Abstract
The experiment of loess crack development under dry–wet cycle conditions is of great significance for the study of groundwater preferential flow channels and the prevention and control of infrastructure engineering disasters in loess areas. The loess samples in Chencang District of Baoji City, Shaanxi Province, were taken as the samples in the test. The multiple humidification and dehumidification tests were used to simulate multiple rainfall evaporation, and the moisture content changes in the loess samples during the dry–wet cycle were calculated. With the help of digital image technology, the fracture parameters of the loess samples were extracted, and the variation law of crack parameters was analyzed by combining fractal dimension, Bayesian factor, and Pearson correlation coefficient. The findings indicate that variations in soil moisture content and the number of dry and wet cycles contribute to fluctuations in soil evaporation rates, resulting in varying degrees of soil cracking development. The increase in the number of dry and wet cycles leads to evident soil shrinkage, an accelerated water evaporation process, pronounced surface deterioration, and a higher degree of crack development. The rate of crack propagation varies at different locations, with a higher rate observed in the horizontal plane compared to the vertical plane. The influence of temperature and humidity varies due to the different dimensions of cracks (horizontal and vertical). Horizontal crack development is primarily influenced by temperature, while vertical crack development is primarily influenced by humidity. Temperature and humidity inhibit each other. When one factor is dominant, the other indirectly affects crack development by influencing the dominant factor. The research findings can serve as a valuable reference for effectively mitigating and minimizing the impact of crack development-induced disasters.
1. Introduction
Loess is a kind of special soil formed by wind accumulation and sedimentation. It has high porosity and loose structure and easily forms joints and cracks under external forces [1]. Numerous intricate physical and mechanical properties are conferred upon the loess by this unique structure, making the loess region highly susceptible to geological disasters [2,3]. Under the influence of climate change and human activities, landslides, surface subsidence, underground cavities, and other problems occur frequently in loess areas [4,5]. Extensive research was conducted by domestic and international scholars to investigate the mechanisms of loess crack formation, evolutionary patterns, and preventive measures [6].
The dry–wet cycle is considered a significant factor influencing crack development in loess [7]. Seasonal precipitation induces periodic expansion due to water absorption and shrinkage caused by water loss [8], resulting in the uneven distribution of internal stress within the soil and promoting crack formation and progression [9]. Lu et al. [10] summarized the characteristics and development rules of loess fractures under different stresses in the Loess Plateau and found that the vertical joints of loess developed from the primary and secondary fractures in the loess accumulation. The mechanical characteristics of loess influenced by moisture content were determined through uniaxial compression, Brazilian splitting, and double-sided shear tests conducted on loess samples by Wang et al. [11]. Wei et al. [12] utilized seismic refraction tomography (SRT), electrical resistivity tomography (ERT), microseismic technology, ground penetrating radar (GPR), and other geophysical techniques to analyze the crack parameters of loess. Their findings revealed that variations in moisture content exert a significant influence on the development of fractures within loess. The development law of loess joint cracks was studied by Mao et al. [13] under the action of a dry–wet cycle. It was proposed that the dry density and cohesion of soil are significantly reduced by severe dry–wet cycles, making it easier for cracks to form and develop.
Loess is classified as silty clay and is characterized by collapsibility, including soaking wet collapsibility and dehydration hardening. The size effect was taken into account by Wei et al. [14], and the evolution characteristics and mechanisms of intermediate interstice fissures in loess were investigated. The morphology and insertion rules of interstice cracks were uncovered, and simulation analysis was conducted using the MatDEM2.0 numerical simulation software. Wu et al. [15] examined the impact of cracks on the strength characteristics of loess in typical loess areas of Sichuan by using a sample from the region. Tang et al. [16] investigated the influence of crack surfaces formed under diverse loading conditions on the stability of loess slopes. The existence of fracture surfaces altered the stress field of the loess slope, generating a preferential yield zone around the structural surface and increasing the likelihood of the structural surface becoming a potential sliding surface. They reached the conclusion that the density of cracks has a considerable influence on the strength of the loess. Han et al. [17] performed dry–wet cycling and freeze–thaw cycling experiments on reconstructed loess with varying moisture contents, and concluded that dry–wet cycling assumes a dominant role while freeze–thaw cycling has a promotional effect. Su et al. [18] selected three typical loess samples to delve into the evolution of fissure morphology and the attributes of swelling and shrinking deformation throughout the dry–wet cycling conditions, and drew the conclusion that the Boltzmann growth model can be utilized for predicting fissure growth.
The foregoing research suggests that the formation mechanism of loess cracks mainly encompasses dry–wet cycles [19], variations in temperature and humidity, freeze–thaw cycles [20], the properties of the soil itself, and external forces. Moreover, under natural conditions, the generation conditions of loess cracks are primarily dominated by the dry–wet cycle action mechanism [21]. Under the sway of dry–wet cycles, the emergence of cracks in loess is more inclined, and its strength is more vulnerable to deterioration [22]. The cracks undergo a crazing-like metamorphosis, giving rise to the impairment of the soil’s integrity [23]. Loess is replete with clay minerals such as illite, kaolinite, and montmorillonite. Concurrently, it is accompanied by the water loss of clay minerals, resulting in their cracking [21,24]. An increasing number of researchers are attaching significance to the impact of dry–wet cycles on the evolution and development characteristics of fractures. Xu et al. [25] employed a scanning electron microscope (SEM) to explore the variations in the parameters of the loess, such as the crack rate and shear strength, under the wet–dry cycling condition, and thereby proposed a loess crack damage model based on the wet–dry cycling circumstances. Mu et al. [26] examined the microscopic fracture characteristics and causes of loess particles under the influence of dry–wet cycling. Direct shear tests were conducted by Kong et al. [27] under the influence of wet–dry cycling. The Particles (Pores) and Crack Analysis System (PCAS) version2.324 digital image processing software was employed to acquire the corresponding crack parameters. It was concluded that crack development possesses a memory effect, with parameters gradually increasing and approaching stability. Gao [28] employed CT scanning technology to investigate the development patterns of cracks in loess under dry and wet conditions. Qin et al. [29] investigated the volumetric and electrical resistivity characteristics of compacted loess under room-temperature dry–wet cycling conditions in a high-temperature and dry environment. Zhao et al. [30] utilized the PCAS software to analyze the crack evolution characteristics and mechanical laws in the horizontal dimension exposed to the influence of dry–wet cycles on expansive soil.
The fractal dimension of fractures and pores is capable of quantitatively analyzing the complexity and self-similarity of fractures and constitutes an important parameter for depicting the distribution characteristics and morphological laws of fractures [31]. With the aim of facilitating quantitative research on the characteristics of fracture variations [32], researchers have adopted multiple approaches to analyze fracture parameters [33]. Wu et al. [34] resorted to fractal dimension analysis for the examination of the morphological attributes and distribution of pore sizes within wood cell walls. Liu et al. [35] utilized digital image processing for extracting crack evolution and employed multiple regression analysis to correlate crack parameters with compressive strain, thereby obtaining the skeleton structure of the crack and establishing an equation for the evolution of damage. A digital microscope was used by Maity et al. [36] to trace the cracks on the sample surface. A grid was drawn to formulate a novel approach for investigating plane composite fatigue crack propagation.
Previous studies have explored the formation mechanisms and evolution laws of loess cracks. However, their research has merely concentrated on surface-level cracks and has not conducted a comparative study on the development patterns of multi-dimensional cracks. Hence, this study undertakes dry–wet cycling tests to observe and analyze the evolution and development laws of loess cracks in both horizontal and vertical dimensions, thereby comprehending the distribution characteristics of the preferred water flow channels in the groundwater system of the Loess Plateau area. This study employs typical loess from a representative area of the Loess Plateau as the sample and utilizes the PCAS image processing technology, in combination with changes in moisture content, to analyze the correlation between the obtained crack parameters using fractal dimension. The development and evolution laws of loess cracks under dry–wet cycling conditions are explored in this study. References and a theoretical basis are provided for effectively preventing the development of loess cracks that can cause damage to infrastructure and buildings. Additionally, insights are offered for understanding the migration laws of groundwater pollution
2. Materials and Methods
2.1. Material
The Malan Loess (Q3) from Chencang District, Baoji City, Shaanxi Province, was selected as the experimental loess sample. This type of loess soil exhibits uniformity in texture, with a loose and brown appearance. The physical properties of the loess samples are presented in Table 1. Based on the classification criteria outlined in the Standard of Soil Engineering (GB50021-2001 (2009 edition)) [37], the loess sample can be categorized as silty clay.
