Contrasting Changes in Lake Ice Thickness and Quality Due to Global Warming in the Arctic, Temperate, and Arid Zones and Highlands of Eurasia
Abstract
1. Introduction
2. Materials and Methods
2.1. Study Sites and Weather Data Analysis
2.2. Ice Phenology Data Analysis
2.3. Field Ice Thickness and Ice Cover Composition Research Methods
3. Results
3.1. Weather Conditions
3.2. Ice Phenology and Maximum Ice Thickness
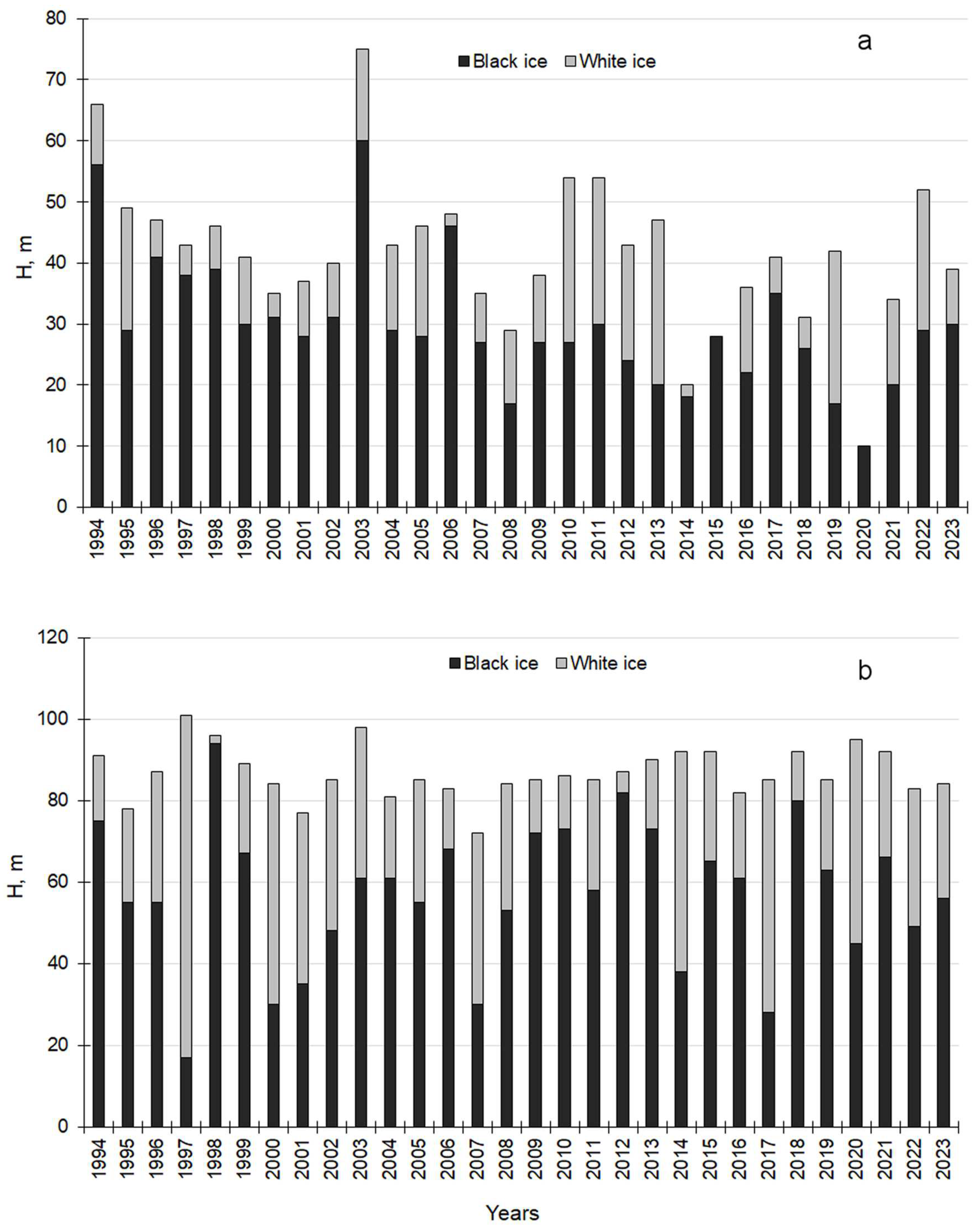
3.3. Ice Cover Composition
4. Discussion
4.1. Regional Climate Variability and Ice Phenology
4.2. Regional Climate Variability and Ice Cover Thickness and Composition
5. Conclusions
Supplementary Materials
Author Contributions
Funding
Data Availability Statement
Acknowledgments
Conflicts of Interest
References
- Hampton, S.E.; Galloway, A.W.E.; Powers, S.M.; Ozersky, T.; Woo, K.H.; Batt, R.D.; Labou, S.G.; O’Reilly, C.M.; Sharma, S.; Lottig, N.R.; et al. Ecology under lake ice. Ecol. Lett. 2017, 20, 98–111. [Google Scholar] [CrossRef] [PubMed]
- Hampton, S.E.; Powers, S.M.; Dugan, H.A.; Knoll, L.B.; McMeans, B.C.; Meyer, M.F.; O’Reilly, C.M.; Ozersky, T.; Sharma, S.; Barrett, D.C.; et al. Environmental and societal consequences of winter ice loss from lakes. Sciences 2024, 386, 6718. [Google Scholar] [CrossRef] [PubMed]
- Knoll, L.B.; Sharma, S.; Denfeld, B.A.; Flaim, G.; Hori, Y.; Magnuson, J.J.; Straile, D.; Weyhenmeyer, G.A. Consequences of lake and river ice loss on cultural ecosystem services. Limnol. Oceanogr. Lett. 2019, 4, 119–131. [Google Scholar] [CrossRef]
- Jansen, J.; MacIntyre, S.; Barrett, D.C.; Chin, Y.P.; Cortés, A.; Forrest, A.L.; Hrycik, A.R.; Martin, R.; McMeans, B.C.; Rautio, M.; et al. Winter limnology: How do hydrodynamics and biogeochemistry shape ecosystems under ice? J. Geophys. Res. Biogeosci. 2021, 126, e2020JG006237. [Google Scholar] [CrossRef]
- Weyhenmeyer, G.A.; Obertegger, U.; Rudebeck, H.; Jakobsson, E.; Jansen, J.; Zdorovennova, G.; Bansal, S.; Block, B.D.; Carey, C.C.; Doubek, J.P.; et al. Towards critical white ice conditions in lakes under global warming. Nat. Commun. 2022, 13, 4974. [Google Scholar] [CrossRef]
- Culpepper, J.; Jakobsson, E.; Weyhenmeyer, G.A.; Hampton, S.E.; Obertegger, U.; Shchapov, K.; Woolway, R.I.; Sharma, S. Lake ice quality in a warming world. Nat. Rev. Earth Environ. 2024, 5, 671–685. [Google Scholar] [CrossRef]
- Kirillin, G.; Leppäranta, M.; Terzhevik, A.; Granin, N.; Bernhardt, J.; Engelhardt, C.; Efremova, T.; Golosov, S.; Palshin, N.; Sherstyankin, P.; et al. Physics of seasonally ice-covered lakes: A review. Aquat. Sci. 2012, 74, 659–682. [Google Scholar] [CrossRef]
- Leppäranta, M. Freezing of Lake and Evolution of Their Ice Cover; Springer: Berlin/Heidelberg, Germany, 2015. [Google Scholar]
- Cao, X.; Lu, P.; Leppäranta, M.; Arvola, L.; Huotari, J.; Shi, X.; Li, G.; Li, Z. Solar radiation transfer for an ice-covered lake in the central Asian arid climate zone. Inland Waters 2020, 11, 89–103. [Google Scholar] [CrossRef]
