Submerged Plant Restoration Modulates Carbon-Water Interface Dynamics: Enhanced Carbon Sequestration Coupled with Eutrophication Control
Abstract
1. Introduction
2. Methodology
2.1. Experimental Materials
2.2. Experimental Design
3. Results and Discussion
3.1. Research on CO2 and CH4 Flux at the Water-Air Interface
3.1.1. CO2 Flux
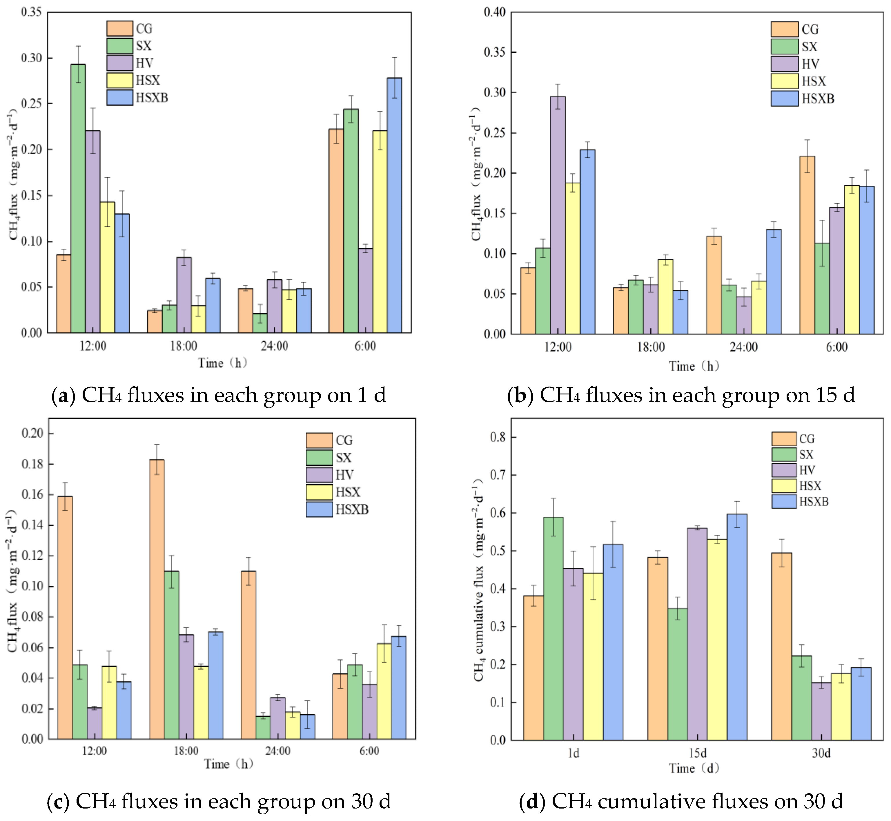
3.1.2. CH4 Flux
3.2. Research on Water Quality and Algae
3.3. Factors Influencing CO2 and CH4 Flux
4. Conclusions
Author Contributions
Funding
Data Availability Statement
Acknowledgments
Conflicts of Interest
References
- Hu, A. China’s goal of achieving carbon peak by 2030 and its main approaches. J. Beijing Univ. Technol. (Soc. Sci. Ed.) 2021, 21, bjutskxb202103001. [Google Scholar]
- Yang, Q.; Chen, S.; Li, Y.; Liu, B.; Ran, L. Carbon emissions from Chinese inland waters: Current progress and future challenges. J. Geophys. Res. Biogeosciences 2024, 129, e2023JG007675. [Google Scholar] [CrossRef]
- Li, Y.; Shang, J.; Zhang, C.; Zhang, W.; Niu, L.; Wang, L.; Zhang, H. The role of freshwater eutrophication in greenhouse gas emissions: A review. Sci. Total Environ. 2021, 768, 144582. [Google Scholar] [CrossRef]
- Guo, Y.; Zhou, Q.H.; Wang, P. Research progress on the mechanism of carbon storage in inland waters. J. Hydroecol. 2023, 44, 141–150. [Google Scholar]
- Meyer, M.F.; Labou, S.G.; Cramer, A.N.; Brousil, M.R.; Luff, B.T. The global lake area, climate, and population dataset. Sci. Data 2020, 7, 174. [Google Scholar] [CrossRef]
- Mendonça, R.; Müller, R.A.; Clow, D.; Verpoorter, C.; Raymond, P.; Tranvik, L.J.; Sobek, S. Organic carbon burial in global lakes and reservoirs. Nat. Commun. 2017, 8, 1694. [Google Scholar] [CrossRef]
- Yuan, X.; Yin, K.; Harrison, P.J.; Cai, W.J.; He, L.; Xu, J. Bacterial production and respiration in subtropical Hong Kong waters: Influence of the Pearl River discharge and sewage effluent. Aquat. Microb. Ecol. 2010, 58, 167–179. [Google Scholar] [CrossRef]
- Raymond, P.A.; Hartmann, J.; Lauerwald, R.; Sobek, S.; McDonald, C.; Hoover, M.; Butman, D.; Striegl, R.; Mayorga, E.; Humborg, C.; et al. Global carbon dioxide emissions from inland waters. Nature 2013, 503, 355–359. [Google Scholar] [CrossRef]
- Niu, X.; Shi, W.; Wu, W.; Liu, S.; Yang, P.; Li, S.; Yan, Z. Research Advances on Ebullitive CH4 Emissions from Inland Waters. Adv. Earth Sci. 2023, 38, 802–814. [Google Scholar]
- Davidson, T.A.; Audet, J.; Jeppesen, E.; Landkildehus, F.; Lauridsen, T.L.; Søndergaard, M.; Syväranta, J. Synergy between nutrients and warming enhances methane ebullition from experimental lakes. Nat. Clim. Change 2018, 8, 156–160. [Google Scholar] [CrossRef]
