Next Article in Journal
Suppression of Sulfur-Induced Corrosion in Sewer Pipe Using Conductive Carbon and Magnetite Iron Linings
Previous Article in Journal
Hydrogeochemical and GIS-Integrated Evaluation of Drainage Water for Sustainable Irrigation Management in Al-Jouf, Saudi Arabia
 
 
Font Type:
Arial Georgia Verdana
Font Size:
Aa Aa Aa
Line Spacing:
Column Width:
Background:
Article

A New Semi-Empirical Model to Predict Vehicle Instability in Urban Flooding

Department of Engineering, University of Basilicata, 85100 Potenza, Italy
Water 2026, 18(1), 80; https://doi.org/10.3390/w18010080 (registering DOI)
Submission received: 21 November 2025 / Revised: 18 December 2025 / Accepted: 23 December 2025 / Published: 28 December 2025
(This article belongs to the Section Hydraulics and Hydrodynamics)

Abstract

Urban floods frequently destabilize most objects they encounter, including vehicles, which potentially worsens flood impacts, leading to significant casualties and material losses. Improving the prediction of vehicle instability under flood conditions is therefore essential for effective risk assessment and emergency management. This work introduces a new physics-based, hazard assessment model for vehicle instability in urban floodwaters. The core of the model is the construction of a comprehensive parameter that integrates the main hydraulic mechanisms responsible for vehicle destabilization within a single and integrative formulation. An extensive set of experimental data covering multiple vehicle types was used and integrated into the modelling framework. Through calibration, model parameters were determined for three representative vehicle categories, allowing the derivation of distinct critical stability curves as functions of flow depth and velocity. Vehicle stability is evaluated using a physics-based force balance approach that explicitly accounts for the interaction between flood hydrodynamics and vehicle physical characteristics, enhancing model adaptability across different vehicle types and flood scenarios. The proposed model is validated through comparison with existing experimental data and stability criteria, including widely used guidelines. The results show good agreement while demonstrating improved accuracy in predicting critical stability thresholds for modern vehicles. Overall, the model provides a generalizable parameter for flood hazard assessment, with direct applications in urban flood risk mapping and decision support for emergency management.

1. Introduction

Floods pose a significant threat to public safety, causing important loss in terms of casualties. The majority of flood-related deaths are associated with vehicle incidents in urban environments [1,2,3,4,5,6,7,8,9]. Due to the constant increase in urban populations and growing apprehension about climate change [10], vehicles are identified as one of the most aggravating factors in urban flooding [11,12]. They may become debris when they lose their stability, or traps for users causing accidents, and they can even augment the damage to infrastructure and buildings [13], as well as traffic disruptions [14]. Vehicles can lose stability as a result of losing traction or become buoyant in floodwaters, making them susceptible to being swept away and turning into debris. Emergency response services had to deploy considerable resources to rescue individuals trapped in their vehicles due to flooding [15]. Between 1997 and 2019, many countries reported a high rate of vehicle damage related to flooding: 48.5% of deaths in Australia, over 63% in the United States, and dozens of fatalities and damaged vehicles in Greece and Iran [5,16,17,18,19]. These data highlight the seriousness and vulnerability of cars to flood hazards. These findings emphasize the vulnerability of vehicles to flooding and the need to better understand the mechanisms driving vehicle instability in floodwaters.
Hazards associated with urban stationary cars in floodwater rely on their critical threshold of stability, which is conventionally assessed through water depth and velocity. The stability limits of vehicles have been explored by many scientists based on laboratory experiments [20,21,22,23]. This enables the design of some bilinear curves that express the relationship between flood depth and its velocity for specific vehicles. These threshold curves allow researchers to distinguish, depending on the intensity of the hydraulic variables applied to vehicles, between stable zones, where the vehicles remain insensitive to oscillations, transition zones, marked by a moderate influence of the flow, and unstable zones, where the hydrodynamic conditions seriously compromise their stability. Among these studies, we can cite the most well-known ones, starting with Refs. [24,25,26], which introduced instability thresholds characterized by a linear correlation between the water depth and flow velocity in the subcritical regime, and by their product in a supercritical regime. Model development relied on laboratory experiments carried out on old car models that have different characteristics compared to recent ones; thus, the outcomes of these studies may not remain relevant as of now [14].
After a period of stagnation in the literature between 1993 and 2010, interest in this issue resurfaced after 2011, with diverse theoretical and experimental studies. For instance, Ref. [27] introduced a draft of a stability threshold for static vehicles by classifying cars into small passenger, large 4WD, and large passenger according to their physical characteristics. Buoyancy limits were defined at 0.5 m of maximum depth for large 4WD vehicles; for large passenger vehicles, 0.4 m; and for small passenger vehicles, 0.3 m depth. On the other hand, 3.0 m/s was the maximum velocity for all vehicles. Afterward, Ref. [28] introduced a formula for the incipient velocity of fully submerged vehicles, validated by experimental data obtained under real conditions. Shu et al. [29] proposed a mechanics-based criterion for partially submerged vehicles, using flume tests to determine stability thresholds. In Ref. [30], a new experiment on two car models were conducted, using flow orientations of 90° and 180° to validate Shu’s stability formula. Smith et al. [15] developed a stability threshold for two car categories: small passenger and large 4WD type of vehicles, with a maximum limit velocity flow of 2.0 m/s.
Based on an alternative stability definition, Kramer et al. [31] conducted several laboratory experiments and developed a curve closer to the curve of constant total energy head. A stability threshold equal to the total energy of the water was identified, and a constant value equivalent to the minimum wading depth was assigned to it, depending on the studied vehicle. Claiming that the stability does not depend on the orientation of the car when the Froude number is small, and buoyancy forces take control over the circumstances, for a higher Froude number, the flow angle becomes significant in the instability mechanism (sliding). Additional stability thresholds were defined by Smith et al. [15], who conducted several tests on a full-scale small passenger (Toyota Yaris Sedan) and a large 4WD based on the product of water depth and flow velocity for every single car. One of the most important and powerful studies in the literature, undertaken by Ref. [21], tested 12 physical car models using three different scales (1:14, 1:18, and 1:24). According to these measurements, a stability function was defined. It enabled obtaining a curve related to each type of vehicle. This curve has defined instability areas based on friction coefficient values as well. While the authors, as mentioned earlier, have worked on parked vehicles, more recently, Refs. [32,33,34,35,36] have drawn attention to the importance of studying the stability of moving vehicles by conducting experiments and modelling insights to understand the dynamic conditions of destabilization better.
Empirical thresholds, obtained from experimental studies representative of specific vehicles, have been developed to characterize their instability in flood conditions (i.e., water level and velocity). Nevertheless, these thresholds are most often based on limited experimental data, which compromises their generalizability to all existing vehicle typologies [37]. To expand this framework, multiparametric conceptual models have been proposed instead, integrating both vehicle geometry and the forces to which it is subjected, such as drag, buoyancy, weight, and lift. These models are often calibrated using data specific to a given vehicle, which limits their ability to represent the diversity of possible configurations. In addition, up to now, only a few experimental studies on the incipient instability conditions of small-scale vehicles have been conducted [12,13,27,28,29,30,38]. Therefore, research on vehicle instability in floodwater in general remains limited [39]. In order to overcome these limitations inherent in the classical dimensional approach, a new generation of approaches that take into account the specifics of cars’ physical properties and hydraulic conditions was implemented firstly in Ref. [38], which developed an equilibrium model formulated using a dimensionless variable and validated with 3D modelling. Similarly, Lazzarin et al. [23] introduced an interesting formula based on energy per unit weight and momentum per unit width and weight that can be flexible, applicable, and transferable for pedestrian cars and buildings.
To move beyond current findings in this line of research, this paper aims to develop a new criterion that stands out by generalizing the conventional criteria, focusing only on a single aspect that can predict and identify critical instability thresholds for vehicles exposed to free-surface flows, taking into account the interaction between hydrodynamic condition effects and the physical characteristics of vehicles (i.e., weight, shape, area of the planform). These are modeled through an integrative formula, providing a synthetic and coherent representation of their dynamic coupling. Moreover, the different contributions of the hydrodynamic forces and the influence of the flow regime on the mechanism of the onset of motion are analyzed. This model thus aims to allow a more flexible and interoperable transposition of results by freeing itself from contextual specificities linked to the geometric characteristics of vehicles or specific hydraulic conditions. This is done to introduce a hazard criterion for packed cars in inundated urban areas relevant for implementation in flood mapping.
This work is organized as follows: Section 1 introduces the work, the literature and the aim of the research. Section 2 describes the new criterion development, calibration, and estimation of parameter values. Section 3 presents the results of the work, where the thresholds are presented and a comparative analysis is carried out with regard to previous studies to emphasize the performance of the new criterion. In Section 4, the work is discussed, pointing out its contribution, strength, limitations, and future work.