Table 1.
Physical property index of loess sample in study area.
2.2. Equipment
The experimental equipment includes four parts: the loess experiment box, crack observation device, weighing device, and computer. Based on previous studies on small-scale cracks in loess [14], a loess experiment chamber with a size of 8 × 8 × 20 cm was selected and made of plexiglass to provide the boundary limit for the samples. The crack observation device consists of an HD camera and supporting head. The weighing device utilized is an electronic balance with an accuracy of 0.01 g. The mean crack width, crack incidence, and crack area can be quantified utilizing the PCAS digital image processing software. The schematic diagram of the experimental device is shown in Figure 1. The parameters of the experimental device are shown in Table 2.
Figure 1.
Schematic diagram of experimental device.
Table 2.
Parameters of experimental device.
2.3. Test Procedure
Step 1: Determination of initial moisture content of soil sample
A portion of the collected loess sample was placed into a ring knife with a diameter of 50 mm and a height of 30 mm. The sample was then trimmed and weighed. After recording the mass, the sample was dried in an oven, and the mass was recorded again. The initial moisture content of the excavated sample was determined to be 30% using the following formula: (initial mass of the soil sample − mass of the dried soil sample)/mass of the dried soil sample.
Step 2: Sample preparation
The selected loess sample area is the southern part of the Loess Plateau, and the daytime temperature in this area is 20~30 °C in summer; the preparation temperature for the loess samples in this experiment was set at 25 °C. Following sealing and curing for 48 h, the moisture content was measured and maintained at approximately 25%.
Step 3: Loading sample
The prepared loess sample is packed into the loess test chamber and compacted at intervals of 2 mm to ensure consistent compaction throughout the sample.
Step 4: Dry and wet cycle experiment
(1) The loess sample is exposed to natural light for accelerated drying, facilitated by the addition of a slightly larger glass cover with excellent light transmission, thereby ensuring comprehensive and uniform illumination of the soil sample.
(2) The loess experiment box was placed on the electronic balance to record the weight variation in the soil sample. The camera captures and documents the progression of cracks in the soil sample at regular intervals. It simultaneously calculates the corresponding moisture content. This process continues until the moisture content of the soil sample reaches 15%. At this point, it is considered an air-dried soil sample.
(3) The loess sample is covered with a layer of filter paper. Apply water onto the surface of the filter paper using a dropper, ensuring a slow and even drip, until the moisture content reaches 25%.
(4) The moisture content from 25% through dry and wet and then back to 25% process is considered a dry and wet cycle completed. This process is repeated 3–4 times until the formation of cracks stabilizes. The experiment concludes upon achieving the predetermined number of wet–dry cycles.
(5) Repeat the above steps to carry out four parallel experiments.
The humidification and dehumidification process of the soil sample is shown in Figure 2, and the change in moisture content during the dry–wet cycle is shown in Figure 3.
Figure 2.
Process diagram of dry and wet cycle.(Color note: The yellow arrow is sunlight; The blue color in the bottom three circles indicates more water. The soil from wet to dry to wet is regarded as a dry and wet cycle.)
Figure 3.
Moisture content variations during dry–wet cycling process.
2.4. Extraction Method of Crack Development Parameters
The Particles and Crack Analysis System (PCAS) software was used to extract parameters from the crack development images in the experiment [38]. The process was divided into three parts: original image acquisition, image processing, and fracture skeleton extraction. The detailed procedure for extracting crack parameters is illustrated in Figure 4. The vernier caliper (with an accuracy of 0.02 mm) was used to measure the stable length, width, and height of the loess sample after each increase and decrease in moisture. Horizontal and vertical crack development images of the loess sample were also taken. To minimize the influence of boundary conditions, crop the image to a 4000 × 930 pixel rectangle. Additionally, trim the borders to soften the outline and equalize the uneven top and bottom edges. The crack shape of the intact soil sample in the middle is retained as the research object. It is then converted into a binary image using a gray threshold [39]. The crack parameters were derived from binarized images, and subsequent quantitative analysis was conducted [40].
Figure 4.
Original image and processed image of crack.
The fractal dimension of soil cracks can effectively capture the self-similarity, non-integer dimensionality, and intricate nature of crack networks across various scales [41]. Numerous methodologies exist for calculating the fractal dimension of a crack, including the box-counting method and the Hausdorff dimension method [42]. The box-counting method is a widely recognized and straightforward technique [43]. As the size of the box decreases, the number of boxes required to cover the structure increases at a specific rate. The fractal dimension is defined as the logarithm of this ratio [44]. Due to the small mold size and the simplicity and widespread application of the box-counting method in experiments, this study employs this technique to calculate the fractal dimension. The crack resolution and other crack parameters derived from the PCAS software are used to analyze the variation trend of the fractal dimension of the crack network under dry–wet cycles.
2.5. Theoretical Formula
(1) Box-counting method
The calculation formula of box dimension is shown in Equation (1).
where A is a constant; D is the fractal dimension of crack; and and are, respectively, level i segment sizes and the corresponding number of similar blocks. If and are linear, the slope is the fractal dimension D of the crack.
The larger the D value, the denser the crack distribution and the higher the complexity of the distribution characteristics [45].
(2) Pearson correlation coefficient
The calculation formula of Pearson correlation coefficient is shown in Equation (2).
where Cov(X,Y) is the covariance of X and Y, and and are the standard deviation of X and Y, respectively.
The Pearson correlation coefficient is used to measure the linear relationship between two continuous variables, with values ranging from −1 to 1. The positive and negative values of the coefficients represent a positive correlation or a negative correlation, and 0 indicates that the two are not correlated [46].
(3) Bayes Factor
The calculation formula of the Bayes factor is shown in Equation (3).
where and are the marginal likelihood of data D under and , respectively. is the assumption that there is some correlation between the variables X and Y (). assumes that there is no correlation between the variables X and Y ().
The Pearson correlation coefficient is utilized to quantify the linear association between two continuous variables, encompassing a range of values from −1 to 1 [47]. The positive and negative coefficients indicate positive or negative correlations, respectively [48]. A value of 0 denotes no correlation between the two variables.
(4) Total Sum of Squares (SST)
The calculation formula of SST is shown in Equation (4).
where
is the j-th observation in the i-th group.
is the overall mean of all observations.
is the total number of observations.
(5) Between-Group Sum of Squares (SSB)
The calculation formula of SSB is shown in Equation (5).
where
is the number of groups.
is the mean of the -th group.
is the observation in the k-th group
(6) Within-Group Sum of Squares (SSW)
The calculation formula of SSW is shown in Equation (6).
(7) Degrees of Freedom (df)
Between-Group Degrees of Freedom ():
The calculation formula of is shown in Equation (7).
Within-Group Degrees of Freedom ():
The calculation formula of is shown in Equation (8).
(8) Mean Squares (MS)
Between-Group Mean Square (MSB):
The calculation formula of MSB is shown in Equation (9).
Within-Group Mean Square (MSW):
The calculation formula of MSB is shown in Equation (10).
(9) F
The calculation formula of MSB is shown in Equation (11).
F is used to compare between-group variability and within-group variability. Formulas (4)–(10) are formulas for ANOVA [49].
3. Result
3.1. Evolution of Mean Width of Cracks
The development process of horizontal and vertical cracks in the soil sample under dry and wet cycling conditions is illustrated in Figure 5 and Figure 6, respectively. It can be observed from Figure 5 that the number of cracks in the sample increases with an increase in the number of dry and wet cycles. Following the first cycle, fine micro-tensile cracks gradually appear in the soil. The vertical cracks are less pronounced compared to the horizontal cracks initially. However, after two cycle tests, both types of cracks show a significant increase, with vertical cracks gradually forming as well. The newly formed horizontal and vertical cracks exhibit a grid pattern along pre-existing fractures.