- Deemer, B.R.; Harrison, J.A.; Li, S.; Beaulieu, J.J.; DelSontro, T.; Barros, N.; Bezerra-Neto, J.F.; Powers, S.M.; dos Santos, M.; Vonk, J.A. Greenhouse gas emissions from reservoir water surfaces: A new global synthesis. BioScience 2016, 66, 949–964. [Google Scholar] [CrossRef] [PubMed]
- DelSontro, T.; Beaulieu, J.J.; Downing, J.A. Greenhouse gas emissions from lakes and impoundments: Upscaling in the face of global change. Limnol. Oceanogr. Lett. 2018, 3, 64–75. [Google Scholar] [CrossRef]
- Balmer, M.B.; Downing, J.A. Carbon dioxide concentrations in eutrophic lakes: Undersaturation implies atmospheric uptake. Inland Waters 2011, 1, 125–132. [Google Scholar] [CrossRef]
- Zagarese, H.E.; Sagrario, M.D.L.Á.G.; Wolf-Gladrow, D.; Nõges, P.; Nõges, T.; Kangur, K.; Matsuzaki, S.-I.S.; Kohzu, A.; Vanni, M.J.; Özkundakci, D.; et al. Patterns of CO2 concentration and inorganic carbon limitation of phytoplankton biomass in agriculturally eutrophic lakes. Water Res. 2021, 190, 116715. [Google Scholar] [CrossRef]
- Xiao, Q.; Xu, X.; Duan, H.; Qi, T.; Qin, B.; Lee, X.; Hu, Z.; Wang, W.; Xiao, W.; Zhang, M. Eutrophic Lake Taihu as a significant CO2 source during 2000–2015. Water Res. 2020, 170, 115331. [Google Scholar] [CrossRef] [PubMed]
- Grasset, C.; Sobek, S.; Scharnweber, K.; Moras, S.; Villwock, H.; Andersson, S.; Hiller, C.; Nydahl, A.C.; Chaguaceda, F.; Colom, W.; et al. The CO2-equivalent balance of freshwater ecosystems is non-linearly related to productivity. Glob. Change Biol. 2020, 26, 5705–5715. [Google Scholar] [CrossRef]
- Zhou, J.; Zhao, Y.; Huang, P.; Zhao, X.; Feng, W.; Li, Q.; Xue, D.; Dou, J.; Shi, W.; Wei, W.; et al. Impacts of ecological restoration projects on the ecosystem carbon storage of inland river basin in arid area, China. Ecol. Indic. 2020, 118, 106803. [Google Scholar] [CrossRef]
- Beaulieu, J.J.; DelSontro, T.; Downing, J.A. Eutrophication will increase methane emissions from lakes and impoundments during the 21st century. Nat. Commun. 2019, 10, 1375. [Google Scholar] [CrossRef] [PubMed]
- Huntley, M.E.; Lopez, M.D.G.; Karl, D.M. Response: Carbon and the antarctic marine food web. Science 1992, 257, 259–260. [Google Scholar] [CrossRef]
- Le Moal, M.; Gascuel-Odoux, C.; Ménesguen, A.; Souchon, Y.; Étrillard, C.; Levain, A.; Moatar, F.; Pannard, A.; Souchu, P.; Lefebvre, A.; et al. Eutrophication: A new wine in an old bottle? Sci. Total Environ. 2019, 651, 1–11. [Google Scholar] [CrossRef]
- West, W.E.; Creamer, K.P.; Jones, S.E. Productivity and depth regulate lake contributions to atmospheric methane. Limnol. Oceanogr. 2016, 61, S51–S61. [Google Scholar] [CrossRef]
- Li, S.; Bush, R.T.; Santos, I.R.; Zhang, Q.; Song, K.; Mao, R.; Wen, Z.; Lu, X.X. Large greenhouse gases emissions from China’s lakes and reservoirs. Water Res. 2018, 147, 13–24. [Google Scholar] [CrossRef] [PubMed]
