Numerical Investigation of Flow Around Partially and Fully Vegetated Submerged Spur Dike
Abstract
1. Introduction
2. Methodology
2.1. Experimental Setup

2.2. Numerical Modeling
2.2.1. Governing Equations
2.2.2. Modeling Setup
2.3. Simulation Setup
3. Results and Discussion
3.1. Model Validation
3.2. Velocity Distribution Profiles
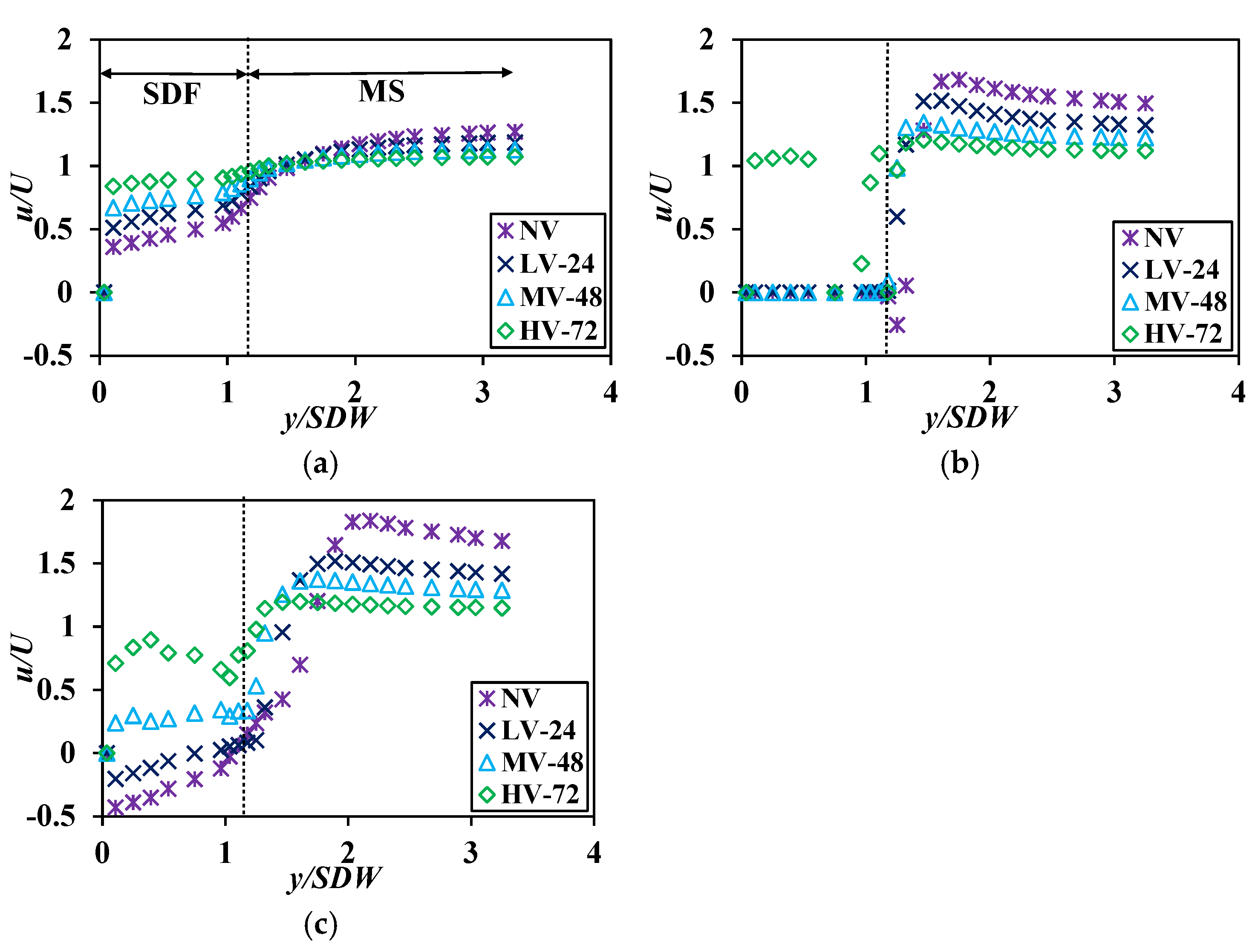
3.2.1. Depth-Averaged Streamwise Velocity Distribution
3.2.2. Flow Structure and Velocity Contours
3.3. Turbulence Characteristics
3.3.1. Reynold Stresses
3.3.2. Turbulent Kinetic Energy
4. Discussion
5. Conclusions
Author Contributions
Funding
Data Availability Statement
Conflicts of Interest
References
- Asghar, M.; Pasha, G.A.; Ghani, U.; Iqbal, S.; Jameel, M.S. Investigating multiple debris impact load and role of vegetation in protection of house model during floods. In Proceedings of the 2nd Conference on Sustainability in Civil Engineering, Virtual, 2 August 2020. [Google Scholar]
- Brevis, W.; García-Villalba, M.; Niño, Y. Experimental and large eddy simulation study of the flow developed by a sequence of lateral obstacles. Environ. Fluid Mech. 2014, 14, 873–893. [Google Scholar] [CrossRef]
- Haider, R.; Qiao, D.; Yan, J.; Ning, D.; Pasha, G.A.; Iqbal, S. Flow Characteristics Around Permeable Spur Dike with Different Staggered Pores at Varying Angles. Arab. J. Sci. Eng. 2022, 47, 5219–5236. [Google Scholar] [CrossRef]
- Pasha, G.A.; Ghumman, A.R.; Naseer, M.J.; Iqbal, S.; Ahmed, A. Flow Characteristics in a Two-Stage Vegetated Compound Trapezoidal Channel. Iran. J. Sci. Technol. Trans. Civ. Eng. 2023, 47, 505–517. [Google Scholar] [CrossRef]
- Iqbal, S.; Siddique, M.; Hamza, A.; Murtaza, N.; Pasha, G.A. Computational analysis of fluid dynamics in open channel with the vegetated spur dike. Innov. Infrastruct. Solut. 2024, 9, 345. [Google Scholar] [CrossRef]
- Okamoto, T.; Okazaki, T.; Takenaka, M.; Sanjou, M.; Toda, K. Experimental Study on Horse Shoe Vortex and Coherent Vortex around Vegetated Groyne. J. Jpn. Soc. Civ. Eng. Ser. A2 (Appl. Mech. (AM)) 2018, 74, I_431–I_438. [Google Scholar]
- Pandey, M.; Ahmad, Z.; Sharma, P.K. Scour around impermeable spur dikes: A review. ISH J. Hydraul. Eng. 2018, 24, 25–44. [Google Scholar] [CrossRef]
- Azinfar, H.; Kells, J.A. Drag force and associated backwater effect due to an open channel spur dike field. J. Hydraul. Res. 2011, 49, 248–256. [Google Scholar] [CrossRef]
- Shampa; Hasegawa, Y.; Nakagawa, H.; Takebayashi, H.; Kawaike, K. Three-dimensional flow characteristics in slit-type permeable spur dike fields: Efficacy in riverbank protection. Water 2020, 12, 964. [Google Scholar] [CrossRef]
- Kuhnle, R.A.; Jia, Y.; Alonso, C.V. Measured and Simulated Flow near a Submerged Spur Dike. J. Hydraul. Eng. 2008, 134, 916–924. [Google Scholar] [CrossRef]
- Radan, P.; Vaghefi, M. Flow and scour pattern around submerged and non-submerged T-shaped spur dikes in a 90° bend using the SSIIM model. Int. J. River Basin Manag. 2016, 14, 219–232. [Google Scholar] [CrossRef]