- Huang, W.; Zhang, Z.; Li, Z.; Leppäranta, M.; Arvola, L.; Song, S.; Huotari, J.; Lin, Z. Under-ice dissolved oxygen and metabolism dynamics in a shallow lake: The critical role of ice and snow. Water Resour. Res. 2021, 57, e2020WR027990. [Google Scholar] [CrossRef]
- Livingstone, D.M. Break-up dates of Alpine lakes as proxy data for local and regional mean surface air temperatures. Clim. Change 1997, 37, 407–439. [Google Scholar] [CrossRef]
- Magnuson, J.J.; Robertson, D.M.; Benson, B.J.; Wynne, R.H.; Livingstone, D.M.; Arai, T.; Assel, R.A.; Barry, R.G.; Card, V.; Kuusisto, E.; et al. Historical trends in lake and river ice cover in the Northern Hemisphere. Science 2000, 289, 1743–1746. [Google Scholar] [CrossRef] [PubMed]
- Prowse, T.; Alfredsen, K.; Beltaos, S.; Bonsal, B.; Duguay, C.; Korhola, A.; McNamara, J.; Pienitz, R.; Vincent, W.F.; Vuglinsky, V.; et al. Past and Future Changes in Arctic Lake and River Ice. Ambio 2011, 40 (Suppl. 1), 53–62. [Google Scholar] [CrossRef]
- Benson, B.J.; Magnuson, J.J.; Jensen, O.P.; Card, V.M.; Hodgkins, G.; Korhonen, J.; Livingstone, D.M.; Stewart, K.M.; Weyhenmeyer, G.A.; Granin, N.G. Extreme events, trends, and variability in Northern Hemisphere lake-ice phenology (1855–2005). Clim. Change 2012, 112, 299–323. [Google Scholar] [CrossRef]
- Efremova, T.; Palshin, N.; Zdorovennov, R. Long-term characteristics of ice phenology in Karelian lakes. Est. J. Earth Sci. 2013, 62, 33–41. [Google Scholar] [CrossRef]
- Sharma, S.; Magnuson, J.J. Oscillatory dynamics do not mask linear trends in the timing of ice breakup for Northern Hemisphere lakes from 1855 to 2004. Clim. Change 2014, 124, 835–847. [Google Scholar] [CrossRef]
- Karetnikov, S.G. Manifestation of climatic change in the ice phenology of Lake Ladoga over the past 55 years. Ice Snow 2021, 61, 241–247. [Google Scholar]
- Sharma, S.; Blagrave, K.; Magnuson, J.J.; O’reilly, C.M.; Oliver, S.; Batt, R.D.; Magee, M.R.; Straile, D.; Weyhenmeyer, G.A.; Winslow, L.; et al. Widespread loss of lake ice around the Northern Hemisphere in a warming world. Nat. Clim. Change 2019, 9, 227–231. [Google Scholar] [CrossRef]
- Sharma, S.; Richardson, D.C.; Woolway, R.I.; Imrit, M.A.; Bouffard, D.; Blagrave, K.; Daly, J.; Filazzola, A.; Granin, N.; Korhonen, J.; et al. Loss of ice cover, shifting phenology, and more extreme events in Northern Hemisphere Lakes. J. Geophys. Res. Biogeosci. 2021, 126, e2021JG006348. [Google Scholar] [CrossRef]
- Leppäranta, M.; Wen, L. Ice phenology in Eurasian lakes over spatial location and altitude. Water 2022, 14, 1037. [Google Scholar] [CrossRef]
- Kropáček, J.; Maussion, F.; Chen, F.; Hoerz, S.; Hochschild, V. Analysis of ice phenology of lakes on the Tibetan Plateau from MODIS data. Cryosphere 2013, 7, 287–301. [Google Scholar] [CrossRef]
- Wang, X.; Qiu, Y.; Zhang, Y.; Lemmetyinen, J.; Cheng, B.; Liang, W.; Leppäranta, M. A lake ice phenology dataset for the Northern Hemisphere based on passive microwave remote sensing. Big Earth Data 2021, 6, 401–419. [Google Scholar] [CrossRef]