- Yan, X.; Xu, X.; Ji, M.; Zhang, Z.; Wang, M.; Wu, S.; Wang, G.; Zhang, C.; Liu, H. Cyanobacteria blooms: A neglected facilitator of CH4 production in eutrophic lakes. Sci. Total Environ. 2019, 651, 466–474. [Google Scholar] [CrossRef]
- Ma, J.; Xu, X.; Yu, C.; Liu, H.; Wang, G.; Li, Z.; Xu, B.; Shi, R. Molecular biomarkers reveal co-metabolism effect of organic detritus in eutrophic lacustrine sediments. Sci. Total Environ. 2020, 698, 134328. [Google Scholar] [CrossRef]
- Xing, P.; Guo, L.; Tian, W.; Wu, Q.L. Novel Clostridium populations involved in the anaerobic degradation of Microcystis blooms. ISME J. 2011, 5, 792–800. [Google Scholar] [CrossRef]
- Ai, H.; Qiu, Y.; He, Q.; He, Y.; Yang, C.; Kang, L.; Luo, H.; Li, W.; Mao, Y.; Hu, M.; et al. Turn the potential greenhouse gases into biomass in harmful algal blooms waters: A microcosm study. Sci. Total Environ. 2019, 655, 520–528. [Google Scholar] [CrossRef] [PubMed]
- Pal, S.; Chattopadhyay, B.; Mukhopadhyay, S.K. Spatio-temporal study of carbon sequestration through piscicultural practice at East Kolkata Wetland. J. Environ. Biol. 2016, 37, 965. [Google Scholar]
- Pal, S.; Chattopadhyay, B.; Datta, S.; Mukhopadhyay, S.K. Potential of wetland macrophytes to sequester carbon and assessment of seasonal carbon input into the East Kolkata Wetland Ecosystem. Wetlands 2017, 37, 497–512. [Google Scholar] [CrossRef]
- Zhou, Y.; Song, K.; Han, R.; Riya, S.; Xu, X.; Yeerken, S.; Geng, S.; Ma, Y.; Terada, A. Nonlinear response of methane release to increased trophic state levels coupled with microbial processes in shallow lakes. Environ. Pollut. 2020, 265, 114919. [Google Scholar] [CrossRef]
- Jian, M.; Wang, S.; Yu, H.; Li, L.; Jian, M. Characteristics of Photosynthetic Fluorescence of Dominant Submerged Plants in Nanjishan Wetland of Poyang Lake in Winter. Meteorol. Environ. Res. 2015, 6, 52–59. [Google Scholar]
- Stewart, T.J.; Sprules, W.G. Carbon-based balanced trophic structure and flows in the offshore Lake Ontario food web before (1987–1991) and after (2001–2005) invasion-induced ecosystem change. Ecol. Model. 2011, 222, 692–708. [Google Scholar] [CrossRef]
- Han, L.; Hu, A.; Ren, M.; Meng, F.; Wu, Q.; Wang, J. Lake microbial communities and their mediated carbon cycling processes. Chin. Bull. Life Sci. 2023, 35, 1613–1629. [Google Scholar]
- Yang, H.; Xing, Y.; Xie, P.; Ni, L.; Rong, K. Carbon source/sink function of a subtropical, eutrophic lake determined from an overall mass balance and a gas exchange and carbon burial balance. Environ. Pollut. 2008, 151, 559–568. [Google Scholar] [CrossRef]
- Zeng, Q.H.; He, L.Y. Study on the synergistic effect of air pollution prevention and carbon emission reduction in the context of “dual carbon”: Evidence from China’s transport sector. Energy Policy 2023, 173, 113370. [Google Scholar] [CrossRef]
