Characterizing and Modeling Infiltration and Evaporation Processes in the Shallow Loess Layer: Insight from Field Monitoring Results of a Large Undisturbed Soil Column
Abstract
1. Introduction
2. Materials and Methods
2.1. Site Description
2.2. Sampling Processes
2.3. Monitoring Scheme of Soil Column
2.4. Hydraulic Properties Measurement
3. Results
3.1. Ponding Infiltration Process
3.1.1. Infiltration Characteristics
3.1.2. Ponding Infiltration Modeling
3.2. Free Infiltration Process
3.2.1. Variation of Monitored VWC with Time
3.2.2. Variation of Monitored Matric Suction with Time
3.3. Soil Column Evaporation Process
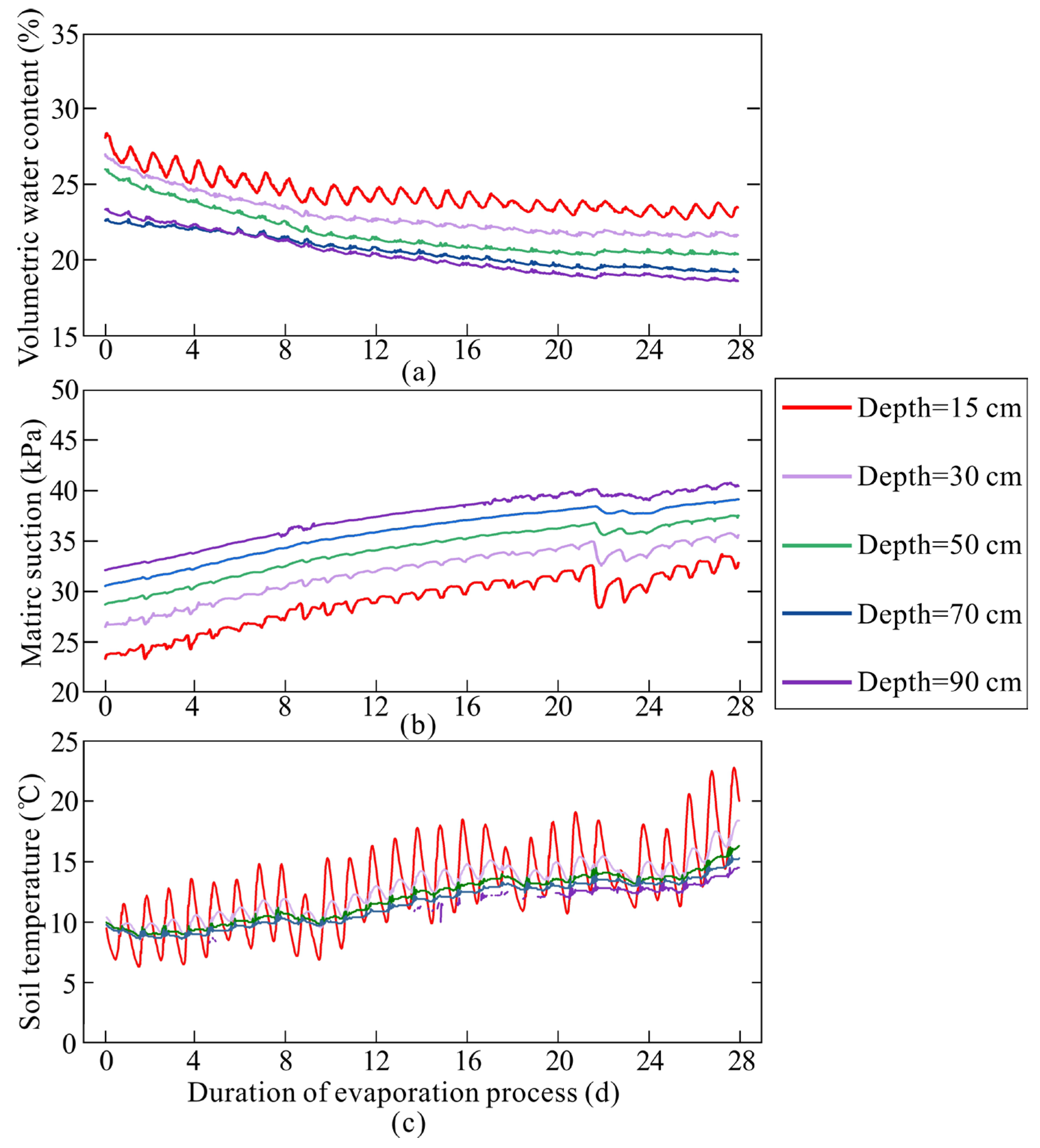
3.3.1. Response of Soil VWC and Matric Suction
3.3.2. Evaporation Predictive Model
4. Discussion
4.1. Determination of Ks and Its Scale Effect
4.2. Comparison of SWCC Measurement by Field and Laboratory Experiments
4.3. Differentiation of In-Situ Loess Evaporation Process
5. Conclusions
Author Contributions
Funding
Data Availability Statement
Conflicts of Interest
References
- Dijkstra, T.A.; Wasowski, J.; Winter, M.G.; Meng, X.M. Introduction to geohazards of Central China. Q. J. Eng. Geol. Hydrog. 2014, 47, 195–199. [Google Scholar] [CrossRef]
- Nan, J.J.; Peng, J.B.; Zhu, F.J.; Ma, P.H.; Liu, R.; Leng, Y.Q.; Meng, Z.J. Shear behavior and microstructural variation in loess from the Yan’an area, China. Eng. Geol. 2021, 280, 105964. [Google Scholar] [CrossRef]
- Li, X.A.; Li, L.C.; Song, Y.X.; Hong, B.; Wang, L.; Sun, J.Q. Characterization of the mechanisms underlying loess collapsibility for land-creation project in Shaanxi Province, China-a study from a micro perspective. Eng. Geol. 2019, 249, 77–88. [Google Scholar] [CrossRef]
- Ma, S.; Shao, X.; Xu, C.; Xu, Y. Insight from a Physical-Based Model for the Triggering Mechanism of Loess Landslides Induced by the 2013 Tianshui Heavy Rainfall Event. Water 2023, 15, 443. [Google Scholar] [CrossRef]
- Bai, W.; Li, R.; Pan, J.; Li, R.; Wang, L.; Yang, Z. Measured Rainfall Infiltration and the Infiltration Interface Effect on Double-Layer Loess Slope. Water 2023, 15, 2505. [Google Scholar] [CrossRef]
- Peng, J.B.; Tong, X.; Wang, S.K.; Ma, P.H. Three-dimensional geological structures and sliding factors and modes of loess landslides. Environ. Earth Sci. 2018, 77, 675. [Google Scholar] [CrossRef]
- Zhang, F.Y.; Wang, G.H. Effect of irrigation-induced densification on the post-failure behavior of loess flowslides occurring on the Heifangtai area, Gansu, China. Eng. Geol. 2018, 236, 111–118. [Google Scholar] [CrossRef]
- Yates, K.; Russell, A.R. The unsaturated characteristics of natural loess in slopes, New Zealand. Géotechnique 2022, 73, 871–884. [Google Scholar] [CrossRef]
