Next Article in Journal
Phytoplankton Community Shifts Under Nutrient Imbalance in the Yellow River Estuary and Adjacent Coastal Waters
Previous Article in Journal
Combating Toxic Blooms of Prymnesium parvum: Hydrogen Peroxide Influence on the Haptophyte, Other Phytoplankton Taxa, and Concentrations of Prymnesins Under Experimental Conditions
 
 
Font Type:
Arial Georgia Verdana
Font Size:
Aa Aa Aa
Line Spacing:
Column Width:
Background:
Article

Spectrophotometric Analysis of Divalent Mercury (Hg(II)) Using Dithizone: The Effect of Humic Acids and Ligands

1
Department of Chemistry, Tennessee Tech University, P.O. Box 5055, Cookeville, TN 38505, USA
2
Center for the Management, Utilization and Protection of Water Resources, Tennessee Tech University, P.O. Box 5033, Cookeville, TN 38505, USA
*
Author to whom correspondence should be addressed.
Water 2026, 18(1), 53; https://doi.org/10.3390/w18010053 (registering DOI)
Submission received: 14 November 2025 / Revised: 17 December 2025 / Accepted: 19 December 2025 / Published: 24 December 2025
(This article belongs to the Section Water Quality and Contamination)

Abstract

Spectrophotometric analysis of divalent Hg(II) using dithizone has been widely used. Yet, a number of analytical issues and concerns associated with this method remain to be addressed. We studied the effect of humic acids (Aldrich and Acros humic acids) and pH on Hg(II) analysis and clarified several analytical and operational issues. Our study shows that the humic acids lower the slopes of the Hg(II) calibrations and thus the sensitivity of the method. Nevertheless, the calibrations retain good linearity and thus still remain valid and useful in the presence of the humic acids at the tested levels of up to 100 ppm. The effect of the humic acids appears to be similar under both acidic and basic conditions. Our tests using cysteine (model agent for thiol group) and oxalate (carboxylic group) reveal the cause for the effect of the humic acids. The study shows that cysteine has the strongest effect on the Hg(II) analysis (largest calibration slope decreases), followed by humic acids and then oxalate. As for the pH effect, in the absence of the humic acids, basic conditions lead to lower sensitivity but still with good linearity at pH up to 9. Yet, the method fails to perform satisfactorily at pH ≥ 10. Our further extended study on the effect of ligands (chloride, hydroxyl, citrate, oxalate, and cysteine) confirms the effect and role of the thiol and carboxylic groups of humic acids in affecting the Hg(II) analysis. These ligands widely present in environmental samples can interfere with the Hg(II) analysis by lowering its sensitivity while still leaving its calibration linearity unaltered. Our operational study shows that the concentration of dithizone solution (dithizone in chloroform) should always be kept excessive and adjusted based on the level of Hg(II) analyzed to ensure complete complexation of Hg(II) with dithizone. Adoption of the dithizone solution used for the Hg(II) extraction, instead of chloroform, to zero the spectrophotometer proves to be useful and effective in minimizing analytical errors. The improved, refined method of spectrophotometric analysis of Hg(II) using dithizone can still serve as a useful analytical tool. Yet, a lack of due attention to and appropriate measures for handling the effect of humic acids and other ligands can result in analytical errors and research artifacts. This can consequently compromise the analytical validity of this method. Appropriate analytical calibrations should be conducted with the effect of humic acids or ligands in consideration, and only the specific calibration in the presence of the humic acid or ligand of concern at the relevant level(s) should be employed appropriately to calculate the results of the analytical unknowns.

1. Introduction

Mercury has posed an enduring, acute challenge at the juncture of analytical chemistry and environmental chemistry.
Ubiquitous in the environment, mercury (Hg) species are neurotoxins to which children from unborn infants to babies and the elderly are especially vulnerable [1,2,3,4]. There are three major environmental species of Hg, namely elemental mercury (Hg(0)), inorganic divalent mercury (Hg(II)), and organic divalent mercury, i.e., organometallic methylated mercury species (CH3Hg+, (CH3)2Hg) [4]. Volatile and sparingly soluble in water [5], Hg(0) is the dominant atmospheric form of Hg and has a long airborne residence time (~6–12 months) [6]. Chemically, Hg(II) can be reduced to Hg(0), which can be oxidized back to Hg(II) [7] through environmental chemical redox cycling. In aquatic environments, Hg(II) serves as the precursor for the methylated Hg species, which eventually enter fishes via magnified accumulation through aquatic food chain and consequently become a risk for humans, aquatic life, and wildlife [2,4]. Analysis and monitoring of Hg in various environmental systems are thus essential.
Quantification of environmental Hg demands appropriate analytical methods because the levels of Hg in ambient environments are usually very low (on scale of ng m−3 or lower in air and ng L−1 to pg L−1 in water) [4,8,9]. Advancements in Hg research have resulted in sensitive, selective analytical instrumentation and methods capable of analyzing very low or ultra-low levels of mercury in environmental samples [8]. The highly effective detectors also have been used as a complementary tool for gas chromatography (GC) and high-performance liquid chromatography (HPLC) for Hg speciation analysis at ultra-low concentrations relevant to environmental samples [9,10].
The various methods available for environmental Hg analyses (Table 1) [8,11,12,13,14,15,16], including cold vapor atomic fluorescence spectroscopy (CVAFS), atomic absorption spectrometry (AAS), and chromatography methods, bear pros and cons, with some methods constrained by certain disadvantages [10]. They are usually rather expensive, demand longer analysis time, and require extensive operational training [8,17,18,19]. The widely used methods are AAS and CVAFS, but both require initial transformation of environmental Hg species to Hg(0). In comparison with AAS [20,21], CVAFS can measure trace Hg(0) to pg-level with a fine, satisfactory linearity [8,11].
On the other hand, spectrophotometry is a useful, simple analytical method that can be used to directly analyze inorganic Hg(II) [22] and also serves as a useful, valuable tool for determination of Hg speciation [23]. This method takes advantage of the formation of a spectrophotometrically sensitive coordination compound of Hg(II) with a ligand. The ligands in use with good sensitivity and reproducibility include dithizone (1,5-diphenylthiocarbazone) [22,24], 6-(Anthracen-2-yl)-2,3-dihydro-1,2,4-triazine-3-tion [25], and Rhodamine B [26].
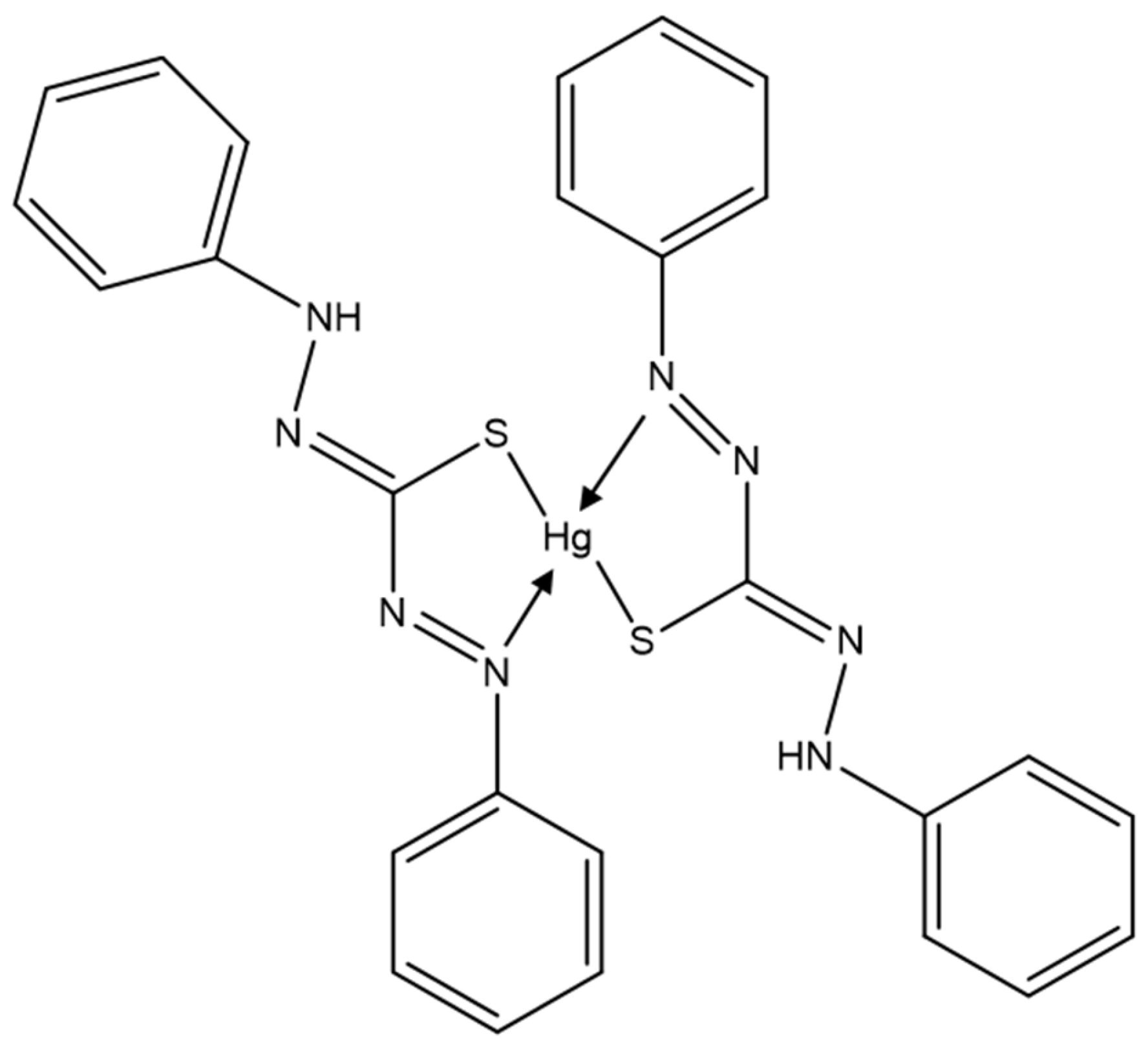
The dithizone method involves an organic solvent (chloroform) and a chelating ligand (soft Lewis base) that contains a sulfur of high affinity for Hg (soft Lewis acid), i.e., 1,5-diphenylthicarbazone, with the common name of dithizone (Figure 1) [27]. This method utilizes a highly selective keto complex formed between the bidentate dithizone molecule as the ligand and the mercuric ion (Hg2+) in a metal–ligand ratio of 1:2 (e.g., Hg(II)(dithizone)2) (Figure 2) [28,29].
Spectrophotometric analysis of Hg(II) with dithizone is one of the earliest known Hg analysis methods [27,29]. It is a sensitive, selective analytical method that can provide fairly rapid analysis results. This method has been used historically because of the simplicity and reliability [22]. It thus has been adopted as a recommended method for water and wastewater analysis [30] and continues to serve as a commonly used analytical method in water analysis and research [31,32]. The method, for example, was modified for analyzing Hg(II) in the presence of micelle [33] and Zn [34], for nano-loaded membrane [35], and in food samples [36].
This historical method was also employed to study Hg photoredox with organic acids [37] and the kinetics and mechanism of photoredox of Hg(II) in the presence of Fe(III) and organic acids [23,38]. It was used to study Hg(II) desorption from kaolinite [32] and Hg(0) oxidation by Fenton’s reagents [39]. More recently, the method was adapted and refined for use in an Hg(II) photoreduction study in the presence of humic acids [40] and a study on oxidation of Hg(0) mediated by superoxide [31].
Although spectrophotometric analysis of Hg(II) enjoys a long history, good advantages, and a wide adoption as a useful method for environmental analysis and research, this method still finds itself in need of further inspection and improvement/refinement. Several issues remain to be resolved or clarified concerning this method in particular.
Environmental water samples commonly contain humic acids [41,42]. Yet, little is known about the potential interference of this method by humic acids as competing ligands. The Hg(II) analysis is commonly carried out under acidic conditions, and the performance of this method at higher pH ranges needs to be inspected.
Hence, validation of the usefulness of this method relevant to various kinds of environmental samples warrants further investigation, especially under non-acidic conditions and in the cases where this method is used as a tool to study redox chemistry of Hg under ambient environmental conditions. Incidentally, there seems a lack of detailed, refined documentation of certain technical procedures pertinent to this method, and some analytical and operational issues remain to be clarified [40].
This paper reports an extensive study on spectrophotometric analysis of Hg(II) using dithizone. This study was aimed at (1) investigating the effect of humic acids, ligands, and pH on the Hg(II) analysis and related analytical interferences and (2) clarifying a number of analytical and operational issues (e.g., decomposition of dithizone and analytical blank). This study delivers the outcome sought, i.e., an updated, detailed, refined technical documentation of the Hg(II) analysis method with new improvement, modification, and refinement of the analytical and operational procedures for more accurate and reliable use in wider ranges of various analytical and investigative applications.

2. Materials and Methods

Two specific analyses were carried out on (1) the effect of humic acids on the spectrophotometric analysis of Hg(II) using dithizone and (2) the effect of ligands on the Hg(II) analysis. The chemicals and technical details involved in these two studies are provided as follows.

