Next Article in Journal
Assessing the Dominant Impact of Climate and Land Use Change on Runoff Through Multi-Model Simulation in the Karst Headwater Region of the Wujiang River
Previous Article in Journal
A New Fuzzy Preference Relation (FPR) Approach to Prioritizing Drinking Water Hazards: Ranking, Mapping, and Operational Guidance
 
 
Font Type:
Arial Georgia Verdana
Font Size:
Aa Aa Aa
Line Spacing:
Column Width:
Background:
Article

Integrating Kinetic Models with Physics-Informed Neural Networks (PINNs) for Predicting Methane Production from Anaerobic Co-Digestion of Enzyme-Modified Biodegradable Plastics and Food Waste Leachate

1
State Key Laboratory of Pollution Control and Resources Reuse, College of Environmental Science and Engineering, Tongji University, Siping Road, Shanghai 200092, China
2
Institute of New Rural Development, School of Electronics and Information Engineering, Tongji University, Shanghai 201804, China
3
Key Laboratory of Rural Toilet and Sewage Treatment Technology, Ministry of Agriculture and Rural Affairs, Shanghai 201804, China
*
Author to whom correspondence should be addressed.
Water 2025, 17(23), 3411; https://doi.org/10.3390/w17233411 (registering DOI)
Submission received: 27 October 2025 / Revised: 23 November 2025 / Accepted: 27 November 2025 / Published: 29 November 2025
(This article belongs to the Section Wastewater Treatment and Reuse)

Abstract

In the face of increasingly severe water environmental pollution and energy shortages, anaerobic digestion (AD) technology has demonstrated immense potential for the resource recovery of wastewaters such as food waste leachate (FWL). However, the inherent drawback of the long experimental period required for AD severely constrains research efficiency. Existing studies often rely on either kinetic models with high interpretability or machine learning models with strong generalization capabilities, rarely integrating both. To address this, this study innovatively investigated the anaerobic co-digestion of enzyme-modified biodegradable plastics (BPs) and FWL, and constructed a novel Physics-Informed Neural Network (PINN) based on a dataset of 261 experimental observations. The results indicated that, among the three kinetic models, the Modified Gompertz model exhibited the best prediction accuracy (R2 approaching 0.99), stability, and universality. Among the four machine learning models, the Artificial Neural Network (ANN) demonstrated optimal generalization ability (Test set R2 = 0.958). Notably, the constructed Modified Gompertz PINN model achieved superior predictive performance (Test set R2 = 0.994), reducing the Root Mean Square Error (RMSE) by 74.0% compared to the ANN model. Shapley analysis further confirmed the PINN retained strong biological rationality, indicating that the hydrolysis process significantly impacts methane production. This work provides a robust hybrid model for efficient co-digestion prediction and offers a new approach for the resource valorization of enzyme-modified BPs and FWL.

1. Introduction

Amidst the accelerating global urbanization and population growth, the generation of municipal solid waste (MSW) has escalated dramatically, presenting a critical challenge to environmental sustainability [1,2]. While the “waste-free city” initiatives and mandatory waste sorting policies (e.g., in Shanghai) have standardized management, they have also concentrated high-moisture food waste, leading to a significant surge in food waste leachate (FWL) production [3]. FWL is rich in organic matter, heavy metals, and inorganic salts; if not properly treated, it will become a severe source of secondary pollution, posing serious problems to water bodies and groundwater resources [4]. However, its high biodegradability also endows it with extremely high potential for resource utilization [5]. Anaerobic digestion (AD), capable of synergistically achieving waste reduction, harmless treatment, and bioenergy (e.g., methane) production, has become the mainstream technology for treating high-concentration organic wastewater [6]. Nevertheless, the mono-digestion of FWL often faces challenges such as unstable gas production, susceptibility to acidification, and low methane yield [7]. Anaerobic co-digestion, by introducing two or more synergistic substrates, can effectively balance the carbon-to-nitrogen ratio, dilute toxic substances, and enhance the system’s buffering capacity, thereby overcoming the drawbacks of mono-digestion [8].
Parallel to the organic waste crisis, global concerns regarding plastic pollution and the proliferation of plastics have intensified, prompting strict “plastic bans” and driving the transition toward biodegradable plastics (BPs) like polylactic acid (PLA) and poly(butylene adipate-co-terephthalate) (PBAT) [9,10,11]. Although BPs offer a potential alternative to petroleum-based plastics, they are not a panacea. Their degradation in natural environments remains slow, and without proper management, they may still contribute to plastic accumulation. Studies have found that some plastics can increase methane production during anaerobic co-digestion with FWL, while also exerting certain effects on anaerobic microorganisms [12]. Therefore, anaerobically co-digesting BP and FWL, which achieves a dual benefit in waste treatment, represents a highly attractive research direction. However, a critical bottleneck exists in the “asynchronous degradation” of these substrates. BPs typically require up to 90 days for degradation, whereas FWL degrades rapidly within 25–30 days [13]. To bridge this gap, recent innovations have focused on enzyme-modified plastics—directly embedding enzymes into the BP matrix—which has shown promise in accelerating hydrolysis under composting conditions, though its efficacy in AD systems remains to be fully explored [14].
Beyond process optimization, accurate modeling is indispensable for the scale-up and control of this complex co-digestion system. Biochemical Methane Potential (BMP) tests serve as the basis for evaluating substrate biodegradability, while kinetic models are utilized to analyze its degradation rates and rate-limiting steps [15,16]. However, traditional kinetic models rely on numerous simplified assumptions, making it difficult to capture the complex effects of multivariate interactions (e.g., temperature, pH, substrate composition) on the methanogenesis process, which results in limited prediction accuracy. Conversely, data-driven machine learning (ML) algorithms have demonstrated superior accuracy in mapping complex non-linear relationships [17]. Yet, the inherent “black-box” nature of ML models results in poor interpretability, making it difficult to deduce the underlying biological mechanisms or provide reliable guidance for process diagnostics.
To address the limitations of both deterministic and purely data-driven approaches, the integration of domain knowledge into machine learning—specifically Physics-Informed Neural Networks (PINNs)—has garnered increasing attention [18]. The fundamental concept of using neural networks to solve differential equations was first proposed by Lagaris et al. [19]. Building on this, Raissi et al. formally established the PINN framework, demonstrating its capability to solve forward and inverse problems involving non-linear partial differential equations [20]. Pure ML models, lacking physical constraints, may generate predictions that violate fundamental laws (e.g., mass balance) when training data is scarce or noisy [21]. PINN resolves this by embedding physical laws directly into the neural network’s loss function as regularization terms [22]. This hybrid architecture compels the model to adhere to known biological principles while learning from data, thereby significantly enhancing generalization capability, physical consistency, and interpretability. Despite its potential, the application of PINN in complex anaerobic co-digestion systems involving modified materials remains largely uncharted.
In view of these scientific gaps, this study aims to advance both the process technology and the modeling framework for organic waste treatment. First, we investigated the anaerobic co-digestion performance of plastics modified with three specific enzymes (Proteinase K, Porcine Pancreatic Lipase, and Amylase) and FWL under both mesophilic and thermophilic conditions. Subsequently, based on the experimental data, we systematically evaluated the predictive performance of traditional kinetic models versus various ML models (SVR, GBR, XGBoost, ANN). Innovatively, a PINN model incorporating Modified Gompertz kinetic constraints was constructed. The specific objectives are: (1) to elucidate the methane enhancement potential of enzyme-modified plastics in co-digestion; and (2) to establish a robust hybrid model that synergizes high prediction accuracy with physical interpretability, providing a novel tool for the intelligent management of mixed organic waste.

2. Materials and Methods

2.1. Substrates and Inoculum

2.1.1. Preparation of Enzyme-Modified Biodegradable Plastics

The BP used in this study was composed of PLA and PBAT (1:2, w/w) [23]. Its preparation employed the solvent casting method: polymer granules were dissolved in a mixed solvent of chloroform/water (6:1, v/v), after which the solution was poured into a 10 cm Petri dish and dried at 40 °C to form a film. The enzyme modification process was achieved via the coating method: first, one of the enzymes—Proteinase K (PK), Porcine Pancreatic Lipase (PPL), or Amylase (Amy)—was dissolved in a dichloromethane/water (1:9, v/v) mixture to prepare the enzyme modification solution, ensuring the final enzyme loading was 1% (w/w) of the total mass. Finally, this enzyme solution was uniformly coated onto the surface of the aforementioned BP film and dried again at 40 °C to form the enzyme-modified BP material.