Figure 5.
Horizontal crack development diagram of dry and wet cycle, (a1–a5), (b1–b5), (c1–c5), (d1–d5), which are, respectively, cycle 1 to 4 times of horizontal fracture. (Color note: Diverse colors are utilized in PCAS software to distinguish various crack angles, such as micro-tensile cracks, as indicated below).
Figure 6.
Vertical crack development diagram of dry and wet cycle (a1–a5), (b1–b5), (c1–c5), (d1–d5), which are, respectively, cycle 1 to 4 times of vertical fracture.(Color note: Diverse colors are utilized in PCAS software to distinguish various crack angles, such as micro-tensile cracks, as indicated below).
The average width of the cracks under different dry–wet cycles is presented in Table 3. Initially, the mean gap width of the horizontal cracks was measured at 0.24 mm (Figure 5a1), which increased to 13.10 mm after the first wet–dry cycle (Figure 5a5). At the beginning of the second wet and dry cycle, the initial mean gap width of the horizontal crack recovered to 9.24 mm (Figure 5b1). Towards the end of this cycle, a secondary main crack emerged with an average width of 16.52 mm (Figure 5b5). During the third cycle, gradual expansion occurred along with additional secondary cracks forming around both main cracks (Figure 5c2). By the conclusion of this cycle, the average gap width for horizontal cracks reached 18.06 mm (Figure 5c5). Throughout the fourth cycle, fracture development stabilized gradually until reaching an average gap width that remained constant at 18.88 mm (Figure 5d5).
Table 3.
Average gap width under different dry and wet cycles. Unit: mm.
The development of vertical cracks occurred after the formation of horizontal cracks, resulting in minimal subsequent growth following the initial dry–wet cycle, where the average gap width measured 0.52 mm (Figure 6a1). Subsequently, after the first dry–wet cycle, the average gap width of the vertical cracks increased to 3.02 mm (Figure 6a5). During the third dry–wet process, a second prominent vertical crack emerged with an average gap width measuring 6.24 mm (Figure 6b5). As both primary cracks continued to widen progressively, secondary cracks began forming along their grid-like trajectory with an average gap width of 9.32 mm (Figure 6c4), ultimately leading to an overall average gap width for vertical cracks reaching 16.68 mm (Figure 6d5).
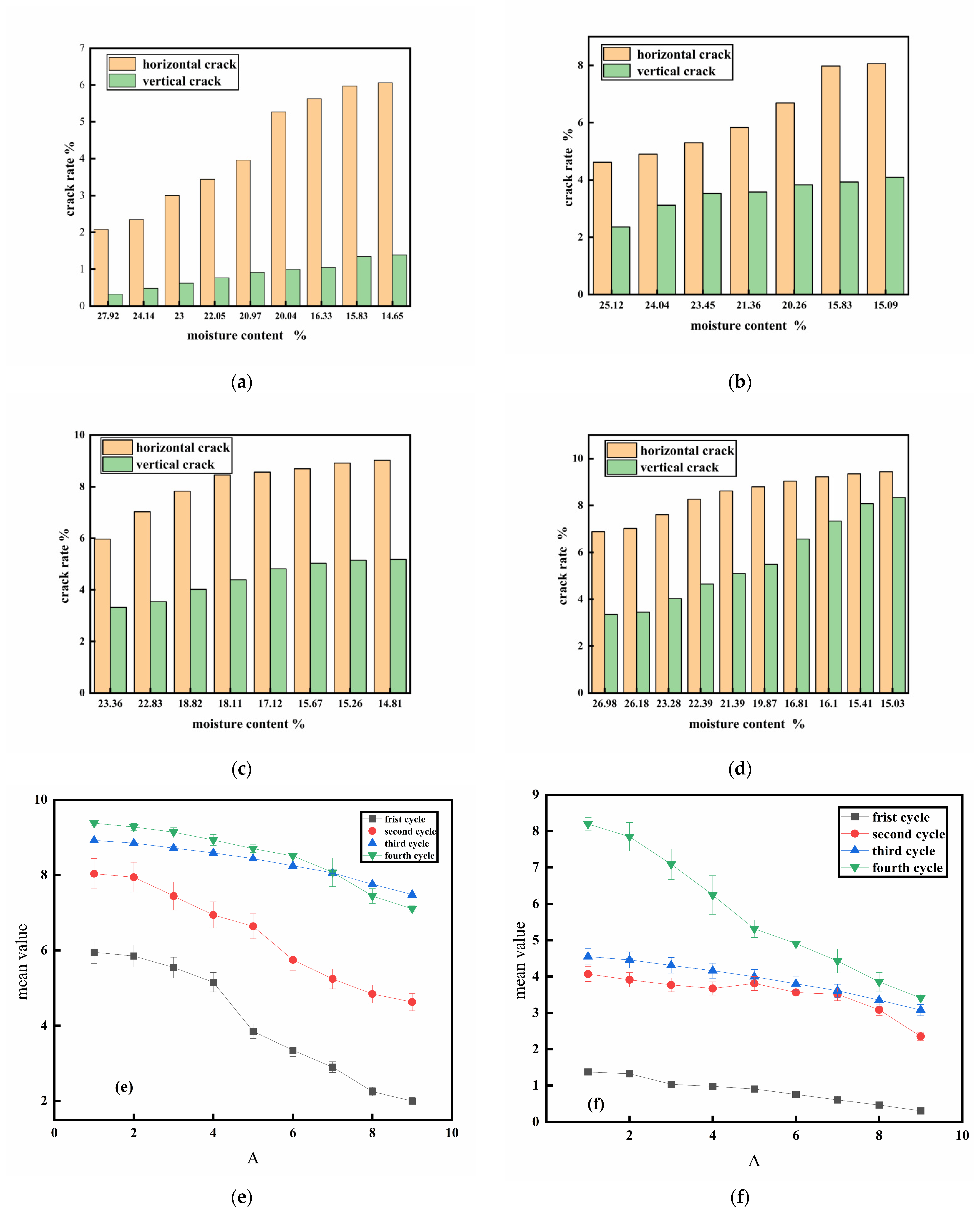
3.2. Crack Rate
The crack rate is defined as the ratio of total fracture length or area to unit area or volume and serves as a crucial parameter for describing the development of fracture morphological characteristics. In this paper, the crack rate refers to the total length of cracks per unit area. The fracture rate is a dimensionless parameter ranging from 0 to 1. A higher crack rate indicates a greater proportion of cracks in the analyzed image and a higher density of crack distribution.
