Hydrodynamic Loadings on Debris Accumulations at Low Froude Numbers in Straight Channel
Abstract
1. Introduction
2. Materials and Methods
3. Results and Discussion
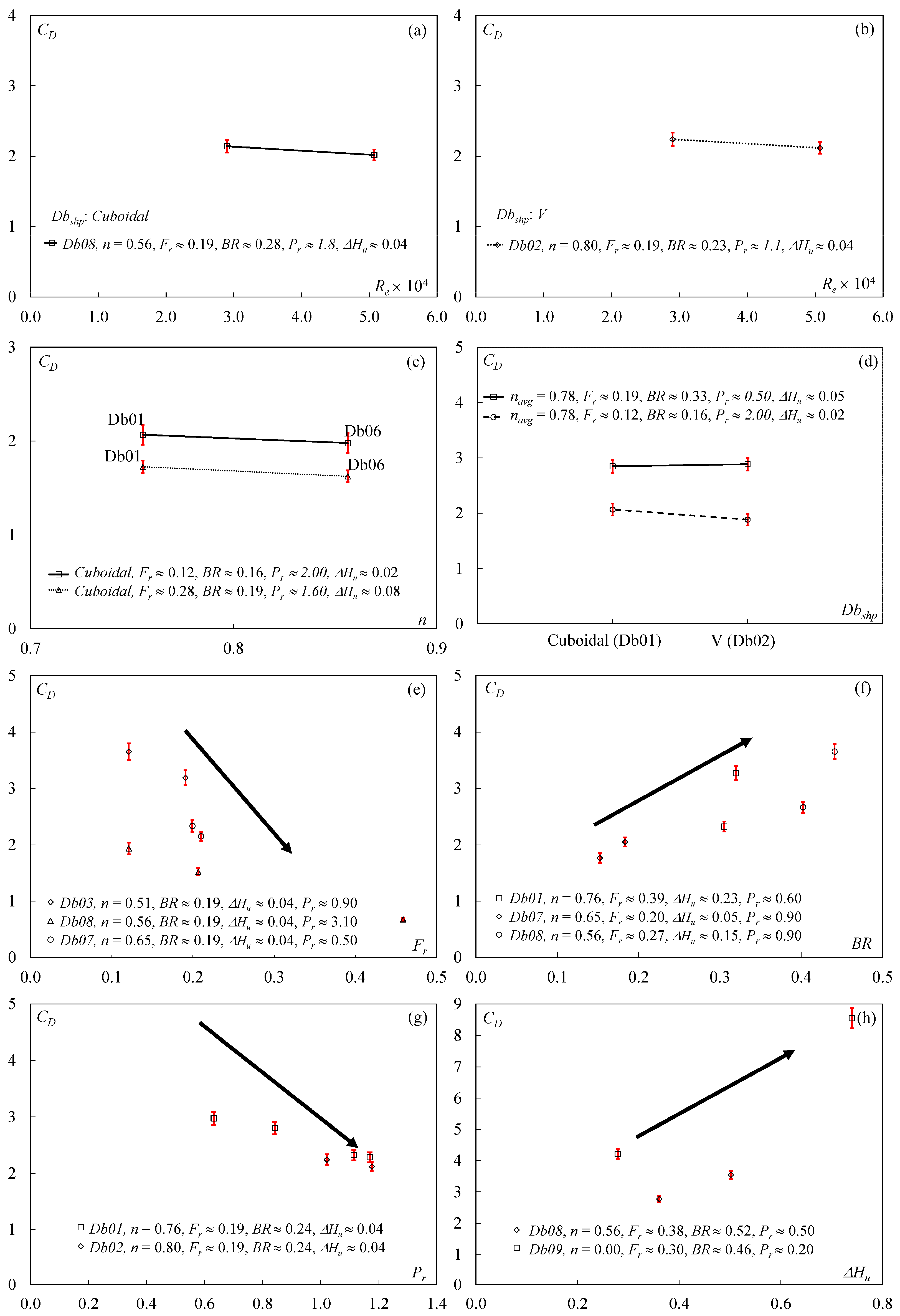
3.1. Effect of Governing Parameters on CD and CL
3.2. Lift Index
3.3. Validation
4. Conclusions
Author Contributions
Funding
Data Availability Statement
Acknowledgments
Conflicts of Interest
Abbreviations and Symbols
| Adrag | Projected area of the debris facing the flow (m2) |
| Afmax | Maximum frontal projected area of debris (m2) |
| Alift | Projected bottom area beneath the debris (m2) |
| Aproj | Projected area (m2) |
| B | Buoyancy due to submerged debris portion (N) |
| BR | =Adrag/(Ahu) = Blockage ratio (–), here, Ahu = Upstream cross-sectional flow area = w × hu |
| CFD | Computational fluid dynamics |
| CFD-DEM | Computational fluid dynamics–discrete element method |
| CD | =FD/(0.5ρ(Vu)2Adrag) = Drag coefficient (–) |
| CL | =(FL − B)/(0.5ρ(Vu)2Alift) = Lift coefficient (–) |
| d50 | Mean sediment grain diameter (mm) |
| Dbh | Debris height (m) |
| Dbl | Debris length (m) |
| Dbshp | Debris shape |
| Dbw | Debris width (m) |
| Dbw/w | Relative debris width to channel ratio (–) |
| FD | Drag force on the debris readout by load cell (N) |
| FL | Lift force on the debris readout by load cell (N) |
| Fr | =Vu/(ghu)0.5 = Froude number (–) |
| FrL | Debris Froude number (–) |
| g | Acceleration due to gravity (m/s2) |
| h | Channel depth (m) |
| h* | =(hu,nd − hb)/Dbh = Inundation ratio |
| h0 | Initial water level (m) |
| hb | Clearance between debris bottom and channel bed (m) |
| hd | Downstream water depth (m) |
| hd,nd | Downstream water depth immediately near debris (m) |
| hu | Upstream water depth (m) |
| hu,nd | Upstream water depth immediately near debris (m) |
| huB | =(hu,nd − hb) = Local upstream water depth at the debris face (m) |
| Kshape | Shape coefficient (−) |
| l | Channel length (m) |
| LC | Load cells |
| LI | Lift index (−) |
| LWD | Large wood debris |
| NI | National Instruments |
| Pr | =hb/huB (h* < 1) or Pr = hb/Dbh (h* ≥ 1) = Proximity ratio (–) |
| Q | Flow discharge (m3/s) |
| Re | =Vu × hu/(ν) = Reynolds number (–) |
| Vu | Upstream flow velocity (m/s) |
| VLWD | Solid wood volume (m3) |
| w | Channel width (m) |
| Z0 | Fixed bed level |
| ΔH | =hu,nd − hd,nd = Difference between upstream and downstream water level (m) |
| ΔHu | =ΔH/hu = Non-dimensional water level difference between upstream and downstream water level (–) |
| ν | Kinematic viscosity of water (m2/s) |
| ρ | Water density (kg/m3) |
| ✓ | Yes |
| ✗ | No |
| ◐ | Partially studied |
References
- Schmocker, L.; Hager, W.H. Probability of Drift Blockage at Bridge Decks. J. Hydraul. Eng. 2011, 137, 470–479. [Google Scholar] [CrossRef]
