The Effects of Inorganic Carbon and Irradiance on the Photosynthetic Performance and Growth of the Macroalga Sargassum horneri
Abstract
1. Introduction
- To evaluate the influence of inorganic carbon on Photosystem II function and photosynthetic efficiency;
- To quantify growth performance and biomass accumulation in response to varying light and carbon conditions;
- To assess how DIC and total alkalinity influence CO2 assimilation in Sargassum horneri.
2. Materials and Methods
2.1. Experimental Design
2.2. Experimental Sampling and Procedure
2.3. Chlorophyll Fluorescence
2.4. Inorganic Carbon Analysis
2.5. Biomass and Growth Determination
2.6. Statistical Analysis
3. Results and Discussion
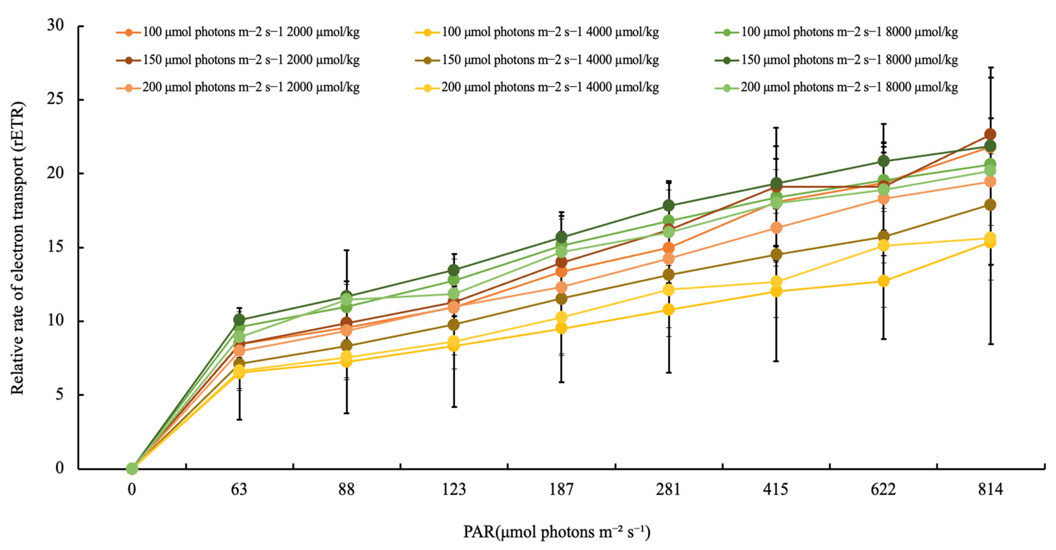
3.1. The Photosynthetic Performance of S. horneri
3.2. The Effects of Inorganic Carbon on S. horneri Culture Medium
4. Conclusions
Author Contributions
Funding
Data Availability Statement
Conflicts of Interest
References
- Lee, M.-C.; Yeh, H.-Y.; Chang, C.-M.; Liou, Y.-F.; Nan, F.-H.; Wungen-Sani, J. Tracking and Utilizing Sargassum, an Abundant Resource from the Caribbean Sea. Water 2023, 15, 2694. [Google Scholar] [CrossRef]
- Schulz, K.G.; Bach, L.T.; Dickson, A.G. Seawater carbonate chemistry considerations for ocean alkalinity enhancement research: Theory, measurements, and calculations. In Guide to Best Practices in Ocean Alkalinity Enhancement Research; Copernicus Publications: Göttingen, Germany, 2023; Volume 2-oae2023, p. 2. [Google Scholar]
- Yeh, H.-Y.; Libatique, M.J.; Liao, Z.-H.; Nan, F.-H.; Lee, M.-C. Environmental factors impact the early life stages of Sargassum ilicifolium in laboratory. Algal Res. 2021, 56, 102306. [Google Scholar] [CrossRef]
- Komatsu, T.; Fukuda, M.; Mikami, A.; Mizuno, S.; Kantachumpoo, A.; Tanoue, H.; Kawamiya, M. Possible change in distribution of seaweed, Sargassum horneri, in northeast Asia under A2 scenario of global warming and consequent effect on some fish. Mar. Pollut. Bull. 2014, 85, 317–324. [Google Scholar] [CrossRef] [PubMed]
- Minami, K.; Kita, C.; Shirakawa, H.; Kawauchi, Y.; Shao, H.; Tomiyasu, M.; Iwahara, Y.; Takahara, H.; Kitagawa, T.; Miyashita, K. Acoustic characteristics of a potentially important macroalgae, Sargassum horneri, for coastal fisheries. Fish. Res. 2021, 240, 105955. [Google Scholar] [CrossRef]
- Xu, Z.; Jiang, X.; Li, B.; Lv, Z.; Wu, H.; Zang, S.; Yan, F.; Bao, M. Effects of UVR on Photosynthesis in Sargassum horneri (Turner) C. Agardh Adapted to Different Nitrogen Levels. J. Mar. Sci. Eng. 2023, 11, 498. [Google Scholar] [CrossRef]
- Lee, P.T.; Tran, H.T.Q.; Huang, H.-T.; Nan, F.-H.; Lee, M.-C. Sargassum horneri extracts stimulate innate immunity, enhance growth performance, and upregulate immune genes in the white shrimp Litopenaeus vannamei. Fish Shellfish Immunol. 2020, 102, 276–285. [Google Scholar] [CrossRef]