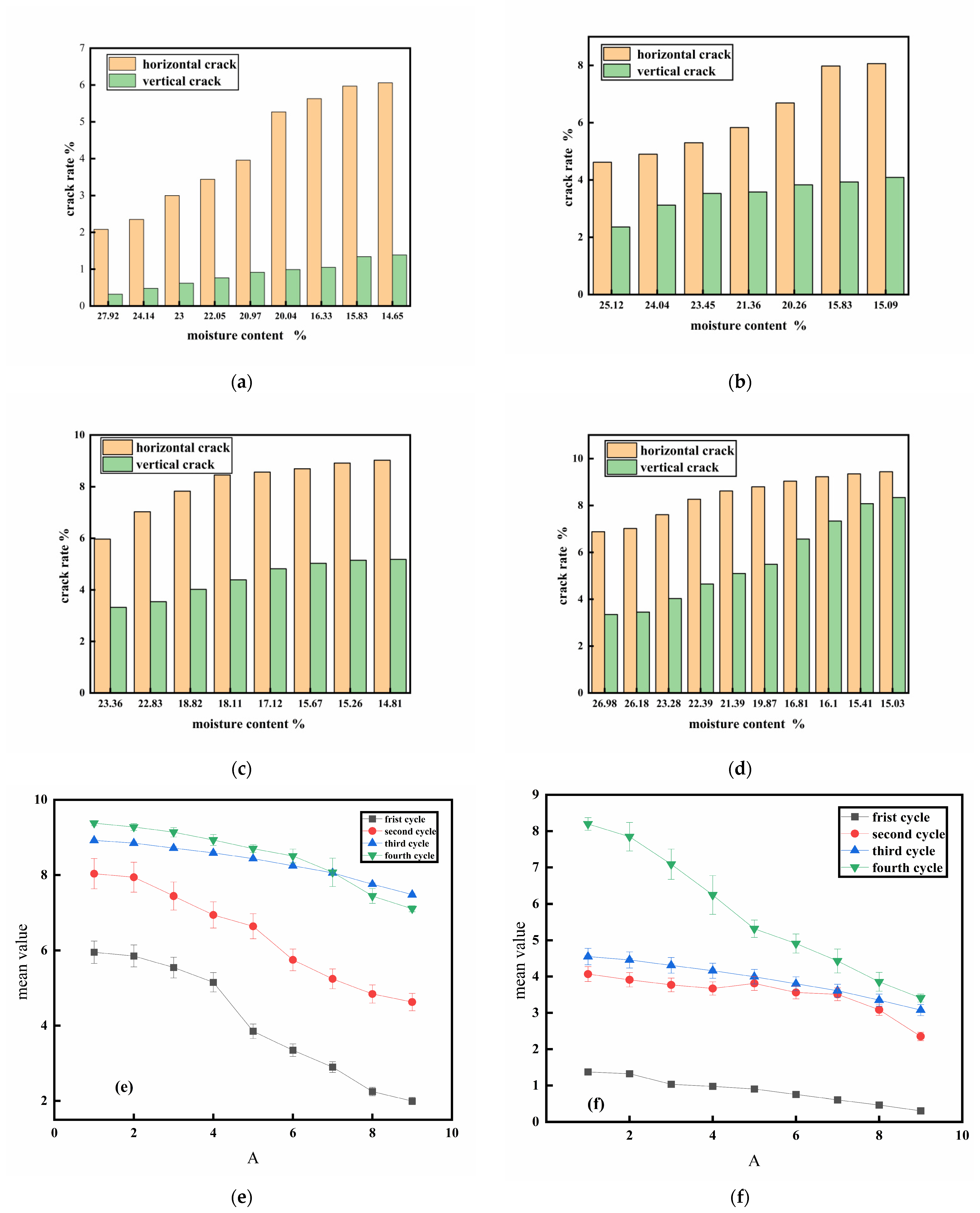
The variation laws of horizontal and vertical crack rates under different dry–wet cycle conditions are illustrated in Figure 7. In the initial dry and wet cycle test (Figure 7a), commencing from the initiation of vertical cracks, the horizontal crack rate was recorded as 2.08%, while the vertical crack rate stood at 0.73%. As moisture content decreased, surpassing a threshold of 20%, the horizontal fracture rate exceeded 5%, whereas vertical fracture development exhibited relatively slower progress with a maximum rate not exceeding 2% during this first cycle. Subsequently, in the second cycle test (Figure 7b), due to an increase in moisture content, both horizontal and vertical cracking degrees recovered, resulting in reduced crack rates of 4.62% and 2.36%, respectively. During the third dry–wet cycle (Figure 7c), compared to previous tests, there was a decrease in the growth rate of horizontal crack formation; however, vertical fractures demonstrated steady growth with an increasing number of cycles overall. Finally, within the fourth dry–wet cycle (Figure 7d), both horizontal and vertical fracture rates experienced significant increases when compared to preceding cycles. Figure 7e,f shows the relationship between the crack rate and moisture content of horizontal crack and vertical crack after four groups of parallel experiments. The horizontal crack development of loess samples changed significantly in the first and second cycles, while the vertical fracture development changed significantly in the later cycles.
Figure 7.
Relationship between moisture content and crack ratio. (a–d) show relationship between crack ratio and moisture content in 1st to 4th cycles, respectively. (e,f) are error bar graphs of horizontal cracks and vertical cracks under condition of 4th cycles, respectively.
3.3. The Outcomes of the Calculation for Fractal Dimension
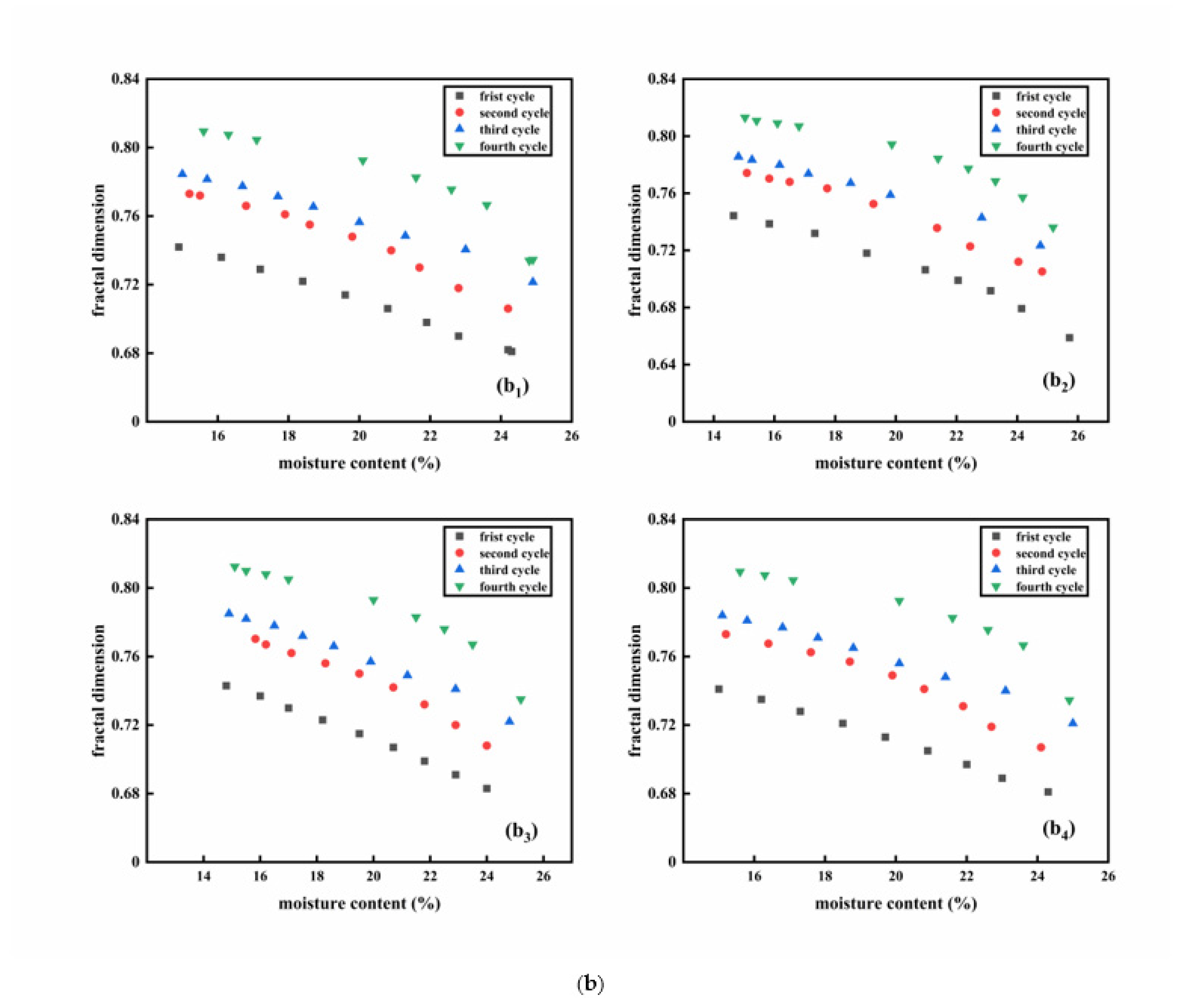
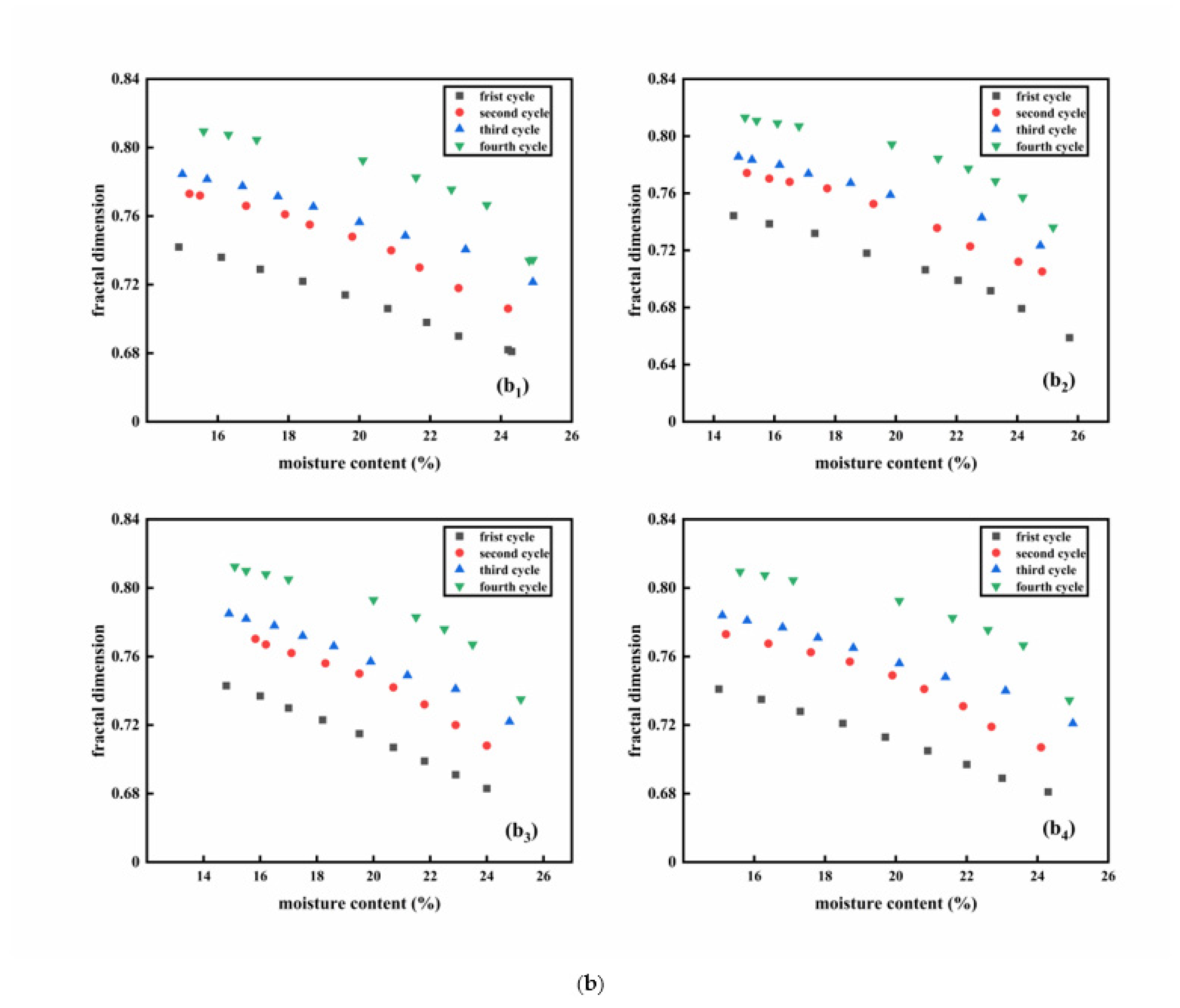
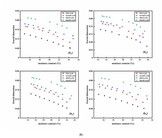
The following analysis focuses on four groups of parallel experiments conducted on loess samples. Specifically, the relationship between fractal dimension and moisture content after four dry–wet cycles is examined for four groups. Figure 8a,b illustrates the relationships among the fractal dimensions of horizontal and vertical cracks, respectively, and moisture content. Among these cycles, the first dry–wet cycle demonstrates the most rapid increase in fractal dimension, followed by the fourth cycle, and then the second and third cycles. Generally speaking, there is a greater variation in fractal dimension for vertical fractures compared to horizontal fractures. The initial moisture content of the four groups subjected to dry–wet cycling follows this order from highest to lowest: Group 1, Group 4, Group 2, and Group 3. The growth rate of fractal dimension obtained from these four experimental groups aligns closely with their respective initial moisture content.

Figure 8.
Relationship between moisture content and fractal dimension. (a) (a1–a4) are fractal dimension graphs of horizontal cracks in which four groups of parallel dry–wet cycle experiments were carried out. (b) (b1–b4) are fractal dimension graphs of vertical cracks in which four groups of parallel dry–wet cycle experiments were carried out.
3.4. The Correlation of Temperature and Humidity with the Crack Parameters
The correlation analysis of temperature and humidity with the crack rate and crack area is presented in Table 4 and Table 5. Table 4 shows the multi-factor variance analysis of the effects of temperature, humidity, and dry and wet cycle on the development of horizontal cracks. The corrected model has an F-value of 138.717 with a significance level of 0, indicating that the model is statistically significant. This suggests that at least one of the independent variables significantly contributes to explaining the variation in the dependent variable (horizontal crack). The intercept term has an extremely high F-value of 20,054.545 and a significance of 0, indicating that it contributes significantly to the model. The effect of temperature is significant (F-value = 14.858, significance = 0). This indicates that temperature is a significant predictor of horizontal cracks. Humidity also shows a significant effect (F-value = 9.199, significance = 0), suggesting it is another important factor in predicting horizontal cracks, although its effect is less pronounced than temperature. The cycle variable exhibits a strong significance with an F-value of 81.044 and a significance of 0, indicating it has a considerable impact on horizontal cracks. 