- Pagliara, S.; Carnacina, I. Influence of Wood Debris Accumulation on Bridge Pier Scour. J. Hydraul. Eng. 2011, 137, 254–261. [Google Scholar] [CrossRef]
- Panici, D.; De Almeida, G.A.M. Formation, Growth, and Failure of Debris Jams at Bridge Piers. Water Resour. Res. 2018, 54, 6226–6241. [Google Scholar] [CrossRef]
- Parola, A.C.; Apelt, C.J.; Jempson, M.A. Debris Forces on Highway Bridges; National Cooperative Highway Research Program Report 445; Transportation Research Board: Washington, DC, USA, 2000. [Google Scholar]
- Shields, F.D., Jr.; Alonso, C.V. Assessment of Flow Forces on Large Wood in Rivers. Water Resour. Res. 2012, 48, W04516. [Google Scholar] [CrossRef]
- Schalko, I.; Schmocker, L.; Weitbrecht, V.; Boes, R.M. Backwater Rise Due to Large Wood Accumulations. J. Hydraul. Eng. 2018, 144, 04018056. [Google Scholar] [CrossRef]
- Schalko, I.; Lageder, C.; Schmocker, L.; Weitbrecht, V.; Boes, R.M. Laboratory Flume Experiments on the Formation of Spanwise Large Wood Accumulations: I. Effect on Backwater Rise. Water Resour. Res. 2019, 55, 4854–4870. [Google Scholar] [CrossRef]
- Mauti, G.; Stolle, J.; Takabatake, T.; Nistor, I.; Goseberg, N.; Mohammadian, A. Experimental Investigation of Loading Due to Debris Dams on Structures. J. Hydraul. Eng. 2020, 146, 04020029. [Google Scholar] [CrossRef]
- Kabir, S.M.I.; Ahmari, H.; Dean, M. Contribution of Debris and Substructures to Hydrodynamic Forces on Bridges. Eng. Struct. 2023, 283, 115878. [Google Scholar] [CrossRef]
- Ballio, F.; Viscardi, S.; Pallavicini, P.; Malavasi, S. Drag Coefficients of Debris Accumulations. J. Hydraul. Eng. 2024, 150, 06024003. [Google Scholar] [CrossRef]
- Diehl, T.H.; Bryan, B.A. Supply of Large Woody Debris in a Stream Channel. In Proceedings of the 1993 National Conference on Hydraulic Engineering. Part 1 (of 2), San Francisco, CA, USA, 25–30 July 1993; pp. 1055–1060. [Google Scholar]
- Braudrick, C.A.; Grant, G.E. When Do Logs Move in Rivers? Water Resour. Res. 2000, 36, 571–583. [Google Scholar] [CrossRef]
- Bocchiola, D.; Rulli, M.C.; Rosso, R. A Flume Experiment on the Formation of Wood Jams in Rivers. Water Resour. Res. 2008, 44, W02408. [Google Scholar] [CrossRef]
- Abbe, T.B.; Montgomery, D.R. Patterns and Processes of Wood Debris Accumulation in the Queets River Basin, Washington. Geomorphology 2003, 51, 81–107. [Google Scholar] [CrossRef]
- Gurnell, A.M.; Gregory, K.J.; Petts, G.E. The Role of Coarse Woody Debris in Forest Aquatic Habitats: Implications for Management. Aquat. Conserv. Mar. Freshw. Ecosyst. 1995, 5, 143–166. [Google Scholar] [CrossRef]
- Andreoli, A.; Comiti, F.; Lenzi, M.A. Characteristics, Distribution and Geomorphic Role of Large Woody Debris in a Mountain Stream of the Chilean Andes. Earth Surf. Process. Landf. 2007, 32, 1675–1692. [Google Scholar] [CrossRef]