- López Miranda, J.L.; Celis, L.B.; Estévez, M.; Chávez, V.; van Tussenbroek, B.I.; Uribe-Martínez, A.; Cuevas, E.; Pantoja, I.R.; Masia, L.; Cauich-Kantun, C.; et al. Commercial Potential of Pelagic Sargassum spp. in Mexico. Front. Mar. Sci. 2021, 8, 768470. [Google Scholar] [CrossRef]
- Holdt, S.L.; Kraan, S. Bioactive compounds in seaweed: Functional food applications and legislation. J. Appl. Phycol. 2011, 23, 543–597. [Google Scholar] [CrossRef]
- Zhang, R.; Zhang, X.X.; Tang, Y.X.; Mao, J.L. Composition, isolation, purification and biological activities of Sargassum fusiforme polysaccharides: A review. Carbohydr. Polym. 2020, 228, 115381. [Google Scholar] [CrossRef]
- Lima-Melo, Y.; Kılıç, M.; Aro, E.-M.; Gollan, P.J. Photosystem I Inhibition, Protection and Signalling: Knowns and Unknowns. Front. Plant Sci. 2021, 12, 791124. [Google Scholar] [CrossRef]
- Moreira, D.; Pires, J.C.M. Atmospheric CO2 capture by algae: Negative carbon dioxide emission path. Bioresour. Technol. 2016, 215, 371–379. [Google Scholar] [CrossRef] [PubMed]
- Wang, M.; Hu, C.; Cannizzaro, J.; English, D.; Han, X.; Naar, D.; Lapointe, B.; Brewton, R.; Hernandez, F. Remote Sensing of Sargassum Biomass, Nutrients, and Pigments. Geophys. Res. Lett. 2018, 45, 12359–12367. [Google Scholar] [CrossRef]
- Lewey, S.A.; Gorham, J. Pigment composition and photosynthesis in Sargassum muticum. Mar. Biol. 1984, 80, 109–115. [Google Scholar] [CrossRef]
- Haehnel, W. Photosynthetic Electron Transport in Higher Plants. Annu. Rev. Plant Biol. 1984, 35, 659–693. [Google Scholar] [CrossRef]
- Zhang, S.; Zou, B.; Cao, P.; Su, X.; Xie, F.; Pan, X.; Li, M. Structural insights into photosynthetic cyclic electron transport. Mol. Plant 2023, 16, 187–205. [Google Scholar] [CrossRef]
- Vakaloloma, U.; Ho, T.H.; Loh, J.-Y.; Chong, C.M.; Wangkahart, E.; Lee, M.-C.; Nan, F.-H.; Lai, H.-C.; Lee, P.-T. Modulation of immune genes in the mucosal-associated lymphoid tissues of cobia by Sarcodia suae extract. Vet. Res. Commun. 2023, 47, 1973–1990. [Google Scholar] [CrossRef]
- Takahashi, S.; Milward, S.E.; Fan, D.-Y.; Chow, W.S.; Badger, M.R. How does cyclic electron flow alleviate photoinhibition in Arabidopsis? Plant Physiol. 2009, 149, 1560–1567. [Google Scholar] [CrossRef]
- Haimovich-Dayan, M.; Garfinkel, N.; Ewe, D.; Marcus, Y.; Gruber, A.; Wagner, H.; Kroth, P.G.; Kaplan, A. The role of C4 metabolism in the marine diatom Haeodactylum tricornutum. New Phytol. 2013, 197, 177–185. [Google Scholar] [CrossRef]
- Yeh, H.Y.; Wang, W.-L.; Lin, Y.-K.; Nan, F.-H.; Lee, M.-C. Optimizing inorganic carbon and salinity for enhanced biomass and pigment production in Colaconema formosanum: Implications for sustainable carbon sequestration and stress responses. Bioresour. Technol. 2023, 388, 129720. [Google Scholar] [CrossRef]