- Huang, T.M.; Ma, B.; Pang, Z.; Li, Z.; Li, Z.; Long, Y. How does precipitation recharge groundwater in loess aquifers? Evidence from multiple environmental tracers. J. Hydrol. 2020, 583, 124532. [Google Scholar] [CrossRef]
- Hou, X.; Li, T.; Vanapalli, S.K.; Xi, Y. Water percolation in a thick unsaturated loess layer considering the ground-atmosphere interaction. Hydrol. Process. 2019, 33, 794–802. [Google Scholar] [CrossRef]
- Zhao, K.; Xu, Q.; Liu, F.; Xiu, D.; Ren, X. Field monitoring of preferential infiltration in loess using time-lapse electrical resistivity tomography. J. Hydrol. 2020, 591, 125278. [Google Scholar] [CrossRef]
- Wang, C.X.; Li, T.L.; Li, P.; Wang, Y.; Li, H.; Xi, Y. Verification on the mode of moisture transfer in the vadose zone of thick loess. Hydrol. Process. 2022, 36, e14656. [Google Scholar] [CrossRef]
- Li, P.; Li, T.L.; Vanapalli, S.K. Influence of environmental factors on the wetting front depth: A case study in the Loess Plateau. Eng. Geol. 2016, 214, 1–10. [Google Scholar] [CrossRef]
- Zhang, C.L.; Li, T.L.; Li, P. Rainfall infiltration in Chinese loess by in situ observation. J. Hydrol. Eng. 2014, 19, 06014002. [Google Scholar] [CrossRef]
- Verity, G.E.; Anderson, D.W. Soil erosion effects on soil quality and yield. Can. J. Soil. Sci. 1990, 70, 471–484. [Google Scholar] [CrossRef]
- Li, D.; Wei, X.; Li, Y.J. Review of Soil Erosion Research Methods in the Chinese Loess Plateau. J. Soil. Water Conserv. 2013, 1, 24–27. [Google Scholar] [CrossRef]
- Ng, C.W.; Sadeghi, H.; Jafarzadeh, F. Compression and shear strength characteristics of compacted loess at high suctions. Can. Geotech. J. 2017, 54, 690–699. [Google Scholar] [CrossRef]
- Gao, Y.; Li, Z.; Sun, D.; Yu, H. A simple method for predicting the hydraulic properties of unsaturated soils with different void ratios. Soil. Till Res. 2021, 209, 104913. [Google Scholar] [CrossRef]
- Kostiaskov, A.N. The Dynamics of the Coefficient of Water Percolation in Soils and the Necessity for Studying It from a Dynamic Point of View for Purpose of Amelioration. Soc. Soil Sci. 1932, 14, 17–21. [Google Scholar]
- Green, W.H.; Ampt, G.A. Studies on soil physics: E. Flow of air and water through soils. J. Agric. Sci. 1911, 4, 1–24. [Google Scholar]
- Mohammadzadeh-Habili, J.; Heidarpour, M. Application of the Green–Ampt model for infiltration into layered soils. J. Hydrol. 2015, 527, 824–832. [Google Scholar] [CrossRef]
- Grifoll, J.; Gastó, J.M.; Cohen, Y. Non-isothermal soil water transport and evaporation. Adv. Water Resour. 2005, 28, 1254–1266. [Google Scholar] [CrossRef]