- Wohl, E. Bridging the Gaps: An Overview of Wood across Time and Space in Diverse Rivers. Geomorphology 2017, 279, 3–26. [Google Scholar] [CrossRef]
- Lyn, D.; Cooper, T.; Yi, Y.-K. Debris Accumulation at Bridge Crossings: Laboratory and Field Studies; FHWA/IN/JTRP-2003/10; Joint Transportation Research Program; Purdue University: West Lafayette, IN, USA, 2003. [Google Scholar]
- Melville, B.W.; Dongol, D.M. Bridge Pier Scour with Debris Accumulation. J. Hydraul. Eng. 1992, 118, 1306–1310. [Google Scholar] [CrossRef]
- Pagliara, S.; Carnacina, I. Temporal Scour Evolution at Bridge Piers: Effect of Wood Debris Roughness and Porosity. J. Hydraul. Res. 2010, 48, 3–13. [Google Scholar] [CrossRef]
- Palermo, M.; Pagliara, S.; Roy, D. Effect of Debris Accumulation on Scour Evolution at Bridge Pier in Bank Proximity. J. Hydrol. Hydromech. 2021, 69, 108–118. [Google Scholar] [CrossRef]
- Panici, D.; Kripakaran, P. Characterizing the Importance of Porosity of Large Woody Debris Accumulations at Single Bridge Piers on Localized Scour. Water Resour. Res. 2023, 59, e2022WR033531. [Google Scholar] [CrossRef]
- Wellwood, N.; Fenwick, J. A Flood Loading Methodology for Bridges. In Proceedings of the 15th Australian Road Research Board Conference, Darwin, Australia, 26-31 August 1990; ARRB: Port Melbourne, Australia, 1990; pp. 315–341. [Google Scholar]
- Kabir, S.M.I.; Ahmari, H.; Dean, M. Experimental Study to Investigate the Effects of Bridge Geometry and Flow Condition on Hydrodynamic Forces. J. Fluids Struct. 2022, 113, 103688. [Google Scholar] [CrossRef]
- Malavasi, S.; Guadagnini, A. Interactions between a Rectangular Cylinder and a Free-Surface Flow. J. Fluids Struct. 2007, 23, 1137–1148. [Google Scholar] [CrossRef]
- Palermo, M.; Kumar, A.; Wei, H.; Pagliara, S. Hydrodynamic Loads on Rectangular Bridge Decks at Very Low Proximity in Fixed and Movable Beds. Water 2025, 17, 617. [Google Scholar] [CrossRef]
- Pagliara, S.; Kumar, A.; Wei, H.; Palermo, M. Hydrodynamic Impacts on Bridge Decks: A Comprehensive Literature Review. In Proceedings of the 41st IAHR World Congress, Singapore, 22–27 June 2025; IAHR: Singapore, 2025; pp. 190–198. [Google Scholar] [CrossRef]
- De Cicco, P.N.; Paris, E.; Solari, L.; Ruiz-Villanueva, V. Bridge Pier Shape Influence on Wood Accumulation: Outcomes from Flume Experiments and Numerical Modelling. J. Flood Risk Manag. 2020, 13, e12599. [Google Scholar] [CrossRef]
- Wang, Z.; Zhou, H.; Li, Y.; Wang, Z. Numerical Simulation of Debris Flow Impact on Pier with Different Cross-Sectional Shapes Based on Coupled CFD-DEM. Int. J. Numer. Anal. Methods Geomech. 2025, 49, 2025–2046. [Google Scholar] [CrossRef]
- Hoerner, S.F. Fluid Dynamic Drag: Theoretical, Experimental and Statistical Information; Hoerner Fluid Dynamics: Washington, DC, USA, 1992. [Google Scholar]