2.1.2. Inoculum Sludge and Co-Substrate Mixture

The anaerobic activated sludge and FWL used in this study were both collected from a municipal solid waste disposal plant in Shanghai. After collection, the sludge was concentrated, its physicochemical properties were analyzed, and it was then stored under refrigeration at 4 °C for later use. Prior to use, the sludge required activation: sludge samples were placed in Erlenmeyer flasks and incubated under sealed conditions in a constant temperature water bath at 35 °C or 55 °C for 3 days [24]. The co-substrate mixture used in this study consisted of the collected FWL and the prepared BP, at a weight ratio of 99:1. The physicochemical properties of the activated sludge and the co-substrate mixture are detailed in Table 1.

2.2. BMP Test for Anaerobic Co-Digestion of Enzyme-Modified BP and FWL

The BMP test was conducted in 150 mL serum bottles, which served as anaerobic digestion reactors. A total of 8 experimental groups were established in this study, with each group performed in triplicate. The experimental groups were divided into two categories based on temperature conditions: mesophilic and thermophilic. The mesophilic groups included: BC_M (control group, using unmodified BP and FWL co-substrate mixture), PK_CM (using PK-modified BP and FWL co-substrate mixture), PPL_CM (using PPL-modified BP and FWL co-substrate mixture), and Amy_CM (using Amy-modified BP and FWL co-substrate mixture). The substrate components of the thermophilic groups (BC_H, PK_CH, PPL_CH, Amy_CH) corresponded one-to-one with the mesophilic groups, where BC_H served as the thermophilic control group. In each reactor, the co-substrate mixture and the inoculum sludge were added at a volatile solids (VS) ratio of 5:2. Subsequently, high-purity N2 was sparged into the reactors to remove the headspace air, and they were immediately sealed with rubber stoppers and aluminum caps to ensure anaerobic conditions [25]. All reactors were incubated in a constant-temperature shaking water bath, with the oscillation frequency set at 100 rpm. The incubation temperatures were maintained at 35 °C and 55 °C for the mesophilic and thermophilic groups, respectively. The anaerobic co-digestion process lasted for 30 days.

2.3. Kinetic Model Construction

In this study, three empirical kinetic models suitable for investigating the anaerobic co-digestion of modified BP and FWL were selected to fit the BMP test data. The models herein were used to evaluate methane production, rather than biogas production. Furthermore, the fitting results of each model were interpreted and compared. The fitting process for the empirical anaerobic digestion kinetic models was performed using Origin (2022). When hydrolysis is the rate-limiting step in the anaerobic digestion process, such as when lignocellulosic materials are used as substrates, the First-order kinetic model is the most widely applied model. The calculation formula is shown in Equation (1). When a lag phase is observed in the anaerobic digestion process, the Modified Gompertz model is commonly used to analyze the kinetics. The calculation formula for the Modified Gompertz model is shown in Equation (2). The Cone model is an empirical model used to evaluate the effect of specific substrates on methane production in the presence of rumen microorganisms. The Cone model allows for the determination of the specific methane production rate and the maximum cumulative methane yield. The calculation formula is shown in Equation (3).
B = f d 1 e ( k t )
B = f d e e 1 + x × R m × λ t f d
B = f d 1 + k t n
where B is the measured cumulative methane yield at day t (mL (g VS)−1); fd is the theoretical maximum methane yield of the substrate (mL (g VS)−1); Rm is the theoretical maximum methane production rate (mL (g VS)−1 (day)−1); λ is the lag phase duration (day); t is the anaerobic digestion time (day); k is the kinetic constant (day−1); n is the shape factor (dimensionless).

2.4. Machine Learning Model Construction

This study primarily utilized machine learning regression models based on four different algorithms (implemented in Python (3.10.13) using the scikit-learn library (1.3.2)) to predict methane production from anaerobic co-digestion: Support Vector Regression (SVR), Gradient Boost Regressor (GBR), eXtreme Gradient Boosting (XGBoost), and Artificial Neural Network (ANN). By searching relevant literature, 261 sets of original data were collected [26,27].
To eliminate the influence of differing physical units and magnitudes, Min-Max normalization was applied to each input variable independently across the entire pooled dataset, scaling all values to the range of [0, 1]. The normalized data was partitioned, with the ratio between the training set, validation set, and test set being 7:1:2. In this research, SVR, GBR, XGBoost, and ANN algorithms were used to build models for predicting methane production; temperature, pH, total COD (TCOD), time, the COD equivalent of plastics, and the weight percentage of plastics were used as model inputs, with methane production as the model output. To ensure the model’s robustness and its ability to generalize across different anaerobic digestion systems, the dataset covers a wide range of operational conditions and substrate compositions. Specifically, the dataset includes two distinct temperature regimes: mesophilic (35–45 °C) and thermophilic (45–55 °C), addressing the heterogeneity in thermal kinetics. The pH ranges from 6.65 to 8.31, and the TCOD varies significantly from 0 to 76,200 mg L−1, representing diverse organic loading rates. Furthermore, to capture the specific impact of biodegradable plastics on methanogenesis, the dataset explicitly mixes systems with and without plastics, with the plastic weight percentage ranging from 0% (control groups) to 30%. The HRT spans from 16 to 125 days, covering broadly varying temporal scales. In addition, the units for methane yield will be uniformly converted to mL/(g VS)−1, thereby avoiding inconsistencies in machine learning parameters.
SVR, GBR, XGBoost, and ANN algorithms have been widely applied to simulate anaerobic digestion processes and have demonstrated their accuracy in predicting methane yield [28]. SVR is widely valued in anaerobic digestion modeling for its robustness in handling non-linear dynamics and limited datasets, which are common constraints in biological experiments [29]. GBR utilizes ensemble learning to iteratively minimize residuals, effectively capturing complex interactions between operational parameters and bioprocess performance [30]. For example, Gao et al. achieved highly accurate predictions (R2 = 0.998) of anaerobic methane production from plastic-containing organic waste using GBR [17]. XGBoost, an advanced implementation of gradient boosting, incorporates regularization to mitigate overfitting, making it highly efficient for analyzing high-dimensional or noisy environmental data [31,32]. In addition, ANN are utilized to map the intricate, non-linear kinetics of microbial metabolism and substrate degradation, providing predictive insights that are often challenging to obtain with conventional deterministic models [33]. In this study, the ANN was configured with three hidden layers containing 64, 32, and 16 neurons, respectively, utilizing ReLU as the activation function. Key hyperparameters included a dropout rate of 0.5 and a learning rate of 0.01, with the random state fixed at 42 to guarantee the reproducibility of the results. Model performance is evaluated using root mean square error (RMSE) and coefficient of determination (R2). RMSE quantifies the degree of deviation between predicted and observed values (Equation (4)), with lower values indicating better model performance. R2 reflects the proportion of variance in the dependent variable explained by the model (Equation (5)), ranging from 0 to 1. Values closer to 1 indicate stronger explanatory power of the model.
R S M E = 1 n i = 1 n y i y i ^ 2
R 2 = 1 i = 1 n y i y i ^ 2 i = 1 n y i y ¯ 2
where y i denotes the true value of the i-th sample, y i ^ represents its predicted value, and y ¯ is the mean of the true values for all n samples.
PINN is a computational method that combines physical models with deep learning techniques. By incorporating physical information, PINN can not only enhance prediction accuracy but also improve the model’s generalization ability and interpretability [34]. To integrate the physical information of the Modified Gompertz model into the neural network, it is incorporated into the construction of the loss function. First, the prediction error is defined. Then, the error ( M S E M C M ) between the neural network’s predicted value and the Modified Gompertz model’s predicted value ( Q M C M ( t ) ) is calculated, serving as the physical constraint term. The final loss function combines the prediction error and the physical constraint error (Equation (6)), with a weighting parameter adjusting their relative importance. During the training process, by minimizing this combined loss function, the neural network not only learns data-driven features but is also guided to adhere to the physical laws of the Modified Gompertz model. In this way, the model can not only accurately predict methane production but also ensure that the prediction results are physically plausible.
L o s s = M S E N N + w · M S E M C M

2.5. Other Analyses

According to the standard methods, pH, VS, TCOD, and soluble COD (SCOD) were analyzed [35]. The proteins and carbohydrates were measured according to previous study [36]. Methane was determined using a gas chromatograph (8890, Agilent, Santa Clara, CA, USA). Lipids were determined by the Soxhlet extraction gravimetric method, while ammonia nitrogen was measured using Nessler’s reagent spectrophotometric method at 420 nm on a UV/Vis spectrophotometer (UV-2550, SHIMADZU, Kyoto, Japan). The degradation rate of BP was calculated based on BP mass loss. First, the reaction solution was filtered through a 1 mm mesh filter to collect residual BP, followed by ultrasonic cleaning. This filtration and cleaning process was repeated three times to ensure complete separation of BP. The separated sample was then repeatedly washed with distilled water, dried at 40 °C to constant weight, and finally weighed precisely using an electronic balance (LA204E/A, Mettler Toledo, Greifensee, Switzerland). Data significance was evaluated using analysis of variance (ANOVA), with p < 0.05 considered statistically significant.