2.1. Effect of Humic Acids

Chemicals. All chemicals were used as received. The chemicals used in this study are as follows:
(1) Hg(II) standard solution (Hg(NO3)2, 1000 mg L−1 (ppm), i.e., 5000 µM, 1.8% nitric acid, ACS reagent grade) was obtained from the Fisher Scientific (USA);
(2) Mercury (II) perchlorate trihydrate (Hg(ClO4)2·3H2O, 99%, ACS reagent grade) was purchased from the Strem Chemicals (USA);
(3) Dithizone (1,5-diphenylthiocarbazone, C13H12N4S, 256.33 g mol−1,98%) was ordered from Alfa Aesar (UK);
(4) Chloroform (CHCl3, 0.75% ethanol as preservative, ACS certified, FW: 119.58 g mol−1) was from the Fisher Scientific and used as a solvent for making dithizone solution;
(5) L-cysteine (C3H7NO2S, 99%, FW: 121.16 g mol−1) was purchased from the Acros Organics.
(6) Potassium oxalate monohydrate (K2C2O4·H2O, ACS certified, FW: 184.23 g mol−1) was purchased from the Fisher Scientific;
(7) Solutions prepared for altering the pH of all solutions were obtained by using sodium hydroxide (NaOH) from the Fisher Scientific;
(8) Concentrated nitric acid (HNO3, trace-metals grade) were from the Fisher Scientific;
(9) Perchloric acid (HClO4, 70%, ACS reagent grade) came from the Fisher Scientific.
Humic acids. Two commercially made humic acids, Acros humic acid (ACHA) and Aldrich humic acid (ADHA), were used in this study to investigate the effect of humic acids on spectrophotometric analysis of Hg(II) using dithizone. ACHA (50–60% as humic acids) was obtained from the Acros Organics, Bridgewater, NJ, USA. ADHA was purchased from the Aldrich Chemical Company Inc. (Milwaukee, Wisconsin, USA).
Solutions. All glassware was cleaned with detergent followed by sufficient rinsing with an acid solution accordingly (HNO3 if Hg(NO3)2 used; HClO4 if Hg(ClO4)2 used). The Milli-Q water (Milli-Q Gradient from EMD Millipore, USA) was used to prepare all the solutions.
The working standard Hg(II) solutions for Hg(II) analysis calibration were prepared using a stock standard Hg(II) solution made from the Fisher mercuric nitrate standard solution (1000 mg L−1 or 5000 µM) or a stock Hg(II) standard solution (1000 mg L−1 or 5000 µM) made from mercuric perchlorate. The Hg(II) standard from Hg(ClO4)2 was prepared by dissolving 0.2268 g of Hg(ClO4)2·3H2O in 100 mL MQ water. The stock solution of 7.8 × 10−4 M dithizone was prepared by dissolving 0.020 g of dithizone in 100 mL of chloroform.
The working solutions of the humic acids were prepared using a stock solution of ADHA (800 ppm or mg L−1) or a stock solution of ACHA (800 ppm or mg L−1). The stock solution of ADHA was prepared by dissolving 0.4 g of ADHA in 500 mL of MQ water and that of ACHA by dissolving 0.4 g ACHA in 500 mL of MQ water.
The working solutions of oxalate (OX) were prepared using a stock solution of potassium oxalate (1000 ppm or mg L−1 or 5430 µM)). The working solutions of cysteine were prepared using a stock solution of L-cysteine (CYS) (10 ppm or mg L−1 or 82.5 µM). The stock solution of potassium oxalate was prepared by dissolving 0.2 g K2C2O4·H2O in 100 mL of MQ water and that of cysteine by dissolving 0.01 g of cysteine in 1 L of MQ water.
Equipment. The absorbance readings for all spectrophotometric analysis of Hg(II) were obtained using a Genesys-20 spectrophotometer (Thermo Scientific, USA). A Mettler Toledo pH meter (Switzerland) was used to measure the pH of the solutions. An IKA MS 3 digital shaker (IKA Works Inc., USA) was used for all extraction operations.
Hg(II) analysis method. Spectrophotometric analysis of Hg(II) using dithizone resorts to formation of a spectrophotometrically sensitive coordination compound of Hg(II) with a bi-dentate ligand dithizone probably in a ratio of 1:2 for Hg(II)–dithizone. The analysis was accomplished by means of calibration using the standard Hg(II) solutions.
For a regular (conventional) calibration operation, a series of acidified working standard Hg(II) solutions of 0.30, 0.60, and 0.90 mg L−1 (ppm) were each prepared in 50.0 mL volumetric flasks by pipetting 1.5, 3.0, and 4.5 mL of a 10 mg L−1 (ppm) Hg(II) solution prepared from the stock solution of Hg(NO3)2 or Hg(ClO4)2 and 250 µL of concentrated HNO3 or HClO4 (to acidify the solutions to pH 3). In this study, the standard Hg(II) solutions for the calibrations were prepared daily from two kinds of stock solutions, namely 1000 ppm Hg(NO3)2 or 1000 ppm Hg(ClO4)2, depending on the need for a specific test.
Both dithizone and Hg(II)–dithizone coordination compounds are poorly soluble in an aqueous phase. Consequently, the formation of the Hg(II)–dithizone coordination compound is accomplished by extracting an aliquot of the working standard Hg(II) solution into an aliquot of a working dithizone solution. This was performed by mixing the two solutions in a 1:1 ratio (5 mL:5 mL) in a 20 mL glass vial followed by shaking the mixture on an IKA MS 3 digital shaker at a speed of 1500 rpm for 75 s.
As a result of the unstable nature of the dithizone solution, 5 mL of the 7.8 × 10−4 M dithizone stock solution was diluted to 50 mL with chloroform each time, and this fresh working solution was then always used for the extraction of Hg(II). After the extraction under shaking was completed, the extraction mixture was left to stand for 10 min in the extraction vial to ensure a complete formation of the Hg(II)–dithizone coordination compound reaching equilibrium. After the Hg(II) extraction, a sufficient amount of the extractant containing the Hg(II)–dithizone compound was transferred into a 1 cm glass cuvette (or a set of three 1 cm cuvettes, as noted for a group of the tests with higher sensitivity desired) for absorbance reading at 496 nm.
In this study, the fresh working dithizone solution (dithizone in chloroform) actually used each time for the Hg(II) extraction, instead of just chloroform, was chosen as the analytical blank to zero the spectrophotometer each time. This practice helps to eliminate the analytical error caused by decomposition of dithizone, as is discussed subsequently in further detail.
Study on effect of humic acids and pH. To investigate the effect of humic acids on the spectrophotometric analysis of Hg(II), a desired amount of ADHA or ACHA stock solution was spiked into the working standard Hg(II) solutions used for obtaining calibration curves. The slopes of the calibration curves in the presence and absence of the humic acids tested were compared to evaluate the effect of the humic acids on the Hg(II) analysis.
To study the effect of pH on the Hg(II) analysis, the working standard Hg(II) solutions in the presence or absence of the tested humic acids were adjusted to the desired pH. In these cases, no initial acidification of the working standard Hg(II) solutions was needed.
All the above experiments were carried out in triplicate or more as indicted otherwise. The spectrophotometric runs were conducted using two sets of cuvettes as desired: (i) a singlet 1 cm cuvette or (ii) a set of triplet 1 cm cuvettes as indicated for higher sensitivity desired.

2.2. Effect of Ligands

Chemicals. The chemicals used in this study are the same as in the study of the effect of humic acids (see the list of the chemicals in Section 2.1) and were used as received. Additional chemicals include potassium citrate monohydrate (C6H7K3O8·H2O, ACS certified, FW: 324.41 g mol−1) and concentrated hydrochloric acid (HCl, ACS certified, FW: 36.46 g mol−1), both from the Fisher Scientific.
Solutions. All glassware used in this research was washed with detergent and rinsed a minimum of three times with concentrated nitric acid followed by a triple rinse with Milli-Q water. Milli-Q water (Milli-Q Gradient from EMD Millipore, USA) was used to prepare all the solutions.
A 5000 µM Hg(II) stock solution was prepared by dissolving 0.2268 g of mercuric perchlorate trihydrate (Hg(ClO4)2·3H2O) in 100. mL MQ water. A 50 µM working Hg(II) stock solution was prepared daily by diluting 1.0 mL of the 5000 µM Hg(II) stock solution in 100. mL of MQ water. The working Hg(II) stock solution was used to prepare the Hg(II) standards of various concentrations (0.50–10.0 µM) for all calibrations.
A concentrated stock solution of dithizone (to be used always in excess) was prepared by dissolving approximately ~0.02 g of dithizone dye in 100. mL of chloroform (concentration: 7.8 × 10−4 M). A working dithizone solution was prepared daily by diluting 5.0 mL of the concentrated dithizone stock solution in a 100. mL volumetric flask with chloroform (5.0 mL of concentrated dithizone solution and 95 mL of chloroform). The final dithizone concentration of the working dithizone solution is 3.9 × 10−5 M, with a blue/green (teal) color.
It is important to note that the working dithizone solution will decompose over time and become lighter in color (usually the decoloring indicative of decomposition becomes evident about 60 min after preparation) and eventually clear (the colorless solution is indicative of complete decomposition, and this usually happens within 12 h depending on light exposure); therefore, longer experiments would require preparation of multiple fresh working dithizone solutions in a timely manner.
Another requirement for the dithizone method is the need for the presence of excessive dithizone to ensure a complete formation of the Hg(II)–dithizone complex to capture all the Hg(II) present in the sample. Hence, the reliability and QA for the dithizone method is dependent on two factors: excessive and fresh dithizone in the extraction solution. Operationally, the blue/green (teal) color of the freshly made dithizone solutions can be used to gauge the satisfaction of this requirement.
Divalent mercury complexes with low-molecular-mass organic acid ligands (cysteine, citrate, and oxalate) were prepared by dissolving the appropriate amount of the ligand in 2.5 mL of 5000 µM Hg(II) stock solution and diluting the solution to 25 mL with MQ water to a final concentration of 500 µM Hg(II) and 10 mM ligand. The prepared solutions of a mixture of Hg(II) and the ligand were always left for at least two hours to ensure a complete complexation of the Hg(II) with the ligands before they were added to the calibration standard solutions for the calibration operation.
Equipment. All the equipment and devices used were the same as in the study of the effect of humic acids (see Section 2.1).
Hg(II) analysis calibration method. In order to assess the effect that certain experimental conditions (e.g., ligand and pH) have on the dithizone method, a baseline (regular or conventional) calibration curve must first be obtained. The baseline calibration curve was obtained by following the experimental conditions of the established dithizone method [22,23,39]. Hence, following the conventional procedures, a baseline calibration curve was obtained where only Hg(II) from the standard Hg(II) (e.g., Hg(ClO4)2) was present in the solutions, and the pH was acidified with HNO3 to a recommended pH of approximately 1. Once a baseline calibration was established, ligand/pH-specific calibration curves were obtained, where a specific ligand was present in the standard calibration solutions at the pH and ligand level desired. The effects of the ligand and pH were determined by comparing the adapted calibration curve to the baseline calibration curve to determine if the method is applicable and effective.
The baseline calibration was achieved by the Hg(II) analysis using regular standard Hg(II) solutions (Hg(II) only). A series of six acidified Hg(II) standards were prepared in 25 mL volumetric flasks using the 500 µM Hg(II) working stock solution. A desired Hg(II) working stock volume was pipetted into the 25 mL volumetric flask along with 125 µL of concentrated nitric acid. The solutions were then diluted to the mark with MQ water to obtain the desired working standard Hg(II) solutions.
Hg(II) was then extracted for analysis by mixing with dithizone in a 1:1 v/v ratio. To accomplish this, 5.0 mL of a Hg(II) standard solution was added to a 20 mL glass scintillation vial, followed by the addition of 5.0 mL of the working dithizone solution. The vial was capped and held on an IKA MS 3 digital shaker at a speed of 1500 rpm for 75 s to mix for the extraction. The mixture was then allowed to stand still for 10 min to ensure complete formation of the mercury–dithizone complex in the organic phase. As the density of chloroform is larger than that of water, the organic phase (containing the mercury–dithizone complex) was the bottom layer, and the aqueous phase was on the top. A glass Pasteur pipette was used to collect a sufficient amount of the Hg(II)–dithizone complex extractant (~3.0 mL), and this was then transferred into a 1 cm glass cuvette for the spectrophotometric analysis. In the present study, all the spectrophotometric runs were conducted using a singlet 1 cm cuvette.
After the warm-up period of a minimum of 30 min prior to use of the spectrophotometer, the measuring wavelength was set to 496 nm, and the spectrophotometer was zeroed in air first. It was then zeroed with the working dithizone solution, which is the same solution used to extract Hg(II) from the sample (i.e., dithizone dissolved in chloroform). It should be noted that previously, the conventional dithizone method for mercury extraction used chloroform as the blank [30]. Our study [40] indicated that using the working dithizone solution as the blank helps to eliminate the analytical error caused by the decomposition of dithizone. Therefore, this practice was implemented in the present study. After the spectrophotometer was properly zeroed, the 1 cm cuvette containing the Hg(II)–dithizone complex in the organic phase from the Hg(II) standard solution was placed into the spectrophotometer, and the absorbance at 496 nm was recorded. The operation was repeated for each of the working Hg(II) standards.
Ligand effect study. To study the effect of the ligands (chloride, hydroxyl, cysteine, citrate, and oxalate) (Table 2) on the spectrophotometric analysis of Hg(II), the Hg(II) standards used for obtaining specific Hg(II)–ligand calibration curves were prepared by using appropriate, pre-prepared working Hg(II) stock solutions that already contained the desired ligand at the specific pH and ligand level selected. This deviates from the approach adopted in the study on the effect of humic acids in which separate stock solutions of the standard Hg(II) solution and the specific ligand solution were prepared individually (separately), and the ligand stock solution was then spiked into the standard Hg(II) solution [40]. This alternative approach of preparing a combined Hg(II)–ligand stock solution to prepare the Hg(II)–ligand working standard solutions as just described was chosen to ensure a sufficient time needed for the formation of the Hg(II)–ligand coordination compound.
pH effect study. To study the effect of pH on the Hg(II) analysis, each calibration test scenario for ligand was conducted at pH 4.2 and 7.2. The solution pH adjustments were made with 0.2 or 2.0 M NaOH.
All experiments for each variable were repeated three times unless otherwise noted.

3. Results and Discussion

Spectrophotometric analysis of Hg(II) using dithizone generally delivers excellent linear calibrations with good reproducibility when only standard Hg(II) solutions are used for calibration under acidic conditions [38,39,40]. Authentic environmental samples, however, contain other components, which may potentially interfere with the Hg(II) analysis. Hg speciation strongly depends on the pH of the solution analyzed. Hence, the solution pH may also affect the Hg(II) analysis. We investigated these effects and potential interferences to examine the validation of the Hg(II) analysis method in the presence of humic acids or various ligands and under non-acidic conditions. We also made refinements and improvements to clarify or handle some analytical or operational issues associated with the method (e.g., decomposition and concentration of dithizone; analytical blank).