0.989 indicates that the model explains 98.9% of the variance in the dependent variable (horizontal crack), suggesting an excellent fit. The adjusted 0.981 confirms this goodness of fit while taking into account the number of independent variables in the model.
Table 4.
Multivariate ANOVA for horizontal cracks.
Table 5.
Multivariate ANOVA for vertical cracks.
Table 5 shows the multi-factor ANOVA of temperature, humidity, and dry and wet cycle on vertical crack development. The Type III sum of squares of the model is 796.852. This value shows how much variation the model can account for. The degrees of freedom (df) are 80. The mean square is 9.96. The F-value is 451.482. The significance is 0. This indicates that the model is significant overall. There is a significant relationship between the change in the dependent variable and the independent variable. The sum of the squares of the intercept terms is 388.44. This value represents the expected value of the dependent variable when all independent variables are zero. The F-value is very large at 17,607.244, and the significance is 0. This indicates that the intercept term contributes significantly to the model and demonstrates the effect of temperature on “vertical crack”. The sum of squares is 29.898, the degree of freedom is 38, the mean square is 0.787, the F-value is 35.664, and the significance is 0, indicating that the temperature has a significant effect on the dependent variable. The sum of squares of humidity is 50.208, the degree of freedom is 35, the mean square is 1.435, the F-value is 65.024, and the significance is 0, which also indicates that humidity has a significant influence on the dependent variable. The sum of squares of periodic factors is 8.616, the degree of freedom is 3, the mean square is 2.872, the F-value is 130.185, and the significance is 0, indicating that the influence of periodic factors on the dependent variable is also significant. = 0.996 indicates that the model can explain 99.6% of the variation in the dependent variable, showing that the model is very good. The adjusted = 0.994 accounts for the number of independent variables and still demonstrates a strong fit.
The provided Figure 9a shows the Pearson correlation coefficients and Bayesian factors for the relationships among five variables: cycle, horizontal, vertical, temperature, and humidity. The Pearson correlation coefficient of the cycle and horizontal cracks is 0.812, indicating a strong positive correlation. A Bayes factor of 0.000 indicates that the null hypothesis (i.e., no correlation) can be rejected, and the correlation coefficient between the cycle and vertical cracks is 0.842, which also indicates the existence of a strong positive correlation. A Bayes factor of 0.000 further reinforces this strong relationship. The correlation coefficients of the cycle with temperature and humidity are −0.864 and 0.652, respectively. The correlation coefficient between horizontal crack development and temperature was −0.596, indicating a moderate negative correlation, supported by a Bayesian factor of 0.000. In contrast, the correlation coefficient between horizontal crack development and humidity was 0.396, suggesting a moderate positive correlation. The correlation coefficient between vertical crack development and temperature was −0.690, indicating a strong negative correlation, whereas the correlation coefficient between vertical crack development and humidity was 0.710, suggesting a moderate positive correlation. The correlation coefficient between temperature and humidity is −0.677, indicating a strong negative correlation.