- Wang, Y.; Zhong, Z.; Qin, S.; Li, J.; Li, J.; Liu, Z. Effects of Temperature and Light on Growth Rate and Photosynthetic Characteristics of Sargassum horneri. J. Ocean. Univ. China 2021, 20, 101–110. [Google Scholar] [CrossRef]
- Lin, S.-M.; Huang, R.; Ogawa, H.; Liu, L.-C.; Wang, Y.-C.; Chiou, Y. Assessment of germling ability of the introduced marine brown alga, Sargassum horneri, in Northern Taiwan. J. Appl. Phycol. 2017, 29, 2641–2649. [Google Scholar] [CrossRef]
- Maxwell, K.; Johnson, G.N. Chlorophyll fluorescence—A practical guide. J. Exp. Bot. 2000, 51, 659–668. [Google Scholar] [CrossRef] [PubMed]
- Beer, S.; Björk, M. Measuring rates of photosynthesis of two tropical seagrasses by pulse amplitude modulated (PAM) fluorometry. Aquat. Bot. 2000, 66, 69–76. [Google Scholar] [CrossRef]
- Chapter 1 Equilibrium. In Elsevier Oceanography Series; Zeebe, R.E., Wolf-Gladrow, D., Eds.; Elsevier: Amsterdam, The Netherlands, 2001; pp. 1–84. [Google Scholar]
- Chapter 2 Kinetics. In Elsevier Oceanography Series; Zeebe, R.E., Wolf-Gladrow, D., Eds.; Elsevier: Amsterdam, The Netherlands, 2001; pp. 85–140. [Google Scholar]
- Chapter 3 Stable isotope fractionation. In Elsevier Oceanography Series; Zeebe, R.E., Wolf-Gladrow, D., Eds.; Elsevier: Amsterdam, The Netherlands, 2001; pp. 141–250. [Google Scholar]
- Millero, F.J. Chemical Oceanography, 2nd ed.; Taylor & Francis: Oxfordshire, UK, 1996. [Google Scholar]
- Skoog, D.A.; Holler, F.J.; Crouch, S.R. Principles of Instrumental Analysis; Cengage Learning: Boston, MA, USA, 2017. [Google Scholar]
- Brown, J.L.; Hill, D.J.; Dolan, A.M.; Carnaval, A.C.; Haywood, A.M. PaleoClim, high spatial resolution paleoclimate surfaces for global land areas. Sci. Data 2018, 5, 180254. [Google Scholar] [CrossRef]
- Hunt, R. Plant Growth Curves; Edward Arnold: London, UK, 1982. [Google Scholar]
- Lobban, C.S.; Harrison, P.J. Seaweed Ecology and Physiology; Cambridge University Press: Cambridge, UK, 1994. [Google Scholar]
- Sun, X.; Wang, Q.; Luo, D.; Xu, Z.; Sun, P.; Guo, J.; Wang, H.; Liu, Z.; Yang, Y. Local effects of Sargassum beds on the seawater carbonate system and plankton community. Algal Res. 2025, 85, 103860. [Google Scholar] [CrossRef]
- Chung, I.K.; Beardall, J.; Mehta, S.; Sahoo, D.; Stojkovic, S. Using marine macroalgae for carbon sequestration: A critical appraisal. J. Appl. Phycol. 2010, 23, 877–886. [Google Scholar] [CrossRef]
- Liu, D.; Ma, Q.; Valiela, I.; Anderson, D.M.; Keesing, J.K.; Gao, K.; Zhen, Y.; Sun, X.; Wang, Y. Role of C4 carbon fixation in Ulva prolifera, the macroalga responsible for the world’s largest green tides. Commun. Biol. 2020, 3, 494. [Google Scholar] [CrossRef]
- Xu, Z.; Li, L.; Jiang, H.; Yan, F.; Liu, L.; Zang, S.; Ma, Y.; Wu, H. Photosynthetic responses of a golden tide alga (Sargassum horneri) to ultraviolet radiation. Front. Mar. Sci. 2022, 9, 978376. [Google Scholar] [CrossRef]