3.1. Baseline Calibration for Spectrophotometric Analysis of Hg(II) with Dithizone

Figure 3 presents the typical calibration curve (i.e., baseline calibration curve) for the Hg(II) analysis under the conventional dithizone method conditions (Hg(II) only and acidic pH) as described previously. The absorbance of Hg(II)–dithizone complex exhibits a fine linear relationship with the standard Hg(II) concentration. The slope of the conventional calibration curve, which reflects the sensitivity of the method, and its R2 value, which represents the linearity of the calibration, are used as the benchmark (baseline) calibration parameters to evaluate the effects of the ligands and pH on this method.

3.2. Effect of Humic Acids on Spectrophotometric Analysis of Hg(II) with Dithizone

Humic acids are ubiquitous in natural waters and soils [41,43]. These natural products are macromolecular mixtures of polymers of poly-aromatic rings enriched with carboxylic and thiol groups [44,45]. Humic acids are difficult to remove from environmental samples and thus may potentially interfere with spectrophotometric analysis of Hg(II) using dithizone. To address this issue, experiments were conducted by spiking various amounts of certain humic acid in working standard Hg(II) solutions used for the calibration, and then, the slopes of the calibrations obtained in the presence and absence of the humic acid tested were compared to determine the effect of the humic acid on the Hg(II) analysis.
Two sorts of humic acids were used in this study, i.e., ADHA and ACHA (see Section 2.1). These are commercially provided humic acids that have been widely used in research involving humic acids [46,47,48,49,50]. To consider the potential effect of pH on the Hg(II) analysis, the experiments on the effect of humic acids were carried out first under acidic conditions (pH = 3), and then, similar tests were conducted under basic conditions (pH = 9).
Effect of humic acids. Figure 4 shows that under the acidic condition tested (pH = 3), the slopes of the Hg(II) calibrations in the presence of the humic acids decrease with increasing amounts of each humic acid tested (calibration slope vs. humic acid level) in a nearly linear fashion up to the level of 100 ppm (for ACHA, slope = −0.0006, R2 = 0.869; for ADHA, slope = −0.0004, R2 = 0.993, Table 3). The calibration slopes decrease by 16.4%, 24.5%, 31.5%, and 31.1% in the presence of 25, 50, 75, and 100 ppm ACHA and by 16.8%, 19.6%, 23.4%, and 25.9% in the presence of 25, 50, 75, and 100 ppm ADHA, respectively (Table 3, Figure 4). Yet, the calibrations obtained in the presence of the humic acids still exhibit good linearity (R2: 0.9872–0.9985 for ACHA and 0.9973–0.9988 for ADHA) (Table 3 and Table 4). The effect of the humic acids on the Hg(II) analysis at pH 3 was further confirmed by an elaborated experiment using ADHA at more levels (pH 3) (Table 4).
Although the calibration slope decreases are significant in the presence of the humic acids tested, our results indicate that the presence of the humic acids at levels up to 100 ppm does not appear to cause an interference with the Hg(II) analysis but indeed decreases the sensitivity of the Hg(II) analysis. It is also interesting to note that the two humic acids used in this study (ADHA and ACHA) appear to exhibit a similar effect at the pH tested (pH = 3), as evidenced by the close overlap of the two calibration slope curves for the two humic acids (Figure 4).
Typical concentrations of dissolved organic matter in natural waters are in the range of 1–100 mg C L−1 (ppm carbon, or ppm C) [51]. Assuming the carbon contents of organic matter (humic matter) are commonly about 50–60% [52], the humic acid level of 100 ppm (mg L−1) in this study is equivalent to 50–60 ppm C, well within the common levels of aquatic dissolved organic matter. The present study thus shows that the linearity of the spectrophotometric analysis of Hg(II) with dithizone can hold valid for water samples containing up to about 50–60 ppm C. Above these levels, caution needs to be exercised to inspect the validation of the linearity of the Hg(II) analysis calibration.
The same experiments on the effect of the humic acids were also carried out at pH 9 using ADHA to investigate and illustrate the manifestation of the humic acid effect under basic conditions. Similar decreases in the calibration slopes in the presence of ADHA are evident (Table 5, Figure 5). The effect of ADHA on the Hg(II) analysis at pH 9 was further confirmed by elaborated experiments using ADHA at more levels (pH = 8, 9) (Figure 6) and at pH 6–9 with various ADHA levels (Table 6). An elaborated discussion on the effect of pH on the Hg(II) analysis in the presence of humic acids is detailed in a subsequent section.
Effect of carboxylic group and thiol group of model ligands (oxalate and cystine). Humic acids contain two major functional groups that can interact with Hg(II), i.e., a carboxylic group (–COO from –COOH) and a thiol group (–S from –SH). These can compete with dithizone for Hg(II) to form stable Hg(II) coordination compounds (Figure 2) and thus affect the Hg(II) analysis. To investigate the role of these two functional groups in the effect of humic acids on the Hg(II) analysis, we spiked oxalate (model organic acid ligand with carboxylic groups) and cysteine (model organic acid ligand with both carboxylic and thiol groups) in the working standard Hg(II) solutions to compare the slopes of the calibrations in the presence and absence of these model agents to act as the ligands for Hg(II).
Figure 4 shows that under the acidic condition (pH = 3), oxalate only has a slight effect, but cysteine exhibits a substantial effect. The decreases in the calibration slopes for oxalate range from 12% to 14% at the concentrations of 25–100 ppm (136–543 μM), while those for cysteine have a larger range of 14% to 35% at the very low concentrations (≤3 ppm or 12.4 μM) (Table 3). The effect of cysteine on the Hg(II) analysis was confirmed by an elaborated experiment at more cysteine levels (pH = 3) (Figure 7).
Similarly, under the basic condition (pH = 9), oxalate also has the slightest effect, with the percentage decreases in the calibration slopes being 0.8%, 2.3%, 9.8%, and 25.9% at the oxalate levels of 7.5–60 ppm (40.7–325.8 μM), respectively (Table 5, Figure 5). On the contrary, cysteine exhibits the strongest effect with the percentage calibration slope decreases of 24.8%, 34.9%, and 54.9% at the cysteine levels of 0.125–0.500 ppm (1.03–4.13 μM), respectively (Table 5). As a comparison, under the basic condition (pH = 9), the calibration slopes decrease by 5%, 9%, and 64.7% in the presence of 2.7, 4.0, and 10.0 ppm ADHA, respectively (Table 5).
Likewise, as seen for the effect of the humic acids at pH 3, all the calibrations under the basic conditions also show good linearity (R2: 0.9850–0.9997 for ADHA, 0.9897–0.9987 for oxalate, and 0.9980–0.9985 for cysteine, Table 5 and Table 6, Figure 5 and Figure 6). These results indicate that the analytical method of spectrophotometric analysis of Hg(II) with dithizone retains fine calibration linearity in the presence of the humic acids and ligands tested under both acidic and basic conditions, without an alternation of its validation and effectiveness.
The results of our study on the effect of humic acids on the Hg(II) analysis as compared to the effect of the model ligands (oxalate and cysteine) suggest that thiol groups are mainly or more responsible for the effect of the humic acids on the Hg(II) analysis observed. This is consistent with the known notion that a thiol group (soft ligand) has a very high affinity for Hg species (soft metal ion) [53,54,55,56,57].
It needs to be pointed out that cysteine not only exhibits a pronounced effect but also does so at very low or much lower concentrations (Figure 4 and Figure 5, and Figure 7; Table 3 and Table 5). This indicates that cysteine can cause the effect much more efficiently as well as more intensively. Interestingly, although cysteine strongly affects the Hg(II) analysis, it is also noteworthy that this effect becomes significant only at a cysteine concentration above ~0.5 ppm (~4.1 μM) at pH 3 (Figure 4) and ~0.25 ppm (~2.05 µM) at pH 9 (Figure 5 and Figure 7).
It is notable that although both oxalate and cysteine can affect the sensitivity of the Hg(II) analysis to various degrees, the calibration curves still clearly retain good linearity in the presence of these agents (Table 3 and Table 5). This is consistent with the observation for the effect of the humic acids (Figure 4, Figure 5 and Figure 6; Table 3, Table 4, Table 5 and Table 6). Incidentally, the calibration slopes decrease in the presence of cysteine in a linear fashion (Figure 3 and Figure 4), which is also consistent with the observation for the effect of the humic acids. These results reinforce the notion that the thiol groups in humic acids play a leading role in affecting the sensitivity of the Hg(II) analysis.
An empirical functional-group model for effect of humic acids on the Hg(II) analysis. To further investigate the role of the two functional groups in their effect on the sensitivity of the Hg(II) analysis, an attempt was made to model the effect of humic acids on the sensitivity of the Hg(II) analysis. This model originates from the findings described below.
As seen in Figure 4, the curves of the calibration slope vs. the humic acid level in the case of the two humic acids tested (ADHA and ACHA) under the acidic condition (pH 3) are located somewhat below the curve for oxalate and quite far above the curve for cysteine. On the other hand, the curve of the calibration slope vs. the humic acid level for ADHA under the basic conditions (pH 9) is located quite below the curve for oxalate and closely above the curve for cysteine (Figure 5). These observations share a common feature, i.e., the curve(s) of the calibration slope vs. the humic acid level is located in between the curves for oxalate and cysteine under both acidic and basic conditions.
The above findings prompted us to formulate a functional-group model to account for the effect of humic acids on the Hg(II) analysis. We created an index to measure the effect of various agents on the sensitivity of the Hg(II) analysis. This index is given by the slope of the curve (line or plot) of the calibration slope vs. the level of the agent present (tested) as shown in Figure 4 and Figure 5. This value is called the index for the sensitivity evaluation for the Hg(II) analysis—in short, the Sensitivity Evaluation Index (SEI).
The SEI values at pH 3 can be found to be −4 × 10−4 for ADHA (SEIADHA), −6 × 10−4 for ACHA (SEIACHA), −7 × 10−5 for oxalate (SEIox), and −4.06 × 10−2 for cysteine (SEIcyst) (note: the negative sign is due to the nature of a decrease in the calibration slope with increasing concentration of the affecting agent present) (Table 3).
With the SEI values obtained, we can formulate an empirical model to describe and measure the effect of the carboxylic and thiol groups of the humic acids on the sensitivity of the Hg(II) analysis as follows:
SEIHA = n × SEIox + m × SEIcyst
where n and m are adjustable coefficients (model parameters), and the values of SEIHA for ADHA and ACHA, SEIox, and SEIcyst for the acidic conditions (pH 3) can be obtained from Table 3. Hence, we have the following:
SEIHA = n × (−7 × 10−5) + m × (−4 × 10−2)
The values of n and m can be assigned to give various scenarios of the model. A particular set of the n and m values as approximation can be obtained from the fractions of the carboxylic and thiol groups in humic acids and then adopted in the above model (Equation (2)). The fraction of the carboxylic groups in humic acids varies, but a common, representative value that may be selected for use is 0.21 (n = 0.21 for 4.6 meq. −COOH/g HA or 0.21 g −COOH/g HA as equivalent with M–COOH = 45 g mol−1) [43,58]. The fraction of the thiol groups in humic acids that may be selected for use is 0.00176 (m = 0.00176; considering the fraction of the total S in humic acids as 0.004 and the fraction of the thiol in the total S as 0.44, 0.004 × 0.44 = 0.00176) [43,59].
Applying the fractions for −COOH (n = 0.21) and for −SH (m = 0.00176) in the above model equation (Equation (2)) yields a value for SEIHA shown below:
SEIHA = n × (−7 × 10−5) + m × (−4 × 10−2)        
= (0.21) × (−7 × 10−5) + (0.00176) × (−4 × 10−2)
= −8.5 × 10−5 ≈ −1 × 10−4         
The above value is quite close to or at least on the same magnitude of the actual SEIHA values for the ADHA and ACHA obtained experimentally (−4 × 10−4 for ADHA and −6 × 10−4 for ACHA, Table 3). Hence, this empirical model appears to work fairly well in accounting for the effect of the –COOH and –SH groups of humic acids on the sensitivity of the Hg(II) analysis.
Interestingly, the same treatment for the case under the basic conditions (pH = 9) (SEIox = −3 × 10−3 and SEIcyst = −5.3 × 10−2, Table 5; n = 0.21 and m = 0.00176) would lead to a value of the SEIADHA being −7.2 × 10−4, which is two orders of magnitude lower than the experimentally obtained value (−5.8 × 10−2, Table 5).
The above model-predicted SEIADHA value for pH 9 indicates that the empirical model fails in the case for the basic conditions. This is probably because at pH 9, the sensitivity of the Hg(II) analysis is affected by both humic acids (mainly thiol groups) and pH (−OH ligand as a competing agent other than thiol group for Hg(II)). Hence, the SEIADHA reflects combined effects of both thiol and hydroxyl groups on the sensitivity of the Hg(II) analysis, while the model considers only the effects of carboxylic and thiol groups. In other words, the model may be modified to include the effect of the −OH ligand as follows:
SEIHA = n × SEIox + m × SEIcyst + p × SEI−OH
where p is an adjustable coefficient (model parameter) similar to n and m in Equation (1). Various scenarios of the model parameters of n, m, and p may be entertained as desired to look into how the effect of humic acids on the Hg(II) analysis manifests through these functional groups or agents.
The absolute values of the SEI indexes can be considered a measure of the degree of the effect of humic acids on the sensitivity of the spectrophotometric analysis of Hg(II) with dithizone. Higher absolute values of the SEI indicate a higher humic acid effect. This index (calibration slope per ppm humic acid) is also useful in estimating the humic acid effect at various levels of humic acids present in water samples.
Analytical implication of the effect of humic acids on the Hg(II) analysis. Since the calibration remains essentially valid (linear) in the presence of the humic acids or other effective agents (Table 3, Table 4, Table 5 and Table 6), and moreover, the sensitivity effect is also fairly linear (Figure 4, Figure 5, Figure 6 and Figure 7), the curves of the decrease in the calibration slope vs. the concentration of the humic acid (or an affecting agent) can provide an analytical tool to measure and calibrate the sensitivity effect of humic acids or other agents on the Hg(II) analysis. We can find the specific relevant calibration slope for analyzing Hg(II) in the presence of a given level of the humic acid (or an affecting ligand) from the linear plot of the calibration slope in the presence of the humic acid (or the affecting ligand) vs. the concentration of the humic acid (or affecting ligand) as shown in Figure 4, Figure 5, Figure 6 and Figure 7 and Table 3, Table 4, Table 5 and Table 6.