3. Results and Discussion

3.1. Anaerobic Co-Digestion Methane Potential of Enzyme-Modified BP and FWL

The modified BP was characterized using fluorescence microscopy, wherein green fluorescence indicated the presence of protein components (Figure 1a–d). Before the experiment, no fluorescence was observed on the surfaces of the unmodified BP. In contrast, the surfaces of all enzyme-modified BP samples exhibited green fluorescence before the experiment. This result demonstrates that PK, PPL, and Amy were successfully loaded onto the surfaces of the enzyme-modified BP.
The cumulative methane production (CMP) on day 30 (Figure 1e) revealed the differential impacts of various modified BPs on the anaerobic co-digestion of FWL. Compared to the control groups (Mesophilic: 203.3 mL (g VS)−1; Thermophilic: 240.9 mL (g VS)−1), the addition of modified BP significantly enhanced methane production performance, particularly under thermophilic conditions (PK_CH group: 265.4 mL (g VS)−1). ANOVA confirmed that significant differences existed among treatment groups under both temperatures (F = 39.29–496.00), indicating that the type of modified BP was a key factor (Table 2). This performance enhancement may be attributed to the functional enzymes (e.g., PK, PPL, Amy) released from the self-hydrolysis of the modified BP, which synergistically accelerated the hydrolysis of both FWL and BP. Additionally, under thermophilic conditions, the degradation rates (mass loss rate) of BPs across all groups were generally higher than those under mesophilic conditions. Furthermore, the degradation rates of enzyme-modified BPs were significantly higher than those of the control group. For instance, the degradation rates of PK_CH, PPL_CH, and Amy_CH BPs were significantly higher than that of BC_H (5.21%), with PK_CH exhibiting the highest rate at 29.70% (Figure 1e). Therefore, the superiority of thermophilic conditions stemmed from a higher plastic degradation rate (releasing more monomers), potentially more efficient microbial communities, and a more favorable enzymatic environment. Particularly under thermophilic conditions, the high significance of the F-value further highlighted that the substrate specificity of the enzymes was central to determining methanogenic efficiency. PK is capable of specifically hydrolyzing proteins, while PPL and Amy exhibit specific degradation capabilities for lipids and starches, respectively [37,38,39]. Simultaneously, anaerobic microorganisms demonstrate a critical demand for ammonia nitrogen during their metabolic and growth processes [40]. The amino acid monomers derived from protein hydrolysis by PK provide a robust foundation for microbial metabolism and proliferation, which likely explains why the methane yield under thermophilic conditions was significantly higher than that of other groups. However, the sensitivity of enzyme activity (particularly PK) to temperature attenuated this specificity-driven enhancement effect under mesophilic conditions.

3.2. Kinetic Model Construction for Anaerobic Co-Digestion of Enzyme-Modified BP and FWL

To further elucidate the kinetic characteristics of the BMP test, this study employed the First-order, Modified Gompertz, and Cone models to fit and analyze the 30-day experimental data. The fitting results of the model’s kinetic parameters are summarized in Table 3, Table 4 and Table 5, and the comparison between the model-predicted curves and the experimental data is shown in Figure 2. The goodness-of-fit of the models was evaluated by comparing statistical indicators such as the coefficient of determination (R2), Residual Sum of Squares (RSS), and Root Mean Square Error (rMSE). The results showed that the R2 values of the First-order model were relatively low, and its RSS and rMSE values fluctuated significantly across samples, indicating its limited predictive ability in describing the complex methane generation process. In contrast, both the Modified Gompertz model and the Cone model demonstrated extremely high fitting accuracy, with R2 values generally approaching 1.0, while their RSS and rMSE values remained at low levels. In terms of parameter identifiability and stability, the parameters of the First-order model (such as k and fd) are relatively simple, but they showed large variations among different samples, indicating poor stability. Although the Modified Gompertz model (fd, Rm, λ) and the Cone model (k and n) have more complex structures, their parameter estimates exhibited higher consistency across different samples. Particularly, the parameters of the Modified Gompertz model possess clear biological significance (e.g., maximum methane potential, maximum methane production rate, lag phase), granting them high identifiability. Overall, the Modified Gompertz and Cone models were significantly superior to the First-order model in terms of goodness-of-fit, parameter stability, and universality (adaptability to different substrates and conditions).
Among the models studied, the Modified Gompertz model exhibited the lowest RSS, rMSE, and AIC values in all fittings, and was selected as the optimal kinetic model to describe this anaerobic co-digestion system. The superior performance of the Modified Gompertz model can be attributed to its structural inclusion of the lag phase parameter. In the co-digestion system containing enzyme-modified plastics, the hydrolysis of solid polymer matrices and the subsequent colonization by microorganisms require a distinct initialization period. Unlike the First-order model, which assumes instantaneous degradation, the Modified Gompertz model accurately captures this biological adaptation phase, resulting in a better fit for the sigmoidal methane production curves observed. It is noteworthy that although hydrolysis is often considered the rate-limiting step in anaerobic digestion [41,42], the excellent fit of the Modified Gompertz model (rather than the hydrolysis-based First-order model) suggests that hydrolysis may not be the key rate-limiting step in this enzyme-enhanced co-digestion system. The fitted parameter fd (predicted maximum methane yield) of the optimal model showed a trend highly consistent with the BMP experimental observations. For instance, the fd under thermophilic conditions was significantly higher than under mesophilic conditions, and the PK_CH group exhibited the highest methane potential. Furthermore, the numerical patterns of parameters Rm (maximum methane production rate) and λ (lag phase) clearly quantified the differences in methane generation rates among the treatment groups, which kinetically explains why the PK_CH group could produce more methane in a shorter time (λ was shorter) and at a higher rate (Rm was higher) [43].
Although the First-order model had a poor goodness-of-fit, its parameter (the k-value, representing the hydrolysis rate constant [44]) can still provide valuable supporting evidence. The data show that the k-value of the PK_CH group was much larger than that of the control group BC_H, while the R2 value of its First-order model fit was also lower. This phenomenon precisely indicates that the addition of PK-modified BP greatly accelerated the system’s hydrolysis rate, causing the hydrolysis reaction to no longer be the sole rate-limiting step of the system. Therefore, the First-order model, which is based on a single hydrolysis rate limitation, was no longer applicable. This also corroborates, from a kinetic perspective, the experimental observation that enzyme-modified BP can significantly enhance anaerobic co-digestion methane production.