- White, F.M. Fluid Mechanics; McGraw-Hill: New York, NY, USA, 2011. [Google Scholar]
- Heller, V. Scale Effects in Physical Hydraulic Engineering Models. J. Hydraul. Res. 2011, 49, 293–306. [Google Scholar] [CrossRef]
- Schmocker, L.; Hager, W.H. Scale Modeling of Wooden Debris Accumulation at a Debris Rack. J. Hydraul. Eng. 2013, 139, 827–836. [Google Scholar] [CrossRef]
- Malavasi, S.; Guadagnini, A. Hydrodynamic Loading on River Bridges. J. Hydraul. Eng. 2003, 129, 854–861. [Google Scholar] [CrossRef]
- Palermo, M.; Wei, H.; Kumar, A.; Bombardelli, F.A.; Pagliara, S. 3D Scour due to Low-inclined Circular Jets in Cohesive Soils: A Preliminary Analysis. In Proceedings of the 41st IAHR World Congress, Singapore, 22–27 June 2025; IAHR: Singapore, 2025; pp. 315–322. [Google Scholar] [CrossRef]
- Palermo, M.; Di Nardi, J.; Bombardelli, F.A.; Pagliara, S. Scour due to Circular Jets in Cohesive Soils: Physical Evidence from Three-dimensional Laboratory Tests. Phys. Fluids 2024, 36, 095169. [Google Scholar] [CrossRef]
- Jempson, M. Flood and Debris Loads on Bridges. Ph.D. Thesis, The University of Queensland, Brisbane, Australia, 2000. [Google Scholar]
- Kerenyi, K.; Sofu, T.; Guo, J. Hydrodynamic Forces on Inundated Bridge Decks; U.S. Department of Transportation: Washington, DC, USA, 2009. [Google Scholar]
- Naderi, N. Numerical Simulation of Hydrodynamic Forces on Bridge Decks. Master’s Thesis, Delft University of Technology, Delft, The Netherlands, 2018. [Google Scholar]
- Zayed, M.; Saleh, M. Assessing the Backwater Rise of Floating Barriers with Racks for Various Blockages in Open Channels. J. Eng. Appl. Sci. 2025, 72, 20. [Google Scholar] [CrossRef]













| Reference | Studied Aspects | Parameters Investigated and/or Utilized in Predictive Formulations | ||||||||
|---|---|---|---|---|---|---|---|---|---|---|
| Dbshp | n | FD or CD | FL or CL | Fr | BR | Pr | ΔHu or Backwater | h* or Submergence | ||
| [1] | Debris blockage probability | ✓ | ✗ | ✗ | ✗ | ✓ | ◐ | ✗ | ◐ | ✓ |
| [3] | Jam formation and loading | ✓ | ◐ | ✓ | ✗ | ✓ | ◐ | ✗ | ✓ | ✓ |
| [4] | Hydraulic loads by debris | ✓ | ◐ | ✓ | ✗ | ✓ | ✓ | ◐ | ✓ | ✓ |
| [5] | Drag–lift on single LWD | ✓ | ◐ | ✓ | ✓ | ✓ | ✓ | ✓ | ◐ | ◐ |
| [7] | Backwater rise from debris jams | ✓ | ✓ | ✗ | ✗ | ✓ | ✓ | ✗ | ✓ | ✓ |
| [10] | Drag of debris jams | ✓ | ✓ | ✓ | ✗ | ✓ | ✓ | ✗ | ◐ | ◐ |
| [20] | Scour evolution with debris | ✓ | ✓ | ✗ | ✗ | ✓ | ✓ | ✗ | ◐ | ✓ |
| Present Study | Drag–lift of debris accumulations | ✓ | ✓ | ✓ | ✓ | ✓ | ✓ | ✓ | ✓ | ✓ |
| Debris Type | n (−) | (Dbl × Dbw × Dbh) (cm) | Dbw/w (−) | Weight (g) | VLWD (cm3) | Afmax (cm2) | Alift (cm2) |
|---|---|---|---|---|---|---|---|
| Db01—Medium width cuboidal | 0.76 | 8.5 × 20 × 9.5 | 0.58 | 396.98 | 353.56 | 168.08 | 130.91 |