2. Material and Methods

2.1. A New Hazard Criterion for Vehicle Instability

In order to assess the hazard of vehicle instability in flood waters, it is important to quantify the intensity of flow conditions that produce the instability, taking into account the submerged object characteristics. According to the principles of free-surface flow hydraulics, the total thrust exerted by a moving current is given by the sum of the hydrostatic and hydrodynamic thrust. Hydrostatic thrust is related to the pressure exerted by the water column on the submerged surface of the object. It depends on the area of the submerged section, as well as the vertical position of its center of gravity relative to the substrate. This force can be expressed as Sh = ƔAhb. Hydrodynamic thrust, on the other hand, results from the interaction between the moving flow and the exposed lateral surface of the object. It is mainly a function of the fluid density, the flow discharge, and the flow velocity. It can be expressed as Sd = ρQV. For a cross section of any shape, the equation can be written as follows:
S = ƔAhb + ρQV
where S and Q are the water thrust and discharge per unit width (i.e., specific discharge), Ɣ= ρ.g is the specific weight of water, ρ is the water density, g is the acceleration by gravitation. For a rectangular section, we can write:
S   =   1 2 Ɣ Ah b   +   ρ QV given   that   h b   =   h 2
In order to highlight the role of both components of the equation contribution in the overall flow system, alpha and beta are linked to the formula to emphasize the hydrostatic and the dynamic components of the formula:
S = α ƔAhb + βρQV
where B is the width of the section of the tank, α, β are the parameters of the equation, A is the area of the transversal section, and hb is the distance of the gravity center of the object from the free surface of the water, with A = h B.
s B = α Ɣ h 2 2 + β ρ Q V B
A customized approach was implemented to optimize the formula’s performance by explicitly assigning specific coefficients. This tailored method aims to ensure a reliable representation of the underlying physical relationships while allowing the formula to accurately capture the subtleties of the phenomenon under study. By taking into account contextual variations and the conditions specific to each situation, this approach improves the formula’s sensitivity to local dynamics, thus ensuring more refined and representative modeling. Indeed, the integrated parameters α and β into the equation aim to calibrate the effect of each thrust component. α contributes to adjusting the water depth of the hydrostatic thrust, while β adjusts the velocity and water depth within the hydrodynamic thrust of water. To obtain the equation of the unit thrust as a function of their parameters, we can write Equation (1) as follows:
Q   =   S β ρ V     α Ɣ A h b β ρ V ; Q B = g h S β Ɣ B     α h 2 2 β
In order to obtain the unit thrust expression, after many manipulations of the equation, the incipient velocity formula is obtained as follows:
V = g h S β Ɣ B     α h 2 2 β ; V 2 = g h S β Ɣ B     α h 2 2 β
Therefore, the final equation of the unit thrust is written as:
S B =   α Ɣ h 2 2 +   β ρ g B h V 2 gB         ;             S B = α h 2 2 + β V 2 h g Ɣ
In order to simplify Equation (7), a compact version of the thrust is introduced with slight adjustments. The constants—such as the unit thrust S/B and the specific weight of the water   Ɣ —are grouped together in a single expression σ. This allows us to easily manipulate the equation, as well as facilitating the estimation of the integrated parameters.
σ = α h 2 2 + β V 2 h g
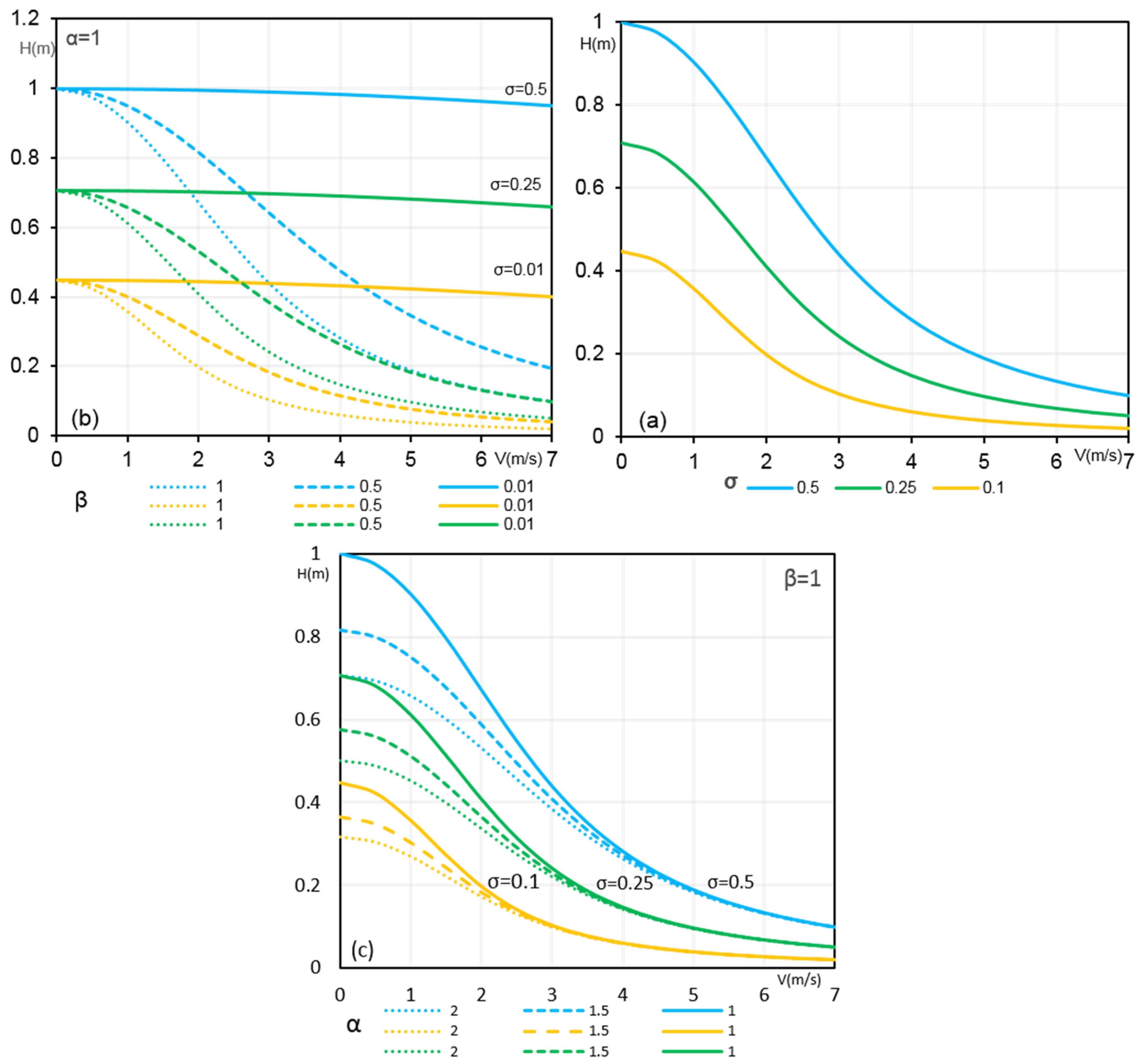
σ is a quantity that directly depends on the hydraulic couple, namely the water depth and the corresponding flow velocity. These two variables often exhibit an inverse relationship: when the water level is important, it specifically indicates a slow flow; however, when the flow velocity is important, the water depth tends to be very shallow. This inverse correlation is illustrated by the shape of the isoline curves in Figure 1a, which shows that the parameter sigma varies according to the relative changes in water depth and velocity. σ can vary between 1 and 0. σ = 1 represents the normalized value of maximum instability according to the available experimental data, while 0 represents a minimum where hazard is negligible and cars are completely safe.
α and β are two key parameters that accentuate the importance weight and emphasize the contribution of each component of the sigma parameter. Namely, they calibrate the respective influence of the dynamic and the static contribution into the hazard factor. Beta represents the impact of water velocity into the applied force of water on the object, Figure 1b; with beta = 1, the force depends directly to the velocity v and water depth h. When beta is modified, this affects the slope of the curve, which signifies that the force is modified for a given velocity (same velocity). In addition, if beta increases, the lateral action of the water increases more rapidly with the velocity of water. Alpha in Figure 1c, can contribute to increasing or decreasing the effect of water depth, which impacts the value of sigma in the intercept of the curve. For a higher alpha value, the sigma isolines are translated by a curve of a general lower depth, and vice versa. For lower values, alpha can adjust the vertical pressure applied to an object, which involves the water column effect with regard to the weight of the object. We are therefore referring to buoyancy. In other words, these two coefficients (α and β) can increase or decrease the sensitivity of the hydrodynamic and hydrostatic action of the water on the submerged object. These parameters can be related to the shape characteristics of the object. For a resistant object, the parameter σ is less sensitive to the velocity, and for a less resistant object, the force is more sensitive to the hydrodynamic action or velocity.