3.3. Effect of Ligands on Spectrophotometric Analysis of Hg(II) with Dithizone

Hg(II) is hardly found as a free Hg2+ cation in natural aquatic systems or in aqueous solutions, but it actually is present as a coordination compound with various ligands. Even in pure water, Hg(II) exists as an aquo complex (coordination compound) with water molecules as the ligands to form a hydration shell around each Hg(II). Other ligands that typically form coordination compounds with Hg(II) include both inorganic (e.g., Cl) and organic species (e.g., oxalate, citrate, and cysteine). As discussed previously, these ligands can compete with dithizone to bind with Hg(II) (Figure 2) and thus may interfere with spectrophotometric analysis of Hg(II) with dithizone.
Our study on the effect of the humic acids on the spectrophotometric analysis of Hg(II) as presented in Section 3.2 shows that aquatic ligands can indeed affect the Hg(II) analysis through ligand competition for Hg(II) (Figure 4, Figure 5, Figure 6 and Figure 7, Table 3, Table 4, Table 5 and Table 6). To further verify and investigate the role of the ligands with respect to the applicability of the dithizone method for Hg(II) analysis, we conducted an extensive study on the effect of ligands for the Hg(II) analysis. In this study, the regular aquo-Hg(II) standards were substituted with Hg(II)–ligand standards (Hg(II)L). It should be pointed out that Hg(II)L is a general notion of expressing the Hg(II)L complexes (coordination compounds) and thus does not reflect that actually there is always a 1:1 ratio of mercury–ligand. As a matter of fact, dithizone is a bi-dentate ligand with −S and −N as the lone electron pair donor atoms, and the Hg(II)–dithizone coordination compound exists as Hg(II)-dithizone2 (Figure 2).
Specifically, we used various Hg(II)L (L = chloride, cysteine, citrate, and oxalate) stock solutions to prepare and use as the Hg(II) standard solutions for the Hg(II) calibration. The slopes of the calibrations were obtained and compared with the slopes in the absence of any added ligand (i.e., in water only with Hg(II) predominantly as Hg(OH)2 at both pH 4.2 and 7.2).
It is important to note that for the present study and in Hg(II) samples of environmental waters, Hg(II) is never really found in the absence of any ligand, as previously discussed. Thus, an absence of any added ligand actually means that Hg(II) exists as Hg(OH)2 regardless of the pH (4.2 or 7.2 used for the present study), as indicated by the species distribution diagrams for every experimental test scenario obtained by the computer speciation modeling program (Visual MINTEQ, Version 3.1, 2014) [31]. In consideration of the potential effect of pH on the Hg(II)L analysis, the experimental tests for this ligand effect study were carried out first under acidic conditions (pH = 4.2) and then similarly under circumneutral conditions (pH = 7.2). These two selected pH conditions offer additional pH conditions (in addition to the two pH conditions of pH 3 and pH 9 used in the study on the effect of humic acids) to enlarge the specific pH scenarios covered for the study of the effect of ligands.
Table 7 provides the percentage decreases in the Hg(II) calibration slopes with the calibration linearity (R2) for spectrophotometric analysis of Hg(II) using dithizone in the presence of chloride, cysteine, citrate, or oxalate at the levels tested and pH 4.2 as compared to the regular calibration in the absence of the ligands (water only with hydroxyl as the ligand for the regular calibration). The results show that under acidic conditions (pH = 4.2) at the ligand levels tested, citrate has only a slight effect, chloride and cysteine have a similar effect that is slightly greater than the effect of citrate, and oxalate exhibits the largest ligand effect on the Hg(II) analysis.
The decrease in the Hg(II) calibration slopes (i.e., a decrease in the sensitivity of the method) in the presence of the ligands ranges from 3.3% for citrate at the level of 1.0 × 10−3 M (1.0 mM) to 14.1% for oxalate at the same level. Chloride and cysteine exhibit a similar slope decrease at around 9% but at much lower concentrations tested than citrate or oxalate (Cl: 2.0 × 10−5 M; cysteine: 4.1 × 10−6 M).
It is notable that oxalate exhibits a larger effect than cysteine because oxalate has a much higher concentration (1.0 × 10−3 M for oxalate vs. 4.1 × 10−6 M for cysteine). This shows that even though carboxylate group is a weaker ligand with a lower affinity for Hg(II) (a soft Lewis acid or soft metal ion, logKf-Hg(II)–oxalate = 9.7) than a thiol group (logKf-Hg(II)–cysteine = 14.4) (Table 2), oxalate can still affect the Hg(II) analysis more pronouncedly than cysteine at significantly higher levels. This indicates that the effect of the ligands depends not only on the ligand sort but also on the ligand level. This implicates that carboxylate groups in humic acids can still play a significant role depending on the ligand quantity, although their affinity for Hg(II) is weaker than the thiol group-containing ligands.
The basic condition (pH 7.2) sees similar results with the exception of cysteine, exhibiting a much stronger effect than at pH 4.2 at the same concentration. Citrate has the lowest percentage slope decrease again (3.5%), followed by chloride at 7% and oxalate at 10.4%, with cysteine causing the largest percentage slope decrease at 31.3% (Table 8).
It needs to be pointed out that regardless of the slope decreases, all of the calibrations under both pH conditions show satisfactory linearity (R2: 0.9987–0.9999 for chloride, 0.9919–9981 for cysteine, 0.9999 for citrate, and 0.9973–0.9975 for oxalate). This confirms the same finding presented previously for the effect of humic acids: the ligands as well as humic acids only affect the sensitivity of the Hg(II) analysis method and not the linearity of the calibration for the method.
The special effect of cysteine is reflected by the fact that although its level (μM) is one order of magnitude lower than Cl (101 μM) and three orders of magnitude lower than citrate and oxalate (mM), its effect stands out nearly the same at pH 4.2 or even much stronger at pH 7.2 as compared with the other ligands. This is a manifestation of the stability of the Hg(II) coordination compounds since the formation constant (Kf) for Hg(II) with cysteine is several orders of magnitude higher (1014.4) as compared with the Kf with citrate (1010.9) and oxalate (109.7). Interestingly, citrate and oxalate have varying effects on the Hg(II) analysis, which is rather unexpected since both ligands contain carboxylic groups and have similar stability constants.
Another interesting finding is the pH dependence of the ligand effects. The effect of citrate appears nearly the same at both pH conditions (similar slope decreases, Table 7 and Table 8), while oxalate has a higher effect at pH 4.2 (more slope decrease). It needs to be pointed out that while the actual slope of oxalate at pH 4.2 appears higher (m = 0.0443) than the slope at pH 7.2 (m = 0.438), the slope decrease (%) is based on its comparison with the baseline calibration slope, which is the slope of only Hg(II) with no added ligand (i.e., Hg(II)–hydroxide complex) at the appropriate pH (see footnote on Table 7 and Table 8).

3.4. Effect of pH on Spectrophotometric Analysis of Hg(II) with Dithizone

Spectrophotometric analysis of Hg(II) using dithizone is commonly carried out under acidic conditions [38,39]. This practice is adopted to ensure that all Hg(II) remains completely dissolved as Hg2+ species. Under acidic conditions, Hg(II) speciation favors the free ion (Hg2+) when no ligand for Hg(II) is present or added, and Hg(II) is fully ionized in the aqueous solution and can readily bind with dithizone.
Operationally, Hg(II) samples are commonly acidified first before being analyzed. Yet, acidic conditions deviate from the environmentally realistic settings commonly seen. There are occasions in which Hg(II) samples need to be analyzed under original conditions. We conducted experiments to test the applicability of the spectrophotometric analysis of Hg(II) under basic conditions as compared with the acidic condition. This was achieved by running the Hg(II) calibrations using standard Hg(II) solutions at pH 3 and pH 6–9 for the study on the effect of humic acids. The test on the effect of pH was accomplished for the study on the effect of ligands by running the Hg(II) calibrations under slightly acidic conditions (pH 4.2) and circumneutral (near neutral) conditions (pH 7.2). These pH values were chosen to mimic different environmental systems, where pH 7.2 is typical of many freshwater aquatic systems, while pH 4.2 is typical of freshwater systems subjected to acid mine drainage.
Effect of pH in association with the effect of humic acids. Our study shows that in the absence of humic acids, the calibration slopes become smaller at pH 6–9 (average slope = 0.6922, Table 5) as compared to those at pH 3 (average slope = 0.7898, Table 3 and Table 4), which amounts to a ~12% decrease. Nevertheless, the calibrations still exhibit good linearity at pH 6–9 (R2 = 0.9813–0.9989 without ADHA, Table 5). This indicates that at neutral or basic pH, the spectrophotometric analysis of Hg(II) using dithizone is still effective but with lower sensitivity. This is similar to what was observed in the presence of the humic acids. However, our results show that at pH ≥ 10, no Hg(II) is detectable, indicating the failure of dithizone to bind Hg(II) under the high pH conditions in competing for Hg(II) with the −OH group.
It is well known that at neutral and basic pH, HgOH+ and Hg(OH)2 are the two dominant Hg(II) species [60]. Under the high pH conditions, dithizone becomes weaker in competing with −OH ligand to form coordination compounds with Hg(II). Hence, less Hg(II) can bind to dithizone, and eventually, all Hg(II) forms Hg(OH)2 at the high pH, which leads to the decrease in the calibration slopes and ultimate failure of the method at pH ≥ 10.
It is interesting to note that our study shows that at pH 6–9, in the absence of humic acids, the calibration slopes differ moderately, exhibiting only slight decreases in the calibration slopes with increasing pH (Figure 5, Table 5). This is most likely because at this pH range, Hg(II) is already present mainly as Hg(OH)2. In summary, the spectrophotometric analysis of Hg(II) using dithizone is still effective, with good linearity but lower sensitivity at high pH up to pH = 9. However, the method fails to function at pH ≥ 10.
In the presence of humic acids and at high pH simultaneously, the calibration slopes decrease to larger degrees as compared to in the absence of humic acids. This is indicative of a two-fold effect (both humic acid and pH) jointly affecting the Hg(II) analysis. It is well known that at high pH, more thiol groups become deprotonated, and thus, more thiol groups become available to effectively bind Hg(II). Hence, high pH enhances the effect of humic acids, leading to even lower calibration slopes (sensitivity) (Table 5).
Effect of pH in association with the effect of ligands. Table 9 provides a collective summary of the results of the study on the pH effect. This summary offers an overview of the pH effect for a general inspection. Here, it is worth mentioning that the slope is 0.0516 at pH 4.2 and 0.0489 at pH 7.2 in the absence of any other ligand, such as citrate, oxalate, cysteine, or chloride. It is understandable that at high pH, more Hg(II) binds to −OH groups, making Hg(II) less accessible or amenable to forming a complex with dithizone.
In the presence of various ligands and at high pH simultaneously, it is notable that the effect of cystine is much higher at pH 7.2 (31.3% slope drop) than at pH 4.2 (9.3% slope drop) (Table 7 and Table 8). This may be related to the speciation variation of cysteine with pH. At pH 7.2, the thiol group of cysteine tends to be deprotonated, releasing the donor sulfur atom and causing the ligand to readily make a coordination bond with Hg(II) (i.e., donating a lone pair of electrons from S to Hg(II)). At pH 4.2, some of the thiol groups remain protonated and thus unavailable to form the bond with Hg(II).
A similar pH effect concerning the influence of chloride on the Hg(II) analysis is observable. The effect of chloride is higher at pH 4.2 than at pH 7.2. At pH 4.2, fewer –OH groups are present in the inner coordination sphere of the Hg(II)–hydroxyl coordination compound, which leaves more room for Hg(II) to bond to Cl, while at pH 7.2, the opposite is seen.
Finally, Table 10 provides an overview of the effect of the ligands of oxalate and cysteine on the spectrophotometric analysis of Hg(II) at various pH (pH = 3–9). This table clearly shows how the calibration slope decreases with increasing pH, resulting in a pH-dependent sensitivity variation for a particular ligand of concern.