| Db02—V | 0.80 | 24 × 21 × 10.5 | 0.61 | 465.37 | 707.13 | 206.79 | 273.68 |
| Db03—Caged cuboidal | 0.51 | 18 × 18 × 10.5 | 0.52 | 1196.88 | 1649.97 | 140.18 | 241.16 |
| Db04—Caged trapezoidal | 0.60 | 17 × 19 × 10 | 0.55 | 864.14 | 942.84 | 153.05 | 195.50 |
| Db05—Inverted caged trapezoidal | 0.60 | 17 × 19 × 10 | 0.55 | 864.14 | 942.84 | 176.00 | 195.50 |
| Db06—High-porosity cuboidal | 0.86 | 5 × 27 × 8.5 | 0.78 | 224.63 | 165.00 | 163.41 | 136.77 |
| Db07—Small width cuboidal | 0.65 | 8 × 13 × 11 | 0.38 | 377.86 | 400.71 | 134.25 | 91.10 |
| Db08—Large width cuboidal | 0.56 | 6.7 × 28 × 10.5 | 0.81 | 682.20 | 824.98 | 303.76 | 235.24 |
| Db09—Polystyrene cuboidal | 0.00 | 8 × 17 × 16.5 | 0.49 | 220.94 | 2244.00 | 280.50 | 136.00 |
| Parameters | Range |
|---|---|
| Re | 2.9 × 104–7.5 × 104 |
| Fr | 0.12–0.57 |
| BR | 0.03–0.63 |
| ΔHu | 0.00–0.74 |
| Pr | 0.03–9.94 |
| h* | 0.10–1.60 |
| n | 0.00–0.86 |
| Debris Type | Debris Name | (h* < 1) | (h* ≥ 1) | |
|---|---|---|---|---|
| Db01 | Medium width cuboidal | 1.44 | 0.84 | 0.58 |
| Db02 | V | 0.79 | 0.49 | 0.62 |
| Db03 | Caged cuboidal | 2.27 | 1.28 | 0.56 |
| Db04 | Caged trapezoidal | 1.12 | 0.89 | 0.79 |
| Db05 | Inverted caged trapezoidal | 1.64 | 1.08 | 0.66 |
| Db06 | High-porosity cuboidal | 0.64 | 0.38 | 0.59 |
| Db07 | Small width cuboidal | 1.50 | 0.82 | 0.55 |
| Db08 | Large width cuboidal | 1.50 | 0.83 | 0.56 |
| Db09 | Polystyrene cuboidal | 0.98 | 0.93 | 0.95 |
Disclaimer/Publisher’s Note: The statements, opinions and data contained in all publications are solely those of the individual author(s) and contributor(s) and not of MDPI and/or the editor(s). MDPI and/or the editor(s) disclaim responsibility for any injury to people or property resulting from any ideas, methods, instructions or products referred to in the content. |
© 2026 by the authors. Licensee MDPI, Basel, Switzerland. This article is an open access article distributed under the terms and conditions of the Creative Commons Attribution (CC BY) license.
Share and Cite
Pagliara, S.; Kumar, A.; Palermo, M. Hydrodynamic Loadings on Debris Accumulations at Low Froude Numbers in Straight Channel. Water 2026, 18, 220. https://doi.org/10.3390/w18020220
Pagliara S, Kumar A, Palermo M. Hydrodynamic Loadings on Debris Accumulations at Low Froude Numbers in Straight Channel. Water. 2026; 18(2):220. https://doi.org/10.3390/w18020220
Chicago/Turabian StylePagliara, Stefano, Ajit Kumar, and Michele Palermo. 2026. "Hydrodynamic Loadings on Debris Accumulations at Low Froude Numbers in Straight Channel" Water 18, no. 2: 220. https://doi.org/10.3390/w18020220
APA StylePagliara, S., Kumar, A., & Palermo, M. (2026). Hydrodynamic Loadings on Debris Accumulations at Low Froude Numbers in Straight Channel. Water, 18(2), 220. https://doi.org/10.3390/w18020220