2.2. Stability of Vehicles in Flood Water

2.2.1. Hydrodynamic Forces Exerted on a Vehicle in Flood Water

A parked vehicle under the effect of pressure and momentum of the horizontal forces of the flow, as defined in Ref. [24], can lose its stability via two distinct hydrodynamic mechanisms (i.e., sliding and floating). The density of a watertight car compared to the density of the water is considerably small; since the upper part of the car is almost empty, a major part of the weight is located in the lower front side where the engine is installed [38]. The vehicle floats when the buoyancy and lift are higher than the effect of the car’s weight. The sliding instability occurs when drag is more important than the resistance of the tires against the road surface. These modes of instability are linked in a cause–effect relationship to each other in the sense that the lift and buoyancy action can reduce the weight effect, favoring the sliding mechanism even with smaller water flow levels. According to Ref. [28], the interaction between the flood water and car presents the same similarities with the behavior of sediment transported in a river channel, and the same approach can be applied to vehicles. Thus, analyzing the forces acting on a flooded vehicle is crucial, which requires the specification of the vehicle dimensions (i.e., shape, volume, and density). The stability of a vehicle in a water flow can be depicted via a conceptual scheme representing its submerged fraction as a function of the water depth and the vehicle orientation relative to the flow, with the vehicle facing the incoming flow so that water first interacts with the front of the vehicle, progressively surrounding the body and increasing the water vehicle interaction as the depth rises, which directly influences the onset of instability, as shown in Figure 2.
When a vehicle is parked on a flooded road, it is subjected to several forces: lift, drag, buoyancy, friction, and gravity. It is assumed that the wheels of a vehicle are all locked against any movement as it parks on a road; thus, a frictional force will be produced to resist the vehicle from sliding on the road surface. Figure 3 illustrates the forces acting on a flooded vehicle. These forces are similar to those acting on a coarse sediment particle in a river [28,30]. Thus, the incipient motion of a vehicle can be assessed based on principles similar to those used in sedimentology.
The drag force is defined as follows:
F D = 1 2 ρ C D A D V 2
where ρ is the water density, AD is the projected (profile) area of the vehicle impacted by water—expressed as AD = wc × h (wc is the car width and h is the car submerged height), CD is the dimensionless coefficient of drag, CD has to be determined experimentally, and V is the flow velocity [37].
The lift force is defined as follows:
F L = 1 2 ρ C L A L V 2
where ρ is the water density; V is the water velocity; CL is the lift coefficient; and A is the submerged area of the projection of the submerged part of the vehicle perpendicular to flow direction, expressed as A L = wc × lc. V is the vertical velocity generated during the movement of the vehicle [13,30,37].
The buoyancy is expressed as follows:
F B = ρ g V s
where ρ is the density of water, g is the acceleration due to gravity, and Vs is the submerged volume of the vehicle (Vs = w × l × h).
The weight force is given as follows:
F G = ρ c g V c
where ρ is the density of the vehicle, g is the acceleration due to the gravity, and Vc is the car volume (Vc = w × l × hc).

2.2.2. Incipient Instability of Vehicles in Flood Waters

Considering the case of a stationary vehicle as stated before on a flat ground, the instability condition is presented by forces balance in the direction of the flow. These forces are mainly categorized into vertical forces, FH and horizontal forces, FV [15]:
F D = F H ;   F R = F V μ
where FR is the frictional force and μ is the friction coefficient.
F H μ F V = 1
Friction force is commonly defined as the product of the friction coefficient μ and the normal force, which is the weight of the car (FG) minus the buoyancy (FB) and the lift effect (Li):
F D = F G F B F L μ
The effect of the lift force of a stationary vehicle is neglected, as there is no movement and the vertical force will be null. Therefore, the equilibrium of the forces becomes:
F D = F G F B μ
The expression of the incipient motion instability after subsuming the relative forces with their corresponding expressions from Equations (9), (11) and (12) is attained as follows:
V 2   =   2 g l μ C D [ ρ c h c ρ h ] ρ   h  
Subsequently, an expression of the same variable is then obtained through the manipulation of Equation (8).
V 2 = g h 2 β 2 h 2 1  
By combining Equations (17) and (18) after identifying the corresponding terms, we can write the following:
V 2 = g h 2 β 2 h 2 1   = 2 g l μ   C D [ ρ c h v ρ h ] ρ h = >   h   C D   4 l μ 2 h 2 1   = β [ ρ c h v ρ h ] ρ   h  
According to the equality established in Equation (19), the expression of the parameter beta is derived as follows:
β =     C D   4 l μ 2 h h   ρ   h [ ρ c h c ρ h ]   = > β =   C D   4 l μ 2 h 2   ρ   [ ρ c h c ρ h ]  
This parameter governs the relative weight of the hydrodynamic component of the sigma criterion equation. Its influence becomes particularly significant under the conditions of high velocity and very shallow waters that tend to 0, which leads to the following:
β = C D   ρ   2 l μ h c ρ c
The values of β can be calculated based on the car experiment studies that suggest the measured characteristics of different cars dimensions and can also be obtained from producers’ datasheets. A range of the variation of the parameter β can be estimated for the available cars as well as for the car categories that present dimension similarities. Knowing that, the friction coefficient μ is constant for all vehicles 0.25–0.75, according to the new data for static friction. Drag coefficient CD ranges between 0.4 and 1.38. These values are standard and can be adjusted according to the selection of the experiments of interest.
For simplification, the effect of the car density can be neglected, since the volume of the car is not easy to obtain. This is because cars are not of a defined, simple shape, and their mass is not equally and homogenously distributed over the entire car area. The frontal part is the densest owing to the presence of the engine. The cockpit part is largely empty. Rather than resting on the ground, the vehicle’s core stands on the tires, which directs water flow underneath the vehicle.
For this reason, it is assumed that the density of the vehicle is equal to that of water, and the product in this case ρ ρ c is equal to 1, which involves the relative density between the vehicle and the water flow. This is valid when the submerged volume of the car is small and the water depth is shallow. In the opposite case, watertightness of the vehicles must be taken into account [14].

2.3. Data Analysis and Parameter Estimation

This analysis synthesizes an up-to-date set of data reported in previous research studies. A specific focus was attributed to experimental investigations that have tested the interactions of modern vehicles against water flow levels and their corresponding velocities in order to assess stability for the most commonly used cars.
In the second step, all instability thresholds reported in the examined studies were collected. These thresholds are presented in Figure 4 in the form of cloud data points. As one can notice, the flow depth of each group of points related to a given car category decreases gradually as the velocity increases. This interdependency report variation slightly changes from one tested vehicle to another, depending on the intrinsic properties of each single vehicle model and the test condition. It should be mentioned that not all cars show the same evolving tendency, in the sense that small city cars require less water depth and velocity to lose stability compared to large ones. For instance, the Parodua Viva model tested in Refs. [35,36,40,41,42,43,44,45,46] demonstrated the highest affinity to instability among all the assessed cars due to its compact dimensions. Large cars appear to be the most resistant and safe during flood events, e.g., Nissan Patrol, which was tested in Refs. [15,47] on its full scale.
Vehicle stability data were derived from laboratory tests conducted in rectangular flumes, where vehicles were in a stationary state with locked wheels to prevent their movement [29,48,49]. Stability conditions were evaluated based on water depth and incipient velocities. These data were collected from published experimental studies and research reports between 1963 and 2021. Although the data do not cover the full spectrum of existing vehicle instabilities, they reflect a representative sample of widely used vehicle types. They thus provide a reliable database for assessing and modeling vehicle instability under flood-like conditions. The data were subsequently filtered, and data related to small-scale prototypes (1:14, 1:18, 1:24) were converted to full scale (1:1), respecting Froude’s similarity laws, in order to ensure their representativeness at full scale and for homogenization purposes (Equations (22)–(24)).
Fr = v m g L m = F r p = v p g L p
where Fr is the Froude number, m and p subscripts are indication for model or prototype car, v refers to the velocity, g is the gravitational acceleration, and L is the characteristic length.
L r = L p L m = 18 , 14 , 24
where Lr is the length ratio, Lp is the length in the prototype scale, and Lm is the corresponding length in the model scale. Therefore, water depths and velocities of the prototype are obtained based on the Froude number principle:
h n = L r · h m ; v n = L r · v m
Fr = V ( g h ) 1 2
where Lr is the scale ratio, hm and vm are water depths and velocities of the model scale, and hn and vn are the same qualities of the prototype scale.
Figure 4. Scatter plot of experimental data related to incipient instability in function of water depth and flow velocity of three different vehicle groups: Small to Medium, Medium to Large, and SUVs and Vans [15,21,24,25,26,29,30,31,34,35,47,50,51,52].
Figure 4. Scatter plot of experimental data related to incipient instability in function of water depth and flow velocity of three different vehicle groups: Small to Medium, Medium to Large, and SUVs and Vans [15,21,24,25,26,29,30,31,34,35,47,50,51,52].
Water 18 00080 g004
As part of this analysis, comprehensive data about the intrinsic characteristics of tested vehicles were gathered, for a total of 26 vehicles based on findings from 14 experimental studies [15,21,24,25,26,29,30,31,34,35,47,50,51,52]. These studies covered a large range of car types, ranging from small compact vehicles such as those tested in Refs. [35,43] to larger models, including emergency cars often classified as SUVs and vans. For a synthetic comparison, the vehicles are classified into three categories according to their physical shape: Small to Medium, Medium to Large, and SUV and Vans, following the classification guidelines recommended by scientists such as the authors of Ref. [27].
The analysis involves, in addition, a range of hydrodynamic characteristics and physical quantities. Among these, we can find the drag coefficient, CD, which quantifies the hydrodynamic resistance of a vehicle when it moves through the water flow; a low drag is usually an indication of better aerodynamic efficiency. There is also the lift coefficient, CL; this parameter was not measured in most of the experiments. Under normal standard conditions, it is approximately equal to zero. However, it can be higher when the car is in movement. Since it represents the vertical force acting on the vehicle, a high lift coefficient may decrease the tire contact adherence to the road (friction), affecting stability in high-speed conditions. The friction coefficient plays an important role as well in balancing the drag force μ, especially when the road is rugged and the tires are textured. On the other hand, dimensional characteristics such as width, length, and height are all included in the investigation.
The source of data related to the cars’ geometric configuration and hydraulic properties are both obtained based on laboratory experiments, as the hydraulic incipient motion, and completed from official manufacturer specification sheets. The dataset covers the characteristics of a large range of different car models, including small-scale models, testing results, as well as prototypes. For this reason, part of the experimental results was validated based on Froude similarities in order to be correctly projected on prototypes (see previous section for details). Some geometrical data, especially those corresponding to old models or even several modern ones, could not be retrieved directly; in these cases, an average estimated value was used (i.e., lift coefficient), as shown in Table 1.
The determination of the beta parameter requires prior knowledge of all these variables describing the geometry of the vehicle together with the hydrodynamic coefficient (CD) and the friction between the road surface and the tires (μ). A range of beta parameters is estimated between 0.2 and 0.9 based on the dimensions of the studied vehicles. These values can be calibrated referring to the experimental stability conditions.