3.5. Improvement and Refinement of Analytical Procedures and Operations

In spite of the wide use of the method of spectrophotometric determination of Hg(II) using dithizone in the environmental field, there is a lack of a comprehensive documentation of the operational procedures with sufficient technical details provided to serve as a useful reference. Many seemingly trivial technical details are often omitted in the literature. At times, there is a need for further improvement or modification when this method is applied to various cases in environmental analysis and research. Here, we report several improvements or refinements developed when this method was applied to our environmental research [40], with the intention that these details may be beneficial for various applications. An updated comprehensive documentation of the method for spectrophotometric analysis of Hg(II) using dithizone with sufficient technical details of the operational procedures and the new improvements and refinements from this study is provided in Appendix A.
Decomposition and concentration of dithizone. Spectrophotometric analysis of Hg(II) using dithizone requires formation of Hg(II)–dithizone coordination compound. However, dithizone is prone to gradual decomposition at room temperature even in the dark [61]. Figure 8 shows 3 × 10−5 M (30 μM) of dithizone in a chloroform solution decomposed continuously within 285 min. With decomposing of dithizone ligand, the Hg(II)–dithizone coordination compound molecules consequently underwent a gradual loss (Figure 9). This disadvantage is commonly overcome by using an excessive amount of dithizone to ensure that all the Hg(II) is always kept complexed with dithizone. A certain amount (or concentration) of dithizone is recommended or reported for use in the literature (e.g., ~0.0039 g dithizone in 500 mL chloroform) [30,39].
However, it needs to be pointed out that one particular concentration is not universally applicable to all cases of its use. Actually, the degree of the excess of dithizone required depends on and should be varied or adjusted according to the level of Hg(II) present to be analyzed. Generally, Hg(II)–dithizonate is orange in color, while the dithizone ligand itself is dark green. Hence, a deep-greenish or purple-greenish color should register the presence of excessive dithizone since both dithizone ligand and the Hg(II) coordination compound are present, while an orange color signals the deficiency of dithizone present. In our study, the amount of dithizone was increased to ~0.02 g in 100 mL of chloroform, and 5 mL of this concentrate was diluted in 50 mL of chloroform and used for the Hg(II) extraction for the Hg(II) levels of 0.6–1.2 mg L−1 (ppm) (3–6 µM).
In summary, because of the decomposition of dithizone, to ensure the presence of a sufficient (excessive) amount of dithizone to complex with the Hg(II) completely at the levels of Hg(II) encountered, there is a need to adjust the concentration of dithizone to ensure that over a certain period of time during the Hg(II) analysis accompanying the decomposition, dithizone still remains sufficiently excessive as required. In practice, this can be gauged by watching the color (its change) of the dithizone solution over time as discussed above.
Analytical blank for spectrophotometric analysis of Hg(II). Spectrophotometric analysis generally requires use of an analytical blank to zero the spectrophotometer to deduct the light absorption caused by the substances other than the analyte. For the Hg(II) analysis using dithizone, chloroform is commonly or conventionally used as the blank. However, dithizone itself also absorbs light at the wavelength used for the Hg(II) analysis (Figure 8). This is reflected by the intercept of the calibration equation in proportion to the concentration of dithizone in the solution analyzed. Yet, dithizone decomposes over the course of the analysis. Consequently, the absorbance blank from dithizone (i.e., the calibration intercept) decreases over time. This can result in certain analytical errors when the same calibration equation is used over time, with the intercept only corresponding to the initial level of dithizone. Similar errors can occur when different levels of dithizone are used in the Hg(II) extraction.
To eliminate the analytical error caused by dithizone decomposition as discussed above, we employed the dithizone in chloroform solution specifically used for Hg(II) extraction during the Hg(II) analysis as the analytical blank instead of simply chloroform to zero the spectrophotometer. By this practice, the blank from dithizone can be removed regardless of the actual level of dithizone present in the solution being analyzed or the changing of dithizone level caused by its decomposition. Operationally, a portion of the working dithizone solution used for Hg(II) extraction is saved and then used to zero the spectrophotometer each time when a calibration is conducted, or a Hg(II) sample is analyzed.
Sensitivity improvement. A useful means to increase the sensitivity of spectrophotometric analysis is an employment of a longer light path (b) according to Beer–Lambert’s law (A = εbc). To analyze Hg(II) at lower concentrations, we used a set of triplet 1 cm cuvettes in a row instead of a singlet 1 cm cuvette. Operationally, one additional cuvette with the solution analyzed is placed immediately by each side of the original singlet cuvette along the light path. The spectrophotometer usually has sufficient space to accommodate two additional 1 cm cuvettes. The average calibration curve slope obtained using three cuvettes is 0.861 as compared to the slope of 0.297 with a single cuvette. The measured ratio of the two slopes was 2.9:1, very close to the theoretic value of 3:1. Hence the sensitivity can be increased in such a simple way as described above. The detection limit of this method with a singlet cuvette should be one-third of that with a set of triplet cuvettes. Figure 10 shows how the arrangement of the cuvettes in the spectrophotometer can be accomplished.

3.6. Evaluation of Spectrophotometric Analysis of Hg(II) with Dithizone

An analytical method is generally evaluated based on the following analytical factors: (1) accuracy and precision, (2) reproducibility, (3) selectivity, (4) linearity and linear range of the analytical calibration, (5) sensitivity, and (6) interference. Our study shows that humic acids and ligands are influential in spectrophotometric Hg(II) analysis using dithizone mainly with respect to analytical sensitivity and interference, with the rest of the factors (factors (1)–(4)) remaining intact.
The sensitivity of an analytical method is reflected and quantified by the slope of the calibration. The greater the slope value, the higher the sensitivity of the method. Our study shows that the effect of the humic acids and ligands materializes mainly in terms of the sensitivity change (specifically sensitivity decrease as a result of the presence of the humic acids or ligands). Even the effect of pH still registers a manifestation of the effect of the ligands (–OH ligand). Hence, the apparent interference in the method by humic acids and ligands actually does not invalidate the method.
Figure 11 provides a compilation of all absorbance readings taken during the study on the effect of the ligands. This shows that while each condition may affect the calibration slope to some extent, the standard deviations appear to be small. Yet, it needs to be pointed out that this standard deviation is for absorbance, but when converted to concentration (µM), the significance (meaning) of the standard deviation becomes clear. Therefore, using the proper calibration curve with the effect of humic acids or ligands considered for the dithizone method is crucial to limiting analytical errors.
This research shows that the dithizone method can still be used effectively even in the presence of humic acids or ligands, but the specific calibration needs to be performed in the presence of the ligand(s) and at the ligand level(s) and pH relevant to the study conditions (instead of just universally acidifying the Hg(II) solution/sample to ensure Hg(II) being fully soluble).
Yet, although the spectrophotometric analysis of Hg(II) using dithizone remains be a valid, reliable analytical method, overlooking the interference of humic acids and ligands in terms of decreasing the analytical sensitivity and a lack of appropriate measures to address the interference can surely result in considerable or significant analytical errors and experimental artifacts. It is recommended that appropriate analytical calibrations be conducted with the effect of humic acids and ligands in consideration and, furthermore, only the specific calibration in the presence of the humic acid or ligand of concern at the relevant level(s) at the relevant pH be employed appropriately to calculate the results of the analytical unknowns. Such a caution with the appropriate operating measures can never be overstated.

4. Summary and Conclusions

The following conclusions can be drawn from the present study:
(1) This study indicates that spectrophotometric analysis of Hg(II) with dithizone still remains effective with good liner calibrations in the presence of humic acids (Aldrich and Acros humic acids) at levels up to 100 ppm (~60 ppm C) for the acidic condition (pH 3) and 10 ppm for the basic conditions (pH 6–9). Above these levels, the calibration linearity needs to be inspected. In any case, the actual calibration with the humic acid at the level present (humic acid-specific calibration) needs to be obtained and used to calculate the actual Hg(II) concentrations for the water samples containing humic acids. In the absence of the humic acid-specific calibration, this may be accomplished approximately by using the information provided in Figure 4, Figure 5 and Figure 6 and Table 3, Table 4, Table 5 and Table 6. Similar practice may be applicable to the water samples with various ligands such as those tested in this study;
(2) Humic acids can lower the sensitivity of the spectrophotometric method for the Hg(II) analysis as indicated by the lower slopes of the calibrations, and this effect depends on both the kind and concentration of humic acids;
(3) In the absence of humic acids under basic conditions, the Hg(II) analysis method also remains effective with good linear calibration curves at pH up to 9. However, higher pH conditions lead to lower sensitivity of the method as indicated by lower slopes of the calibrations. The Hg(II) analysis method fails to function at pH ≥ 10;
(4) Our study further shows that thiol groups of humic acids appear to be more or dominantly responsible for the effect of humic acids through competing with dithizone for Hg(II) complexation;
(5) Our further extended study on the effect of the ligands (chloride, hydroxyl, citrate, oxalate, and cysteine) confirms the effect and role of the thiol and carboxylic groups of humic acids in affecting the Hg(II) analysis. This study also indicates that these ligands, widely present in environmental water samples, can interfere with the Hg(II) analysis by lowering its sensitivity yet keeping its calibration linearity unaltered. This ligand effect depends on both the kind and concentration of ligands;
(6) In order to ensure complete complexation of all Hg(II) with dithizone, the dithizone solution used to extract Hg(II) should be kept in excess and adjusted based on the level of Hg(II) to be analyzed;
(7) The employment of a portion of the dithizone solution actually used for Hg(II) extraction as the blank to zero the spectrophotometer is recommended;
(8) Our study demonstrates that the sensitivity of the Hg(II) analysis method can be increased to measure lower levels of Hg(II) by using a set of three cuvettes in a spectrophotometer.
With the analytical issues attended and the modifications and refinements adopted appropriately, the method of spectrophotometric analysis of Hg(II) using dithizone can keep serving as a useful, convenient, valuable tool for environmental analyses and studies. Yet, a lack of due attention to and appropriate measures for handling the effect of humic acids and other ligands can certainly result in analytical errors and research artifacts. Consequently, this can compromise the analytical validity of this method notably.

Author Contributions

Conceptualization, H.Z.; investigation, S.K.O., L.S.F., Z.A. and H.Z.; methodology, H.Z.; project administration, H.Z.; resources, H.Z.; supervision, H.Z.; writing—original draft, S.K.O., L.S.F. and H.Z.; writing—review and editing, H.Z. All authors have read and agreed to the published version of the manuscript.

Funding

The present research received a research funding from the Oak Ridge National Laboratory (ORNL)/Department of Energy (DOE) (USA).

Data Availability Statement

The original contributions presented in this study are included in the article. Further inquiries can be directed to the corresponding author.

Acknowledgments

This work was supported in part by the US Department of Energy (DOE, USA) Office of Biological and Environmental Research as part of the Science Focus Area (SFA) at Oak Ridge National Laboratory (ORNL, USA) and by the Environmental Sciences Ph.D. Program at Tennessee Tech University (USA). A fellowship from the Sothern Regional Education Board (SREB, USA) granted to Stephen Okine is appreciated. Thanks are due to Tao Liu for the help with this study. We thank all the reviewers for their suggestions and comments regarding the revision of this paper.

Conflicts of Interest

The authors declare no conflicts of interest.

Appendix A. Documentation of the Method for Spectrophotometric Analysis of Divalent Mercury (Hg(II)) Using Dithizone

Appendix A.1. Introduction

A study was conducted on the method for spectrophotometric analysis of divalent mercury (Hg(II)) using dithizone. A number of improvements, refinements, and modifications were gained to make this method more applicable and useful. The following provides a complete documentation of the method with detailed analytical and operational procedures and technical notes that result from the study. The improvements, refinements, and modifications are incorporated in this document.

Appendix A.2. Principle for the Method

Spectrophotometric analysis of Hg(II) is based on the principle that Hg(II) (a soft metal ion) can react with dithizone (a thiol-containing soft ligand) in chloroform to form a green (or orange)-colored coordination compound (mercury–dithizonate). This compound can absorb light at 496 nm and thus is used for spectrophotometric analysis of Hg(II). The concentrations of Hg(II) ions are directly proportional to the absorbance, which obeys the Beer–Lambert law. Therefore, a standard curve for Hg(II) can be obtained and used to determine the unknown concentrations of various samples.

Appendix A.3. Chemicals

(1)
Mercuric nitrate (Hg(NO3)2). Various standard Hg(II) solutions may also be available and can be used;
(2)
Dithizone (1,5-diphenylthiocarbazone, C13H12N4S, 256.33 g mol−1, 98%). This is available from Alfa Aesar (UK) or other provider(s);
Figure A1. Molecular structure of dithizone (1,5-diphenylthiocarbazone, C13H12N4S, 256.33 g mol−1) used for spectrophotometric analysis of Hg(II).
Figure A1. Molecular structure of dithizone (1,5-diphenylthiocarbazone, C13H12N4S, 256.33 g mol−1) used for spectrophotometric analysis of Hg(II).
Water 18 00053 g0a1
(3)
Chloroform (CHCl3, 0.75% ethanol as preservative). ACS certified, available from the Fisher Scientific (USA) or other provider(s). This is used a solvent to make dithizone solution;
(4)
Concentrated nitric acid (HNO3, trace-metals grade). This is used to acidify the Hg(II) solutions and is available from the Fisher Scientific (USA) or other provider(s).
All chemicals were used as received.

Appendix A.4. Solutions

(1)
Hg(II) standard solution: Hg(NO3)2, 1000 mg L−1 (ppm) (5000 µM) in 1.8% nitric acid, ACS reagent grade, available from the Fisher Scientific (USA) or other provider(s);
(2)
Hg(II) standard stock solution (10 ppm): Prepared by diluting 1 mL of the 1000 ppm Hg(II) solution in 100 mL of deionized water (DI H2O);
(3)
Dithizone solutions: ~0.02 g of dithizone dissolved in 100 mL of chloroform (concentration: 7.8 × 10−4 M = 0.78 mM) to make a concentrated stock dithizone solution. To prepare the working dithizone solution, 5 mL of the concentrate is diluted in 100 mL of chloroform in a 100 mL volumetric flask (concentration: 39 × 10−6 M or 39 μM).

Appendix A.5. Equipment

(1)
Spectrophotometer. A regular spectrophotometer with visible light absorption is sufficient for this analysis (e.g., Genesys20 spectrophotometer from the Fisher Scientific, USA);
(2)
Shaker. This is used to extract Hg(II) from the sample to be analyzed to the dithizone solution. Various shakers can serve this purpose (e.g., IKA MS 3 digital shaker available from the IKA Works Inc., USA);
(3)
Regular glass cuvettes (1 cm).

Appendix A.6. Calibration (Conventional Calibration)

Appendix A.6.1. Preparation of Working Hg(II) Standard Solutions

(1)
Prepare six acid-cleaned volumetric flasks of 25 mL and label them as #1, 2, 3, 4, 5, and 6;
(2)
Add desired volume of 10 ppm stock Hg(II) standard solution (Table A1) to each of the flasks from above. Then, add 125 μL of high-purity concentrated HNO3 (if Hg(II) is in the form of nitrate) to each of the flasks. Dilute the solutions to the mark with MQ water.
Table A1. Preparation of working Hg(II) standard solutions for calibration.
Table A1. Preparation of working Hg(II) standard solutions for calibration.
Volumetric FlaskRequired Volume from 10 ppm Stock (mL)* Hg Concentration (ppm)
10.250.1
21.00.4
32.00.8
43.01.2
54.01.6
65.02.0
* ppm: mg L−1.

Appendix A.6.2. Extraction of Hg (II) Using Dithizone Solution

(1)
Label six small scintillation vials of ~20 mL;
(2)
Add 5 mL of each of the six working Hg (II) standard solutions as prepared in Appendix A.6.1. above to one of the vials.;
(3)
Add 5 mL of the working dithizone solution as prepared in Appendix A.4 to each of the vials in addition to the working Hg(II) standard solution;
(4)
Shake each of the vials vigorously for 75 s at 1500 rpm on the IKA shaker;
(5)
Allow the solution mixture in the vial to stand still for 10 min to ensure the completion of the formation of the mercury–dithizonate complex. Then, collect the organic phase with a glass pipette (dropper) of a desired sufficient volume to fill a glass cuvette for spectrophotometric analysis.