- Aminzadeh, M.; Or, D. The complementary relationship between actual and potential evaporation for spatially heterogeneous surfaces. Water Resour. Res. 2017, 53, 580–601. [Google Scholar] [CrossRef]
- Yuan, J.Y.; Yao, Y.; Guan, Y.Q.; Sadiq, M.; Li, J.; Liu, S.N.; Lu, Y.H.; Xu, G.R.; Du, M.Y.; Li, G.; et al. Effects of land use patterns on soil properties and nitrous oxide flux on a semi-arid environmental conditions of Loess Plateau China. Glob. Ecol. Conserv. 2024, 51, e02899. [Google Scholar] [CrossRef]
- Derbyshire, E. Geological hazards in loess terrain, with particular reference to the loess regions of China. Earth-Sci. Rev. 2001, 54, 231–260. [Google Scholar] [CrossRef]
- Blight, G.E. Interactions between the atmosphere and the earth. Géotechnique 1997, 47, 715–767. [Google Scholar]
- Blight, G. Solar heating of the soil and evaporation from a soil surface. Géotechnique 2009, 59, 355–363. [Google Scholar] [CrossRef]
- Singh, V.P.; Xu, C.Y. Evaluation and generalization of 13 mass-transfer equations for determining free water evaporation. Hydrol. Process. 1997, 11, 311–323. [Google Scholar] [CrossRef]
- Hou, X.; Vanapalli, S.K.; Li, T. Water flow in unsaturated soils subjected to multiple infiltration events. Can. Geotech. J. 2020, 57, 366–376. [Google Scholar] [CrossRef]
- Singh, A.; Verdi, A. Estimating the soil water retention curve by the HYPROP-WP4C system, HYPROP-based PCNN-PTF and inverse modeling using HYDRUS-1D. J. Hydrol. 2024, 639, 131657. [Google Scholar] [CrossRef]
- Peters, A.; Durner, W. Simplified evaporation method for determining soil hydraulic properties. J. Hydrol. 2008, 356, 147–162. [Google Scholar] [CrossRef]
- Zhao, Z.; Dai, F.; Min, H.; Tu, X. Field infiltration of artificial irrigation into thick loess. Eng. Geol. 2021, 294, 106388. [Google Scholar] [CrossRef]
- van Genuchten, M.T. A closed-form equation for predicting the hydraulic conductivity of unsaturated soils. Soil. Sci. Soc. Am. J. 1980, 44, 892–898. [Google Scholar] [CrossRef]
- Tu, X.; Kwong, A.K.L.; Dai, F.; Tham, L.G.; Min, H. Field monitoring of rainfall infiltration in a loess slope and analysis of failure mechanism of rainfall-induced landslides. Eng. Geol. 2009, 105, 134–150. [Google Scholar] [CrossRef]
- Wang, N.; Chu, X.F. Revised Horton model for event and continuous simulations of infiltration. J. Hydrol. 2020, 589, 125215. [Google Scholar] [CrossRef]
- Yang, M.Y.; Zhang, Y.Y.; Pan, X.Y. Improving the Horton infiltration equation by considering soil moisture variation. J. Hydrol. 2020, 586, 124864. [Google Scholar] [CrossRef]
- Wang, C.S.; Gao, F.; Sun, W.Y.; Mu, X.M.; Gao, P.; Zhao, G.J.; Song, X.Y. Rainfall-infiltration process and characteristics of slope-gully system in the hilly and gully region of the Loess Plateau. Acta Ecol. Sin. 2021, 41, 3111–3122. [Google Scholar] [CrossRef]