2.4. Model Calibration and Definition of the Threshold Curves

The model calibration and threshold curve definition involved the determination of the stability threshold for each car category. Upon a meticulous analysis of the experimental data, Equation (8) was used, and the hazard parameters were determined accordingly, which allows us to identify the critical values that characterizes the onset stability condition. The calibration of the curve of the parameter equal-values (isolines) were then obtained by integrating the experimental outcomes based on stability conditions and the insights obtained with the physical approach. The minimum value was selected as embodying the critical threshold delineating the stability boundary corresponding to the onset of vehicle movement under the relative hydrodynamic conditions. This threshold was determined through the analytical resolution of the governing equation, reflecting the limit constraints describing the system equilibrium state, between the vehicle’s dynamics and the surrounding hydraulic conditions, then the values of water depth and velocity were obtained accordingly.
It was necessary to adjust the parameter beta afterward in order to find the fitting value that defines the critical threshold among the values estimated previously. The definition of the threshold curve was obtained based on the dataset of the SUV and Vans vehicle subcategory. It was taken as the reference category, as this group of cars is the most resistant compared to other vehicle groups. Based on the latter group, the parameter values were fixed and transposed for the two other subcategories for validation in order to obtain this threshold function. The equation of the criterion sigma was used. The objective was to find the right values for both model parameters. The alpha parameter is the coefficient that emphasis the effect of the water depth in the model equation; this coefficient can be estimated through the equilibrium of forces, particularly between the car’s weight and the buoyancy force. Since the aim of the present work focuses on instability due to the water hydrodynamics, the alpha value is set to be α = 1 optimally for a hydrostatic that depend on water depth only.
The beta parameter, on the other hand, was calibrated and optimized based on the previously obtained values of alpha and sigma for each corresponding value of sigma. Thus, the stability limit of the SUV and Vans subcategory was defined. The minimum fit equation was determined by setting the optimal value of beta to 0.6, after substituting the corresponding variable values to ensure that beta met the minimum of the sigma condition. The sigma values defining the limit curve were established (see next section). The sigma values refer to the minimum observed values of water depth and velocity across all experimental data.

3. Results

3.1. Vehicle Stability Threshold

Figure 5 shows the curves (a–d) illustrating the critical thresholds of the onset instability of the tree vehicle’s subcategories (i.e., Small to Medium, Medium to Large, SUV and Vans). The latter thresholds were determined by computing the iso-values of the hazard parameter of instability, the velocity at which each subcategory of cars loses its stability, involving the corresponding water depth, defined in Equation (8). Furthermore, the physical process of the instability mechanism and the dimensional aspect of the vehicle’s features are taken into account as well. Figure 5a represents the instability threshold of the SUV and Vans subcategory. Figure 5b shows the Medium to Large, and Figure 5c shows Small to Medium subcategory. The entire curves are combined in Figure 5d; the area above each curve represents the domain where vehicles are unstable (σ < σth), and the areas below the curve are related to the domain where cars are stable (σ > σth). The threshold value of the instability parameter changes significantly for each vehicle class. The adequate sigma values of the limit curve were defined based on the relationship between water depth and velocity, obtaining 0.023 for Small to Medium cars, 0.085 set as the limit for Medium to Large, and 0.16 for SUVs and Vans.
The resulting insights of the analyzed graphs in Figure 5 highlight that the limit of cars’ instability is different from one subcategory to another, in the sense that there is a significant influence of the cars’ dimensional features on their behavior in a hydrodynamic instability situation. For a given water depth condition, large vehicles are able to preserve their stability for higher flow velocities than the Small to Medium and Medium to Large groups of cars. This difference in behavior is mainly due to the combination of determinant factors as it was detailed in section forces applied to vehicles, such as larger surface of contact with water flow, drag coefficient, weight of the car, higher friction between the road and tires, etc. Thus, the SUV and Vans class exhibit the higher resistance to instability, followed by Medium to Large, and the highest tendency to instability is shown by the Small to Medium cars. This means that the critical velocity at which a given car starts losing its stability increases with the vehicle size for the same water depth. These outcomes were anticipated given the geometric characteristics of the vehicles, which have a significant impact on their response to hydrodynamic forces. This confirms that it is essential to consider object-based analysis to simulate cars’ behavior in flooding circumstances.
From another point of view, the model curve represents the trend of the hydrodynamic condition (i.e., water depth and velocity) as given by the scatter plot of the previous experimental studies as a function of water depth and flow velocity. The sigma iso-values highlight the progressive transition between two instability regimes. At shallow water depth, a high velocity is mandatory to destabilize the vehicle under the effect of the drag force. When it exceeds the friction, the car slides, while with high water depth, a low velocity is enough to lift the car. This aligns with most of the experimental studies [21,28,29,53] reported in the literature, except those that represent different behaviors.