- HJ 636-2012; Water Quality-Determination of Total Nitrogen-Alkaline Potassium Persulfate Digestion UV Spectrophotometric Method. Ministry of Ecology and Environment of the People’s Republic of China: Beijing, China, 2012.
- HJ 535-2009; Water Quality—Determination of Ammonia Nitrogen—Nessler’s Reagent Spectrophotometry. Ministry of Ecology and Environment of the People’s Republic of China: Beijing, China, 2009.
- HJ/T 346-2007; Water Quality—Determination of Nitrate-Nitrogen—Ultraviolet Spectrophotometry. Ministry of Ecology and Environment of the People’s Republic of China: Beijing, China, 2007.
- GB 11893-89; Water Quality-Determination of Total Phosphorus-Ammonium Molybdate Spectrophotometric Method. Ministry of Ecology and Environment of the People’s Republic of China: Beijing, China, 1989.
- HJ 897-2017; Water Quality—Determination of Chlorophyll a—Spectrophotometric Method. Ministry of Ecology and Environment of the People’s Republic of China: Beijing, China, 2017.
- Liu, X.; Zhang, G. A review of studies on the impact of climate change on cyanobacteria blooms in lakes. Adv. Water Sci. 2022, 33, 316–326. [Google Scholar]
- Badger, M.R.; Price, G.D.; Long, B.M.; Woodger, F.J. The environmental plasticity and ecological genomics of the cyanobacterial CO2 concentrating mechanism. J. Exp. Bot. 2006, 57, 249–265. [Google Scholar] [CrossRef]
- Chen, X.; Zhu, L.; Che, X.; Liu, X.; Liu, H.; Tian, Y.; Li, X.; Chen, X. Study on diurnal variation of greenhouse gases flux in grass carp polyculture and monoculture ponds. Fish. Mod. 2023, 50, 16–24. [Google Scholar]
- Mo, S.; Zhang, X.; Tang, Y.; Liu, Z.; Kettridge, N. Effects of snails, submerged plants and their coexistence on eutrophication in aquatic ecosystems. Knowl. Manag. Aquat. Ecosyst. 2017, 418, 44. [Google Scholar] [CrossRef]
- Chen, S.; Wang, D.; Ding, Y.; Yu, Z.; Liu, L.; Li, Y.; Yang, D.; Gao, Y.; Tian, H.; Cai, R.; et al. Ebullition controls on CH4 emissions in an urban, eutrophic river: A potential time-scale bias in determining the aquatic CH4 flux. Environ. Sci. Technol. 2021, 55, 7287–7298. [Google Scholar] [CrossRef] [PubMed]
- Dando, P.R.; Hovland, M. Environmental effects of submarine seeping natural gas. Cont. Shelf Res. 1992, 12, 1197–1207. [Google Scholar] [CrossRef]
- Zhang, L.; He, K.; Wang, T.; Liu, C.; An, Y.; Zhong, J. Frequent algal blooms dramatically increase methane while decrease carbon dioxide in a shallow lake bay. Environ. Pollut. 2022, 312, 120061. [Google Scholar] [CrossRef]
- Xu, H.; Liu, Y.; Tang, Z.; Li, H.; Li, G.; He, Q. Methane production in harmful algal blooms collapsed water: The contribution of non-toxic Microcystis aeruginosa outweighs that of the toxic variety. J. Clean. Prod. 2020, 276, 124280. [Google Scholar] [CrossRef]