- Zhao, J.C.; Pan, D.L.; Wei, W.; Duan, X.W. Simulation experiment on the influence of vegetation pattern on soil infiltration and water and sediment process. Acta Ecol. Sin. 2021, 41, 1373–1380. [Google Scholar] [CrossRef]
- Rose, E.J. Agricultural Physics; Pergamon: Oxford, UK, 1996. [Google Scholar]
- Rose, D.A. Water movement in porous materials III. Evaporation of water from soil. J. Phys. D Appl. Phys. 1968, 1, 1779–1791. [Google Scholar] [CrossRef]
- Wang, W.; Wang, Y.; Sun, Q.; Zhang, M.; Qiang, Y.; Liu, M. Spatial variation of saturated hydraulic conductivity of a loess slope in the South Jingyang Plateau, China. Eng. Geol. 2018, 236, 70–78. [Google Scholar] [CrossRef]
- Li, T.; Wang, C.; Li, P. Loess deposit and loess landslides on the Chinese Loess Plateau. In Progress of Geo-disaster Mitigation Technology in Asia; Springer: Berlin/Heidelberg, Germany, 2013. [Google Scholar] [CrossRef]
- Sobieraj, J.A.; Elsenbeer, H.; Cameron, G. Scale dependency in spatial patterns of saturated hydraulic conductivity. Catena 2004, 55, 49–77. [Google Scholar] [CrossRef]
- Sun, P.; Feng, L.; Zhang, M.; Wang, X.; Liu, M.; Wang, S. Measurement and parameters analysis for soil-water characteristic curve of unsaturated loess deposited at different time in the Luochuan Section. Northwest. Geol. 2019, 52, 148–157. (In Chinese) [Google Scholar]
- Zhang, Y.; Schaap, M.G. Estimation of saturated hydraulic conductivity with pedotransfer functions: A review. J. Hydrol. 2019, 575, 1011–1030. [Google Scholar] [CrossRef]
- Peng, D.; Xu, Q.; Zhang, X.; Xing, H.; Zhang, S.; Kang, K.; Qi, X.; Ju, Y.; Zhao, K. Hydrological response of loess slopes with reference to widespread landslide events in the Heifangtai terrace, NW China. J. Asian Earth Sci. 2019, 171, 259–276. [Google Scholar] [CrossRef]
- Leng, Y.; Peng, J.; Wang, Q.; Meng, Z.; Huang, W. A fluidized landslide occurred in the Loess Plateau: A study on loess landslide in South Jingyang tableland. Eng. Geol. 2018, 236, 129–136. [Google Scholar] [CrossRef]
- Bittelli, M.; Ventura, F.; Campbell, G.S.; Snyder, R.L.; Gallegati, F.; Pisa, P.R. Coupling of heat, water vapor, and liquid water fluxes to compute evaporation in bare soils. J. Hydrol. 2008, 362, 191–205. [Google Scholar] [CrossRef]










| Samples | No. 1 | No. 2 | No. 3 |
|---|---|---|---|
| Depths (cm) | 10 | 50 | 90 |
| Natural water content (%) | 12.7 | 12.1 | 12.6 |
| Dry density (g/cm3) | 1.30 | 1.31 | 1.30 |
| Void ratio, e | 1.09 | 1.08 | 1.09 |
| Specific gravity, Gs | 2.72 | 2.73 | 2.72 |
| Liquid limit, wL (%) | 27.8 | 27.1 | 27.5 |