- Anjum, N.; Iqbal, S.; Tanaka, N. Impact of floating vegetation island on velocity distribution in open channel flow. Model. Earth Syst. Environ. 2023, 10, 1631–1645. [Google Scholar] [CrossRef]
- Safie, O.; Tominaga, A. EEffects of pile density and arrangement on flow characteristics and sediment deposition around a pile-group dike. J. Jpn. Soc. Civ. Eng. Ser. A2 (Applied Mech. (AM)) 2019, 75, I_487–I_498. [Google Scholar] [CrossRef]
- Iimura, K.; Tanaka, N. Numerical simulation estimating effects of tree density distribution in coastal forest on tsunami mitigation. Ocean Eng. 2012, 54, 223–232. [Google Scholar] [CrossRef]
- Scheres, B.; Schüttrumpf, H. Investigating the erosion resistance of different vegetated surfaces for ecological enhancement of sea dikes. J. Mar. Sci. Eng. 2020, 8, 519. [Google Scholar] [CrossRef]
- Xiang, K.; Yang, Z.; Wu, S.; Gao, W.; Li, D.; Li, Q. Flow hydrodynamics of the mixing layer in consecutive vegetated groyne fields. Phys. Fluids 2020, 32, 065110. [Google Scholar] [CrossRef]
- Sukhodolov, A.N. Hydrodynamics of groyne fields in a straight river reach: Insight from field experiments. J. Hydraul. Res. 2014, 52, 105–120. [Google Scholar] [CrossRef]
- Fukuoka, S.; Watanabe, A.; Ohashi, M.; Himeno, Y. Possibility of the use of Vegetation groin. Proc. Hydraul. Eng. 1997, 41, 1129–1132. [Google Scholar] [CrossRef]
- Wang, C.; Zheng, S.; Wang, P.; Hou, J. Interactions between vegetation, water flow and sediment transport: A review. J. Hydrodyn. 2015, 27, 24–37. [Google Scholar] [CrossRef]
- Davis, M.M.; Mitchell, W.A.; Wakeley, J.S.; Fischenich, J.C.; Craft, M.M. Environmental Value of Riparian Vegetation; US Army Corps of Engineers, Waterways Experiment Station [Environmental Laboratory]: Vicksburg, MS, USA, 1996. [Google Scholar]
- Nepf, H.; Ghisalberti, M. Flow and transport in channels with submerged vegetation. Acta Geophys. 2008, 56, 753–777. [Google Scholar] [CrossRef]
- Wilson, C.; Stoesser, T.; Bates, P.D.; Pinzen, A.B. Open Channel Flow through Different Forms of Submerged Flexible Vegetation. J. Hydraul. Eng. 2003, 129, 847–853. [Google Scholar] [CrossRef]
- Iqbal, S.; Tanaka, N. Experimental Study on Flow Characteristics and Energy Reduction Around a Hybrid Dike. Int. J. Civ. Eng. 2023, 21, 1045–1059. [Google Scholar] [CrossRef]
- Malalasekera, W.; Versteeg, H. An Introduction to Computational Fluid Dynamics: The Finite Volume Method; Pearson Education India: Delhi, India, 2007. [Google Scholar]
- Gu, Z.; Cao, X.; Jiao, Y.; Lu, W.-Z. Appropriate CFD Models for Simulating Flow around Spur Dike Group along Urban Riverways. Water Resour. Manag. 2016, 30, 4559–4570. [Google Scholar] [CrossRef]
- Takemura, T.; Tanaka, N. Flow structures and drag characteristics of a colony-type emergent roughness model mounted on a flat plate in uniform flow. Fluid Dyn. Res. 2007, 39, 694–710. [Google Scholar] [CrossRef]