- Martinez, D.; Anderson, M.A. Methane production and ebullition in a shallow, artificially aerated, eutrophic temperate lake (Lake Elsinore, CA). Sci. Total Environ. 2013, 454, 457–465. [Google Scholar] [CrossRef] [PubMed]
- Sawakuchi, H.O.; Bastviken, D.; Sawakuchi, A.O.; Ward, N.D.; Borges, C.D.; Tsai, S.M.; Richey, J.E.; Ballester, M.V.R.; Krusche, A.V. Oxidative mitigation of aquatic methane emissions in large Amazonian rivers. Glob. Change Biol. 2016, 22, 1075–1085. [Google Scholar] [CrossRef] [PubMed]
- Xu, X.; Zhao, W.; Xiao, M.; Huang, J.; Fang, C.; Li, B.; Nie, M. Snails promote methane release from a freshwater lake ecosystem. Front. Environ. Sci. 2014, 2, 12. [Google Scholar] [CrossRef]
- Rietl, A.J.; Nyman, J.A.; Lindau, C.W.; Jackson, C.R. Gulf ribbed mussels (Geukensia granosissima) increase methane emissions from a coastal Spartina alterniflora marsh. Estuaries Coasts 2017, 40, 832–841. [Google Scholar] [CrossRef]
- Ye, W.; Sun, H.; Li, Y.; Zhang, J.; Zhang, M.; Gao, Z.; Yan, J.; Liu, J.; Wen, J.; Yang, H.; et al. Greenhouse gas emissions from fed mollusk mariculture: A case study of a Sinonovacula constricta farming system. Agric. Ecosyst. Environ. 2022, 336, 108029. [Google Scholar] [CrossRef]
- Li, J.; Dittrich, M. Dynamic polyphosphate metabolism in cyanobacteria responding to phosphorus availability. Environ. Microbiol. 2019, 21, 572–583. [Google Scholar] [CrossRef] [PubMed]
- Starling, F.L.D.M. Control of eutrophication by Silver Carp (Hypophthalmichthys molitrix) in the tropical Paranoá Reservoir (Brasília, Brazil): A mesocosm experiment. Hydrobiologia 1993, 257, 143–152. [Google Scholar] [CrossRef]
- Wang, Z.; Wang, Q.; Wang, J.; Wei, H.; Qian, J.; Zhang, Y.; Feng, K.; Chen, Q.; Yuan, J.; Liu, J.; et al. Evaluation of the control effect of bighead carp and silver carp on cyanobacterial blooms based on the analysis of differences in algal digestion processes. J. Clean. Prod. 2022, 375, 134106. [Google Scholar] [CrossRef]
- Liu, X.; Sun, T.; Yang, W.; Li, X.; Ding, J.; Fu, X. Meta-analysis to identify inhibition mechanisms for the effects of submerged plants on algae. J. Environ. Manag. 2024, 355, 120480. [Google Scholar] [CrossRef]
- Tang, P.; Yu, L.J.; Peng, Z.X.; Fan, P.Y.; Li, T.M.; Ren, K.Y. Research progresses on algae inhibition by allelopathy of aquatic plants. J. Biol. 2021, 38, 104–108. [Google Scholar]
- Gettys, L.A.; Haller, W.T.; Petty, D.G. Biology and Control of Aquatic Plants: A Best Management Practices Handbook, 3rd ed.; Aquatic Ecosystem Restoration Foundation: Marietta, Georgia, 2014. [Google Scholar]
- Gao, H.; Qian, X.; Wu, H.; Li, H.; Pan, H.; Han, C. Combined effects of submerged macrophytes and aquatic animals on the restoration of a eutrophic water body—A case study of Gonghu Bay, Lake Taihu. Ecol. Eng. 2017, 102, 15–23. [Google Scholar] [CrossRef]