3.3. Machine Learning Model Construction for Anaerobic Co-Digestion of Enzyme-Modified BP and FWL

To overcome the limitations of kinetic models in handling multivariate interactions, four machine learning models (SVR, GBR, XGBoost, and ANN) were constructed to predict methane production. The performance of these models varied significantly regarding generalization ability (Figure 3). Both SVR and XGBoost exhibited distinct signs of overfitting. While XGBoost achieved a perfect fit on the training set (R2 = 1), its performance on the test set dropped significantly, and SVR similarly showed a sharp decline in from 0.994 (training) to 0.905 (testing). This discrepancy suggests that these models captured noise specific to the training data rather than the underlying universal biological patterns, resulting in poor generalization to unseen data. Although GBR mitigated overfitting to some extent through ensemble learning, its prediction accuracy was surpassed by the ANN model.
The ANN model showed a good goodness-of-fit on the training set (R2 = 0.946). Notably, the model demonstrated superior performance on the test set (R2 = 0.958), indicating its excellent generalization ability, which was significantly better than the SVR and XGBoost models. This phenomenon, where the test set performance slightly exceeds the training set performance, is likely attributed to the effective implementation of regularization techniques during the training phase. Regularization introduces constraints to prevent overfitting, which may slightly suppress the training scores. However, these constraints are typically deactivated during the testing phase, allowing the model to utilize its full predictive capacity. Furthermore, the random partitioning of the dataset might have resulted in a test set containing data points with distribution characteristics that are slightly easier for the model to generalize compared to the training set. The RMSE and RRMSE of the ANN model on both the training and test sets remained at low levels, and the gap between them was minimal, which jointly confirmed the model’s strong robustness. This excellent generalization performance (i.e., test set performance surpassing training set performance) is likely attributed to effective regularization techniques and appropriate selection of model complexity. This allowed the ANN to successfully capture the complex non-linear relationships in the data via multiple neuron layers and activation functions, while effectively avoiding the overfitting trap, thus achieving an ideal balance between model complexity and generalization performance. Based on the ANN model, the optimized process conditions were predicted to betemperature 35 °C, pH 8.1, TCOD 64.64 g L−1, SCOD 13.38 g L−1, fermentation time 100 days, and a plastic weight percentage of 0.3%. Under these conditions, the predicted maximum cumulative methane yield could reach 384.4 mL (g VS)−1. It is important to acknowledge the limitations regarding the optimal digestion time suggested by the ANN optimization. Since the BMP experiments in this study were conducted for a duration of 30 days, predicting methane yields at 100 days represents an extrapolation beyond the experimental domain. The model assumes that the metabolic trends observed within the first 30 days would continue essentially linearly or asymptotically without unforeseen inhibition or substrate exhaustion. Therefore, the predicted yield at 100 days should be interpreted as a theoretical maximum potential under ideal conditions. Future long-term experimental validation is required to confirm the accuracy of predictions extending significantly beyond the training data timeframe.
However, despite the superior predictive accuracy of the ANN, purely data-driven models possess inherent limitations. Firstly, they operate as “black boxes”, lacking the transparency required to elucidate the biological mechanisms (e.g., hydrolysis rates or lag phases) driving the predictions. Secondly, without physical constraints, ML models may generate predictions that violate fundamental mass balance or kinetic laws when extrapolating beyond the training range. These limitations highlight a critical need for a modeling approach that synergizes the high accuracy of machine learning with the interpretability of kinetic principles [45].

3.4. Construction of the Hybrid Prediction Model for Anaerobic Co-Digestion of Enzyme-Modified BP and FWL

To bridge the gap between the high predictive accuracy of the ANN and the interpretability of kinetic laws, this study constructed a novel Modified Gompertz PINN model. Unlike purely data-driven approaches, this hybrid framework explicitly embeds the Modified Gompertz kinetic equation into the neural network’s loss function as a physical constraint.
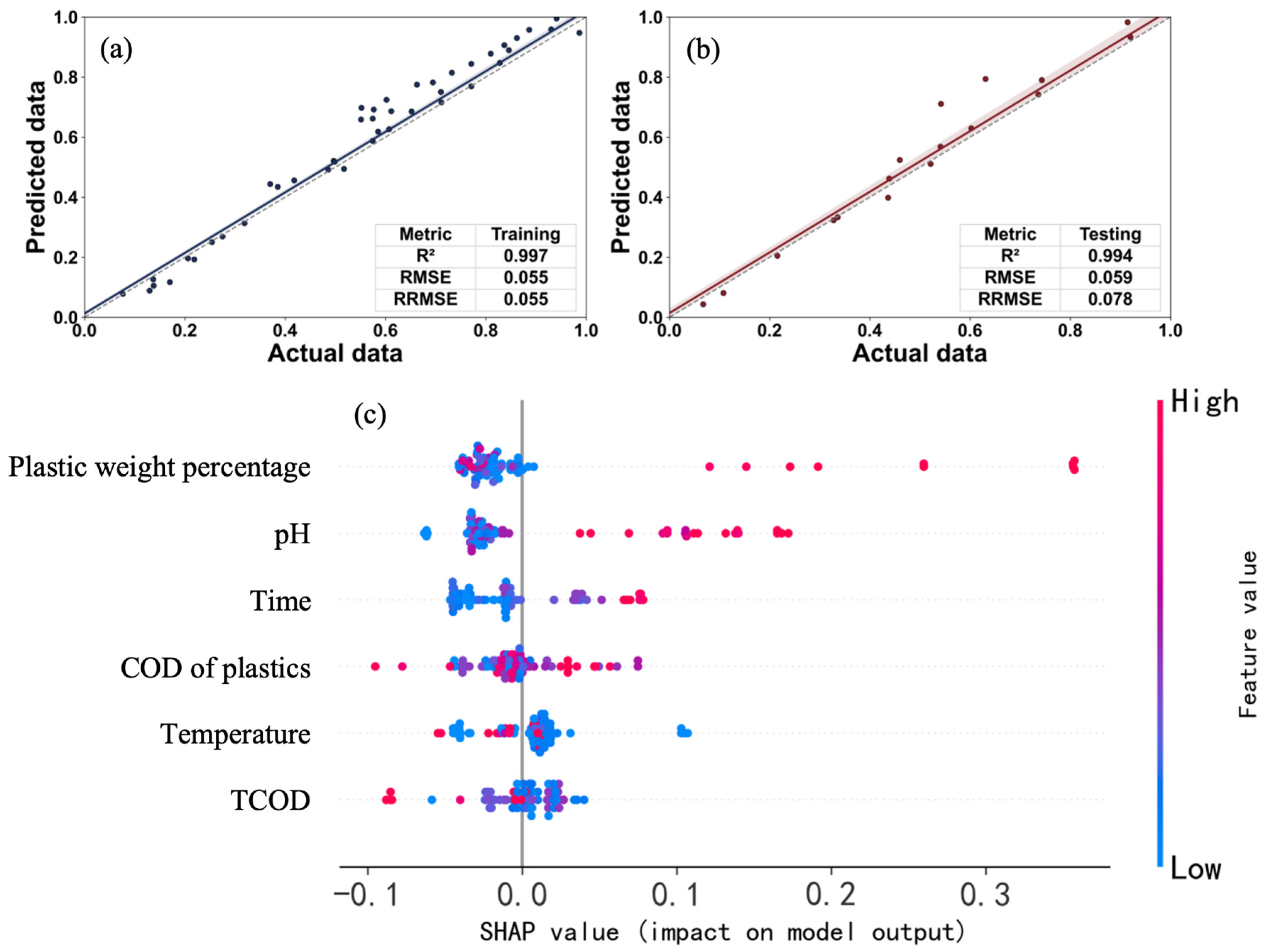
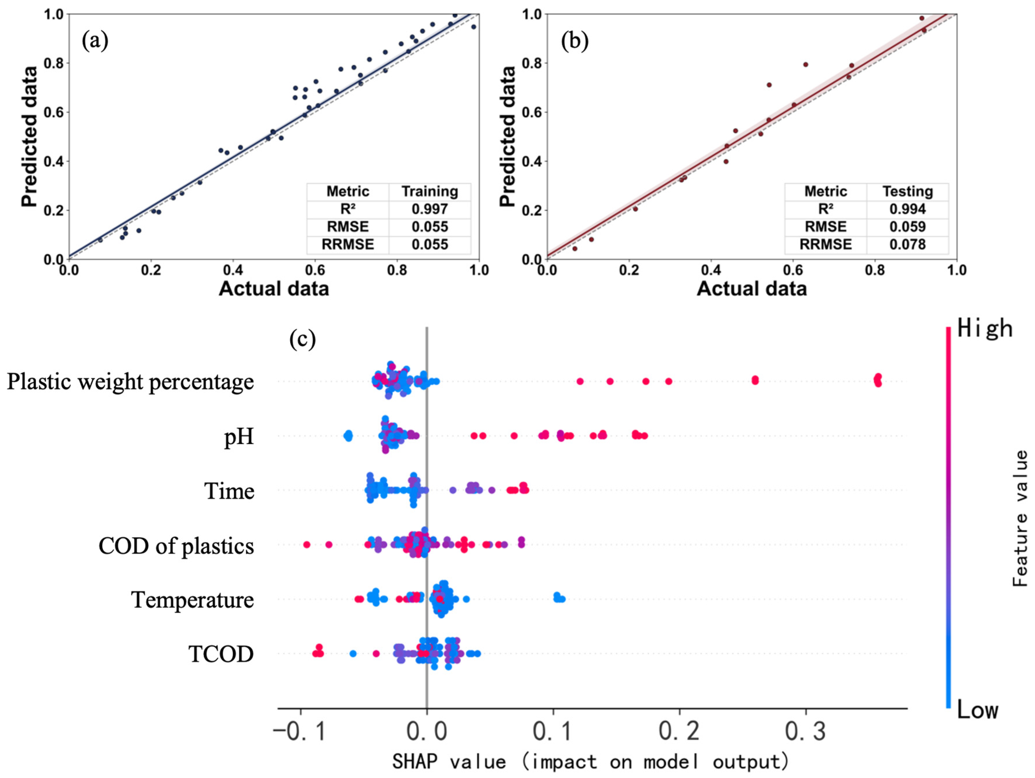
Figure 4a,b demonstrate the prediction performance of the constructed Modified Gompertz PINN model on the training and test sets. The model exhibited outstanding fitting accuracy and generalization ability, with R2 values reaching as high as 0.997 and 0.994 on the training and test sets, respectively. Meanwhile, all error metrics were maintained at extremely low levels (e.g., test set rMSE = 0.054, test set rRMSE = 0.078). The high consistency of statistical metrics between the training and test sets strongly confirms that the model successfully avoided overfitting and possesses excellent generalization performance. This superior performance (compared to traditional neural networks) is attributed to the intrinsic mechanism of PINN (Table 6). Traditional ANN models must search within a vast parameter space during optimization, whereas PINN embeds the Modified Gompertz kinetic equation as a physical constraint within the loss function. This physical prior knowledge effectively narrows the model’s solution space, guiding the optimization process to converge towards a solution that complies with physical laws. Consequently, the model not only learns data-driven features but also adheres to intrinsic physical mechanisms, enabling it to more accurately reflect the true biological process, thereby significantly improving prediction accuracy and robustness.
To investigate the influence mechanisms and contribution levels of each input variable on methane production prediction, this study employed SHAP (SHapley Additive exPlanations) analysis, with the results shown in Figure 4c. In the SHAP plot, all input features are ranked in descending order according to their mean absolute SHAP value, which quantifies the feature’s global contribution to the model’s output. Each point in the plot represents a data sample: its position on the X-axis represents the SHAP value of that feature for that sample, where a positive SHAP value indicates a positive impact on the model output (methane production), and a negative value indicates a negative (inhibitory) impact; the color of the point represents the feature’s own normalized value (red for high feature values, blue for low feature values) [17,46]. According to the analysis results in Figure 4c, plastic weight percentage is the feature with the largest contribution to methane production, followed by pH. Furthermore, the three features plastic weight percentage, pH, and time all exhibited a significant positive promotional effect on methane production. This is specifically manifested as: the vast majority of red dots (high feature values) for these three features are distributed on the positive half of the X-axis (high SHAP values), clearly indicating that a higher plastic weight percentage, a higher pH value, and a longer reaction time all lead to an increase in the model’s predicted methane production.
The SHAP analysis results revealed that plastic weight percentage and pH are the two key features with the highest contribution to methane production. The strong positive correlation of plastic weight percentage may be attributed to its role as an additional organic carbon source, increasing the total substrate supply, as biodegradable plastics are degraded by microorganisms into small-molecule organic matter under anaerobic conditions, directly increasing the total substrate available for methanogenesis. Meanwhile, the rapid degradation of certain plastics might release readily utilizable intermediate products, such as short-chain fatty acids or alcohols, which are excellent substrates for methanogens, thereby accelerating the methane generation rate. Additionally, a higher plastic percentage might also act as an environmental selection pressure, enriching microbial communities specialized in plastic degradation and enhancing their abundance and metabolic activity. As the second key factor, the positive promotional effect of pH highlights its core regulatory role in the anaerobic digestion process. This is because the optimal physiological activity range for the vast majority of anaerobic microorganisms, especially methanogenic archaea which are highly sensitive to environmental changes, lies in the neutral to slightly alkaline range (e.g., pH 6.5–8.0). Maintaining this optimal pH range is a prerequisite for ensuring efficient metabolism; moreover, a higher pH (such as the slightly alkaline conditions indicated by SHAP) implies the system possesses stronger buffering capacity, which can effectively neutralize accumulated acidic intermediates (like volatile fatty acids), thereby preventing system acidification from inhibiting the methanogenesis stage and maintaining the dynamic balance and synergy among different functional microbial groups. In the anaerobic digestion process, hydrolysis is the initial step that produces acidic intermediates and directly influences pH, and this process is extremely sensitive to pH changes. Therefore, the Modified Gompertz PINN prediction model learned from the data and identified the extreme importance of pH. This result also indirectly corroborates, from a biological perspective, the core limiting and regulatory role of the hydrolysis–acidification process on the entire anaerobic co-digestion system.