- Zhang, S.; Pavelsky, T.M.; Arp, C.D.; Yang, X. Remote sensing of lake ice phenology in Alaska. Environ. Res. Lett. 2021, 16, 064007. [Google Scholar] [CrossRef]
- Hou, G.; Yuan, X.; Wu, S.; Ma, X.; Zhang, Z.; Cao, X.; Xie, C.; Ling, Q.; Long, W.; Luo, G. Phenological Changes and Driving Forces of Lake Ice in Central Asia from 2002 to 2020. Remote Sens. 2022, 14, 4992. [Google Scholar] [CrossRef]
- Tuttle, S.E.; Roof, S.R.; Retelle, M.J.; Werner, A.; Gunn, G.E.; Bunting, E.L. Evaluation of Satellite-Derived Estimates of Lake Ice Cover Timing on Linnévatnet, Kapp Linné, Svalbard Using In-Situ Data. Remote Sens. 2022, 14, 1311. [Google Scholar] [CrossRef]
- Korhonen, J. Long-term changes in lake ice cover in Finland. Nord. Hydrol. 2006, 37, 347–363. [Google Scholar] [CrossRef]
- Karetnikov, S.G.; Naumenko, M.A. Recent trends in Lake Ladoga ice cover. Hydrobiologia 2008, 599, 41–48. [Google Scholar] [CrossRef]
- Ohata, Y.; Toyota, T.; Shiraiwa, T. Lake ice formation processes and thickness evolution at Lake Abashiri, Hokkaido, Japan. J. Glaciol. 2016, 62, 563–578. [Google Scholar] [CrossRef]
- Ohata, Y.; Toyota, T.; Fraser, A.D. The role of snow in the thickening processes of lake ice at Lake Abashiri, Hokkaido, Japan. Tellus A Dyn. Meteorol. Oceanogr. 2017, 69, 1391655. [Google Scholar] [CrossRef][Green Version]
- Zdorovennova, G.; Palshin, N.; Efremova, T.; Zdorovennov, R.; Gavrilenko, G.; Volkov, S.; Bogdanov, S.; Terzhevik, A. Albedo of a Small Ice-Covered Boreal Lake: Daily, Meso-Scale and Interannual Variability on the Background of Regional Climate. Geosciences 2018, 8, 206. [Google Scholar] [CrossRef]
- Ariano, S.S.; Brown, L.C. Ice processes on medium-sized north-temperate lakes. Hydrol. Process. 2019, 33, 2434–2448. [Google Scholar] [CrossRef]
- Vikström, K.; Weyhenmeyer, G.; Jakobsson, E.; Peternell, M. Rapid lake ice structure changes across Swedish lakes puts public ice safety at risk. Ambio 2024, 54, 122–134. [Google Scholar] [CrossRef]
- Ashton, G.D. River and lake ice thickening, thinning, and snow ice formation. Cold Reg. Sci. Technol. 2011, 68, 3–19. [Google Scholar] [CrossRef]
- Kirillin, G.B.; Shatwell, T.; Wen, L. Ice-Covered Lakes of Tibetan Plateau as Solar Heat Collectors. Geophys. Res. Lett. 2021, 48, e2021GL093429. [Google Scholar] [CrossRef]
- Petrov, M.P.; Terzhevik, A.Y.; Palshin, N.I.; Zdorovennov, R.E.; Zdorovennova, G.E. Absorption of solar radiation by snow-and-ice cover of lakes. Water Resour. 2005, 32, 496–504. [Google Scholar] [CrossRef]
- Leppäranta, M. A growth model for black ice, snow ice and snow thickness in subarctic basins. Nord. Hydrol. 1983, 14, 59–70. [Google Scholar] [CrossRef]
- Jin, H.; Yao, X.; Wei, Q.; Zhou, S.; Zhang, Y.; Chen, J.; Yu, Z. Ice Thickness Assessment of Non-Freshwater Lakes in the Qinghai–Tibetan Plateau Based on Unmanned Aerial Vehicle-Borne Ice-Penetrating Radar: A Case Study of Qinghai Lake and Gahai Lake. Remote Sens. 2024, 16, 959. [Google Scholar] [CrossRef]