3.2. Comparison with Previous Studies

In order to put our results into perspective, they are compared with the main reference models of previous works after careful review of all the existing stability curves established for emergency management. This comparative analysis assesses the validity of our model while highlighting differences in performance and behavior. The objective is thus to situate our approach in relation to established methods.
The first approach is based on the stability thresholds published in the Australian Rainfall and Runoff (AR&R) guidelines [27,54]. According to Refs. [15,19,21,28,29,30,47,52,55,56,57,58], this criterion constitutes the most general and up-to-date criterion for assessing vehicles instability. It is based on the analysis of data from Refs. [24,25,26]. The AR&R [27] defined a provisional stability criterion for stationary vehicles for three categories of vehicles: small passenger, large passenger vehicles, and large 4WD vehicles based on their dimensions, mass, and ground clearance. The stability limit is reached when the product of depth and flow velocity (D × v) is 0.3, 0.45, and 0.6, respectively. Maximum buoyancy thresholds are set at 0.5 m for large 4WD, 0.4 m for large passenger cars, and 0.3 m for small passenger vehicles (Figure 6a). Furthermore, a maximum flow velocity of 0.3 m/s has been adopted for all vehicles’ safety during evacuation. However, Shand et al. [27] pointed out that recent changes in vehicle design limit the direct applicability of the historical results. For this reason, the proposed criterion based on Depth-Velocity is now preferred as the primary stability indicator [20] according to the review carried out in Ref. [59] about experiment and stability criterion for flooded vehicles. The AR&R Criterion has been updated and validated by taking into account more recent experimental and theoretical studies, which were not considered to define these safety thresholds initially. Thus, it was identified as the most relevant reference in the literature to date of this work for assessing vehicle stability. However, Ref. [14] points out that, although they represent a solid benchmark, their provisional nature and their rigidity limit their adaptation to the diversity of modern vehicles.
Figure 6a presents a comparison of the stability curves between the developed model outcomes and the AR&R reference curve obtained with an average drag coefficient CD = 1, representing a low aerodynamic shape lower than CD = 1.38 for the ARR and a minimum adherence with a friction coefficient of μ = 0.3, similar to the one of the ARR. the two curves follow approximately the same trend, which shows a good overall consistency. Indeed, vehicle instability can occur both in deep water at low velocity and shallow water and high velocity. The AR&R curves are in red, and the sigma iso-value thresholds are in blue.
Comparing the curves of the most resistant vehicle subcategory according to the two approaches reveals that the stability threshold of SUVs and Vans is higher than that of large 4WD vehicles. The values of the stability product of h, v are below the sigma iso-values; more specifically, when the velocity starts to increase after reaching a water level of h = 0.5 m and v = 1.3 m/s, one can notice that the curve shows a progressive divergence between the two curves. This evolution reflects the conservative nature of the AR&R curve, which remains more cautious in its representation of stability conditions, as previously emphasized by several authors [14,15,35,44]. Conversely, the curve derived from sigma iso-values accurately delineates the lower limit of the experiment data, thereby ensuring a minimum of conservation. It should also be noted that the spectrum of the experimental data used for the development of the present model is substantially wider than that taken into account in the development of the ARR curves. Figure 7 illustrates these trends in detail and confirms the consistency of the obtained results with the experimental dataset.
The curves of Medium to large cars and large Passenger vehicles exhibit a close alignment, overlapping substantially without notable divergence. A minor difference arises before achieving h= 0.3 m and v = 1.5 m/s, where stability becomes governed by buoyancy. In general, this reflects a good agreement between the two criteria, both of which delineate a comparable limit of safe and unsafe zones.
The stability curve of the Small to Medium vehicles exhibits a narrower stability zone than that defined by the AR&R Criterion for Small Passenger cars, insofar as the graph shows a downgrade shift of our model’s curve compared to the AR&R one. This discrepancy is due to the wide range of data that has been included to define the stability limits for this vehicle group, even though data on small vehicles remain limited in the literature [13,15,29,46], especially due to the very small dimensions of the smallest vehicle identified in the study carried out by Ref. [44]. This makes it the most vulnerable to movement by flood waters.
In summary, and considering all the aforementioned aspects, the new model, by integrating both old and recent data, provides a more grounded and up-to-date representation of current conditions than the AR&R thresholds. Bocanega et al. [14] argued that the AR&R thresholds are overly conservative due to the gap between the experimental data and the threshold curve. However, in the new results, especially the small to medium subcategory of cars, the threshold is lower due to the new data used in the method application that considers new car models. Refs. [15,47] concluded that even though the ARR model was developed based on old vehicle design and limited experiments, it is still reliable as a threshold since the new experiment data do not exceed the threshold, and this conclusion is more or less in line as well with our analysis. Our model gives a better definition for the thresholds of modern vehicles’ stability, but ARR is still valid, except for the Small to Medium group, where many points overcome the threshold of stability.
Figure 6b compares the new model curves and the thresholds of the stability model developed by Arrighi et al. [13], applied to a study conducted in Ref. [60] for assessing flood risk with vehicle stability. This latter work relies specifically on the onset motion particular to modern vehicles, implying a dataset focused mainly on small to medium-sized cars. This model brings together different aspects that enable ranking among the most reliable threshold [14], which justifies its selection for this comparative analysis. Within these, the model is based on a solid theoretical background incorporating the Froude number to represent the flow regime with corresponding water depth and velocity (h, v) and other geometrical details of cars, like ground clearance, to define the stability threshold.
The comparison is illustrated in Figure 6b, showing the thresholds of the stability of the Ref. [61] model. It comes in a position between the limit of stability of sigma isolines of Small to Medium and Medium to Large curve subcategories. For values of higher depth and velocity, superior or approximately equal to 2.5 m/s, the reference thresholds overcome the sigma iso-values. It is worth noting that the evolution of the curves for velocity higher than 3 m/s is constant for the Ref. [12] model and decreases gradually for the isolines of sigma. Authors have previously mentioned that this parameter is not conservative for such high velocities as most other models, such as Refs. [15,21,27]. However, as i exhibited in Figure 7, we confirm that the model is not conservative in comparison to experimental data. But also, it is not inclusive of all the data of the Medium and Small subcategories, as well as for SUVs and Vans, which can be unsafe in certain cases. On the other hand, the sigma isolines seem slightly conservative for very high velocities but ensure safety. The graph in Figure 7 visualizes and provides a detailed illustration of all the models together, along with the distribution of instability conditions for each case analyzed and for all the studied vehicles with regard to experimental data.

4. Discussion

Converting water depth and flow velocity, outcomes of experimental studies, into indicators of vehicle instability is mandatory to ensure safety [31]. Research has repeatedly demonstrated that these parameters, in some cases expressed as Froude number, form the basis of physics-driven approaches to predict the likelihood of vehicles to be swept away during flood events [13,21,23,27,29,30,31,37,38,47,48]. There is still a real gap in the scientific literature regarding this issue. Very limited studies have addressed it [8,20,33,34,55], and most of the existing studies rely on limited experiments for specific, defined vehicle models [12,28,30,49,57] and/or consider only one or a few of the problem aspects.
On this basis, a multi-perspective approach was employed to elaborate a new model involving key aspects such as the physical process of the phenomena, hydraulic flow conditions, and the object-based characteristics of the submerged body, namely vehicles, as well as integrating the largest and most up-to-date instability data experiments up to now for calibration and validation. This criterion is grounded on an effective theoretical foundation, developed to be generalizable and flexible, providing a synthetic representation of instability mechanisms through the dynamic coupling of hydraulic forcing and vehicle response. This is unlike simplistic empirical formulations, which lack explicit physical meaning and often do not include the object characteristics effect.
A notable example of the simplified criterion is the D∙V product number [21,27,52], discussed previously in the Results section, which entails merely critical values for both water depth and velocity to yield an estimation of the hazard under typical circumstances. Kramer et al. [31] proposed a decisive safety criterion that is based on relevant physical principles, which is the total head energy hE = h + V2/2 g obtained as a result of a detailed experimental tests. However, the obtained parameter takes into account only the stability thresholds of one car model. The same concept was used in Ref. [23] in a flexible parameter called W, which integrated both the total energy head with momentum by combining in the same expression both water depth and velocity, expressed through the Froude number. Another innovative initiative is defined as the mobility parameter, θv, in Refs. [38,61] with the experimentally derived data documented in Refs. [28,29,30], including measurements performed on seven vehicle prototypes of different scales (i.e., 1:14, 1:18, 1:43) instead of one car model compared to other criterions. Nevertheless, the amount of data remains limited, which was also declared by the author.
Overall, the proposed criterion thereby provides a coherent and physically justified measure of flood-induced instability. Its interoperability and large representativeness across a large spectrum of vehicle models would allow for facilitating its integration into flood vulnerability models and risk mapping [37] while enabling the definition of generalized stability thresholds that overcome the limitation of earlier empirical approaches documented in the literature. Nevertheless, the proposed vehicle stability criterion is conditioned by the experimental data available in the literature, which are predominantly obtained under controlled and idealized conditions. These datasets mainly involve stationary vehicles on horizontal surfaces and uniform flow regimes, which may bias stability thresholds toward conservative estimates. As a result, certain real-world effects such as vehicle motion, unsteady flow conditions, and complex surface interactions remain insufficiently represented. Yet, within the bounds of the available data, the model provides a consistent assessment of vehicle stability.

Future Paths

Possible future research paths can (i) extend the application of this criterion beyond vehicles to include other exposed items such as pedestrians or urban infrastructure affected by flooding, as demonstrated in Refs. [12,23,62]. This latter applied this approach to waste containers. (ii) Particular attention can also be devoted to instability through buoyancy and flotation mechanisms. (iii) Exposure and susceptibility can be combined within the damage estimation framework in order to advance the risk of flood assessment through simulations of case study area. (iv) Upcoming work will also address the integration of additional variables associated with flood-prone environments into the formula of the hazard parameter, or associated with the vehicles themselves. Indeed. It is recommended to incorporate a wider range of complex scenarios into vehicle stability analysis [20]. For instance, including road gradient variations and hydrodynamic regimes is important in these investigations; additionally, focus should not be limited to stationary vehicles but also consider forward-moving prototypes (nonstationary) to better reflect real-world traffic conditions, because this limitation may lead to conservative threshold curves [47]. In this regard, using a three-dimensional modelling approach to simulate scenarios of flood conditions is a step forward and can be a relevant future perspective to enhance the applicability of its evaluations.