| Plastic limit, wP (%) | 15.2 | 14.0 | 14.5 |
| Plasticity Index, IP (%) | 12.6 | 13.1 | 13.0 |
| Clay (0~0.002 mm) (%) | 15.9 | 15.2 | 16.0 |
| Silt (0.002~0.075 mm) (%) | 81.1 | 81.3 | 80.0 |
| Sand (0.075~2 mm) (%) | 3.1 | 3.5 | 4.0 |
| Type of Infiltration Model | Cumulative Infiltration Expression, I | Notes of Fitted Parameters |
|---|---|---|
| Horton model | I is the cumulative infiltration (cm); t is the infiltration time (min); f0 is the initial infiltration rate (cm/min); fc is the stabilization infiltration rate (cm/min); S is the moisture absorption rate; k, a, and β are dimensionless constants. | |
| Kostiakov model | ||
| Mezencev model | ||
| Philip model |
| Horton Model | Kostiakov Model | Mezencev Model | Philip Model | ||||||
|---|---|---|---|---|---|---|---|---|---|
| f0 | fc | k | α | β | k | α | β | S | f0 |
| 0.831 | 0.026 | 0.208 | 1.365 | 0.357 | 0.0116 | 1.745 | 0.256 | 0.550 | 0.011 |
Disclaimer/Publisher’s Note: The statements, opinions and data contained in all publications are solely those of the individual author(s) and contributor(s) and not of MDPI and/or the editor(s). MDPI and/or the editor(s) disclaim responsibility for any injury to people or property resulting from any ideas, methods, instructions or products referred to in the content. |
© 2025 by the authors. Licensee MDPI, Basel, Switzerland. This article is an open access article distributed under the terms and conditions of the Creative Commons Attribution (CC BY) license (https://creativecommons.org/licenses/by/4.0/).
Share and Cite
Tan, Y.; Dai, F.; Zhao, Z.; Cheng, C.; Huang, X. Characterizing and Modeling Infiltration and Evaporation Processes in the Shallow Loess Layer: Insight from Field Monitoring Results of a Large Undisturbed Soil Column. Water 2025, 17, 364. https://doi.org/10.3390/w17030364
Tan Y, Dai F, Zhao Z, Cheng C, Huang X. Characterizing and Modeling Infiltration and Evaporation Processes in the Shallow Loess Layer: Insight from Field Monitoring Results of a Large Undisturbed Soil Column. Water. 2025; 17(3):364. https://doi.org/10.3390/w17030364
Chicago/Turabian StyleTan, Ye, Fuchu Dai, Zhiqiang Zhao, Cifeng Cheng, and Xudong Huang. 2025. "Characterizing and Modeling Infiltration and Evaporation Processes in the Shallow Loess Layer: Insight from Field Monitoring Results of a Large Undisturbed Soil Column" Water 17, no. 3: 364. https://doi.org/10.3390/w17030364
APA StyleTan, Y., Dai, F., Zhao, Z., Cheng, C., & Huang, X. (2025). Characterizing and Modeling Infiltration and Evaporation Processes in the Shallow Loess Layer: Insight from Field Monitoring Results of a Large Undisturbed Soil Column. Water, 17(3), 364. https://doi.org/10.3390/w17030364