Appendix A.6.3. Spectrophotometric Analysis of Hg(II) (Mercury–Dithizonate Complex) for the Calibration

(1)
Turn on the spectrophotometer to let it warm up for ~30 min before use. Select the measuring wavelength at 496 nm. Zero the spectrophotometer in air first;
(2)
Use the working dithizone solution that has been used to extract the Hg(II) from the sample (instead of chloroform) as the blank to zero the spectrophotometer;
(3)
Insert the cuvette with the organic phase of each of the solutions with the standard Hg(II) in the spectrophotometer and obtain the absorbance of each of the Hg(II) standard solutions at 496 nm. Ensure that the marked tip of the cuvette (transparent sides) faces the direction of the monochromatic light beam in the spectrophotometer;
(4)
Construct the calibration curve for the Hg(II) calibration and inspect the linearity and validity of the calibration.

Appendix A.7. Unknown Sample Analysis

(1)
Prepare unknown samples following the appropriate, relevant procedures required;
(2)
Extract Hg(II) from the unknown samples following the same procedures described in Appendix A.6.2.;
(3)
Obtain the absorbance for the unknown sample following the procedures given in Appendix A.6.3.;
(4)
Calculate the Hg(II) concentration of the unknown sample appropriately using the calibration obtained relevant to the unknown sample, in consideration of the companion components present in the sample, such as humic acids or other ligands;
(5)
If needed, a specific calibration relevant to the unknown sample can be obtained and used in unknown concentration calculation instead of the regular (conventional) calibration in the absence of the interfering companion component(s) under the acidic condition. In such occasions, the working Hg(II) standards need to be obtained with the interfering companion component(s) added at the relevant level(s) under the relevant pH condition to obtain the specific, relevant calibration.

Appendix A.8. Technical Notes

(1)
The dithizone dye degrades over time at a notable, fairly fast rate. For the tests that take a longer time, it is recommended that a fresh working dithizone solution be prepared at least every 2 h for a fresh calibration, or fresh dye solutions can be prepared from the concentrate stock, which can be kept stable for ~2 h. An orange color in the extracted Hg(II)–dithizone solution should indicate that the dithizone has started decomposing, and therefore, a new concentrate (working solution) is needed;
(2)
Because dithizone can decompose and also absorb light at the wavelength used for the Hg(II) analysis, if chloroform is used as the blank, the change in the absorbance contributed from dithizone cannot be reflected. Hence, a more rigorous operation is to use the working dithizone solution that was used for the Hg(II) extraction to serve as the blank instead of chloroform. By practice, the change of the absorbance from dithizone can be canceled.