5. Conclusions

This research developed a new hazard parameter to assess the instability of vehicles exposed to flow inundation in urban environments. The innovation of this parameter is grounded on a hybrid physics-based framework with solid physical interpretability, allowing flood hazard assessment based on flow depth and velocity. Its generalizable formulation makes it independent of any single vehicle configuration and transferable across different vehicle categories.
This is achieved through a process of complementary approaches implemented by integrating the combined effect of vehicle geometry features and the hydrodynamic forces acting on it to investigate the governing instability mechanisms. The formula requires a limited number of hydraulic parameters to accurately estimate critical instability thresholds during flooding events. The critical instability threshold values, expressed as functions of water depth and flow velocity, were defined based on experimental data from vehicle tests conducted in hydraulic laboratories. The involved model parameters were optimized accordingly. And, the index of stability is obtained for three categories of tested vehicles.
Comparison between the new model outcomes and two other referential stability criteria demonstrated an overall good agreement, with a better performance depicted by the new model. This confirms the relevance of the proposed hazard parameter. In summary, the model proved to provide an effective and generalizable hazard model that can predict the instability of nonspecific vehicles in flooded conditions. The proposed criterion can be directly integrated into two-dimensional flood models, urban flood hazard mapping, and flood risk and damage assessment frameworks. The model is also pertinent for real-time applications within early warning systems. It provides a quantitative basis for identifying hazardous road segments and supports decision-making related to traffic management, road closures, and emergency response during urban flood events.

Funding

This work has been carried out within the scope of the “Tech4You” Innovation Ecosystem project, Notice no. 3277 of 28.12.2021—Intervention proposals for the creation and strengthening of “innovation ecosystems” PNRR—MUR project code: ECS0000009-CUP H23C22000370006Tec4you.

Data Availability Statement

The data supporting the findings of this study are not publicly available due to the confidential nature of the Study. Access to the data is restricted in order to comply with confidentiality obligations. However, the data may be made available from the corresponding author upon reasonable request and subject to appropriate confidentiality conditions.

Acknowledgments

We thank Raffaele Albano and Aurelia Sole for their involvement during the project phase.

Conflicts of Interest

The authors have no relevant financial or non-financial interests to disclose.

Abbreviations

NotationDescriptionUnit
FDDrag force acting on the vehicleN
FRFrictional forceN
FLLift forceN
μFriction coefficient
ρcVehicle densitykg/m3
VsSubmerged vehicle volumem3
wwidthm
hSubmerged height/water depthm
ADProjected area exposed to flowm2
wcCar widthm
ALLift projected aream2
SWater thrust N/m
γSpecific weight of waterN/m3
hbDistance from center of gravitym
αHydrostatic coefficient
FrFroude number
vpPrototype velocitym/s
LpPrototype lengthm
hmModel water depthm
vnPrototype velocitym/s
FGWeight force of the vehicleN
FBBuoyancy forceN
FHHydrodynamic forceN
ρWater densitykg/m3
gGravitational accelerationm/s2
VcTotal vehicle volumem3
lVehicle lengthm
CDDrag coefficient
VFlow velocitym/s
CLLift coefficient
lcCar lengthm
QDischarge per unit widthm2/s
ACross-sectional aream2
BChannel widthm
βDynamic coefficient
vmModel velocitym/s
LmModel lengthm
LrLength scale ratio
hnPrototype water depthm
FvVertical forceN