- Wu, W.; Asce, M.; Kang, J.; Yeo, H.; Kuhnle, R.A.; Alonso, C.V.; Shields, F.D.; Chamani, R.; Rajaratnam, N.; Beirami, M.K.; et al. Ghani, three-dimensional computation of flow around groyne By Sylvain Ouillon 1 and Denis Dartus 2. J. Hydraul. Eng. 2011, 18, 97–105. [Google Scholar] [CrossRef]
- Chanson, H. Hydraulics of Open Channel Flow; Elsevier: Amsterdam, The Netherlands, 2004. [Google Scholar]
- Nandhini, D.; Murali, K.; Harish, S.; Schüttrumpf, H.; Heins, K.; Gries, T. A state-of-the-art review of normal and extreme flow interaction with spur dikes and its failure mechanism. Phys. Fluids 2024, 36, 051301. [Google Scholar] [CrossRef]
- Hakim, M.; Yarahmadi, M.B.; Kashefipour, S.M. Use of spur dikes with different permeability levels for protecting bridge abutment against local scour under unsteady flow conditions. Can. J. Civ. Eng. 2022, 49, 1842–1854. [Google Scholar] [CrossRef]
- Iqbal, S.; Tanaka, N. Hydraulic performance assessment of various submerged pile designs around an emerged dike. Water Sci. Eng. 2024, 17, 406–416. [Google Scholar] [CrossRef]
- Shiono, K.; Knight, D.W. Turbulent open-channel flows with variable depth across the channel. J. Fluid Mech. 1991, 222, 617–646. [Google Scholar] [CrossRef]
- Tominaga, A.; Safie, O.; Komura, H. Flow structures around laterally and vertically hybrid spur dike. In River Flow, 2020; CRC Press: Boca Raton, FL, USA, 2020; pp. 185–193. [Google Scholar]
- Zhang, H.; Nakagawa, H. Characteristics of local flow and bed deformation at impermeable and permeable spur dykes. Annu. J. Hydraul. Eng. JSCE 2009, 53, 145–150. [Google Scholar]
- Ahmed, H.; Hasan, M.; Tanaka, N. Analysis of flow around impermeable groynes on one side of symmetrical compound channel: An experimental study. Water Sci. Eng. 2010, 3, 56–66. [Google Scholar]
- Zey, S.; Nowroozpour, A.; Lachhab, A.; Martinez, E.; Ettema, R. Wall-Porosity Effects on Sediment Deposition and Scour at a Deflector Wall in an Alluvial Channel. J. Hydraul. Eng. 2018, 144, 06018002. [Google Scholar] [CrossRef]
- Nakamura, M.; Shiraishi, H.; Sasaki, Y. Wave damping effect of submerged dike. In Coastal Engineering; American Society of Civil Engineers: Reston, VA, USA, 1966; pp. 254–267. [Google Scholar]
- Qin, J.; Zhong, D.; Wu, T.; Wu, L. Sediment Exchange Between Groin Fields and Main-Stream. Adv. Water Resour. 2017, 108, 44–54. [Google Scholar] [CrossRef]
- Wu, T.; Qin, J. Influence of Flow and Sediment Transport Processes on Sedimentation in Groyne Fields. J. Coast. Res. 2020, 95, 304–308. [Google Scholar] [CrossRef]
- Molinas, A.; Kheireldin, K.; Wu, B. Shear Stress around Vertical Wall Abutments. J. Hydraul. Eng. 1998, 124, 822–830. [Google Scholar] [CrossRef]
- Mohammed, A.; Pervin, R. Hasan, M.Z. Effect of Various Groins in a Series on Channel Bed Morphology: An Experimental Investigation. Stavební Obz.-Civ. Eng. 2022, 31, 211–221. [Google Scholar] [CrossRef]
- Aziz, P.; Kadota, A. Experimental Study of Morphological Changes and Flow Structure around the Vegetated Groyne. Int. J. Adv. Sci. Eng. Inf. Technol. 2018, 8, 99–107. [Google Scholar] [CrossRef]