- Grinham, A.; O’Sullivan, C.; Dunbabin, M.; Sturm, K.; Gale, D.; Clarke, W.; Albert, S. Drivers of anaerobic methanogenesis in sub-tropical reservoir sediments. Front. Environ. Sci. 2022, 10, 852344. [Google Scholar] [CrossRef]
- Caldwell, S.L.; Laidler, J.R.; Brewer, E.A.; Eberly, J.O.; Sandborgh, S.C.; Colwell, F.S. Anaerobic oxidation of methane: Mechanisms, bioenergetics, and the ecology of associated microorganisms. Environ. Sci. Technol. 2008, 42, 6791–6799. [Google Scholar] [CrossRef] [PubMed]
- Peng, G.; Fan, Z.; Wang, X.; Chen, C.H.E.N. Photosynthetic response to nitrogen source and different ratios of nitrogen and phosphorus in toxic cyanobacteria, Microcystis aeruginosa FACHB-905. J. Limnol. 2016, 75, 560–570. [Google Scholar] [CrossRef]
- Wei, S.S.; Li, P.P.; Yuan, L.Y.; Li, W.; Jiang, H.S. Leaf structure and inorganic carbon acquisition strategies of heteroblastic aquatic plants at different stages of development. Plant Sci. J. 2022, 40, 544–552. [Google Scholar]





Disclaimer/Publisher’s Note: The statements, opinions and data contained in all publications are solely those of the individual author(s) and contributor(s) and not of MDPI and/or the editor(s). MDPI and/or the editor(s) disclaim responsibility for any injury to people or property resulting from any ideas, methods, instructions or products referred to in the content. |
© 2025 by the authors. Licensee MDPI, Basel, Switzerland. This article is an open access article distributed under the terms and conditions of the Creative Commons Attribution (CC BY) license.
Share and Cite
Tao, R.; Wang, Y.; Zhang, Z.; Chen, T.; Zhou, D.; Zhang, Y.; Qiu, H.; Gao, Y. Submerged Plant Restoration Modulates Carbon-Water Interface Dynamics: Enhanced Carbon Sequestration Coupled with Eutrophication Control. Water 2026, 18, 65. https://doi.org/10.3390/w18010065
Tao R, Wang Y, Zhang Z, Chen T, Zhou D, Zhang Y, Qiu H, Gao Y. Submerged Plant Restoration Modulates Carbon-Water Interface Dynamics: Enhanced Carbon Sequestration Coupled with Eutrophication Control. Water. 2026; 18(1):65. https://doi.org/10.3390/w18010065
Chicago/Turabian StyleTao, Ran, Yinfei Wang, Zhiwei Zhang, Ting Chen, Dejian Zhou, Yimin Zhang, Huiyang Qiu, and Yuexiang Gao. 2026. "Submerged Plant Restoration Modulates Carbon-Water Interface Dynamics: Enhanced Carbon Sequestration Coupled with Eutrophication Control" Water 18, no. 1: 65. https://doi.org/10.3390/w18010065
APA StyleTao, R., Wang, Y., Zhang, Z., Chen, T., Zhou, D., Zhang, Y., Qiu, H., & Gao, Y. (2026). Submerged Plant Restoration Modulates Carbon-Water Interface Dynamics: Enhanced Carbon Sequestration Coupled with Eutrophication Control. Water, 18(1), 65. https://doi.org/10.3390/w18010065