- Gao, K.; Beardall, J.; Häder, D.-P.; Hall-Spencer, J.M.; Gao, G.; Hutchins, D.A. Effects of Ocean Acidification on Marine Photosynthetic Organisms Under the Concurrent Influences of Warming, UV Radiation, and Deoxygenation. Front. Mar. Sci. 2019, 6, 322. [Google Scholar] [CrossRef]
- Sun, J.; Zhao, C.; Zhao, S.; Dai, W.; Liu, J.; Zhang, J.; Xu, J.; He, P. Diversity of CO2 Concentrating Mechanisms in Macroalgae Photosynthesis: A Case Study of Ulva sp. J. Mar. Sci. Eng. 2023, 11, 1911. [Google Scholar] [CrossRef]
- Reinfelder, J.R.; Milligan, A.J.; Morel, F.M.M. The Role of the C4 Pathway in Carbon Accumulation and Fixation in a Marine Diatom. Plant Physiol. 2004, 135, 2106–2111. [Google Scholar] [CrossRef] [PubMed]
- Zabaleta, E.; Martin, M.V.; Braun, H.-P. A basal carbon concentrating mechanism in plants? Plant Sci. 2012, 187, 97–104. [Google Scholar] [CrossRef] [PubMed]
- Gordon, D.M.; Sand-Jensen, K. Effects of O2, pH and DIC on photosynthetic net-O2 evolution by marine macroalgae. Mar. Biol. 1990, 106, 445–451. [Google Scholar] [CrossRef]
- Holišová, P.; Zitová, M.; Klem, K.; Urban, O. Effect of elevated carbon dioxide concentration on carbon assimilation under fluctuating light. J. Environ. Qual. 2012, 41, 1931–1938. [Google Scholar] [CrossRef]
- Gao, J.; Liu, G.; Li, X.; Tang, M.; Cao, X.; Zhou, Y.; Song, C. Organic carbon quantity and composition jointly modulate the differentiation of nitrate reduction pathways in sediments of the Chinese eutrophic lake, Lake Chaohu. Water Res. 2022, 220, 118720. [Google Scholar] [CrossRef]
- Falkowski, P.G.; Raven, J.A. Aquatic Photosynthesis; Princeton University Press: Princeton, NJ, USA, 2007. [Google Scholar]
- Raven, J.A.; Beardall, J.; Sánchez-Baracaldo, P. The possible evolution and future of CO2-concentrating mechanisms. J. Exp. Bot. 2017, 68, 3701–3716. [Google Scholar] [CrossRef]
- Poorter, H.; Knopf, O.; Wright, I.J.; Temme, A.A.; Hogewoning, S.W.; Graf, A.; Cernusak, L.A.; Pons, T.L. A meta-analysis of responses of C3 plants to atmospheric CO2: Dose–response curves for 85 traits ranging from the molecular to the whole-plant level. New Phytol. 2022, 233, 1560–1596. [Google Scholar] [CrossRef]
- Wang, S.; Zhang, Y.; Ju, W.; Chen, J.M.; Ciais, P.; Cescatti, A.; Sardans, J.; Janssens, I.A.; Wu, M.; Berry, J.A.; et al. Recent global decline of CO2 fertilization effects on vegetation photosynthesis. Science 2020, 370, 1295–1300. [Google Scholar] [CrossRef]
- Krause-Jensen, D.; Duarte, C.M. Substantial role of macroalgae in marine carbon sequestration. Nat. Geosci. 2016, 9, 737–742. [Google Scholar] [CrossRef]
- Hurd, C.L.; Harrison, P.J.; Bischof, K.; Lobban, C.S. Seaweed Ecology and Physiology, 2nd ed.; Cambridge University Press: Cambridge, UK, 2014. [Google Scholar]