- Novikova, I.S.; Ryazantsev, P.A.; Dvornikov, Y.A. Survey of ice-cover structure and sediment parameters of Lake Imandra by ground-penetrating radar. Trans. Karelian Res. Centre RAS 2023, 6, 23–31. [Google Scholar]
- Marko, J.R.; Jasek, M. Sonar detection and measurements of ice in a freezing river I: Methods and data characteristics. Cold Reg. Sci. Technol. 2010, 63, 121–134. [Google Scholar] [CrossRef]
- Wang, C.; Shirasawa, K.; Leppäranta, M.; Ishikawa, M.; Huttunen, O.; Takatsuka, T. Solar radiation and ice heat budget during winter 2002–2003 in Lake Pääjärvi, Finland. Verh. Internat. Verein Limnol. 2005, 29, 414–417. [Google Scholar] [CrossRef]
- Aslamov, I.; Kirillin, G.; Makarov, M.; Kucher, K.; Gnatovsky, R.; Granin, N. Autonomous System for Lake Ice Monitoring. Sensors 2021, 21, 8505. [Google Scholar] [CrossRef]
- Rafat, A.; Pour, H.K.; Spence, C.; Palmer, M.J.; MacLean, A. An analysis of ice growth and temperature dynamics in two Canadian subarctic lakes. Cold Reg. Sci. Technol. 2023, 210, 103808. [Google Scholar] [CrossRef]
- Bogdanov, S.; Palshin, N.; Zdorovennov, R.; Efremova, T.; Smirnov, S.; Zdorovennova, G. Calculation of Black Ice Thickness and Heat Fluxes inside the Ice and at the Water–Ice Boundary in a Boreal Lake. Limnol. Rev. 2023, 23, 138–156. [Google Scholar] [CrossRef]
- All-Russian Scientific Research Institute of Hydrometeorological Information—World Data Center (VNIIGMI-WDC). Available online: http://meteo.ru/data/temperature-precipitation/ (accessed on 23 January 2025).
- Reliable Prognosis. Available online: https://rp5.ru/Weather_in_the_world (accessed on 5 December 2024).
- Weather and Climate. Available online: http://www.pogodaiklimat.ru/ (accessed on 5 December 2024).
- National Weather Data Center of China. Available online: https://data.cma.cn/ (accessed on 4 September 2024).
- Finnish Environment Institute. Available online: https://www.syke.fi/en-US/Open_information (accessed on 5 December 2024).
- Zdorovennova, G.; Palshin, N.; Golosov, S.; Efremova, T.; Belashev, B.; Bogdanov, S.; Fedorova, I.; Zverev, I.; Zdorovennov, R.; Terzhevik, A. Dissolved Oxygen in a Shallow Ice-Covered Lake in Winter: Effect of Changes in Light, Thermal and Ice Regimes. Water 2021, 13, 2435. [Google Scholar] [CrossRef]
- HYDROLARE (International Data Centre on Hydrology of Lakes and Reservoirs). Available online: http://hydrolare.net/ (accessed on 5 December 2024).
- Voskanyan, A.E. (Ed.) Resources Surface Water Resources of the USSR; Main hydrological characteristics (for 1963–1970 and the entire observation period). Vol. 9 “Transcaucasia and Dagestan”, iss. 2 “Armenia”; Hydrometeoizdat: Leningrad, Russia, 1976; 274p. (In Russian) [Google Scholar]
- Satellite Imagery Site. Available online: https://eos.com/landviewer (accessed on 5 December 2024).