4. Conclusions

This study successfully investigated the methane production performance of anaerobic co-digestion of enzyme-modified BP and FWL, and innovatively constructed a PINN model to achieve precise prediction and mechanistic interpretation of the complex biological process. The main conclusions are as follows:
  • Process Performance Validation: Enzyme-modified BP, particularly BP modified with PK, significantly enhanced the anaerobic co-digestion methane production performance with FWL. Under thermophilic conditions (55 °C), the CMP of the PK_CH group reached 265.4 mL (g VS)−1, significantly outperforming the mesophilic conditions and the unmodified control group. This indicates that the synergistic effect of enzyme specificity (PK-mediated hydrolysis of proteins) and the thermophilic environment is key to enhancing substrate degradation and methane yield.
  • Kinetic Mechanism Analysis: Among the three kinetic models (First-order, Modified Gompertz, and Cone), the Modified Gompertz model exhibited the best goodness-of-fit (R2 > 0.99) for all experimental groups. This indicates that due to the enzymatic introduction greatly accelerating the hydrolysis process, the traditionally considered hydrolysis rate-limiting step may no longer be the sole bottleneck in this enhanced co-digestion system; the system’s kinetic characteristics are instead governed by more complex factors, including the lag phase.
  • Model Comparison and PINN Construction: Among the conventional machine learning models, the ANN demonstrated the best generalization ability (test set), outperforming SVR, GBR, and XGBoost. However, to overcome the “black-box” limitations of ANN, the Modified Gompertz PINN model constructed in this study achieved a unification of prediction accuracy and physical interpretability. This hybrid model demonstrated exceptional performance (Training set R2 = 0.997, Test set R2 = 0.994), significantly outperforming all conventional models, and effectively avoided overfitting.
  • Mechanistic Interpretation and Key Factor Identification: Based on the PINN model’s SHAP analysis, plastic weight percentage and pH were successfully identified as the two most critical features regulating methane production, with both showing a strong positive correlation with methane yield. The extreme importance of pH, from a data-driven perspective, corroborates that the stability of the hydrolysis and acidification stage (i.e., system buffering capacity) plays a core regulatory role in the entire anaerobic digestion process.
In summary, this study not only provides a novel process insight for the synergistic resource valorization of biodegradable plastics and food waste leachate, but the developed PINN hybrid model, serving as a powerful modeling tool, has successfully bridged the gap between traditional kinetic models and “black-box” AI models, providing a new paradigm for the intelligent prediction and mechanistic analysis of complex wastewater biotreatment processes.

Author Contributions

Writing—original draft preparation, Z.W.; data curation, S.W.; resources, X.Z.; conceptualization, W.L.; writing—review and editing, Z.S. All authors have read and agreed to the published version of the manuscript.

Funding

This work was supported by the Key Projects of Intergovernmental International Scientific and Technological Innovation Cooperation (Grant No. 2022YFE0120600).

Data Availability Statement

The original contributions presented in this study are included in the article. Further inquiries can be directed to the corresponding author.

Conflicts of Interest

The authors declare no conflicts of interest.