Figure 9.
Paired Bayesian correlation heat maps of temperature, humidity, and dry and wet cycle for cracks in different directions: (a) is heat map of Bayesian factor inference, and (b,c) are heat maps of mode and average value in posterior distribution characteristics of paired correlation, respectively.
Figure 9b,c shows the posteriority distribution feature mode and average heat map of the paired correlation, including the correlation coefficient among cycle, horizontal crack, vertical crack, temperature, and humidity. The correlation coefficients for the cycle with horizontal and vertical cracks are both high, with modes and means close to 0.81, indicating a strong positive correlation, while the correlation with temperature is −0.863, demonstrating a strong negative correlation that suggests changes in temperature may inversely relate to the development of cracks; additionally, the correlation with humidity is 0.651, indicating a moderate positive correlation. The mode and average of the posterior distribution of pairwise correlation between horizontal crack and vertical crack are basically consistent with the size deduced by the Bayesian factor of pairwise correlation, and the correlation coefficients with temperature and humidity are basically unchanged.
4. Discussion
The selection of impervious acrylic as the mold material and silty clay as the loess sample resulted in significant water absorption capacity. Consequently, an impervious layer was gradually developed at the base of the sample after a substantial increase in moisture content. As a result of this impervious bottom plate, some vertical cracks collapse and transform into inverted T-shaped cracks, while horizontal cracks develop new “Y”-shaped cracks. Based on Figure 5 and Figure 6, it is evident that horizontal cracks form initially, with significant development of vertical cracks occurring once horizontal cracks reach a certain extent.
The crack evolution pattern in soil samples is as follows: micro-tensile cracks initially form (Figure 5a1 and Figure 6a1), and with an increasing number of dry and wet cycles, these micro-tensile cracks gradually expand to become several main cracks (Figure 5b5 and Figure 6c3). The development of horizontal cracks is superior to that of vertical cracks, and due to the size effect, secondary cracks start forming around the main cracks with increased dry–wet cycling, resulting in a grid-like pattern development, ultimately leading to stable crack morphology (Figure 5d5 and Figure 6d5).
The first cycle represents the initial stage of crack development. In the second and third cycles, as moisture content increases, the crack enters a recovery stage, resulting in a slower growth rate of the fractal dimension. During this stage, the speed of crack development remains relatively stable. After the third cycle, the crack development surpasses the stage where it would recover with an increase in moisture content, leading to an increased growth rate of fractal dimension. Since natural light is used as the light source and temperatures do not exceed 60 °C, there is a linear increase trend in fractal dimension with decreasing moisture content. Figure 7 illustrates that as moisture content decreases, crack development in the samples during four dry–wet cycle tests gradually increases until reaching a stable state at around 15% moisture content. In the second and third cycles, with increasing moisture content within cracks, parameters at the beginning of each subsequent cycle are smaller than those at the end of previous cycles (Figure 7b,c). Horizontal cracks develop earlier than vertical cracks. By the fourth cycle, boundaries for recovery in crack development are broken and both horizontal and vertical cracks exhibit increased development speeds (Figure 7d). The speed of horizontal crack propagation exceeds that of vertical cracks while variations in crack parameters increase with each dry–wet cycle. Additionally, after each cycle concludes, the degree of crack development becomes more pronounced.
In conjunction with the crack development depicted in Figure 8, it is evident that the vertical crack of the sample exhibits a higher level of complexity compared to the horizontal crack. Furthermore, during the dry–wet cycle process, the complexity of both horizontal and vertical cracks demonstrates an increasing trend. Moreover, a higher initial moisture content leads to a more rapid progression of this intricate process. Table 4 and Table 5 investigate the impact of temperature and humidity variations on the overall experiment. According to Table 4, all the independent variables (temperature, humidity, and cycle) significantly affect the dependent variable (horizontal crack and vertical crack). The model overall is highly significant and explains a large proportion of the variance in horizontal cracks, making it a strong model for predicting this outcome. The results suggest that adjustments in temperature, humidity, and cycle can substantially influence the occurrence of horizontal cracks. The cycle has the highest F-value (81.044), which is significantly greater than that of temperature (14.858) and humidity (9.199). This indicates that the cycle has the most pronounced effect on horizontal cracks. The F-value for temperature is higher than that of humidity, suggesting that temperature has a significant impact on horizontal cracks, though it is less influential compared to the cycle. All three variables have a significance level of 0.000. This means their influence is highly significant. None of the variables have a negligible impact on the dependent variable. The cycle has the most significant effect on horizontal cracks, followed by temperature, and then humidity.
According to Table 5, the F-value for “cycle” (130.185) is significantly higher than those for “temperature” (35.664) and “humidity” (65.024), indicating that the “cycle” has the most significant impact on the dependent variable, “vertical crack”. The F-value indicates that “cycle” has the most pronounced influence on “vertical crack”, followed by “humidity”, and then “temperature”. This suggests that variations in the cycle may have a more substantial impact on the formation or development of cracks when controlling for other variables. The results show that temperature is negatively correlated with crack development, while humidity is positively correlated. Excluding the influence of dry and wet cycles, temperature is the main factor for horizontal crack development, and humidity is the main factor for vertical crack development. Temperature and humidity interact and inhibit each other. When one factor is dominant, the other indirectly affects crack development by influencing the dominant factor.
The formation and development of loess cracks is a complicated process, which is affected by many internal and external factors. In order to reduce the external factors and facilitate the study, the experiment used the same small-sized experimental chamber and prepared collapsible loess under the same conditions, studying the development of cracks on the surface of the loess under different temperature and soil sample conditions. By using fractal theory and image processing technology, the development of horizontal cracks and vertical cracks under different dry and wet cycle conditions is compared and analyzed. The method aims to describe the crack evolution law more precisely, optimize the flow channel, and lay a solid foundation for further geological hazards and groundwater pollution prevention measures.
The loess selected in this experiment was taken from the southern part of the Loess Plateau, whose climate is more humid than that of other loess areas. The collapsibility of the loess in this area is more significant, and the vertical fracture development degree is better. The content of silty clay in other loess areas is slightly lower than that in the southern part, but its content is all above 60%. However, due to many factors, such as climate characteristics and land use, further studies are needed to verify the applicability of these findings in other regions.
The effects of the number of dry and wet cycles on crack development in loess were studied, but the soil bulk density and depth were not compared. In order to facilitate the study, only small collapsible loess samples with the same volume weight are used for observation and analysis, and the crack development of large-scale loess is still under study. Under laboratory conditions, the development process of cracks can be observed more clearly with small-sized soil samples. However, the formation of large-scale vertical cracks usually requires long-term observation, so in the laboratory study, we started from a small scale and will gradually expand the research scale in the future to further explore the mechanism of crack development in a larger range. In addition, the effects of vegetation cover and extreme weather were not considered in the experimental conditions, and only the crack development law of the loess under mild conditions was studied. The loess area is rich in aeolian sand resources. Under natural conditions, crack development after overlaying and filling is a common phenomenon. Future research should further deepen our understanding of the interaction mechanism between various influencing factors and explore more effective technical solutions to effectively control loess cracks and ensure the harmonious coexistence of human society and the natural environment.
5. Conclusions
In this study, the same loess samples were utilized to conduct four dry and wet cycle tests with a consistent evaporation amplitude. During the cycle test, images capturing crack development of the samples were collected, and digital image processing software was employed to extract crack parameters for analysis of their characteristics. The gap width, cracking condition, analytical dimension, and moisture content related to crack development were thoroughly examined and discussed. The conclusions drawn from this experiment are as follows:
(1) Loess bodies experience significant cracking due to wet–dry cycling. Loess samples with more wetting and drying cycles show a higher degree of cracking and more complex cracks. Unlike the initial saturation, cracks in the loess sample undergo repair during a certain number of dry and wet cycles. Once this limit is exceeded, cracks in the loess sample become complex and developed. Furthermore, the dry–wet cycle accelerates the evolution of soil cracks. This leads to the emergence of secondary cracks in loess samples after each cycle.