References

  1. Diakakis, M.; Deligiannakis, G. Vehicle-related flood fatalities in Greece. Environ. Hazards 2013, 12, 278–290. [Google Scholar] [CrossRef]
  2. Diakakis, M.; Deligiannakis, G. Flood fatalities in Greece: 1970–2010. J. Hydrol. 2017, 10, 115–123. [Google Scholar] [CrossRef]
  3. Vincendon, B.; Édouard, S.; Dewaele, H.; Ducrocq, V.; Lespinas, F.; Delrieu, G.; Anquetin, S. Modeling flash floods in southern France for road management purposes. J. Hydrol. 2016, 541, 190–205. [Google Scholar] [CrossRef]
  4. Haynes, K.; Coates, L.; van den Honert, R.; Gissing, A.; Bird, D.; de Oliveira, F.D.; D’Arcy, R.; Smith, C.; Radford, D. Exploring the circumstances surrounding flood fatalities in Australia—1900–2015 and the implications for policy and practice. Environ. Sci. Policy 2017, 76, 165–176. [Google Scholar] [CrossRef]
  5. Heidari, M.; Sayfouri, N.; Miresmaeeli, S.S.; Nasiri, A. Analysis of the Man-Made Causes of Shiraz Flash Flood: Iran, 2019. Prehosp. Disaster Med. 2020, 35, 588–591. [Google Scholar] [CrossRef]
  6. Amellah, O.; El Morabiti, K.; Maftei, C.; Papatheodorou, C.; Buta, C.; Bounab, A.; Al-Djazouli, M.O. Topographic indices and two-dimensional hydrodynamic modelling for flood hazard mapping in a data-scarce plain area: A case study of Oued Laou catchment (Northern of Morocco). Geocarto Int. 2022, 37, 13596–13617. [Google Scholar] [CrossRef]
  7. Amellah, O.; Mignosa, P.; Prost, F.; Aureli, F. Assessment of Flood Hazard Mapping Using a DEM-Based Approach and 2D Hydrodynamic Modeling. Water 2024, 16, 1844. [Google Scholar] [CrossRef]
  8. Dong, B.; Xia, J.; Zhou, M.; Li, Q.; Ahmadian, R.; Falconer, R.A. Integrated modeling of 2D urban surface and 1D sewer hydrodynamic processes and flood risk assessment of people and vehicles. Sci. Total Environ. 2022, 827, 154098. [Google Scholar] [CrossRef]
  9. Ahmed, M.A.; Haynes, K.; Taylor, M. Vehicle-related flood fatalities in Australia, 2001–2017. J. Hydrol. 2020, 13, e12616. [Google Scholar] [CrossRef]
  10. Milly, P.C.D.; Wetherald, R.T.; Dunne, K.A.; Delworth, T.L. Increasing risk of great floods in a changing climate. Nature 2002, 415, 514–517. [Google Scholar] [CrossRef]
  11. Rodríguez, H.; Quarantelli, E.L.; Dynes, R.R. Handbook of Disaster Research; Springer: New York, NY, USA, 2007. [Google Scholar] [CrossRef]
  12. Arrighi, C. Vehicles, Pedestrians and Flood Risk: A Focus on the Incipient Motion Due to the Mean Flow. Ph.D. Thesis, University of Firenze, Florence, Italy, 2016. [Google Scholar]
  13. Arrighi, C.; Castelli, F.; Oumeraci, H. Effects of flow orientation on the onset of motion of flooded vehicles. In Sustainable Hydraulics in the Era of Global Change; CRC Press: Boca Raton, FL, USA, 2016; pp. 837–841. [Google Scholar] [CrossRef]
  14. Bocanegra, R.A.; Vallés-Morán, F.J.; Francés, F. Review and analysis of vehicle stability models during floods and proposal for future improvements. J. Hydrol. 2020, 13, e12551. [Google Scholar] [CrossRef]
  15. Smith, G.; Modra, B.; Tucker, T.A.; Cox, R.J.; Felder, S. Vehicle Stability Testing for Flood Flows; Water Research Laboratory University of New south Wales: Sydney, Australia, 2017. [Google Scholar]
  16. Fitzgerald, G.; Du, W.; Jamal, A.; Clark, M.; Hou, X.Y. Flood fatalities in contemporary Australia (1997–2008): Disaster medicine, EMA. Emerg. Med. Australas. 2010, 22, 180–186. [Google Scholar] [CrossRef] [PubMed]
  17. Ashley, S.T.; Ashley, W.S. Flood fatalities in the United States. J. Appl. Meteorolgical Climatol. 2008, 47, 805–818. [Google Scholar] [CrossRef]
  18. Diakakis, M.; Mavroulis, S.; Deligiannakis, G. Floods in Greece, a statistical and spatial approach. Nat. Hazards 2012, 62, 485–500. [Google Scholar] [CrossRef]
  19. Wang, N.; Hou, J.; Du, Y.; Jing, H.; Wang, T.; Xia, J.; Gong, J.; Huang, M. A dynamic, convenient and accurate method for assessing the flood risk of people and vehicle. Sci. Total Environ. 2021, 797, 149036. [Google Scholar] [CrossRef] [PubMed]
  20. Hu, X.; Li, J.; Wang, W.; Fang, X. Experimental testing to determine stability thresholds for partially submerged vehicles at different flow orientations. J. Hydrol. 2023, 620, 129525. [Google Scholar] [CrossRef]
  21. Martínez-Gomariz, E.; Gómez, M.; Russo, B.; Djordjević, S. A new experiments-based methodology to define the stability threshold for any vehicle exposed to flooding. Urban Water J. 2017, 14, 930–939. [Google Scholar] [CrossRef]
  22. Costabile, P.; Costanzo, C.; De Lorenzo, G.; Macchione, F. Is local flood hazard assessment in urban areas significantly influenced by the physical complexity of the hydrodynamic inundation model. J. Hydrol. 2020, 580, 124231. [Google Scholar] [CrossRef]
  23. Lazzarin, T.; Viero, D.P.; Molinari, D.; Ballio, F.; Defina, A. Flood damage functions based on a single physics- and data-based impact parameter that jointly accounts for water depth and velocity. J. Hydrol. 2022, 607, 127485. [Google Scholar] [CrossRef]
  24. Bonham, A.J.; Hattersley, R.T. Low Level Causeways; Water Research Laboratory, The University of New South Wales: Sidney, Australia, 1967. [Google Scholar]
  25. Gordon, A.D.; Stone, P.B. Car Stability on Road Floodways; National Capital Development Commission: Canberra, Australia, 1973.
  26. Keller, R.J.; Mitsch, B. Safety Aspects of the Design of Roadways as Floodways; Urban Water Research Association of Australia: Sydney, Australia, 1993. [Google Scholar]
  27. Shand, T.D.; Cox, R.J.; Blacka, M.J.; Smith, G.P. Australian Rainfall and Runoff Project 10: Appropriate Safety Criteria for Vehicles; Engineers Australia: Canberra, Australia, 2011. [Google Scholar]
  28. Xia, J.; Teo, F.Y.; Lin, B.; Falconer, R.A. Formula of incipient velocity for flooded vehicles. Nat. Hazards 2011, 58, 1–14. [Google Scholar] [CrossRef]
  29. Shu, C.; Xia, J.; Falconer, R.A.; Lin, B. Incipient velocity for partially submerged vehicles in floodwaters. J. Hydraul. Res. 2011, 49, 709–717. [Google Scholar] [CrossRef]
  30. Xia, J.; Falconer, R.A.; Xiao, X.; Wang, Y. Criterion of vehicle stability in floodwaters based on theoretical and experimental studies. Nat. Hazards 2014, 70, 1619–1630. [Google Scholar] [CrossRef]
  31. Kramer, M.; Terheiden, K.; Wieprecht, S. Safety criteria for the trafficability of inundated roads in urban floodings. Int. J. Disaster Risk Reduct. 2016, 17, 77–84. [Google Scholar] [CrossRef]
  32. Xiong, Y.; Liang, Q.; Zheng, J.; Wang, G.; Tong, X. Simulation of the Full-Process Dynamics of Floating Vehicles Driven by Flash Floods. Water Resour. 2024, 60, e2023WR036739. [Google Scholar] [CrossRef]
  33. Al-Qadami, E.; Razi, M.A.M.; Shah, S.M.H.; Pu, J.H.; Amran, M.; Huenchuan, M.A.D.; Avudaiappan, S. Floodwaters and vehicle hydrodynamics: A deep dive into risk mitigation unraveling vehicle stability in floods. Results Eng. 2024, 23, 102540. [Google Scholar] [CrossRef]
  34. Shah, S.M.H.; Mustaffa, Z.; Matínez-Gomariz, E.; Yusof, K.W. Hydrodynamic effect on non-stationary vehicles at varying Froude numbers under subcritical flows on flat roadways. J. Flood Risk Manag. 2020, 13, e12657. [Google Scholar] [CrossRef]
  35. Al-Qadami, E.H.H.; Mustaffa, Z.; Shah, S.M.H.; Matínez-Gomariz, E.; Yusof, K.W. Full-scale experimental investigations on the response of a flooded passenger vehicle under subcritical conditions. Nat. Hazards 2022, 110, 325–348. [Google Scholar] [CrossRef]
  36. Shah, S.M.H.; Mustaffa, Z.; Yusof, K.W. Impact of hydrodynamic forces on a static vehicle at varying Froude numbers under partial submergence and subcritical flow conditions. Int. J. Adv. Appl. Sci. 2019, 6, 35–41. [Google Scholar] [CrossRef]
  37. Milanesi, L.; Pilotti, M. A conceptual model of vehicles stability in flood flows. J. Hydraul. Res. 2019, 58, 701–708. [Google Scholar] [CrossRef]
  38. Arrighi, C.; Alcèrreca-Huerta, J.C.; Oumeraci, H.; Castelli, F. Drag and lift contribution to the incipient motion of partly submerged flooded vehicles. J. Fluids Struct. 2015, 57, 170–184. [Google Scholar] [CrossRef]
  39. Al-Qadami, E.; Mustaffa, Z.; Yosuf, A.S.A.K.H.W.; Shah, S.M.H.; Ghani, A.A. Numerical assessment of floating stability limits for static vehicles under partial submergence. J. Eng. Sci. Technol. 2020, 2, 1384–1398. [Google Scholar]
  40. Shah, S.M.H.; Mustaffa, Z.; Yusof, K.W. Experimental studies on the threshold of vehicle instability in floodwaters. J. Teknol. 2018, 5, 25–36. [Google Scholar] [CrossRef]
  41. Shah, S.M.H.; Mustaffa, Z.; Yusof, K.W. Numerical Framework to Determine Instability Modes for Static Vehicles under Partial Submergence. Int. J. Integr. Eng. 2019, 11, 186–194. [Google Scholar] [CrossRef]
  42. Shah, S.M.H.; Mustaffa, Z.; Matínez-Gomariz, E.; Yusof, K.W.; Al-Qadami, E.H.H. Hazard risks pertaining to partially submerged non-stationary vehicle on low-lying roadways under subcritical flows. Results Eng. 2019, 3, 100032. [Google Scholar] [CrossRef]
  43. Shah, S.M.H.; Mustaffa, Z.; Martinez-Gomariz, E.; Kim, D.K.; Yusof, K.W. Criterion of vehicle instability in floodwaters: Past, present and future. Int. J. River Basin Manag. 2021, 19, 1–23. [Google Scholar] [CrossRef]
  44. Al-qadami, E.H.H.; Mustaffa, Z.; Abdurrasheed, A.S.; Takaijudin, H. Static and Moving Vehicles Stability Criteria Inside Floodwaters-A Review. Eng. Lett. 2021, 29, 1264–1276. [Google Scholar]
  45. Al-Qadami, E.H.H.; Adib, M.; Razi, M.; Damanik, W.S.; Mustaffa, Z.; Martinez-gomariz, E. Understanding the Stability of Passenger Vehicles Exposed to Water Flows through 3D CFD Modelling. Sustainability 2023, 15, 13262. [Google Scholar] [CrossRef]