- Wu, H.; Feng, J.; Li, X.; Zhao, C.; Liu, Y.; Yu, J.; Xu, J. Effects of increased CO2 and temperature on the physiological characteristics of the golden tide blooming macroalgae Sargassum horneri in the Yellow Sea, China. Mar. Pollut. Bull. 2019, 146, 639–644. [Google Scholar] [CrossRef]
- Yan, F.; Jiang, H.; Ma, Y.; Cui, C.; Qin, H.; Liu, L.; Zang, S.; Xing, H.; Xu, Z.; Wu, H. Combined Influences of Light and Nitrogen Enrichment on the Physiological Performance of a Golden Tide Alga (Sargassum horneri). J. Mar. Sci. Eng. 2022, 10, 1195. [Google Scholar] [CrossRef]
- Lee, C.-H.; Lee, K.; Kim, M.; Kim, J.; Zhang, Y.; Kang, J.W.; Choi, I.H.; Oh, J.C.; Choi, Y.; Kim, J.; et al. Alkalinity (Bicarbonate) Pumping by Coastal Macroalgal Forests. Geophys. Res. Lett. 2025, 52, e2025GL115753. [Google Scholar] [CrossRef]
- Celis-Plá, P.; Martínez, B.; Korbee, N.; Hall-Spencer, J.M.; Figueroa, F.L. Photoprotective responses in a brown macroalgae Cystoseira tamariscifolia to increases in CO2 and temperature. Mar. Environ. Res. 2017, 130, 157–165. [Google Scholar] [CrossRef]
- Chen, B.; Yeh, H.-Y.; Huang, C.-H.; Lung, W.Q.C.; Chen, Y.-J.; Lee, P.-T.; Nan, F.-H.; Lee, M.-C. Effects of indoor culture conditions on growth and phycoerythrin content of Proteomonas sulcata (Cryptophyta) assessed by flow cytometry. J. Appl. Phycol. 2022, 34, 1201–1213. [Google Scholar] [CrossRef]
- Zhai, W. Characteristics of Marine Chemical Environment and the Measurements and Analyses of Seawater Carbonate Chemistry. In Research Methods of Environmental Physiology in Aquatic Sciences; Gao, K., Hutchins, D.A., Beardall, J., Eds.; Springer: Singapore, 2021; pp. 3–16. [Google Scholar]
- Kokubu, S.; Nishihara, G.N.; Watanabe, Y.; Tsuchiya, Y.; Amamo, Y.; Terada, R. The effect of irradiance and temperature on the photosynthesis of a native alga Sargassum fusiforme (Fucales) from Kagoshima, Japan. Phycologia 2015, 54, 235–247. [Google Scholar] [CrossRef]
- Yeh, H.Y.; Wang, W.-L.; Nan, F.-H.; Lee, M.-C. Enhanced Colaconema formosanum biomass and phycoerythrin yield after manipulating inorganic carbon, irradiance, and photoperiod. Bioresour. Technol. 2022, 352, 127073. [Google Scholar] [CrossRef] [PubMed]
- Ji, Y.; Gao, K. Effects of climate change factors on marine macroalgae: A review. Adv. Mar. Biol. 2021, 88, 91–136. [Google Scholar] [PubMed]
- Bach, L.T.; Tamsitt, V.; Gower, J.; Hurd, C.L.; Raven, J.A.; Boyd, P.W. Testing the climate intervention potential of ocean afforestation using the Great Atlantic Sargassum Belt. Nat. Commun. 2021, 12, 2556. [Google Scholar] [CrossRef]








| Treatments | Total Organic Carbon | pH | O2 (mg L−1) | Salinity | Weight (g) | ETRm (μmol photons m−2 s−1) |
|---|---|---|---|---|---|---|
| L1_C1 | 0.618 ± 0.004 c | 9.12 ± 0.14 b | 7.17 ± 3.12 a | 3.10 ± 0.17 ab | 4.63 ± 0.35 abc | 19.5 ± 0.46 b |
| L1_C2 | 0.374 ± 0.006 b | 9.18 ± 0.03 b | 7.13 ± 1.33 a | 3.03 ± 0.15 ab | 4.46 ± 0.06 ab | 12.9 ± 1.69 b |