References

  1. Chang, L.W.; Hartmann, H.A. Ultrastructural studies of the nervous system after mercury intoxication. Acta Neuropathol. 1972, 20, 122–138. [Google Scholar] [CrossRef]
  2. Jackson, T.A. Mercury in aquatic systems. In Metal Metabolism in Aquatic Environments; Langston, W.J., Bebianno, M.J., Eds.; Chapman & Hall: London, UK, 1998. [Google Scholar]
  3. Goldman, L.R.; Shannon, M.W. Technical report: Mercury in the environment: Implications for pediatricians. Am. Acad. Pediatr. Comm. Environ. Health Pediatr. 2001, 108, 197–205. [Google Scholar] [CrossRef] [PubMed]
  4. Fitzgerald, W.F.; Lamborg, C.H. Geochemistry of mercury in the environment. In Treatise on Geochemistry, Vol. 9, Environmental Geochemistry; Loooar, B.S., Ed.; Elsevier: Amsterdam, The Netherlands, 2003. [Google Scholar]
  5. Clever, H.L.; Johnson, S.A.; Derrick, M.E. The solubility of mercury and some sparingly soluble mercury salts in water and aqueous electrolyte solutions. J. Phys. Chem. Ref. Data 1985, 14, 631–680. [Google Scholar] [CrossRef]
  6. Schroeder, W.H.; Munthe, J. Atmospheric mercury—An overview. Atmos. Environ. 1998, 32, 809–822. [Google Scholar] [CrossRef]
  7. Nriagu, J. Mechanistic steps in the photoreduction of mercury in natural waters. Sci. Total Environ. 1994, 154, 1–8. [Google Scholar] [CrossRef]
  8. Gill, G.A.; Fitzgerald, W.F. Picomolar mercury measurements in seawater using stannous chloride reduction and two-stage gold amalgamation with gas phase detection. Mar. Chem. 1987, 20, 227–243. [Google Scholar] [CrossRef]
  9. Leermakers, M.; Baeyens, W.; Quevauviller, P.; Horvat, M. Mercury in environmental samples: Speciation, artifacts and validation. Trac-Trend. Anal. Chem. 2005, 24, 383–393. [Google Scholar] [CrossRef]
  10. Cai, Y. Speciation and analysis of mercury, arsenic, and selenium by atomic fluorescence spectrometry. Trac-Trend. Anal. Chem. 2000, 19, 62–66. [Google Scholar] [CrossRef]
  11. Horvat, M. Determination of mercury and its compounds in water, sediment, soil and biological samples. In Dynamics of Mercury Pollution on Regional and Global Scales, Atmospheric Processes and Human Exposures Around the World; Pirrone, N., Mahaffey, K.R., Eds.; Springer: New York, NY, USA, 2005; pp. 153–190. [Google Scholar]
  12. Japan Water Works Association. Standard Method for Test of the Water Supply; Japan Water Works Association: Tokyo, Japan, 2001. [Google Scholar]
  13. Zawisza, B.; Pytlakowska, K.; Feist, B.; Polowniak, M.; Kita, A.; Sitko, R. Determination of rare earth elements by spectroscopic techniques: A review. J. Anal. At. Spectrom. 2011, 26, 2373–2390. [Google Scholar] [CrossRef]
  14. Fukushi, K.; Willie, S.N.; Sturgeon, S.E. Subnanogram determination of inorganic and organic mercury by helium microwave induced plasma-atomic emission spectrometry. Anal. Lett. 1993, 26, 325–340. [Google Scholar] [CrossRef]
  15. de Mora, S.J.; Patterson, J.E.; Bibby, D.M. Baseline atmospheric mercury studies at Ross Island, Antarctica. Antarct. Sci. 1993, 5, 323–326. [Google Scholar] [CrossRef]
  16. Patterson, J.E. A Differential Photoacoustic Mercury Detector. Anal. Chim. Acta 1984, 164, 119–126. [Google Scholar] [CrossRef]
  17. Gardfeldt, K.; Munthe, J.; Stromberg, D.; Lindqvist, O. A kinetic study on the abiotic methylation of divalent mercury in the aqueous phase. Sci. Total Environ. 2003, 304, 127–136. [Google Scholar] [CrossRef] [PubMed]
  18. Gu, B.; Bian, Y.; Miller, C.L.; Dong, W.; Jiang, X.; Liang, L. Mercury reduction and complexation by natural organic matter in anoxic environments. Proc. Natl. Acad. Sci. USA 2011, 108, 1479–1483. [Google Scholar] [CrossRef]
  19. Horvath, O.; Vogler, A. Photoreduction of mercury(II) in aqueous solution in the presence of cyclohexene. Hydroxomercuration and two-stage photolysis. Inorg. Chem. Commun. 1998, 1, 270–272. [Google Scholar] [CrossRef]
  20. Oda, C.E.; Ingle, J.D., Jr. Speciation of mercury by cold vapor atomic absorption spectrometry with selective reduction. Anal. Chem. 1981, 53, 2305–2309. [Google Scholar] [CrossRef]
  21. Gil, S.; Lavilla, I.; Bendicho, C. Ultrasound-promoted cold vapor generation in the presence of formic acid for determination of mercury by atomic absorption spectrometry. Anal. Chem. 2006, 78, 6260–6264. [Google Scholar] [CrossRef]
  22. Sandell, E.B. Colorimetric Determination of Traces of Metals, 2nd ed.; Wiley: New York, NY, USA, 1950. [Google Scholar]
  23. Lin, C.J.; Pehkonen, S.O. Aqueous free radical chemistry of mercury in the presence of iron oxides and ambient aerosol. Atmos. Environ. 1997, 31, 4125–4137. [Google Scholar] [CrossRef]
  24. Cestari, A.R.; Vieira, E.F.S.; Lopes, C.N.; da Silva, R.G. Kinetics and equilibrium parameters of Hg(II) adsorption on silica-dithizone. J. Colloid Interface Sci. 2004, 272, 271–276. [Google Scholar] [CrossRef]
  25. Tehrani, M.B.; Forumadi, A.; Shamsa, S.H.; Mojtahedi, E. Spectrophotometric Determination of Trace Hg (II) Using 6-(Anthracen-2-yl)-2,3-dihydro-1,2,4-triazine-3-tione as a newly Synthesized Reagent. Res. J. Pharm. Biol. Chem. Sci. 2012, 3, 65. [Google Scholar]
  26. Loo, A.Y.Y.; Lay, Y.P.; Kutty, M.G.; Timpe, O. Spectrophotometric determination of mercury with Iodide and Rhodamine B. Sains Malays. 2012, 41, 213–218. [Google Scholar]
  27. Corwin, A.H.; Jackson, G.R. The structure of diphenylthiocarbazone (dithizone). J. Am. Chem. Soc. 1949, 71, 3698–3701. [Google Scholar] [CrossRef]
  28. Peterson, R.L.; Harris, G.L. Windowsill kinetics a spectrophotometric study of the photochromism of mercury dithizonate. J. Chem. Educ. 1985, 62, 802–803. [Google Scholar] [CrossRef]
  29. von Eschwege, K.G.; Conradie, J.; Swarts, J.C. A DFT perspective on the structures and electronic spectra of the orange and blue isomers of photochromic dithizonatophenylmercury(ii). J. Phys. Chem. A 2008, 112, 2211–2218. [Google Scholar] [CrossRef] [PubMed]
  30. Greenberg, A.E.; Clesceri, L.S.; Eaton, A.D. Standard Methods for the Examination of Water and Wastewater, 18th ed.; American Public Health Association, American Water Works Association, Water Environment Federation: Washington, DC, USA, 1992. [Google Scholar]
  31. Fletcher, L.S. A Passage to Coupled Redox Cycling and Water/Air Cycling of Mercury (Hg): Aquatic Hg(II) Reduction Mediated by Superoxide and Hg(0) Water/Air Exchange Coefficient for Cane Creek Lake (Cookeville, TN). Ph.D. Thesis, Tennessee Technological University, Cookeville, TN, USA, 2022. [Google Scholar]
  32. Senevirathna, W.U.; Zhang, H.; Gu, B. Effect of carboxylic and thiol ligands (oxalate, cysteine) on the kinetics of desorption of Hg(II) from kaolinite. Water Air Soil Pollut. 2011, 215, 573–584. [Google Scholar] [CrossRef]
  33. Khan, H.M.; Ahmed, J.; Bhanger, M.I. A simple spectrophotometric determaination of trace level mercury using 1,5-Diphenylthiocarbazone solubilized in micelle. Jpn. Soc. Anal. Chem. Anal. Sci. 2005, 21, 507–512. [Google Scholar]
  34. Ahmad, M.A.; Sufliza, M.E.; Harun, H. Spectrophotometric method for Hg(II) determination in aqueous environment using zinc-dithizonate complex. ASEAN J. Sci. Technol. Dev. 2001, 18, 25–34. [Google Scholar] [CrossRef]
  35. Ayakul, S.D.; Takahashi, Y.; Suzuki, T.; Thanaboonsombut, A. Simple detection of mercury ion using dithizone nanoloaded memberane. J. Met. Mater. Miner. 2008, 18, 37–40. [Google Scholar]
  36. Nabrzyski, M. Improvements in the wet oxidation-dithizone method for determining low mercury levels in food. Anal. Chem. 1973, 45, 2438–2440. [Google Scholar] [CrossRef]
  37. Chen, J.; Pehkonen, O.S.; Lin, C.-J. Degradation of monomethylmercury Chloride by hydroxyl radicals in simulated natural waters. Water Res. 2003, 37, 2496–2504. [Google Scholar] [CrossRef]
  38. Pehkonen, S.O.; Lin, C.J. Aqueous photochemistry of mercury with organic acids. J. Air Waste Manag. Assoc. 1998, 48, 144–150. [Google Scholar] [CrossRef]
  39. Liu, T. Oxidation of Aqueous Elemental Mercury Through the Fenton Reaction. Master’s Thesis, Tennessee Technological University, Cookeville, TN, USA, 2011. [Google Scholar]
  40. Okine, S.K. Photochemical Reduction of Divalent Mercury (Hg(II)) in UVB Light by Humic Acid and Low Molecular Mass Organic Acids (Oxalate, Cysteine): A Probe into Mechanism and Kinetics. Ph.D. Thesis, Tennessee Technological University, Cookeville, TN, USA, 2013. [Google Scholar]
  41. Hessen, D.O.; Tranvik, L.J. (Eds.) Aquatic Humic Substances, Ecology and Biogeochemistry; Springer: Berlin, Germany, 1998. [Google Scholar]
  42. Malcolm, R.L. Concentration and composition of dissolved organic carbon in soils, streams, and groundwaters. In Organic Substances in Soil and Water: Natural Constituents and Their Influences on Contaminant Behavior; Beck, A.J., Hayes, M.H.B., Jones, K.C., Mingelgrin, U., Eds.; Royal Society of Chemistry: London, UK, 1993. [Google Scholar]
  43. Schnitzer, M.; Khan, S.U. Humic Substances in the Environment; Marcell Dekker: New York, NY, USA, 1972. [Google Scholar]
  44. Stevenson, F.J. Humus Chemistry; John Wiley and Sons: New York, NY, USA, 1994. [Google Scholar]
  45. Sein, L.T.; Varnum, J.M.; Jansen, S.A. Conformational modeling of a new building block of humic acid: Approaches to the lowest energy conformer. Environ. Sci. Technol. 1999, 33, 546–552. [Google Scholar] [CrossRef]
  46. Chin, Y.-P.; Weber, W.J., Jr. Estimating the effects of displaced organic polymers on the sorption of contaminants by natural solids. 1. A Predictive thermodynamic humic substances—Organic solute interaction model. Environ. Sci. Technol. 1989, 23, 978–984. [Google Scholar] [CrossRef]
  47. Janot, N.; Reiller, P.E.; Korshin, G.V.; Benedetti, M.F. Using spectrophotometric titrations to characterize humic acid reactivity at environmental concentrations. Environ. Sci. Technol. 2010, 44, 6782–6788. [Google Scholar] [CrossRef]
  48. Malcom, R.L.; MacCarthy, P. Limitations in the use of commercial humic acids in water and Soil Research. Environ. Sci. Technol. 1986, 20, 904–911. [Google Scholar] [CrossRef] [PubMed]
  49. Stemmler, K.; Ammann, M.; Donders, C.; Kleffmann, J.; George, C. Photosensitized reduction of nitrogen dioxide on humic acid as a source of nitrous acid. Nature 2006, 440, 195–198. [Google Scholar] [CrossRef]
  50. Zepp, R.G.; Schlotzhauer, P.F.; Sink, R.M. Photosensitized transformations involving electronic energy transfer in natural waters: Role of humic substances. Environ. Sci. Technol. 1985, 19, 74–81. [Google Scholar] [CrossRef]
  51. Morel, F.M.M.; Hering, J.G. Principles and Applications of Aquatic Chemistry; Jone Wiley & Sons, Inc.: New York, NY, USA, 1993. [Google Scholar]
  52. Sparks, D.L. Environmental Soil Chemistry; Academic Press: San Diego, CA, USA, 1995. [Google Scholar]
  53. Hesterberg, D.; Chou, J.W.; Hutchison, K.J.; Sayers, D.E. Bonding of Hg(II) to reduced organic sulfur in humic acids as affected by S/Hg ratio. Environ. Sci. Technol. 2001, 35, 2741–2745. [Google Scholar] [CrossRef]
  54. Ravichandran, M. Interactions between mercury and dissolved organic matter—A review. Chemosphere 2004, 55, 319–331. [Google Scholar] [CrossRef]
  55. Skyllberg, U.; Bloom, P.R.; Qian, J.; Lin, C.-M.; Bleam, W.F. Complexation of mercury(II) in soil organic matter: EXAFS evidence for linear two-coordination with reduced sulfur groups. Environ. Sci. Technol. 2006, 40, 4174–4180. [Google Scholar] [CrossRef]
  56. Skyllberg, U.; Xia, K.; Bloom, P.R.; Nater, R.A.; Bleam, W.F. Binding of mercury(II) to reduced sulfur in soil organic matter along upland-peat soil transects. J. Environ. Qual. 2000, 29, 855–865. [Google Scholar] [CrossRef]
  57. Drexel, R.T.; Haitzer, M.; Ryan, J.N.; Aiken, G.R.; Nagy, K.L. Mercury(II) sorption to two Florida Everglades peats: Evidence for strong and weak binding and competition by dissolved organic matter released from the peat. Environ. Sci. Technol. 2002, 36, 4058–4064. [Google Scholar] [CrossRef]
  58. MacCarthy, P.; Clapp, C.E.; Malcom, R.L.; Bloom, P.R. Humic Substances in Soil and Crop Sciences: Selected Readings; American Society of Agronomy, Soil Science Society of America: Madison, WI, USA, 1990. [Google Scholar]
  59. Karlsson, T.; Skyllberg, U. Bonding of ppb levels of methyl mercury to reduced sulfur groups in soil organic matter. Environ. Sci. Technol. 2003, 37, 4912–4918. [Google Scholar] [CrossRef]
  60. Sarkar, D.; Essington, M.E.; Misra, K.C. Adsorption of mercury(II) by kaolinite. Soil Sci. Soc. Am. J. 2000, 64, 1968–1975. [Google Scholar] [CrossRef]
  61. De, A.K.; Khopkar, S.M.; Chalmers, R.A. Solvent Extraction of Metals; Van Nostrand Reinhold Co.: London, UK, 1970. [Google Scholar]
Figure 1. Molecular structure of dithizone (1,5-diphenylthiocarbazone, C13H12N4S, 256.33 g mol−1).
Figure 1. Molecular structure of dithizone (1,5-diphenylthiocarbazone, C13H12N4S, 256.33 g mol−1).
Water 18 00053 g001
Figure 2. Proposed coordination structure of the mercury(II)-dithizone coordination compound as Hg(II)-dithizone2.
Figure 2. Proposed coordination structure of the mercury(II)-dithizone coordination compound as Hg(II)-dithizone2.
Water 18 00053 g002
Figure 3. Typical baseline calibration curve for spectrophotometric analysis of Hg(II) using dithizone under the conventional dithizone method conditions. All the spectrophotometric analysis runs were conducted using a singlet cuvette, and the calibration slope is the singlet value for the Hg(II) standards.
Figure 3. Typical baseline calibration curve for spectrophotometric analysis of Hg(II) using dithizone under the conventional dithizone method conditions. All the spectrophotometric analysis runs were conducted using a singlet cuvette, and the calibration slope is the singlet value for the Hg(II) standards.
Water 18 00053 g003
Figure 4. Effect of Aldric humic acid (ADHA), Acros humic acid (ACHA), and organic ligands oxalate (OX) and cysteine (CYS) on the sensitivity of spectrophotometric analysis of Hg(II) under the acidic condition (pH = 3) as shown by the variation of the calibration slope with the concentration of the humic acid or ligand tested. All the spectrophotometric analysis runs were conducted using a singlet cuvette, and the calibration slopes are the singlet values for the Hg(II) standards in the unit of ppm (mg L−1).
Figure 4. Effect of Aldric humic acid (ADHA), Acros humic acid (ACHA), and organic ligands oxalate (OX) and cysteine (CYS) on the sensitivity of spectrophotometric analysis of Hg(II) under the acidic condition (pH = 3) as shown by the variation of the calibration slope with the concentration of the humic acid or ligand tested. All the spectrophotometric analysis runs were conducted using a singlet cuvette, and the calibration slopes are the singlet values for the Hg(II) standards in the unit of ppm (mg L−1).
Water 18 00053 g004
Figure 5. Effect of Aldrich humic acid (ADHA) and organic ligands oxalate (OX) and cysteine (CYS) on the sensitivity of spectrophotometric analysis of Hg(II) under the basic condition (pH = 9). All the spectrophotometric analysis runs were conducted using a set of triplet cuvettes, and the calibration slopes are the triplet values for the Hg(II) standards in the unit of ppm (mg L−1).
Figure 5. Effect of Aldrich humic acid (ADHA) and organic ligands oxalate (OX) and cysteine (CYS) on the sensitivity of spectrophotometric analysis of Hg(II) under the basic condition (pH = 9). All the spectrophotometric analysis runs were conducted using a set of triplet cuvettes, and the calibration slopes are the triplet values for the Hg(II) standards in the unit of ppm (mg L−1).
Water 18 00053 g005
Figure 6. Effect of Aldrich humic acid (ADHA) on the sensitivity of spectrophotometric analysis of Hg(II) under basic conditions (pH = 8 or 9). All the spectrophotometric analysis runs were conducted using a set of triplet cuvettes, and the calibration slopes are the triplet values for the Hg(II) standards in the unit of ppm (mg L−1).
Figure 6. Effect of Aldrich humic acid (ADHA) on the sensitivity of spectrophotometric analysis of Hg(II) under basic conditions (pH = 8 or 9). All the spectrophotometric analysis runs were conducted using a set of triplet cuvettes, and the calibration slopes are the triplet values for the Hg(II) standards in the unit of ppm (mg L−1).
Water 18 00053 g006
Figure 7. Effect of cysteine (CYS) on the sensitivity of spectrophotometric analysis of Hg(II) (pH = 3) as shown by an elaborated experiment. All spectrophotometric analysis runs were conducted using a singlet cuvette, and the calibration slopes are the singlet values for the Hg(II) standards in the unit of ppm (mg L−1).
Figure 7. Effect of cysteine (CYS) on the sensitivity of spectrophotometric analysis of Hg(II) (pH = 3) as shown by an elaborated experiment. All spectrophotometric analysis runs were conducted using a singlet cuvette, and the calibration slopes are the singlet values for the Hg(II) standards in the unit of ppm (mg L−1).
Water 18 00053 g007
Figure 8. Decomposition of dithizone (3 × 10−5 M) in chloroform at varying times (minutes) in the dark at room temperature.
Figure 8. Decomposition of dithizone (3 × 10−5 M) in chloroform at varying times (minutes) in the dark at room temperature.
Water 18 00053 g008
Figure 9. UV–vis spectra of Hg(II)–dithizonate coordination compound at varying times (minutes). The peak at 496 nm is commonly used for the spectrophotometric analysis of Hg(II) with dithizone.
Figure 9. UV–vis spectra of Hg(II)–dithizonate coordination compound at varying times (minutes). The peak at 496 nm is commonly used for the spectrophotometric analysis of Hg(II) with dithizone.
Water 18 00053 g009
Figure 10. A schematic diagram for the setup of three cuvettes placed in the spectrophotometer to increase the sensitivity of the spectrophotometric analysis of Hg(II).
Figure 10. A schematic diagram for the setup of three cuvettes placed in the spectrophotometer to increase the sensitivity of the spectrophotometric analysis of Hg(II).
Water 18 00053 g010
Figure 11. A compilation of absorbance data for all the tests for the effects on the Hg(II) analysis included in the ligand effect study (ligand and pH). The values below each set of the points represent the standard deviation of all the absorbance values at that Hg(II) concentration. The dash line represents the general linear trend for all the calibration runs conducted for the various tests. This graph shows the calibration linearity is generally maintained in the presence and absence of the ligands tested. All the spectrophotometric runs were conducted using a singlet cuvette.
Figure 11. A compilation of absorbance data for all the tests for the effects on the Hg(II) analysis included in the ligand effect study (ligand and pH). The values below each set of the points represent the standard deviation of all the absorbance values at that Hg(II) concentration. The dash line represents the general linear trend for all the calibration runs conducted for the various tests. This graph shows the calibration linearity is generally maintained in the presence and absence of the ligands tested. All the spectrophotometric runs were conducted using a singlet cuvette.
Water 18 00053 g011
Table 1. Commonly used analytical methods for quantification of mercury in environmental samples.
Table 1. Commonly used analytical methods for quantification of mercury in environmental samples.
MethodHg Species AnalyzedDetection LimitReference
Common methods
Calorimetric methodsHg(II)0.01–0.1 μg/g[11]
Flame AASHg(0)5 μg/L[12]
CVAFSHg(0)0.001–0.01 ng/g[8,11]
Other methods
GFAASHg(0)1 ng/g[11]
CVAASHg(0)0.01–1 ng/g[11]
INAAHg(II)1–10 ng/g[11]
RNAAHg(II)0.01–1 ng/g[11]
GC-ECDCH3Hg+0.01–0.05 ng/g[11]
GC-AEDHg(0)0.05 ng/g[11]
GC-MSHg(0)0.01 ng/g[11]
GC-CVAAS/AFSHg(II)0.01–0.05 ng/mL[11]
HPLC-UVHg(0)0.1 ng/mL[11]
HPLC-CVAASHg(0)0.5 ng/mL[11]
HPLC-CVAFSHg(0)0.08 ng/mL[11]
HPLC-EDHg(II)0.01–1 ng/g[11,13]
ICP-MSHg(II)2 ng/mL[11,14]
ICP-AESHg(0)0.01 ng/mL[11]
Photo-acoustic spectroscopyHg(0)0.05 ng[11,15,16]
X-ray fluorescenceHg(0)5 ng/g–1 μg/g[11]
Gold-film analyzerHg(II)0.05 μg/g[11]
Note: Abbreviations: AAS: Atomic Absorption Spectrometry. CVAAS: Cold Vapor Atomic Absorption Spectrometry. CVAFS: Cold Vapor Atomic Fluorescence Spectroscopy. GC-AED: Gas Chromatography–Atomic Emission Detector. GC-ECD: Gas Chromatography–Electron Capture Detector. GC-CVAAS/AFS: Gas Chromatography–Cold Vapor Atomic Absorption Spectrometry/Atomic Fluorescence Spectrometry. GC-MS: Gas Chromatography–Mass Spectrometry. GFAAS: Graphite Furnace Atomic Absorption Spectrometry. HPLC-CVAAS: High-Performance Liquid Chromatography–Cold Vapor Atomic Absorption Spectrometry. HPLC-CVAFS: High-Performance Liquid Chromatography–Cold Vapor Atomic Fluorescence Spectrometry. HPLC-ED: High-Performance Liquid Chromatography–Electrochemical Detectors. HPLC-UV: High-Performance Liquid Chromatography–Ultra Violet. ICP-AES: Inductively Coupled Plasma–Atomic Emission Spectrometry. ICP-MS: Inductively Coupled Plasma–Mass Spectrometry. INAA: Instrumental Neutron Activation Analysis. RNAA: Radiochemical Neutron Activation Analysis.
Table 2. Chemical characteristics of the various ligands tested in the study of the effect of ligands on spectrophotometric analysis of Hg(II) using dithizone.
Table 2. Chemical characteristics of the various ligands tested in the study of the effect of ligands on spectrophotometric analysis of Hg(II) using dithizone.
LigandMF *FM **pKa1pKa2pKa3logKf for Hg(II) #e− Donor
ChlorideCl35.5---------14 (HgCl2)Cl
HydroxylOH17---------21.8 (Hg(OH)2)O
Citrate(HO)(HOOC(H2C))2CCOOH1923.14.85.410.9O
OxalateHOOCCOOH901.34.3---9.7O
Cysteine(HOOC)(HSH2C)CHNH21211.78.310.8 (–SH)14.4S, O
Note: * MF: molecular formula (for the acid form of the molecule). ** FM: formula mass in g mol−1 (for the acid form of the molecule). # LogKf is the stability constant (formation constant) for Hg(II)–ligand coordination compound.
Table 3. Linearity of the calibration curves and percentage decreases in the calibration slopes for spectrophotometric analysis of Hg(II) using dithizone in the presence of Acros humic acid (ACHA), Aldrich humic acid (ADHA), oxalate (OX), or cysteine (CYS) under the acidic condition (pH = 3). All the spectrophotometric analysis runs were conducted using a singlet cuvette, and the calibration slopes are the singlet values for the Hg(II) standards in the unit of ppm (mg L−1).
Table 3. Linearity of the calibration curves and percentage decreases in the calibration slopes for spectrophotometric analysis of Hg(II) using dithizone in the presence of Acros humic acid (ACHA), Aldrich humic acid (ADHA), oxalate (OX), or cysteine (CYS) under the acidic condition (pH = 3). All the spectrophotometric analysis runs were conducted using a singlet cuvette, and the calibration slopes are the singlet values for the Hg(II) standards in the unit of ppm (mg L−1).
Ligand (ppm)αR2βCal EqγSlope Decrease (%)δSEI
ACHA m *b * SEIACHA
250.99850.2390.01516.4
500.99400.2160.00924.5
750.98780.1960.02831.5
1000.98720.1970.00831.1−0.0006
ADHA SEIADHA
250.99730.2380.01716.8
500.99880.2300.02219.6
750.99750.2190.02623.4
1000.99850.2120.02825.9−0.0004
Oxalate (OX) SEIOX
250.99830.2510.01812.2
500.99900.2440.02514.7
750.99700.2450.01714.3
1000.99830.2450.01714.3−0.00007
Cysteine (CYS) SEICYS
0.10.99800.2450.01114.3
1.00.99430.2190.01723.4
1.50.98200.1860.07035.6−0.0406
Note: αR2: correlation coefficient for calibration curves. βCal Eq: calibration equation, * Abs = m × [ligand] + b. γSlope decrease (%) = (slope0 − slopeHA)/slope0) × 100, where slopeHA is the calibration slope in the presence of a ligand (ACHA, ADHA, OX, or CYS); slope0 is that in the absence of any ligand. δSEI = slope of the linear curve for the calibration slope vs. ligand concentration (ACHA: Acros humic acid; ADHA: Aldrich humic acid; OX: oxalate; CYS: cysteine). All the spectrophotometric analysis runs were conducted using a singlet cuvette, and the calibration slopes are the singlet values for the Hg(II) standards in the unit of ppm (mg L−1).
Table 4. Variation of the sensitivity of spectrophotometric analysis of Hg(II) with pH at fixed levels of Aldrich humic acid (ADHA) under the acidic condition (pH = 3) as shown by the slopes of the calibrations. All the spectrophotometric analysis runs were conducted using a set of triplet cuvettes, and the calibration slopes are the triplet values for the Hg(II) standards in the unit of ppm (mg L−1).
Table 4. Variation of the sensitivity of spectrophotometric analysis of Hg(II) with pH at fixed levels of Aldrich humic acid (ADHA) under the acidic condition (pH = 3) as shown by the slopes of the calibrations. All the spectrophotometric analysis runs were conducted using a set of triplet cuvettes, and the calibration slopes are the triplet values for the Hg(II) standards in the unit of ppm (mg L−1).
ADHA (ppm) *pHMean Slope **Slope SD ***n ### R2
0.130.85440.0237140.9997
130.86250.0452140.9989
1030.86260.0393220.9996
2030.83830.055990.9998
3030.86290.0640250.9986
4030.83350.030260.9988
8030.78660.0776610.9896
Note: * ADHA: the humic acid concentration in ppm (mg L−1). ** Mean slope: the mean value of all the slopes of the calibration lines for the replicated runs. *** Slope SD: the standard deviation for the slopes of the calibration replicates. # n: the number of replicates for the calibration runs. ## R2: the mean value of the R2 values for the calibration lines. All spectrophotometric analysis runs were conducted using a set of triplet cuvettes, and the calibration slopes are the triplet values for the Hg(II) standards in the unit of ppm (mg L−1).
Table 5. Linearity of the calibration curves and percentage decreases in the calibration slopes for spectrophotometric analysis of Hg(II) using dithizone in the presence of Aldrich humic acid (ADHA), oxalate (OX), or cysteine (CYS) under the basic condition (pH = 9). All the spectrophotometric analysis runs were conducted using a set of triplet cuvettes, and the calibration slopes are the triplet values for the Hg(II) standards in the unit of ppm (mg L−1).
Table 5. Linearity of the calibration curves and percentage decreases in the calibration slopes for spectrophotometric analysis of Hg(II) using dithizone in the presence of Aldrich humic acid (ADHA), oxalate (OX), or cysteine (CYS) under the basic condition (pH = 9). All the spectrophotometric analysis runs were conducted using a set of triplet cuvettes, and the calibration slopes are the triplet values for the Hg(II) standards in the unit of ppm (mg L−1).
Ligand (ppm)αR2βCal EqγSlope Decrease (%)δSEI
ADHA m *b * SEIADHA
2.70.99970.6320.0115.0
4.00.99670.6050.0329.0
100.98500.2250.00264.7−0.058
Oxalate (OX) SEIOX
7.50.99820.6600.0400.8
150.99760.6500.0352.3
300.98970.6000.0719.8
600.99870.4930.09725.9−0.0033
Cysteine (CYS) SEICYS
0.1250.99820.5000.14324.8
0.250.99850.4330.22434.9
0.500.99800.3000.24654.9−0.53
Note: αR2: correlation coefficient for calibration curves. βCal Eq: calibration equation, * Abs = m × [ligand] + b. γSlope decrease (%) = (slope0 − slopeHA)/slope0) × 100, where slopeHA is the calibration slope in the presence of a ligand (ACHA, ADHA, OX or CYS); slope0 is that in the absence of any ligand. δSEI = slope of the linear curve of calibration slope vs. ligand concentration (ADHA: Aldrich humic acid; OX: oxalate; CYS: cysteine). All the spectrophotometric analysis runs were conducted using a set of triplet cuvettes, and the calibration slopes are the triplet values for the Hg(II) standards in the unit of ppm (mg L−1).
Table 6. Variation of the sensitivity of spectrophotometric analysis of Hg(II) with pH at various fixed levels of Aldrich humic Acid (ADHA) under basic conditions (pH = 6–9). All spectrophotometric analysis runs were conducted using a set of triplet-cuvettes, and the calibration slopes are the triplet-values for the Hg(II) standards in the unit of ppm (mg L−1).
Table 6. Variation of the sensitivity of spectrophotometric analysis of Hg(II) with pH at various fixed levels of Aldrich humic Acid (ADHA) under basic conditions (pH = 6–9). All spectrophotometric analysis runs were conducted using a set of triplet-cuvettes, and the calibration slopes are the triplet-values for the Hg(II) standards in the unit of ppm (mg L−1).
ADHA (ppm) *pHMean Slope **Slope SD ***n ### R2
060.71840.020890.9972
70.68690.005170.9963
80.69830.0512160.9986
90.66520.0864100.9813
190.55320.0071100.9940
280.63460.072340.9850
2.760.65060.0209190.9967
80.62470.0335100.9967
90.63220.0336210.9997
380.62590.011440.9713
480.58000.086940.9936
90.60500.004030.9967
680.45380.017140.9880
90.63330.000030.9950
1080.32500.040550.9990
90.22500.134640.9850
Note: * ADHA: the humic acid concentration in ppm (mg/L). ** Mean slope: the mean value of all the slopes of the calibration lines for the replicated runs. *** Slope SD: the standard deviation for the slopes of the calibration replicates. # n: the number of replicates for the calibration runs. ## R2: the mean value of the R2 values for the calibration lines. All spectrophotometric analysis runs were conducted using a set of triplet cuvettes, and the calibration slopes are the triplet values for the Hg(II) standards in the unit of ppm (mg L−1).
Table 7. Percentage decreases in the calibration slopes with the calibration linearity for spectrophotometric analysis of Hg(II) using dithizone in the presence of hydroxyl, chloride, cysteine, citrate, or oxalate at the levels tested and at pH 4.2. All spectrophotometric analysis runs were conducted using a singlet cuvette, and the calibration slopes are the singlet values.
Table 7. Percentage decreases in the calibration slopes with the calibration linearity for spectrophotometric analysis of Hg(II) using dithizone in the presence of hydroxyl, chloride, cysteine, citrate, or oxalate at the levels tested and at pH 4.2. All spectrophotometric analysis runs were conducted using a singlet cuvette, and the calibration slopes are the singlet values.
LigandConcentration
(M)
Calibration Equation *R2Slope Decrease #
(%)
m *b *
hydorxide1.6 × 10−100.05160.0150.9997---
chloride2.0 × 10−50.0470−0.0200.99998.9
cycteine4.1 × 10−60.04680.0160.99199.3
citrate1.0 × 10−30.0499−0.0060.99993.3
oxalate1.0 × 10−30.04430.0220.997514.1
Note: R2: coefficient of regression for calibration curves. * Calibration equation: absorbance = slope (m) × [ligand] + y-intercept (b). # Slope decrease (%) = (slopehydroxide − slopeL)/slopehydroxide) × 100, where slopeL is the calibration slope in the presence of a ligand (L = chloride, cysteine, citrate, or oxalate), and slopehydroxide is that in the absence of any added ligand as HgOH2 is the dominant species when no added ligand is present. The concentration of hydroxide ligand is based on the solution pH. Calibration standard solution concentration unit: μM.
Table 8. Percentage decreases in the calibration slopes with the calibration linearity for spectrophotometric analysis of Hg(II) using dithizone in the presence of hydroxyl, chloride, cysteine, citrate, or oxalate at the levels tested and at pH 7.2. All the spectrophotometric analysis runs were conducted using a single cuvette, and the calibration slopes are the singlet values.
Table 8. Percentage decreases in the calibration slopes with the calibration linearity for spectrophotometric analysis of Hg(II) using dithizone in the presence of hydroxyl, chloride, cysteine, citrate, or oxalate at the levels tested and at pH 7.2. All the spectrophotometric analysis runs were conducted using a single cuvette, and the calibration slopes are the singlet values.
LigandConcentration
(M)
Calibration Equation *R2Slope Decrease #
(%)
m *b *
hydorxide1.6 × 10−70.04890.0370.9983---
chloride2.0 × 10−50.0455−0.0320.99877.0
cycteine4.1 × 10−60.03360.0430.998131.3
citrate1.0 × 10−30.04720.0140.99993.5
oxalate1.0 × 10−30.04380.0330.997310.4
Note: R2: coefficient of determination for calibration curves. * Calibration equation: absorbance = slope (m) × [ligand] + y-intercept (b). # Slope decrease (%) = (slopehydroxide − slopeL)/slopehydroxide) × 100, where slopeL is the calibration slope in the presence of a ligand (L = chloride, cysteine, citrate, or oxalate), and slopehydroxide is that in the absence of any added ligand as HgOH2 is the dominant species when no added ligand is present. The concentration of hydroxide ligand is based on the solution pH. Calibration standard solution concentration unit: μM.
Table 9. Variation of the sensitivity of the spectrophotometric analysis of Hg(II) at pH 4.2 and 7.2 with fixed ligand concentration.
Table 9. Variation of the sensitivity of the spectrophotometric analysis of Hg(II) at pH 4.2 and 7.2 with fixed ligand concentration.
LigandpHMean Slope *Slope SD **n #
Hydroxide4.20.04720.002716
Chloride4.20.04710.00309
Cysteine4.20.03200.01239
Citrate4.20.04720.003712
Oxalate4.20.04160.003112
Hydroxide7.20.04720.003116
Chloride7.20.04620.002615
Cysteine7.20.03460.00349
Citrate7.20.04530.001914
Oxalate7.20.04240.001912
Note: Concentration of hydroxide ligand is based on pH (OH = 1.6 × 10−10 at pH 4.2 and 1.6 × 10−7 at pH 7.2). Chloride = 2.0 × 10−5, cysteine = 4.12 × 10−6, and both citrate and oxalate = 1.0 × 10−3. Slope is the slope of the calibration curves (lines) for the Hg(II) analysis. Calibration standard solution concentration unit: μM. * Mean slope: the mean value of the slopes of the calibration replicates. ** Slope SD: the standard division of the slopes of the calibration replicates. # n: the number of the calibration replicates.
Table 10. A summary of the variation of the calibration slope with pH in the presence of 90 ppm oxalate or 0.5 ppm cysteine. The calibration slopes are provided for the calibrations using the standard Hg(II) solutions in the unit of ppm (mg L−1) and singlet cuvette.
Table 10. A summary of the variation of the calibration slope with pH in the presence of 90 ppm oxalate or 0.5 ppm cysteine. The calibration slopes are provided for the calibrations using the standard Hg(II) solutions in the unit of ppm (mg L−1) and singlet cuvette.
pHSlope (Oxalate)Slope (Cysteine)
30.2440.232
4.20.2220.234
7.20.2190.168
90.1320.100
Disclaimer/Publisher’s Note: The statements, opinions and data contained in all publications are solely those of the individual author(s) and contributor(s) and not of MDPI and/or the editor(s). MDPI and/or the editor(s) disclaim responsibility for any injury to people or property resulting from any ideas, methods, instructions or products referred to in the content.