(2) The crack rate, crack width, and fractal dimension exhibited an increase with the number of cycles. As the initial moisture content rises, the crack rate, crack width, and crack dimension show a significant increase, provided that the evaporation amplitude across the four groups remains largely consistent. The initial moisture content plays a crucial role in loess cracking during dry and wet cycle experiments.
(3) The different positions of cracks result in varying rates of loess mass evaporation, leading to differential degrees of loess crack development. Crack velocity is higher in the horizontal plane compared to the vertical plane. The primary factor influencing loess cracking degree is the fluctuation in moisture content. During the dry–wet cycle of loess, moisture content becomes unevenly distributed within the loess, creating a significant hydraulic gradient that facilitates crack formation.
(4) The influence of temperature and humidity on cracks of different dimensions is different. The contribution of temperature to horizontal crack development is higher than that of humidity, while the contribution of humidity to vertical crack development is higher than that of temperature. Temperature had a negative correlation to crack development, and humidity had a positive correlation. There is obvious inhibition between temperature and humidity.
Supplementary Materials
The following supporting information can be downloaded at: https://www.mdpi.com/article/10.3390/w17060796/s1.
Author Contributions
Methodology, G.Z. and K.S.; Software, C.J.; Formal analysis, H.L.; Data curation, D.L.; Writing—original draft, C.Z., D.L., G.Z., K.S., H.L. and C.J.; Writing—review & editing, C.Z. and G.Z.; Supervision, Z.Q. All authors have read and agreed to the published version of the manuscript.
Funding
This work was supported by the [Natural Science Foundation of Henan Province] (Grant numbers [232300420442]) and [The Belt and Road Special Foundation of the National Key Laboratory of Water Disaster Prevention] (Grant numbers [2021490911]).
Data Availability Statement
The original contributions presented in this study are included in the article/Supplementary Materials. Further inquiries can be directed to the corresponding author.
Conflicts of Interest
Author Zhenzhen Qi was employed by the company Huabei Geosteering and Logging Company Sinopec Matrix Corporation. The remaining authors declare that the research was conducted in the absence of any commercial or financial relationships that could be construed as a potential conflict of interest.
References
- Cheng, Y.; Huo, A.; Zhao, Z.; Peng, J. Analysis of loess fracture on slope stability based on centrifugal model tests. Bull. Eng. Geol. Environ. 2021, 80, 3647–3657. [Google Scholar] [CrossRef]
- Fan, W.; Deng, L.; Yuan, W. Double parameter binary-medium model of fissured loess. Eng. Geol. 2018, 236, 22–28. [Google Scholar] [CrossRef]
- Wang, L.; Li, X.A.; Qin, B.; Zheng, H.; Zheng, Z. Genesis and evolution mechanism of loess tunnels in the Loess Plateau, China. Catena 2024, 239, 107919. [Google Scholar] [CrossRef]
- Zhang, Y.; Hu, Z.; Li, L.; Xue, Z. Improving the structure and mechanical properties of loess by acid solutions—An experimental study. Eng. Geol. 2018, 244, 132–145. [Google Scholar] [CrossRef]
- Liu, K.; Ye, W.; Jing, H. Multiscale evaluation of the structural characteristics of intact loess subjected to wet/dry cycles. Nat. Hazards 2024, 120, 1215–1240. [Google Scholar] [CrossRef]
- Li, H.; Yang, M.; Dang, T. Influence of the fracture on the seepage stability of loess slopes. Front. Mater. 2023, 10, 1193527. [Google Scholar] [CrossRef]
- Qin, B.; Li, X.A.; Wang, L.; Gao, R.; Chai, H. Model interpretation and microscopic characteristics of collapsibility evolution of compacted loess under dry-wet cycles. Catena 2024, 246, 108413. [Google Scholar] [CrossRef]
- Zhou, W.; Cheng, J.; Zhang, G.; Li, H.; Cheng, Y.; Ma, G.; Ji, X. Effects of wetting–drying cycles on the breakage characteristics of slate rock grains. Rock Mech. Rock Eng. 2021, 54, 6323–6337. [Google Scholar] [CrossRef]
- Wang, X.; Zhan, H.; Wang, J.; Li, P. On the mechanical damage to tailings sands subjected to dry–wet cycles. Bull. Eng. Geol. Environ. 2019, 78, 4647–4657. [Google Scholar] [CrossRef]
- Lu, Q.Z.; Peng, J.B.; Chen, Z.X.; Li, X.A. Research on Characteristics of Cracks and Fissures of Loess and Their Distribution in Loess Plateau of China. J. Soil Water Conserv. 2005, 19, 193–196. [Google Scholar]
- Wang, Y.; Chen, Y.; He, Y.; Li, C. Experimental Study of Loess Mechanical Properties with Different Water Content. KSCE J. Civ. Eng. 2024, 28, 2210–2220. [Google Scholar] [CrossRef]
- Wei, L.; Zeng, Z.; Yan, J. Factors Affecting the Stability of Loess Landslides: A Review. Appl. Sci. 2024, 14, 2735. [Google Scholar] [CrossRef]
- Mao, Y.C.; Li, G.Y.; Lei, J.X.; Zhang, L.R.; Chen, Z.Y. Experimental study on the effects of wetting-drying cycles of compacted loess. Adv. Mater. Res. 2014, 831, 326–330. [Google Scholar] [CrossRef]
- Wei, X.; Zhou, Y.; Chen, X. An Experimental and Numerical Investigation of the Characteristics and Mechanism of Spacing Cracks in Loess Considering the Size Effect. Sustainability 2023, 15, 12482. [Google Scholar] [CrossRef]
- Wu, R.; Zhang, Y.S.; Zhang, J.C.; Zhang, T. Tests on strength properties of fractured loess in Songpan area, western Sichuan. Sci. Technol. Eng. 2019, 19, 236–242. [Google Scholar]
- Tang, D.; Deng, L.; Fan, W.; Yang, Y.; Fang, R. Extension mechanism and failure mode investigation on a fissured loess slope induced by loading. Bull. Eng. Geol. Environ. 2024, 83, 294. [Google Scholar] [CrossRef]
- Hu, Z.; Li, H.; Yin, Y.; Zhang, B.; Zhang, L. Study on the mechanical properties and microstructural evolution of loess under different wet–dry and freeze–thaw coupled cycling paths. Case Stud. Constr. Mater. 2024, 21, e03924. [Google Scholar]
- Su, L.J.; Zhao, Q.; Liu, H.; Qian, W.J.; He, J.T.; Yang, J.X. Swelling and Shrinkage Behaviors and Evolution Law of Crack Morphology of Undisturbed Loess During Wetting-Drying Cycles. J. Tianjin Univ. (Sci. Technol.) 2021, 54, 255–267. [Google Scholar]
- Chen, C.; Wang, L.; Liu, R.; Zhu, P.; Liu, H.; Wang, X.; Yu, J.; Chen, Y. Chloride penetration of concrete exposed to dry-wet cycle with various dry-wet ratios and temperature. Constr. Build. Mater. 2023, 400, 132883. [Google Scholar] [CrossRef]
- Li, J.; Chen, H.; Gao, X.; Ding, Q.; Shan, W.; Guo, H.; Zhuo, J. Cracks evolution and micro mechanism of compacted clay under wet-dry cycles and wet-dry-freeze-thaw cycles. Cold Reg. Sci. Technol. 2023, 214, 103944. [Google Scholar] [CrossRef]