| Cases | Pr (%) | VH (cm) | SDH (cm) | Spur Dike Condition |
|---|---|---|---|---|
| NV | 0 | 0 | 8 | Emerged |
| LV-24 | 24 | 2 | 6 | submerged |
| MV-48 | 48 | 4 | 4 | submerged |
| HV-72 | 72 | 6 | 2 | submerged |
| Locations | RMSE | |
|---|---|---|
| S1 | 0.93 | 0.321 |
| S2 | 0.91 | 0.345 |
| Cases | Velocity | Stress | Turbulence |
|---|---|---|---|
| NV | Stable upstream but significant recirculation downstream leads to high-velocity gradients. | High normal stresses and negative shear stresses downstream due to recirculation. | High turbulence downstream is caused by impermeable design. |
| LV-24 | Moderate velocities with smoother transitions, reducing localized erosion. | Reduced stress levels at critical points, minimizing erosion risks. | Moderate turbulence with effective momentum exchange and erosion control. |
| MV-48 | Controlled velocity profiles with balanced energy dissipation and smooth flow transitions. | Significant stress reduction while maintaining stable flow conditions. | Controlled turbulence provides optimal energy dissipation and stability. |
| HV-72 | High downstream velocities due to reduced resistance, compromise erosion control. | Lowest stress levels overall, but increased risks of downstream scouring. | Reduced turbulence but insufficient control over downstream sediment transport. |
Disclaimer/Publisher’s Note: The statements, opinions and data contained in all publications are solely those of the individual author(s) and contributor(s) and not of MDPI and/or the editor(s). MDPI and/or the editor(s) disclaim responsibility for any injury to people or property resulting from any ideas, methods, instructions or products referred to in the content. |
© 2025 by the authors. Licensee MDPI, Basel, Switzerland. This article is an open access article distributed under the terms and conditions of the Creative Commons Attribution (CC BY) license (https://creativecommons.org/licenses/by/4.0/).
Share and Cite
Iqbal, S.; Haider, R.; Pasha, G.A.; Zhao, L.; Abbas, F.M.; Anjum, N.; Murtaza, N.; Abbas, Z. Numerical Investigation of Flow Around Partially and Fully Vegetated Submerged Spur Dike. Water 2025, 17, 435. https://doi.org/10.3390/w17030435
Iqbal S, Haider R, Pasha GA, Zhao L, Abbas FM, Anjum N, Murtaza N, Abbas Z. Numerical Investigation of Flow Around Partially and Fully Vegetated Submerged Spur Dike. Water. 2025; 17(3):435. https://doi.org/10.3390/w17030435
Chicago/Turabian StyleIqbal, Sohail, Rizwan Haider, Ghufran Ahmed Pasha, Lun Zhao, Fakhar Muhammad Abbas, Naveed Anjum, Nadir Murtaza, and Zeshan Abbas. 2025. "Numerical Investigation of Flow Around Partially and Fully Vegetated Submerged Spur Dike" Water 17, no. 3: 435. https://doi.org/10.3390/w17030435
APA StyleIqbal, S., Haider, R., Pasha, G. A., Zhao, L., Abbas, F. M., Anjum, N., Murtaza, N., & Abbas, Z. (2025). Numerical Investigation of Flow Around Partially and Fully Vegetated Submerged Spur Dike. Water, 17(3), 435. https://doi.org/10.3390/w17030435