- Gabrielyan, B.; Khosrovyan, A.; Schultze, M. A review of anthropogenic stressors on Lake Sevan, Armenia. J. Limnol. 2022, 81, 82. [Google Scholar] [CrossRef]
- Shikhani, M.; Feldbauer, J.; Ladwig, R.; Mercado-Bettín, D.; Moore, T.N.; Gevorgyan, A.; Misakyan, A.; Mi, C.; Schultze, M.; Boehrer, B.; et al. Combining a multi-lake model ensemble and a multidomain CORDEX climate data ensemble for assessing climate change impacts on Lake Sevan. Water Resour. Res. 2024, 60, e2023WR036511. [Google Scholar] [CrossRef]
- Leppäranta, M. Ice Phenology and Thickness Modelling for Lake Ice Climatology. Water 2023, 15, 2951. [Google Scholar] [CrossRef]
- Caldwell, T.J.; Chandra, S.; Albright, T.P.; Harpold, A.A.; Dilts, T.E.; Greenberg, J.A.; Sadro, S.; Dettinger, M.D. Drivers and projections of ice phenology in mountain lakes in the western United States. Limnol. Oceanogr. 2021, 66, 995–1008. [Google Scholar] [CrossRef]
- Smits, A.P.; Gomez, N.W.; Dozier, J.; Sadro, S. Winter climate and lake morphology control ice phenology and under-ice temperature and oxygen regimes in mountain lakes. J. Geophys. Res. Biogeosci. 2021, 126, e2021JG006277. [Google Scholar] [CrossRef]
- Brown, L.C.; Duguay, C.R. The response and role of ice cover in lake-climate interactions. Prog. Phys. Geogr. 2010, 34, 671–704. [Google Scholar] [CrossRef]
- Wang, N.; Zhang, Y. Evolution of Eurasian teleconnection pattern and its relationship to climate anomalies in China. Clim. Dyn. 2015, 44, 1017–1028. [Google Scholar] [CrossRef]
- Hurrell, J.W. Decadal trends in the North Atlantic Oscillation: Regional temperature and precipitation. Science 1995, 269, 676–679. [Google Scholar] [CrossRef] [PubMed]
- Trigo, R.M.; Osborn, T.J.; Corte-Real, J. The North Atlantic oscillation influence on Europe: Climate impacts and associated physical mechanisms. Clim. Res. 2002, 20, 9–17. [Google Scholar] [CrossRef]
- Nygård, T.; Tjernström, M.; Naakka, T. Winter thermodynamic vertical structure in the Arctic atmosphere linked to large-scale circulation. Weather Clim. Dyn. 2021, 2, 1263–1282. [Google Scholar] [CrossRef]
- Zyulyaeva, Y.A.; Studholme, J.H.P.; Zveryaev, I.I. Long-Term Changes in Wintertime Temperature Extremes in Moscow and Their Relation to Regional Atmospheric Dynamics. J. Geophys. Res. Atmos. 2018, 124, 92–109. [Google Scholar] [CrossRef]
- Gevorgyan, A. Main types of synoptic processes and circulation types generating heavy precipitation events in Armenia. Meteorol. Atmos. Phys. 2013, 122, 91–102. [Google Scholar] [CrossRef]
- Gong, D.Y.; Ho, C.H. The Siberian High and climate change over middle to high latitude Asia. Theor. Appl. Climatol. 2002, 72, 1–9. [Google Scholar] [CrossRef]
- Skowron, R Changeability of the ice cover on the lakes of northern Poland in the light of climatic changes. Bull. Geogr. Phys. Geogr. Ser. 2009, 1, 103–124. [CrossRef][Green Version]
- Soja, A.-M.; Kutics, K.; Maracek, K.; Molnár, G.; Soja, G. Changes in ice phenology characteristics of two Central European steppe lakes from 1926 to 2012—Influences of local weather and large scale oscillation patterns. Clim. Change 2014, 126, 119–133. [Google Scholar] [CrossRef]
- Hewitt, B.A.; Lopez, L.S.; Gaibisels, K.M.; Murdoch, A.; Higgins, S.N.; Magnuson, J.J.; Paterson, A.M.; Rusak, J.A.; Yao, H.; Sharma, S. Historical trends, drivers, and future projections of ice phenology in small north temperate lakes in the laurentian great lakes region. Water 2018, 10, 70. [Google Scholar] [CrossRef]
- Pawłowski, B. Changes in the course of ice phenomena on Morskie Oko in the Tatra Mountains from 1963 to 2012 and the implications for tourism. Limnol. Rev. 2018, 18, 167–173. [Google Scholar] [CrossRef]
- Cai, Y.; Ke, C.; Li, X.; Zhang, G.; Duan, Z.; Lee, H. Variations of lake ice phenology on the Tibetan Plateau from 2001 to 2017 based on MODIS data. J. Geophys. Res. Atmos. 2019, 124, 825–843. [Google Scholar] [CrossRef]