Abbreviations

The following abbreviations are used in this manuscript:
MSWMunicipal Solid Waste
ADAnaerobic Digestion
FWLFood Waste Leachate
BPBiodegradable Plastics
PKProteinase K
PPLPorcine Pancreatic Lipase
AmyAmylase
MLMachine Learning
SVRSupport Vector Regression
GBRGradient Boost Regressor
XGBoosteXtreme Gradient Boosting
ANNArtificial Neural Network
PINNPhysics-Informed Neural Network
TCODTotal Chemical Oxygen Demand
SCODSoluble Chemical Oxygen Demand

References

  1. Liu, T.; Wang, P.; Cao, J.; Weng, Z.; Stegmann, R. Implementing Mandatory Household Waste Sorting: Economic Perspective and Policy Implications. J. Clean. Prod. 2025, 516, 145795. [Google Scholar] [CrossRef]
  2. Zhang, J.; Qin, Q.; Li, G.; Tseng, C.-H. Sustainable Municipal Waste Management Strategies through Life Cycle Assessment Method: A Review. J. Environ. Manag. 2021, 287, 112238. [Google Scholar] [CrossRef]
  3. Xie, S.; Gong, Y.; Zhang, A.; Liu, Y.; Li, C. Untangling the Critical Success Factors of the Latest Compulsory Waste Sorting Initiative in Shanghai: The Role of Accountability Governance. J. Clean. Prod. 2024, 444, 141268. [Google Scholar] [CrossRef]
  4. Xie, Z.; Wang, Z.; Wang, Q.; Zhu, C.; Wu, Z. An Anaerobic Dynamic Membrane Bioreactor (AnDMBR) for Landfill Leachate Treatment: Performance and Microbial Community Identification. Bioresour. Technol. 2014, 161, 29–39. [Google Scholar] [CrossRef]
  5. Luo, J.; Qian, G.; Liu, J.; Xu, Z.P. Anaerobic Methanogenesis of Fresh Leachate from Municipal Solid Waste: A Brief Review on Current Progress. Renew. Sustain. Energy Rev. 2015, 49, 21–28. [Google Scholar] [CrossRef]
  6. Li, M.; Zhang, Q.; Sun, F.; Cui, M.-H.; Liu, H.; Chen, C. The Effect of Microbial Electrolysis Cell Coupled with Anaerobic Digestion for Landfill Leachate Treatment. J. Water Process Eng. 2023, 55, 104260. [Google Scholar] [CrossRef]
  7. Liao, X.; Zhu, S.; Zhong, D.; Zhu, J.; Liao, L. Anaerobic Co-Digestion of Food Waste and Landfill Leachate in Single-Phase Batch Reactors. Waste Manag. 2014, 34, 2278–2284. [Google Scholar] [CrossRef]
  8. Wang, X.; Yang, G.; Feng, Y.; Ren, G.; Han, X. Optimizing Feeding Composition and Carbon–Nitrogen Ratios for Improved Methane Yield during Anaerobic Co-Digestion of Dairy, Chicken Manure and Wheat Straw. Bioresour. Technol. 2012, 120, 78–83. [Google Scholar] [CrossRef]
  9. Luca, S.D.; Milanese, D.; Gallichi-Nottiani, D.; Cavazza, A.; Sciancalepore, C. Poly(Lactic Acid) and Its Blends for Packaging Application: A Review. Clean Technol. 2023, 5, 1304–1343. [Google Scholar] [CrossRef]
  10. Matthews, C.; Moran, F.; Jaiswal, A.K. A Review on European Union’s Strategy for Plastics in a Circular Economy and Its Impact on Food Safety. J. Clean. Prod. 2021, 283, 125263. [Google Scholar] [CrossRef]
  11. Gui, T.; Xiao, L.-P.; Zou, S.-L.; Zhang, Y.; Fu, X.; Liu, C.-H.; Sun, R.-C. Tough and Biodegradable C-Lignin Cross-Linked Polyvinyl Alcohol Supramolecular Composite Films with Closed-Looping Recyclability. Chem. Eng. J. 2024, 491, 151748. [Google Scholar] [CrossRef]
  12. Lu, B.; Jiang, C.; Chen, Z.; Li, A.; Wang, W.; Zhang, S.; Luo, G. Fate of Polylactic Acid Microplastics during Anaerobic Digestion of Kitchen Waste: Insights on Property Changes, Released Dissolved Organic Matters, and Biofilm Formation. Sci. Total Environ. 2022, 834, 155108. [Google Scholar] [CrossRef]
  13. Liu, W.; Wang, S.; He, S.; Shi, Y.; Hou, C.; Jiang, X.; Song, Y.; Zhang, T.; Zhang, Y.; Shen, Z. Enzyme Modified Biodegradable Plastic Preparation and Performance in Anaerobic Co-Digestion with Food Waste. Bioresour. Technol. 2024, 401, 130739. [Google Scholar] [CrossRef] [PubMed]
  14. DelRe, C.; Jiang, Y.; Kang, P.; Kwon, J.; Hall, A.; Jayapurna, I.; Ruan, Z.; Ma, L.; Zolkin, K.; Li, T.; et al. Near-Complete Depolymerization of Polyesters with Nano-Dispersed Enzymes. Nature 2021, 592, 558–563. [Google Scholar] [CrossRef]
  15. Gao, S.M.; Zhao, M.X.; Ruan, W.Q.; Deng, Y.Y. Kinetics Modeling of Anaerobic Fermentative Production of Methane from Kitchen Waste Solid Residual. Adv. Mater. Res. 2014, 864–867, 1253–1257. [Google Scholar]
  16. Qin, X.; Zhong, W.; Wang, R.; Li, Z.; Gao, X.; Li, G. Assessment of Food Waste Biodegradability by Biochemical Methane Potential Tests. Energy Sources Part Recovery Util. Environ. Eff. 2016, 38, 3599–3605. [Google Scholar] [CrossRef]
  17. Gao, Z.; Ren, Z.; Cui, T.; Fu, Y. Machine Learning-Based Analysis of Microplastic-Induced Changes in Anaerobic Digestion Parameters Influencing Methane Yield. J. Environ. Manag. 2025, 377, 124627. [Google Scholar] [CrossRef] [PubMed]
  18. Zhang, H.; Shao, X.; Zhang, Z.; He, M. E-PINN: Extended Physics Informed Neural Network for the Forward and Inverse Problems of High-Order Nonlinear Integro-Differential Equations. Int. J. Comput. Math. 2024, 101, 732–749. [Google Scholar] [CrossRef]
  19. Lagaris, I.E.; Likas, A.; Fotiadis, D.I. Artificial Neural Networks for Solving Ordinary and Partial Differential Equations. IEEE Trans. Neural Netw. 1998, 9, 987–1000. [Google Scholar] [CrossRef]
  20. Cuomo, S.; Di Cola, V.S.; Giampaolo, F.; Rozza, G.; Raissi, M.; Piccialli, F. Scientific Machine Learning Through Physics–Informed Neural Networks: Where We Are and What’s Next. J. Sci. Comput. 2022, 92, 88. [Google Scholar] [CrossRef]
  21. Karniadakis, G.E.; Kevrekidis, I.G.; Lu, L.; Perdikaris, P.; Wang, S.; Yang, L. Physics-Informed Machine Learning. Nat. Rev. Phys. 2021, 3, 422–440. [Google Scholar] [CrossRef]
  22. Irsalinda, N.; Bakar, M.A.; Harun, F.N.; Surono, S.; Pratama, D.A. A New Hybrid Approach for Solving Partial Differential Equations: Combining Physics-Informed Neural Networks with Cat-and-Mouse Based Optimization. Results Appl. Math. 2025, 25, 100539. [Google Scholar] [CrossRef]
  23. Yu, C.; Dongsu, B.; Tao, Z.; Xintong, J.; Ming, C.; Siqi, W.; Zheng, S.; Yalei, Z. Anaerobic Co-Digestion of Three Commercial Bio-Plastic Bags with Food Waste: Effects on Methane Production and Microbial Community Structure. Sci. Total Environ. 2023, 859, 159967. [Google Scholar] [CrossRef]
  24. Yu, C.; Dongsu, B.; Tao, Z.; Zhe, K.; Xintong, J.; Siqi, W.; Ming, C.; Zheng, S.; Yalei, Z. Anaerobic Co-Digestion of PBAT/PLA/Starch Commercial Bio-Plastic Bags with Food Waste: Effects on Methane Production and Microbial Community Structure. Biochem. Eng. J. 2023, 199, 109072. [Google Scholar] [CrossRef]
  25. Wang, Y.; Wei, W.; Wu, S.-L.; Ni, B.-J. Zerovalent Iron Effectively Enhances Medium-Chain Fatty Acids Production from Waste Activated Sludge through Improving Sludge Biodegradability and Electron Transfer Efficiency. Environ. Sci. Technol. 2020, 54, 10904–10915. [Google Scholar] [CrossRef]
  26. Cucina, M.; Soggia, G.; De Nisi, P.; Giordano, A.; Adani, F. Assessing the Anaerobic Degradability and the Potential Recovery of Biomethane from Different Biodegradable Bioplastics in a Full-Scale Approach. Bioresour. Technol. 2022, 354, 127224. [Google Scholar] [CrossRef]
  27. Zhang, J.; Zhao, M.; Li, C.; Miao, H.; Huang, Z.; Dai, X.; Ruan, W. Evaluation the Impact of Polystyrene Micro and Nanoplastics on the Methane Generation by Anaerobic Digestion. Ecotoxicol. Environ. Saf. 2020, 205, 111095. [Google Scholar] [CrossRef] [PubMed]
  28. Cruz, I.A.; Chuenchart, W.; Long, F.; Surendra, K.C.; Santos Andrade, L.R.; Bilal, M.; Liu, H.; Tavares Figueiredo, R.; Khanal, S.K.; Fernando, L.; et al. Application of Machine Learning in Anaerobic Digestion: Perspectives and Challenges. Bioresour. Technol. 2022, 345, 126433. [Google Scholar] [CrossRef]
  29. Liao, Y.; Pan, C.; Lu, F.; Sun, M.; Zhu, H. Boosting Biogas Prediction: An Interpretable SVM-RVM-Stacking Model for Small-Sample Anaerobic Digestion. J. Environ. Chem. Eng. 2025, 13, 118829. [Google Scholar] [CrossRef]
  30. Zhang, Y.; Feng, Y.; Ren, Z.; Zuo, R.; Zhang, T.; Li, Y.; Wang, Y.; Liu, Z.; Sun, Z.; Han, Y.; et al. Tree-Based Machine Learning Model for Visualizing Complex Relationships between Biochar Properties and Anaerobic Digestion. Bioresour. Technol. 2023, 374, 128746. [Google Scholar] [CrossRef]
  31. Xu, W.; Long, F.; Zhao, H.; Zhang, Y.; Liang, D.; Wang, L.; Lesnik, K.L.; Cao, H.; Zhang, Y.; Liu, H. Performance Prediction of ZVI-Based Anaerobic Digestion Reactor Using Machine Learning Algorithms. Waste Manag. 2021, 121, 59–66. [Google Scholar] [CrossRef] [PubMed]
  32. Ahmad, A.; Yadav, A.K.; Singh, A.; Singh, D.K. A Comprehensive Machine Learning-Coupled Response Surface Methodology Approach for Predictive Modeling and Optimization of Biogas Potential in Anaerobic Co-Digestion of Organic Waste. Biomass Bioenergy 2024, 180, 106995. [Google Scholar] [CrossRef]
  33. Radočaj, D.; Jurišić, M. Comparative Evaluation of Ensemble Machine Learning Models for Methane Production from Anaerobic Digestion. Fermentation 2025, 11, 130. [Google Scholar] [CrossRef]
  34. Genedy, R.A.; Chung, M.; Ogejo, J.A. Physics-Informed Neural Networks for Predicting Liquid Dairy Manure Temperature during Storage. Neural Comput. Appl. 2023, 35, 12159–12174. [Google Scholar] [CrossRef]
  35. APHA. Standard Methods for the Examination of Water and Wastewater, 21st ed.; American Public Health Association: Washington, DC, USA, 2005. [Google Scholar]
  36. Wang, Y.; Wang, X.; Zheng, K.; Guo, H.; Tian, L.; Zhu, T.; Liu, Y. Ultrasound-Sodium Percarbonate Effectively Promotes Short-Chain Carboxylic Acids Production from Sewage Sludge through Anaerobic Fermentation. Bioresour. Technol. 2022, 364, 128024. [Google Scholar] [CrossRef]