- Rapin, W.; Dromart, G.; Clark, B.C.; Schieber, J.; Kite, E.S.; Kah, L.C.; Thompon, L.M.; Gasnault, O.; Lasue, J.; Meslin, P.-Y.; et al. Sustained wet-dry cycling on early Mars. Nature 2023, 620, 299–302. [Google Scholar] [CrossRef] [PubMed]
- Wanjun, Y.; Yuyu, Z. Effect of Dry-wet Cycle on the Formation of Loess Slope Spalling Hazards. Civ. Eng. J. 2018, 4, 785. [Google Scholar]
- Xu, J.; Hu, K.; Zhou, L.; Li, Y.; Ye, W.; Wang, S. Influence of wet–dry cycles on uniaxial compression behavior of fissured loess. Environ. Earth Sci. 2023, 82, 5. [Google Scholar] [CrossRef]
- Dong, Q.; Sun, X.; Lei, N.; Liu, B. Effect of Dry–Wet Cycling on the Degradation Characteristics and Mechanisms of Red Sandstone. Geofluids 2023, 2023, 9950331. [Google Scholar] [CrossRef]
- Xu, J.; Wu, Z.; Chen, H.; Shao, L.; Zhou, X.; Wang, S. Influence of dry-wet cycles on the strength behavior of basalt-fiber reinforced loess. Eng. Geol. 2022, 302, 106645. [Google Scholar] [CrossRef]
- Mu, Q.Y.; Dong, H.; Liao, H.J.; Zhou, C.; Li, S.B.; Zhang, J.W. Effects of in situ wetting–drying cycles on the mechanical behaviour of an intact loess. Can. Geotech. J. 2022, 59, 1281–1284. [Google Scholar] [CrossRef]
- Kong, L.; Sayem, H.M.; Tian, H. Influence of drying–wetting cycles on soil-water characteristic curve of undisturbed granite residual soils and microstructure mechanism by nuclear magnetic resonance (NMR) spin-spin relaxation time (T 2) relaxometry. Can. Geotech. J. 2018, 55, 208–216. [Google Scholar] [CrossRef]
- Gao, H.T. Multi-scale research on crack propagation of loess under dry-wet cycles. J. Liaoning Tech. Univ. (Nat. Sci.) 2023, 42, 53–60. [Google Scholar]
- Qin, P.; Liu, Y.; Yan, Q.; Xuan, L. Effect of cycles of drying at high temperature and wetting at ambient temperature on volume change and electrical resistivity behaviors of compacted loess. J. Eng. Geol. 2023, 31, 358–367. [Google Scholar]
- Zhao, Y.; Zhang, H.; Wang, G.; Yang, Y.; Ouyang, M. Development Characteristics and Mechanism of Crack in Expansive Soil under Wet–Dry Cycling. Appl. Sci. 2024, 14, 6499. [Google Scholar] [CrossRef]
- Hou, J.; Li, J.; Zhao, L. Experimental study on seepage-stress coupling failure characteristics and fracture fractal characteristics of cemented gangue-fly ash backfill with defects. Theor. Appl. Fract. Mech. 2022, 122, 103658. [Google Scholar] [CrossRef]
- Zhang, J.; Xu, A.; Zhao, C.; Wang, W.; Jiang, Y.; Vandeginste, V.; Xue, Z.; Guo, Y.; Miao, H. A new parameter for characterizing pore-fracture structure heterogeneity: Fractal dimension based on the mercury extrusion curve. Front. Earth Sci. 2024; Advance online publication. [Google Scholar] [CrossRef]
- Ma, G.; Ma, C.; Chen, Y. An investigation of nonlinear flow behaviour along rough-walled fractures considering the effects of fractal dimensions and contact areas. J. Nat. Gas Sci. Eng. 2022, 104, 104675. [Google Scholar] [CrossRef]
- Wu, X.; Wang, F. Research on the Capacity of Shale Fracture Network based on Fractal Dimension. J. Phys. Conf. Ser. 2023, 2651, 012081. [Google Scholar] [CrossRef]
- Liu, T.; Li, Y.; Chen, Z.; Zhang, J.; Lyu, L.; Pei, J. Damage evolution in asphalt mixtures based on in-situ CT scanning. Constr. Build. Mater. 2024, 438, 137266. [Google Scholar] [CrossRef]
- Maity, R.; Singh, A.; Paul, S.K. An innovative approach to planar mixed-mode fatigue crack growth study. Int. J. Fatigue 2024, 184, 108316. [Google Scholar] [CrossRef]
- Gao, D.Z. Revisions of the Code for Investigation of Geotechnical Engineering (GB50021-2001). J. Build. Struct. 2012, 62–65. [Google Scholar]
- Sun, Y.; Yu, C.; Jiang, S.; Chen, Y.; Wang, Z.; Duan, S.; Xie, J. Disintegration behaviors of red clay under wet-dry cycles. J. Rock Mech. Geotech. Eng. 2024, 09, 005. [Google Scholar]
- Liu, C.; Tang, C.S.; Shi, B.; Suo, W.B. Automatic quantification of crack patterns by image processing. Comput. Geosci. 2013, 57, 77–80. [Google Scholar] [CrossRef]
- Ajayi, K.M.; Shahbazi, K.; Tukkaraja, P.; Katzenstein, K. Estimation of radon diffusivity tensor for fractured rocks in cave mines using a discrete fracture network model. J. Environ. Radioact. 2019, 196, 104–112. [Google Scholar] [CrossRef]
- Zhang, J.; Xia, Y.; Zhao, C.; He, Y. Tight carbonate reservoir evaluation case study based on neural network assisted fracture identification and analytic hierarchy process. J. Pet. Explor. Prod. Technol. 2024, 14, 1825–1842. [Google Scholar] [CrossRef]
- Xu, H.; Tang, S.; Wang, J.; Dong, B.; Wang, X.; Zhao, K.; Zhu, Y.; Geng, J. Rock fracture identification algorithm based on the confidence score and non-maximum suppression. Bull. Eng. Geol. Enviroan. 2024, 83, 1–20. [Google Scholar] [CrossRef]
- Xie, J.; Hao, X.; Zhang, Y.; Zhang, J.; Xia, Y.; He, Y. Fracture identification and characteristics of carbonate underground gas storage: An example from the eastern area of Sulige gas field, ordos Basin, China. Sci. Rep. 2023, 13, 22446. [Google Scholar] [CrossRef]
- Zhang, Y.; Ma, J.; Wang, Y.; Wang, Y.; Wang, F.; Li, X.; Zhao, L. Quantification of the Fracture Complexity of Shale Cores After Triaxial Fracturing. Front. Earth Sci. 2022, 10, 863773. [Google Scholar] [CrossRef]
- Lim, M.; Kartiwa, A.; Napitupulu, H. Estimation of Citarum Watershed Boundary’s Length Based on Fractal’s Power Law by the Modified Box-Counting Dimension Algorithm. Mathematics 2023, 11, 384. [Google Scholar] [CrossRef]
- Bermudez-Edo, M.; Barnaghi, P.; Moessner, K. Analysing real world data streams with spatio-temporal correlations: Entropy vs. Pearson correlation. Autom. Constr. 2018, 88, 87–100. [Google Scholar] [CrossRef]
- Lissa, V.J.C.; Clapper, B.E.; Kuiper, R. A tutorial on aggregating evidence from conceptual replication studies using the product Bayes factor. Res. Synth. Methods 2024, 15, 1231–1243. [Google Scholar] [CrossRef]
- Kass, R.E.; Raftery, A.E. Bayes factors. J. Am. Stat. Assoc. 1995, 90, 773–795. [Google Scholar] [CrossRef]
- Wei, Z.; Zhou, W.; Xu, P.; Lei, M.; Yao, H. The arsenic determination in glass beads for pavement marking by two-factor ANOVA via hydride generation high-resolution continuous light source atomic absorption spectrometry. Constr. Build. Mater. 2025, 458, 139549. [Google Scholar] [CrossRef]
Disclaimer/Publisher’s Note: The statements, opinions and data contained in all publications are solely those of the individual author(s) and contributor(s) and not of MDPI and/or the editor(s). MDPI and/or the editor(s) disclaim responsibility for any injury to people or property resulting from any ideas, methods, instructions or products referred to in the content. |
© 2025 by the authors. Licensee MDPI, Basel, Switzerland. This article is an open access article distributed under the terms and conditions of the Creative Commons Attribution (CC BY) license (https://creativecommons.org/licenses/by/4.0/).