- Pociask-Karteczka, J.; Nieckarz, Z.; Choiński, A. Long-term changes and periodicity of ice phenomena in the high mountain Lake Morskie Oko (Tatra Mountains, Western Carpathians). J. Mt. Sci. 2022, 19, 3063–3075. [Google Scholar] [CrossRef]
- Basu, A.; Culpepper, J.; Blagrave, K.; Sharma, S. Phenological Shifts in Lake Ice Cover Across the Northern Hemisphere: A Glimpse into the Past, Present, and the Future of Lake Ice Phenology. Water Resour. Res. 2024, 60, e2023WR036392. [Google Scholar] [CrossRef]
- Gevorgyan, A.; Melkonyan, H.; Aleksanyan, T.; Iritsyan, A.; Khalatyan, Y. An assessment of observed and projected temperature changes in Armenia. Arab. J. Geosci. 2016, 9, 27. [Google Scholar] [CrossRef]
- Sabás, I.; Miró, A.; Piera, J.; Catalan, J.; Camarero, L.; Buchaca, T.; Ventura, M. Ice phenology interactions with water and air temperatures in high mountain lakes. Sci. Total Environ. 2024, 941, 173571. [Google Scholar] [CrossRef]
- Beck, H.E.; Zimmermann, N.E.; McVicar, T.R.; Vergopolan, N.; Berg, A.; Wood, E.F. Present and future Köppen-Geiger climate classification maps at 1-km resolution. Sci. Data 2018, 5, 180214. [Google Scholar] [CrossRef]
- Kashulin, N.A.; Bekkelund, A.K. Climate changes and algal bloom in the Arctic Lake Imandra. Interdiscip. J. Basic Appl. Sci. BIOSFERA 2022, 14, 98–125. [Google Scholar] [CrossRef]
- Zhao, W.; Huang, W.; Li, R.; Zhang, J.; Zhang, C.; Li, Z.; Lin, Z. Solar radiation transfer in an ice-covered lake at different snow thicknesses. Hydrol. Sci. J. 2023, 69, 195–206. [Google Scholar] [CrossRef]













| Lake, Region | Coordinates | A.s.l., m | Area, km2 | Volume, km3 | Average/Max Depth, m | Type of Measurements—Years of Measurements |
|---|---|---|---|---|---|---|
| Lake Kilpisjärvi, Finnish Arctic | N 69°03′ E 20°50′ | 473 | 37.3 | 0.727 | 19.5/57 | IT, IC, IPh—1993–2022 |
| Lake Imandra, Murmansk region | N 67°40′ E 33°00′ | 127 | 876 | 11.2 | 16/67 | 1 IT, 2 IC—2021, 2023, 2024 |
| Forest pond no. 1, Karelia | N 62°17′ E 34°01′ | 67 | 0.0069 | No data | 4.9/8.9 | IT, IC—2024 |
| Lake Vendyurskoe, Karelia | N 62°10′ E 33°10′ | 143 | 10.1 | 0.061 | 6.1/12.1 | IT—1995–2000, 2002–2018, 2020–2024 IC—1997, 1999, 2000, 2002–2018, 2020–2024 3 IPh—1994–2024 |
| Forest pond no. 2, Karelia | N 61°44′, E 34°15′ | 157 | 0.012 | No data | No data | IT, IC—2023, 2024 |
| City lake, Karelia | N 61°44′ E 34°26′ | 102.2 | 0.118 | 0.000373 | 3.2/4.6 | IT, IC—2023, 2024 |
| Lake Kroshnozero, Karelia | N 61°40′ E 33°07′ | 94 | 8.9 | 0.0505 | 5.7/12.6 | IT, IC—2021–2024 |
| Lake Vedlozero, Karelia | N 61°33′ E 32°45′ | 76.6 | 57 | 0.407 | 7.0/14.8 | IT, IC—2021–2024 IPh—1950–2021 |
| Lake Pääjärvi, southern Finland | N 61°04′ E 25°08′ | 103 | 13.4 | 0.193 | 14.4/87 | IT, IC, IPh—1993–2022 |
| Mozhaysk Reservoir, Moscow region | N 55°35′ E 35°50′ | 183 | 30.7 | 0.221 | 22.5 | IT—1971–2024 IC—1972, 1983, 1984, 2010, 2011, 2013, 2016, 2019–2024, IPh—1962–2022 |
| Lake Arpi, Armenia | N 41°03′ E 43°37′ | 2022 | 20 | 0.1 | 4.2/8.0 | IPh—1953–1975 (data averaged over the period), 1979, 1982 |
| Lake Ulansuhai, Inner Mongolia | N 40°56′ E 108°52′ | 1019 | 233 (306) | 0.328 | 1.12/2.5 | IC—2021–2023 |
| Lake Sevan, Armenia | N 40°18′ E 45°20′ | 1898 | 1240 | 36.088 | 26.8/79.7 | IPh—1965–1975 (data averaged over the period), 1979, 1982 |
| Weather Station, Lake | Years | Parameter | b | r2 | p |
|---|---|---|---|---|---|
| Kilpisjärvi kyläkeskus Lake Kilpisjärvi | 1979–2024 | Tair December–March | +0.06 °C/year | r2 = 0.14 | p = 0.0108 |
| 1979–2024 | Tair November–April | +0.06 °C/year | r2 = 0.24 | p = 0.0007 | |
| 1979–2024 | FDD | –11.5 °C·day/year | r2 = 0.25 | p = 0.0004 | |
| 1979–2024 | Thaw | +0.20 day/year | r2 = 0.13 | p = 0.0153 | |
| 1979–2024 | Tair < −10 °C | –0.69 day/year | r2 = 0.28 | p = 0.0002 | |