  37. Tian, Y.; Wang, Y.; Zhong, Y.; Møller, M.S.; Westh, P.; Svensson, B.; Blennow, A. Interfacial Catalysis during Amylolytic Degradation of Starch Granules: Current Understanding and Kinetic Approaches. Molecules 2023, 28, 3799. [Google Scholar] [CrossRef]
  38. Xu, C.; Battig, A.; Schartel, B.; Siegel, R.; Senker, J.; von der Forst, I.; Unverzagt, C.; Agarwal, S.; Möglich, A.; Greiner, A. Investigation of the Thermal Stability of Proteinase K for the Melt Processing of Poly(l-Lactide). Biomacromolecules 2022, 23, 4841–4850. [Google Scholar] [CrossRef] [PubMed]
  39. Zhang, Z.; Jiang, S.; Li, Y.; Xie, D.; Li, J.-X. Residue Profiles of Peptides with Cholesterol Esterase and Pancreatic Lipase Inhibitory Activities through Virtual Screening and Sequence Analysis. Food Chem. 2024, 460, 140708. [Google Scholar] [CrossRef] [PubMed]
  40. Habenicht, T.; Weidenbach, K.; Velazquez-Campoy, A.; Buey, R.M.; Balsera, M.; Schmitz, R.A. Small Protein Mediates Inhibition of Ammonium Transport in Methanosarcina Mazei—An Ancient Mechanism? Microbiol. Spectr. 2023, 11, e02811-23. [Google Scholar] [CrossRef]
  41. Chen, Y.; Jiang, S.; Yuan, H.; Zhou, Q.; Gu, G. Hydrolysis and Acidification of Waste Activated Sludge at Different pHs. Water Res. 2007, 41, 683–689. [Google Scholar] [CrossRef]
  42. Vavilin, V.A.; Fernandez, B.; Palatsi, J.; Flotats, X. Hydrolysis Kinetics in Anaerobic Degradation of Particulate Organic Material: An Overview. Waste Manag. 2008, 28, 939–951. [Google Scholar] [CrossRef] [PubMed]
  43. Karki, R.; Chuenchart, W.; Surendra, K.C.; Sung, S.; Raskin, L.; Khanal, S.K. Anaerobic Co-Digestion of Various Organic Wastes: Kinetic Modeling and Synergistic Impact Evaluation. Bioresour. Technol. 2022, 343, 126063. [Google Scholar] [CrossRef]
  44. Zhen, G.; Lu, X.; Kobayashi, T.; Kumar, G.; Xu, K. Anaerobic Co-Digestion on Improving Methane Production from Mixed Microalgae (Scenedesmus sp., Chlorella sp.) and Food Waste: Kinetic Modeling and Synergistic Impact Evaluation. Chem. Eng. J. 2016, 299, 332–341. [Google Scholar] [CrossRef]
  45. Zhang, X.; Zhu, Y.; Wang, J.; Ju, L.; Qian, Y.; Ye, M.; Yang, J. GW-PINN: A Deep Learning Algorithm for Solving Groundwater Flow Equations. Adv. Water Resour. 2022, 165, 104243. [Google Scholar] [CrossRef]
  46. Li, W.; Huang, J.; Shi, Z.; Han, W.; Lü, T.; Lin, Y.; Meng, J.; Xu, X.; Hou, P. Machine Learning Enabled Prediction and Process Optimization of VFA Production from Riboflavin-Mediated Sludge Fermentation. Front. Environ. Sci. Eng. 2023, 17, 135. [Google Scholar] [CrossRef]
Figure 1. (ad) Fluorescence microscopy images of unmodified BP, PK-modified BP, PPL-modified BP, and Amy-modified BP before experimentation and (e) CMP and BPs degradation rate at Day 30 of BMP Testing for anaerobic co-digestion of enzyme-modified BPs and FWL (BC_M, PK_CM, PPL_CM, Amy_CM and BC_H, PK_CH, PPL_CH, Amy_CH represent the unmodified BP group, PK-modified BP group, PPL-modified BP group, Amy-modified BP group (under mesophilic conditions); and the unmodified BP group, PK-modified BP group, PPL-modified BP group, Amy-modified BP group (thermophilic conditions)).
Figure 1. (ad) Fluorescence microscopy images of unmodified BP, PK-modified BP, PPL-modified BP, and Amy-modified BP before experimentation and (e) CMP and BPs degradation rate at Day 30 of BMP Testing for anaerobic co-digestion of enzyme-modified BPs and FWL (BC_M, PK_CM, PPL_CM, Amy_CM and BC_H, PK_CH, PPL_CH, Amy_CH represent the unmodified BP group, PK-modified BP group, PPL-modified BP group, Amy-modified BP group (under mesophilic conditions); and the unmodified BP group, PK-modified BP group, PPL-modified BP group, Amy-modified BP group (thermophilic conditions)).
Water 17 03411 g001
Figure 2. Actual and predicted methane production values. (a) BC_M, (b) PK_CM, (c) PPL_CM, (d) Amy_CM, (e) BC_H, (f) PK_CH, (g) PPL_CH and (h) Amy_CH.
Figure 2. Actual and predicted methane production values. (a) BC_M, (b) PK_CM, (c) PPL_CM, (d) Amy_CM, (e) BC_H, (f) PK_CH, (g) PPL_CH and (h) Amy_CH.
Water 17 03411 g002
Figure 3. Actual and predicted methane production values. Training set (a) SVR, (b) GBR, (c) XGB, (d) ANN; Test set (e) SVR, (f) GBR, (g) XGB, (h) ANN (The solid line represents the linear regression fit, while the shaded area indicates the 95% confidence interval. The dashed diagonal line represents the perfect prediction line (y = x)).
Figure 3. Actual and predicted methane production values. Training set (a) SVR, (b) GBR, (c) XGB, (d) ANN; Test set (e) SVR, (f) GBR, (g) XGB, (h) ANN (The solid line represents the linear regression fit, while the shaded area indicates the 95% confidence interval. The dashed diagonal line represents the perfect prediction line (y = x)).
Water 17 03411 g003
Figure 4. Modified Gompertz PINN prediction model. (a) Training set, (b) Test set and (c) Shap analysis (Each dot represents a sample; color indicates the feature value (red for high values, blue for low values), and the position on the x-axis represents the SHAP value (impact on model output).
Figure 4. Modified Gompertz PINN prediction model. (a) Training set, (b) Test set and (c) Shap analysis (Each dot represents a sample; color indicates the feature value (red for high values, blue for low values), and the position on the x-axis represents the SHAP value (impact on model output).
Water 17 03411 g004
Table 1. Physicochemical properties of inoculum sludge and mixed substrate.
Table 1. Physicochemical properties of inoculum sludge and mixed substrate.
ItemUnitMixed SubstrateInoculated Sludge
pHN/A6.657.52
Volatile solids%25.044.24
Toal CODg L−1236.2092.60
Soluble CODg L−148.9020.14
Total proteing L−194.8572.11
Soluble proteing L−169.1762.66
Total carbohydratesg L−150.223.55
Soluble carbohydratesg L−128.721.02
Lipidsg L−110.321.25
Ammonia-Nmg L−17013016
Table 2. Analysis of variance for maximum cumulative methane production.
Table 2. Analysis of variance for maximum cumulative methane production.
SourcedfSSMSF
MesophilicBetween groups3330.85110.2838.29 ***
Within groups925.902.88
Total12356.74
ThermophilicBetween groups32291.40763.80496.00 ***
Within groups913.861.54
Total122305.25
Note: *** indicates statistical significance at the 0.001 level (p ≤ 0.001).
Table 3. First order kinetic model fitting results.
Table 3. First order kinetic model fitting results.
GroupBmfdkBpDiff.R2RSSrMSEAIC
BC_M203.30805.00 ± 125.500.01 ± 0.004237.70295.900.9411.3019.808.70
PK_CM205.00256.90 ± 22.400.07 ± 0.012234.7025.300.9116.1023.619.06
PPL_CM211.80320.40 ± 35.100.04 ± 0.008241.4051.200.9215.2022.919.00
Amy_CM210.80327.20 ± 38.200.04 ± 0.009246.5055.100.9411.8020.258.75
BC_H240.90727.80 ± 110.300.02 ± 0.005366.30202.000.9415.2022.959.00
PK_CH265.40353.80 ± 40.500.06 ± 0.011310.4033.300.9129.1031.709.65
PPL_CH253.10427.80 ± 55.200.04 ± 0.009322.2069.000.9321.3027.119.33
Amy_CH249.00388.40 ± 45.600.04 ± 0.007292.6056.000.9222.1027.649.37
Note: Bm—Measured cumulative methane production, mL (g VS)−1; fd—Ultimate cumulative methane production, mL (g VS)−1; k—Reaction rate coefficient, 1 day−1; Bp—Predicted cumulative methane production, mL (g VS)−1; Diff.—Error value, N/A; R2—Coefficient of determination, N/A; rMSE—Root Mean Square Error, N/A; AIC—Akaike Information Criterion, N/A.
Table 4. Modified Gompertz kinetic model fitting results.
Table 4. Modified Gompertz kinetic model fitting results.
GroupBmfdRmλBpDiff.R2RSSrMSEAIC
BC_M203.30206.10 ± 2.5013.91 ± 0.454.78 ± 0.15216.90195.000.992.329.127.12
PK_CM205.00220.20 ± 1.8024.13 ± 0.603.61 ± 0.12206.1012.201.000.765.205.99
PPL_CM211.80216.50 ± 3.1019.00 ± 0.554.33 ± 0.20216.2053.100.991.707.806.80
Amy_CM210.80216.80 ± 2.9017.10 ± 0.504.68 ± 0.22216.1068.600.991.537.396.70
BC_H240.90249.70 ± 5.2015.79 ± 0.704.33 ± 0.25260.50272.100.984.8513.177.85
PK_CH265.40269.40 ± 3.5029.48 ± 0.853.30 ± 0.10269.6044.600.991.828.086.88
PPL_CH253.10256.80 ± 4.1021.16 ± 0.754.04 ± 0.18263.00116.100.993.2710.827.46
Amy_CH249.00257.60 ± 4.0022.31 ± 0.804.16 ± 0.19257.1091.800.992.9310.237.35
Note: Rm—Methane production rate, mL (g VS)−1 (Day)−1; λ—Lag phase, day.
Table 5. Cone kinetic model fitting results.
Table 5. Cone kinetic model fitting results.
GroupBmfdknBpDiff.R2RSSrMSEAIC
BC_M203.30209.10 ± 4.500.08 ± 0.0053.83 ± 0.25248.40454.400.992.659.757.25
PK_CM205.00235.60 ± 3.200.12 ± 0.0042.80 ± 0.15210.0068.201.000.955.816.22
PPL_CM211.80223.60 ± 3.800.10 ± 0.0063.53 ± 0.20227.50174.200.992.088.627.01
Amy_CM210.80227.60 ± 3.900.10 ± 0.0053.58 ± 0.21234.00250.500.991.868.156.89
BC_H240.90253.90 ± 8.500.08 ± 0.0073.55 ± 0.28310.90624.300.985.5514.087.99
PK_CH265.40289.90 ± 4.800.11 ± 0.0062.60 ± 0.14275.60124.600.992.269.007.09
PPL_CH253.10273.90 ± 6.200.09 ± 0.0053.14 ± 0.22281.40280.100.993.9611.907.65
Amy_CH249.00265.40 ± 5.900.10 ± 0.0063.30 ± 0.24269.70224.500.993.5511.287.54
Note: n—Shape parameter, N/A.
Table 6. Performance comparison between the ANN and Modified Gompertz PINN models.
Table 6. Performance comparison between the ANN and Modified Gompertz PINN models.
ModelDatasetR2RMSERRMSE
ANNTraining0.9460.2330.233
Testing0.9580.2270.205
PINNTraining0.9970.0550.055
Testing0.9940.0590.078
Disclaimer/Publisher’s Note: The statements, opinions and data contained in all publications are solely those of the individual author(s) and contributor(s) and not of MDPI and/or the editor(s). MDPI and/or the editor(s) disclaim responsibility for any injury to people or property resulting from any ideas, methods, instructions or products referred to in the content.

