for reconstruction of past karst processes during the upper Miocene of Mallorca island. Int. J. Speleol. 2004, 33, 81–94. [Google Scholar] [CrossRef]













| Parameter | Huafu Tunnel | Huayan Tunnel |
|---|---|---|
| Total Length | ≈3562 m | ≈4800 m |
| Maximum burial depth | ≈247 m | ≈348 m |
| Tunnel Configuration | Twin tunnels, 4 lanes | Twin tunnels, 6 lanes |
| Width × Clearance Height | ≈10.5 m × 6.76 m | ≈13.5 m × 9.0 m |
| Construction Start Date | October 2003 | June 2013 |
| Completion Date | March 2024 | June 2017 |
| Construction Duration | 5 months | 48 months |
| Initial Groundwater Level | 354 m | 387 m |
| Affected groundwater area | 1100 m | 4400 m |
| Main Strata | Stratigraphic Composition | Characteristics |
|---|---|---|
| Carbonate rocks (T2l + T1j + T1f + P2c) | Limestone, Dolomitic limestone, Dolomite | Aquifer |
| Clastic rocks (T3xj) | Thick-bedded sandstone | Aquifer |
| Jurassic formations | Purplish-red mudstone, Interbedded thin sandstone layers | Aquitard |
| Xujiahe Formation (T3xj) | Shale, Carbonaceous shale, Mudstone | Aquitard |
| Feixianguan Formation (T1f) | Mudstone, Interbedded argillaceous limestone, Calcareous shale | Aquitard |
| Formation | (m/d) | (m/d) | (m/d) | Effective Porosity | Total Porosity | ||
|---|---|---|---|---|---|---|---|
| J | 0.0193 | 0.0171 | 0.0115 | 0.0004 | 0.015 | 0.031 | 0.034 |
| T3xj | 0.072 | 0.052 | 0.072 | 0.0011 | 0.023 | 0.048 | 0.051 |
| T1j, T2l | 0.255 | 1.181 | 1.178 | 0.0023 | 0.141 | 0.193 | 0.196 |
| T1f2, T1f4 | 0.0211 | 0.0211 | 0.0211 | 0.0002 | 0.011 | 0.022 | 0.025 |
| T1f1, T1f3 | 0.0193 | 0.0171 | 0.0115 | 0.0021 | 0.107 | 0.114 | 0.117 |
| P2c | 0.261 | 0.337 | 0.263 | 0.0023 | 0.136 | 0.177 | 0.18 |
Disclaimer/Publisher’s Note: The statements, opinions and data contained in all publications are solely those of the individual author(s) and contributor(s) and not of MDPI and/or the editor(s). MDPI and/or the editor(s) disclaim responsibility for any injury to people or property resulting from any ideas, methods, instructions or products referred to in the content. |
© 2026 by the authors. Licensee MDPI, Basel, Switzerland. This article is an open access article distributed under the terms and conditions of the Creative Commons Attribution (CC BY) license.
Share and Cite
Xiong, C.-G.; Yang, L. Resilience-Based Anomaly Detection and Risk Assessment for Groundwater Systems During Tunnel Excavation. Water 2026, 18, 625. https://doi.org/10.3390/w18050625
Xiong C-G, Yang L. Resilience-Based Anomaly Detection and Risk Assessment for Groundwater Systems During Tunnel Excavation. Water. 2026; 18(5):625. https://doi.org/10.3390/w18050625
Chicago/Turabian StyleXiong, Cheng-Gong, and Le Yang. 2026. "Resilience-Based Anomaly Detection and Risk Assessment for Groundwater Systems During Tunnel Excavation" Water 18, no. 5: 625. https://doi.org/10.3390/w18050625
APA StyleXiong, C.-G., & Yang, L. (2026). Resilience-Based Anomaly Detection and Risk Assessment for Groundwater Systems During Tunnel Excavation. Water, 18(5), 625. https://doi.org/10.3390/w18050625