  46. EAl-Qadami, H.H.; Adib, M.; Razi, M.; Damanik, W.S. 3-Dimensional Numerical Study on the Critical Orientation of the Flooded Passenger Vehicles. Eng. Lett. 2023, 31, 3. [Google Scholar]
  47. Smith, G.P.; Modra, B.D.; Felder, S. Full-scale testing of stability curves for vehicles in flood waters. J. Flood Risk Manag. 2019, 12, e12527. [Google Scholar] [CrossRef]
  48. Martínez-Gomariz, E.; Russo, B.; Gómez, M.; Plumed, A. An approach to the modelling of stability of waste containers during urban flooding. J. Flood Risk Manag. 2019, 13, e12558. [Google Scholar] [CrossRef]
  49. Xia, J.; Guo, P.; Zhou, M.; Falconer, R.A.; Wang, Z.; Chen, Q. Modelling of flood risks to people and property in a flood diversion zone. J. Zhejiang Univ.-Sci. A 2018, 19, 864–877. [Google Scholar] [CrossRef]
  50. Toda, K.; Ishigaki, T.; Ozaki, T. Experiments study on floating car in flooding. In Proceedings of the International Conference on Flood Resilience, Exeter, UK, 5–7 September 2013. [Google Scholar]
  51. Oshikawa, H.; Oshima, T.; Komatsu, T. Study on the Risk Evaluation for a Vehicular Traffic in a Flood Situation. Adv. River Eng. JSCE 2011, 17, 461–466. (In Japanese) [Google Scholar]
  52. Gómez, M.; Martínez, E.; Russo, B. Experimental and Numerical Study of Stability of Vehicles Exposed to Flooding. In Springer Water; Springer Nature: Berlin/Heidelberg, Germany, 2018; pp. 595–605. [Google Scholar] [CrossRef]
  53. Shah, S.M.H.; Mustaffa, Z.; Kim, D.K.; Yusof, K.W. Instability Criteria for Vehicles in Motion Exposed to Flood Risks. Web Conf. 2018, 203, 07003. [Google Scholar] [CrossRef]
  54. AEMI. Australian Emergency Management Handbook: Managing the Floodplain: Best Practice in Flood Risk Management in Australia; AEMI Handbook: Dublin, Ireland, 2014; Volume 2014, p. 7. [Google Scholar]
  55. Gou, L.; Liu, Y.; Zhang, Y.; Zhu, Z.; Peng, D.; Dou, J. Estimating the instability criterion of vehicles in urban flooding by an entropic method. Urban Clim. 2022, 41, 101069. [Google Scholar] [CrossRef]
  56. Azhar, F.; Pauwels, V.R.N.; Bui, H.H. Confirmation of vehicle stability criteria through a combination of smoothed particle hydrodynamics and laboratory measurements. J. Flood Risk Manag. 2023, 16, e12885. [Google Scholar] [CrossRef]
  57. Teo, F.Y.; Xia, J.; Falconer, R.A.; Lin, B. Experimental studies on the interaction between vehicles and floodplain flows. Int. J. River Basin Manag. 2012, 10, 149–160. [Google Scholar] [CrossRef]
  58. Xia, J.; Falconer, R.A.; Lin, B.; Tan, G. Numerical assessment of flood hazard risk to people and vehicles in flash floods. Environ. Model. Softw. 2011, 26, 987–998. [Google Scholar] [CrossRef]
  59. Martínez-Gomariz, E.; Gómez, M.; Russo, B.; Djordjević, S. Stability criteria for flooded vehicles: A state-of-the-art review. J. Flood Risk Manag. 2018, 11, S817–S826. [Google Scholar] [CrossRef]
  60. Bocanegra, R.A.; Francés, F. Assessing the risk of vehicle instability due to flooding. J. Flood Risk Manag. 2021, 14, e12738. [Google Scholar] [CrossRef]
  61. Arrighi, C.; Huybrechts, N.; Ouahsine, A.; Chassé, P.; Oumeraci, H.; Castelli, F. Vehicles instability criteria for flood risk assessment of a street network. Proc. Int. Assoc. Hydrol. Sci. 2016, 373, 143–146. [Google Scholar] [CrossRef]
  62. Evans, B.; Lam, A.; West, C.; Ahmadian, R.; Djordjević, S.; Chen, A.; Pregnolato, M. A combined stability function to quantify flood risks to pedestrians and vehicle occupants. Sci. Total Environ. 2024, 908, 168237. [Google Scholar] [CrossRef]
Figure 1. Representation of the isolines of σ as a function of the values of “α” and “β”. The parameter α (c) influences the intercept of the curves, while β modifies the shape of the curve (b). Three isolines are plotted for each parameter, corresponding to σ = 0.5, 0.25 and 0.1, for different values of α and β (1, 0.5 and 1.5). The variation of σ is illustrated in (a).
Figure 1. Representation of the isolines of σ as a function of the values of “α” and “β”. The parameter α (c) influences the intercept of the curves, while β modifies the shape of the curve (b). Three isolines are plotted for each parameter, corresponding to σ = 0.5, 0.25 and 0.1, for different values of α and β (1, 0.5 and 1.5). The variation of σ is illustrated in (a).
Water 18 00080 g001
Figure 2. Illustration of the geometric characteristics of a parked car.
Figure 2. Illustration of the geometric characteristics of a parked car.
Water 18 00080 g002
Figure 3. Illustration of forces acting on a parked vehicle.
Figure 3. Illustration of forces acting on a parked vehicle.
Water 18 00080 g003
Figure 5. Stability threshold curves and experimental data for vehicle subcategories. (a) SUVs and Vans (black), (b) Medium-to-Large vehicles (orange), and (c) Small-to-Medium vehicles (grey), each showing experimental scatter plots overlaid with the corresponding stability threshold curves. (d) Combined representation of all vehicle subcategories with the global stability threshold, allowing direct comparison between experimental data and the overall stability limit.
Figure 5. Stability threshold curves and experimental data for vehicle subcategories. (a) SUVs and Vans (black), (b) Medium-to-Large vehicles (orange), and (c) Small-to-Medium vehicles (grey), each showing experimental scatter plots overlaid with the corresponding stability threshold curves. (d) Combined representation of all vehicle subcategories with the global stability threshold, allowing direct comparison between experimental data and the overall stability limit.
Water 18 00080 g005
Figure 6. Comparisons between the threshold curves of the new model and AR&R [27] threshold (a), and with Ref. [38] model curves (b).
Figure 6. Comparisons between the threshold curves of the new model and AR&R [27] threshold (a), and with Ref. [38] model curves (b).
Water 18 00080 g006
Figure 7. Comparison of stability thresholds of AR&R [27,38] and the new hazard parameter, all together with experimental data.
Figure 7. Comparison of stability thresholds of AR&R [27,38] and the new hazard parameter, all together with experimental data.
Water 18 00080 g007
Table 1. Geometrical characteristics of the tested vehicles.
Table 1. Geometrical characteristics of the tested vehicles.
AuthorYearVehicle NameVehicle TypeFriction μHeight HcLength LWidth WGround Clearance GcLift Coefficient ClDrag Coefficient CD
Gomariz et al.2017Audi Q7SUV and Vans0.591.895.181.890.25201
Gomariz et al.2017Mercedes G55 AMGSUV and Vans0.61.934.61.860.2801
Gomariz et al.2017MiniCooperSmall to Medium0.581.363.591.60.12601
Xia et al. 2014AUDI Q7SUV and Vans0.251.7375.0891.9830.2050.060.86
Xia et al.2014Honda AccordMedium to large0.251.484.9451.8450.150.060.86
Smith et al.2017Toyota yarisSmall to medium0.761.854.31.690.15501.8
Smith et al.2017Nissan PatrolSUV and Vans0.31.84.971.840.501.5
Shu et al.2011Volvo XC90SUV and Vans0.31.7834.8081.8970.230.061.15
Shu et al.2011Ford FocusMedium to large0.31.54.3371.8390.150.061.15
Shu et al.2011Ford TransitMedium to large0.31.9974.8631.9740.180.061.15
Kramer et al.2016VWGOLFIIISmall to Medium0.31.714.021.410.1500.9
Kramer et al. 2016Emergency carSUV and VAN0.31.886.832.540.2500.9
Shah et al.2021 Perodua VivaSmall to Medium0.191.533.5751.4750.1600.6
Gomez et al. 2018AUDI Q7 SUV and VAN0.621.825.181.890.25201
Gomez et al. 2018Mercedes C class 55Medium to large0.621.444.591.760.16801
Smith et al. 2019FestivaSmall to Medium0.361.383.621.610.21501.38
Smith et al. 2019Nissan PartrolSUV and VAN0.751.884.971.840.501.38
Smith et al. 2019Toyota YarisSmall to Medium0.561.464.31.690.15501.38
Bonham and Hattersley1967Ford FalconMedium to large0.31.44.51.680.1801.1
Gordon and Stone 1973Morris Mini SedanSmall to medium0.31.353.051.410.1501.1
Keller and Mitsch 1993toyota corollaMedium to large0.31.394.051.570.1701.1
Oshikawa et al. 2011Nissan MarchMedium to large0.51.5353.6951.660.1400.75
Oshikawa et al. 2011Toyota Land CruiserSUV and VAN0.51.894.891.940.2300.75
Toda et al. 2013SedanMedium to large0.261.454.51.770.2600.4
Toda et al. 2013Minvan (ambilance)SUV and VAN0.651.74.81.80.1500.4
Al-Qadami et al. 2022Perodova VivaSmall to Medium0.311.533.5751.4750.1801.06
Disclaimer/Publisher’s Note: The statements, opinions and data contained in all publications are solely those of the individual author(s) and contributor(s) and not of MDPI and/or the editor(s). MDPI and/or the editor(s) disclaim responsibility for any injury to people or property resulting from any ideas, methods, instructions or products referred to in the content.

Share and Cite

MDPI and ACS Style

Amellah, O. A New Semi-Empirical Model to Predict Vehicle Instability in Urban Flooding. Water 2026, 18, 80. https://doi.org/10.3390/w18010080

AMA Style

Amellah O. A New Semi-Empirical Model to Predict Vehicle Instability in Urban Flooding. Water. 2026; 18(1):80. https://doi.org/10.3390/w18010080

Chicago/Turabian Style

Amellah, Omayma. 2026. "A New Semi-Empirical Model to Predict Vehicle Instability in Urban Flooding" Water 18, no. 1: 80. https://doi.org/10.3390/w18010080

APA Style

Amellah, O. (2026). A New Semi-Empirical Model to Predict Vehicle Instability in Urban Flooding. Water, 18(1), 80. https://doi.org/10.3390/w18010080

Note that from the first issue of 2016, this journal uses article numbers instead of page numbers. See further details here.

Article Metrics

Article metric data becomes available approximately 24 hours after publication online.
Back to TopTop