Share and Cite

MDPI and ACS Style

Okine, S.K.; Fletcher, L.S.; Andreasen, Z.; Zhang, H. Spectrophotometric Analysis of Divalent Mercury (Hg(II)) Using Dithizone: The Effect of Humic Acids and Ligands. Water 2026, 18, 53. https://doi.org/10.3390/w18010053

AMA Style

Okine SK, Fletcher LS, Andreasen Z, Zhang H. Spectrophotometric Analysis of Divalent Mercury (Hg(II)) Using Dithizone: The Effect of Humic Acids and Ligands. Water. 2026; 18(1):53. https://doi.org/10.3390/w18010053

Chicago/Turabian Style

Okine, Stephen K., Lesta S. Fletcher, Zachary Andreasen, and Hong Zhang. 2026. "Spectrophotometric Analysis of Divalent Mercury (Hg(II)) Using Dithizone: The Effect of Humic Acids and Ligands" Water 18, no. 1: 53. https://doi.org/10.3390/w18010053

APA Style

Okine, S. K., Fletcher, L. S., Andreasen, Z., & Zhang, H. (2026). Spectrophotometric Analysis of Divalent Mercury (Hg(II)) Using Dithizone: The Effect of Humic Acids and Ligands. Water, 18(1), 53. https://doi.org/10.3390/w18010053

Note that from the first issue of 2016, this journal uses article numbers instead of page numbers. See further details here.

Article Metrics

Back to TopTop