| 1979–2024 | Tair < −20 °C | –0.25 day/year | r2 = 0.13 | p = 0.0180 | |
| 22204 Kovdor Lake Imandra | 1976–2023 | Tair December–March | +0.08 °C/year | r2 = 0.25 | p = 0.0003 |
| 1976–2023 | Tair November–April | +0.08 °C/year | r2 = 0.39 | p = 0.0000 | |
| 1976–2023 | FDD | –14.8 °C·day/year | r2 = 0.43 | p = 0.0000 | |
| 1976–2023 | Thaw | +0.29 day/year | r2 = 0.16 | p = 0.0037 | |
| 1976–2023 | Tair < −10 °C | –0.55 day/year | r2 = 0.19 | p = 0.0018 | |
| 1976–2023 | Tair < −20 °C | –0.32 day/year | r2 = 0.24 | p = 0.0004 | |
| 22820 Petrozavodsk Karelian lakes | 1976–2023 | Tair December–March | +0.07 °C/year | r2 = 0.17 | p = 0.0037 |
| 1976–2023 | Tair November–April | +0.07 °C/year | r2 = 0.24 | p = 0.0004 | |
| 1976–2023 | FDD | –10.4 °C·day/year | r2 = 0.22 | p = 0.0008 | |
| 1976–2023 | Tair < −10 °C | –0.44 day/year | r2 = 0.16 | p = 0.0055 | |
| 1976–2023 | Total precipitation | +0.75 mm/year | r2 = 0.10 | p = 0.0256 | |
| 1950–2023 | Liquid precipitation | +0.30 mm/year | r2 = 0.12 | p = 0.0023 | |
| 27509 Mozhaysk Mozhaysk Reservoir | 1976–2023 | Tair December–March | +0.07 °C/year | r2 = 0.18 | p = 0.0029 |
| 1976–2023 | Tair November–April | +0.06 °C/year | r2 = 0.25 | p = 0.0003 | |
| 1976–2023 | FDD | –9.ºC·day/year | r2 = 0.22 | p = 0.0006 | |
| 1976–2023 | Thaw | +0.38 day/year | r2 = 0.11 | p = 0.0191 | |
| 1976–2023 | Tair < −10 °C | –0.40 day/year | r2 = 0.16 | p = 0.0046 | |
| 1976–2023 | Tair < −20 °C | –0.10 day/year | r2 = 0.08 | p = 0.0457 | |
| 1976–2023 | Liquid precipitation | +0.65 mm/year | r2 = 0.10 | p = 0.0260 | |
| 1950–2023 | Liquid precipitation | +0.57 mm/year | r2 = 0.20 | p = 0.0000 | |
| Lammi Pappila Lake Pääjärvi | 1976–2024 | Tair December–March | +0.08 °C/year | r2 = 0.19 | p = 0.0016 |
| 1976–2024 | Tair November–April | +0.07 °C/year | r2 = 0.26 | p = 0.0002 | |
| 1976–2024 | FDD | –9.5 °C·day/year | r2 = 0.20 | p = 0.0016 | |
| 1976–2024 | Thaw | +0.37 day/year | r2 = 0.11 | p = 0.0223 | |
| 1976–2024 | Tair < −10 °C | −0.42 day/year | r2 = 0.18 | p = 0.0029 | |
| 1976–2024 | Liquid precipitation | +0.87 mm/year | r2 = 0.13 | p = 0.0097 | |
| Mid Urad Lake Ulansuhai | 1976–2024 | Tair December–March | +0.06 °C/year | r2 = 0.37 | p = 0.0000 |
| 1976–2024 | Tair November–April | +0.06 °C/year | r2 = 0.48 | p = 0.0000 | |
| 1976–2024 | FDD | –6.7 °C·day/year | r2 = 0.33 | p = 0.0000 | |
| 1976–2024 | Thaw | +0.63 day/year | r2 = 0.41 | p = 0.0000 | |
| 1976–2024 | Tair < −10 °C | –0.31 day/year | r2 = 0.17 | p = 0.0040 | |
| Amasia Lake Arpi | 1992–2024 | Tair December–March | +0.06 °C/year | r2 = 0.13 | p = 0.0422 |
| 1992–2024 | Tair November–April | +0.06 °C/year | r2 = 0.18 | p = 0.0139 | |
| 2006–2024 | Tair November–April | +0.12 °C/year | r2 = 0.22 | p = 0.0446 | |
| 37717 Sevan Lake Sevan | 1992–2024 | Tair December–March | +0.08 °C/year | r2 = 0.21 | p = 0.0081 |
| 1992–2024 | Tair November–April | +0.07 °C/year | r2 = 0.27 | p = 0.0017 | |
| 2006–2024 | Tair November–April | +0.14 °C/year | r2 = 0.25 | p = 0.0422 |
| Lake | Parameter | Years | b | r2 | p |
|---|---|---|---|---|---|
| Lake Kilpisjärvi | Ice duration | 1993–2022 | −0.58 day/year | r2 = 0.14 | p = 0.0422 |
| Ice-off | 1994–2022 | −0.36 day/year | r2 = 0.14 | p = 0.0403 | |
| Lake Vendyurskoe | Total ice | 1995–2000, 2002–2018, 2020–2024 | −0.52 cm/year | r2 = 0.24 | p = 0.0083 |
| Black ice | 1997, 1999–2000, 2002–2018, 2020–2024 | −0.83 cm/year | r2 = 0.36 | p = 0.0015 | |
| White ice | 1997, 1999–2000, 2002–2018, 2020–2024 | +0.65 cm/year | r2 = 0.18 | p = 0.0266 | |
| Lake Vedlozero | Ice duration | 1950–2021 | −0.33 day/year | r2 = 0.20 | p = 0.0001 |
| 1993–2021 | −0.93 day/year | r2 = 0.24 | p = 0.0061 | ||
| Ice-on | 1950–2020 | +0.22 day/year | r2 = 0.13 | p = 0.0027 | |
| 1993–2021 | +0.54 day/year | r2 = 0.13 | p = 0.0485 | ||