Share and Cite

MDPI and ACS Style

Wang, Z.; Wang, S.; Zheng, X.; Liu, W.; Shen, Z. Integrating Kinetic Models with Physics-Informed Neural Networks (PINNs) for Predicting Methane Production from Anaerobic Co-Digestion of Enzyme-Modified Biodegradable Plastics and Food Waste Leachate. Water 2025, 17, 3411. https://doi.org/10.3390/w17233411

AMA Style

Wang Z, Wang S, Zheng X, Liu W, Shen Z. Integrating Kinetic Models with Physics-Informed Neural Networks (PINNs) for Predicting Methane Production from Anaerobic Co-Digestion of Enzyme-Modified Biodegradable Plastics and Food Waste Leachate. Water. 2025; 17(23):3411. https://doi.org/10.3390/w17233411

Chicago/Turabian Style

Wang, Zhujun, Shizhuo Wang, Xinnan Zheng, Wenjie Liu, and Zheng Shen. 2025. "Integrating Kinetic Models with Physics-Informed Neural Networks (PINNs) for Predicting Methane Production from Anaerobic Co-Digestion of Enzyme-Modified Biodegradable Plastics and Food Waste Leachate" Water 17, no. 23: 3411. https://doi.org/10.3390/w17233411

APA Style

Wang, Z., Wang, S., Zheng, X., Liu, W., & Shen, Z. (2025). Integrating Kinetic Models with Physics-Informed Neural Networks (PINNs) for Predicting Methane Production from Anaerobic Co-Digestion of Enzyme-Modified Biodegradable Plastics and Food Waste Leachate. Water, 17(23), 3411. https://doi.org/10.3390/w17233411

Note that from the first issue of 2016, this journal uses article numbers instead of page numbers. See further details here.

Article Metrics

Back to TopTop