| L1_C3 | 0.371 ± 0.002 ab | 8.95 ± 0.05 a | 8.07 ± 0.86 a | 3.30 ± 0.17 abc | 4.49 ± 0.06 ab | 19.0 ± 5.21 a |
| L2_C1 | 0.370 ± 0.005 ab | 9.14 ± 0.12 b | 7.20 ± 0.26 a | 3.00 ± 0.00 a | 4.88 ± 0.47 abc | 17.5 ± 2.21 b |
| L2_C2 | 0.368 ± 0.002 ab | 9.21 ± 0.04 b | 7.83 ± 0.21 a | 3.07 ± 0.12 ab | 4.60 ± 0.25 bc | 15.7 ± 0.43 b |
| L2_C3 | 0.401 ± 0.006 b | 8.89 ± 0.09 a | 8.87 ± 1.16 a | 3.27 ± 0.15 abc | 5.14 ± 0.09 c | 20.1 ± 1.92 a |
| L3_C1 | 0.378 ± 0.030 ab | 9.19 ± 0.02 b | 6.93 ± 0.51 a | 3.13 ± 0.15 ab | 4.71 ± 0.49 abc | 18.3 ± 1.67 b |
| L3_C2 | 0.394 ± 0.003 b | 9.20 ± 0.08 b | 7.77 ± 0.67 a | 3.47 ± 0.06 c | 4.24 ± 0.37 c | 14.2 ± 5.98 b |
| L3_C3 | 0.343 ± 0.065 a | 8.93 ± 0.06 a | 9.43 ± 4.30 a | 3.17 ± 0.08 ab | 5.16 ± 0.05 c | 18.6 ± 4.44 a |
| Treatment | RGR (day−1) | Growth (%) | Organic Carbon Ratio (Algal Wt.) |
|---|---|---|---|
| L1_C1 | 0.004 | 22.30 | 0.62 |
| L1_C2 | 0.004 | 22.26 | 0.37 |
| L1_C3 | 0.005 | 22.80 | 0.37 |
| L2_C1 | 0.009 | 25.47 | 0.37 |
| L2_C2 | 0.006 | 23.59 | 0.37 |
| L2_C3 | 0.006 | 23.83 | 0.40 |
| L3_C1 | 0.009 | 25.47 | 0.38 |
| L3_C2 | 0.012 | 27.78 | 0.39 |
| L3_C3 | 0.009 | 25.83 | 0.34 |
Disclaimer/Publisher’s Note: The statements, opinions and data contained in all publications are solely those of the individual author(s) and contributor(s) and not of MDPI and/or the editor(s). MDPI and/or the editor(s) disclaim responsibility for any injury to people or property resulting from any ideas, methods, instructions or products referred to in the content. |
© 2025 by the authors. Licensee MDPI, Basel, Switzerland. This article is an open access article distributed under the terms and conditions of the Creative Commons Attribution (CC BY) license (https://creativecommons.org/licenses/by/4.0/).
Share and Cite
Wungen-Sani, J.; Yeh, H.-Y.; Chen, Y.-J.; Nan, F.-H.; Lee, M.-C. The Effects of Inorganic Carbon and Irradiance on the Photosynthetic Performance and Growth of the Macroalga Sargassum horneri. Water 2025, 17, 3528. https://doi.org/10.3390/w17243528
Wungen-Sani J, Yeh H-Y, Chen Y-J, Nan F-H, Lee M-C. The Effects of Inorganic Carbon and Irradiance on the Photosynthetic Performance and Growth of the Macroalga Sargassum horneri. Water. 2025; 17(24):3528. https://doi.org/10.3390/w17243528
Chicago/Turabian StyleWungen-Sani, Jane, Han-Yang Yeh, Yi-Jung Chen, Fan-Hua Nan, and Meng-Chou Lee. 2025. "The Effects of Inorganic Carbon and Irradiance on the Photosynthetic Performance and Growth of the Macroalga Sargassum horneri" Water 17, no. 24: 3528. https://doi.org/10.3390/w17243528
APA StyleWungen-Sani, J., Yeh, H.-Y., Chen, Y.-J., Nan, F.-H., & Lee, M.-C. (2025). The Effects of Inorganic Carbon and Irradiance on the Photosynthetic Performance and Growth of the Macroalga Sargassum horneri. Water, 17(24), 3528. https://doi.org/10.3390/w17243528