| Ice-off | 1951–2021 | −0.15 day/year | r2 = 0.19 | p = 0.0002 | |
| 1993–2021 | −0.40 day/year | r2 = 0.24 | p = 0.0067 | ||
| Mozhaysk Reservoir | Ice duration | 1961–2021 | −0.50 day/year | r2 = 0.20 | p = 0.0003 |
| 1993–2020 | −1.05 day/year | r2 = 0.22 | p = 0.0110 | ||
| Ice-on | 1961–2020 | +0.36 day/year | r2 = 0.17 | p = 0.0011 | |
| Ice-off | 1962–2023 | −0.14 day/year | r2 = 0.08 | p = 0.0316 | |
| Total ice | 1972–1999, 2003–2017, 2019–2021 | −0.38 cm/year | r2 = 0.24 | p = 0.0006 | |
| Ice-on | 1993–2021 | +0.94 day/year | r2 = 0.14 | p = 0.0417 | |
| Lake Pääjärvi | Total ice | 1994–2022 | −0.58 cm/year | r2 = 0.17 | p = 0.0230 |
| Black ice | 1994–2022 | −0.70 cm/year | r2 = 0.33 | p = 0.0009 |
| Lake—Station | Years | Date of Autumn Ice Events * | Date of Ice-On | Date of Ice-Off |
|---|---|---|---|---|
| Arpi—Shurabad | 1953–1975 average date | 17 November | 23 November | 23 April |
| 1953–1975 earliest date | 25 October 1965 | 25 October 1965 | 8 April 1955 | |
| 1953–1975 latest date | 9 December 1968 | 24 December 1971 | 7 May 1954 | |
| 1978–1979 | 3 November | 13 November | 15 April | |
| 1981–1982 | 5 November | 14 November | 20 April | |
| Sevan peninsula | 1978–1979 | 9 December | no data | 9 March |
| 1981–1982 | 10 January | 24 February | 24 March | |
| Sevan—Shorzha | 1978–1979 | 10 January | no data | 26 March |
| 1981–1982 | 5 February | 21 February | 18 March | |
| Sevan—Dara | 1978–1979 | 13 January | no data | 8 March |
| 1981–1982 | 20 January | 19 February | 20 March | |
| Sevan—Karchaghbyur | 1978–1979 | 8 January | no data | 6 March |
| 1981–1982 | no data | 16 February | 21 March | |
| Sevan—Noraduz | 1978–1979 | 1 January | no data | 12 February |
| 1981–1982 | 21 January | 19 February | 26 March |
Disclaimer/Publisher’s Note: The statements, opinions and data contained in all publications are solely those of the individual author(s) and contributor(s) and not of MDPI and/or the editor(s). MDPI and/or the editor(s) disclaim responsibility for any injury to people or property resulting from any ideas, methods, instructions or products referred to in the content. |
© 2025 by the authors. Licensee MDPI, Basel, Switzerland. This article is an open access article distributed under the terms and conditions of the Creative Commons Attribution (CC BY) license (https://creativecommons.org/licenses/by/4.0/).
Share and Cite
Zdorovennova, G.; Efremova, T.; Novikova, I.; Erina, O.; Sokolov, D.; Denisov, D.; Fedorova, I.; Smirnov, S.; Palshin, N.; Bogdanov, S.; et al. Contrasting Changes in Lake Ice Thickness and Quality Due to Global Warming in the Arctic, Temperate, and Arid Zones and Highlands of Eurasia. Water 2025, 17, 365. https://doi.org/10.3390/w17030365
Zdorovennova G, Efremova T, Novikova I, Erina O, Sokolov D, Denisov D, Fedorova I, Smirnov S, Palshin N, Bogdanov S, et al. Contrasting Changes in Lake Ice Thickness and Quality Due to Global Warming in the Arctic, Temperate, and Arid Zones and Highlands of Eurasia. Water. 2025; 17(3):365. https://doi.org/10.3390/w17030365
Chicago/Turabian StyleZdorovennova, Galina, Tatiana Efremova, Iuliia Novikova, Oxana Erina, Dmitry Sokolov, Dmitry Denisov, Irina Fedorova, Sergei Smirnov, Nikolay Palshin, Sergey Bogdanov, and et al. 2025. "Contrasting Changes in Lake Ice Thickness and Quality Due to Global Warming in the Arctic, Temperate, and Arid Zones and Highlands of Eurasia" Water 17, no. 3: 365. https://doi.org/10.3390/w17030365
APA StyleZdorovennova, G., Efremova, T., Novikova, I., Erina, O., Sokolov, D., Denisov, D., Fedorova, I., Smirnov, S., Palshin, N., Bogdanov, S., Zdorovennov, R., Huang, W., & Leppäranta, M. (2025). Contrasting Changes in Lake Ice Thickness and Quality Due to Global Warming in the Arctic, Temperate, and Arid Zones and Highlands of Eurasia. Water, 17(3), 365. https://doi.org/10.3390/w17030365

