Phosphorus Removal in Constructed Treatment Wetlands: A Systematic Review
Abstract
1. Introduction
- Do FWSCWs capture and retain phosphorus for periods of one year or more?
- What is the range of efficacy of total phosphorus reduction in FWSCWs over periods of one year or more?
- What factors affect FWSCW efficacy (% retention) and total phosphorus retention rates (g/m2/year)?
- What recommendations can be drawn on how FWSCWs should be designed and maintained to optimise total phosphorus retention?
- Identify evidence gaps and methodological inconsistencies in current field studies.
- Provide clarity for policymakers and practitioners on when and how FWSCWs should be integrated into water management.
2. Materials and Methods
2.1. Search Strategy
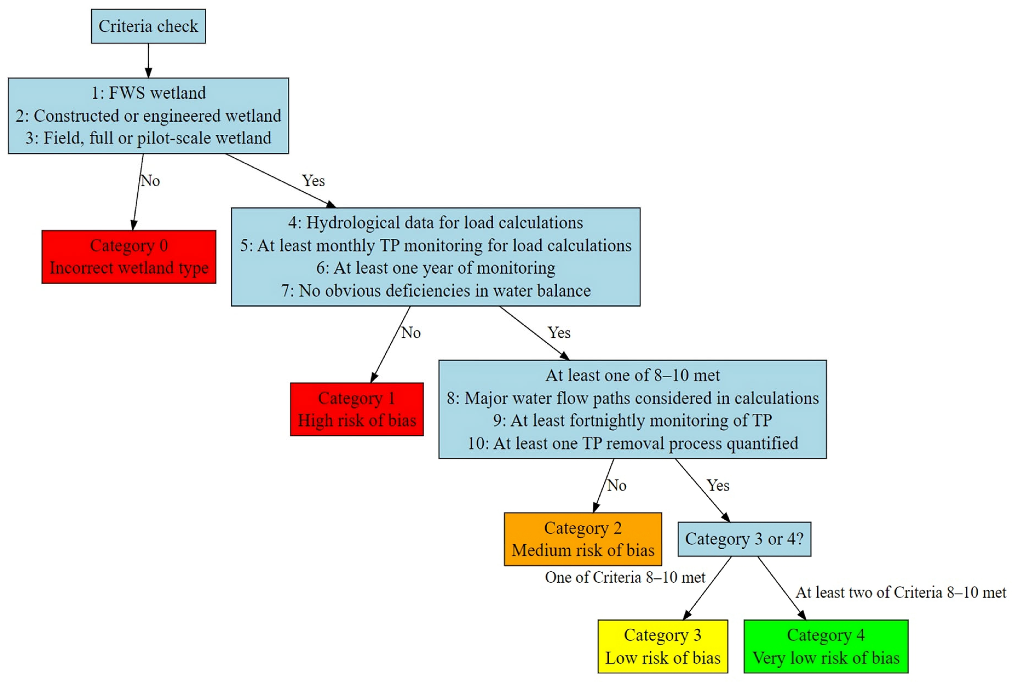
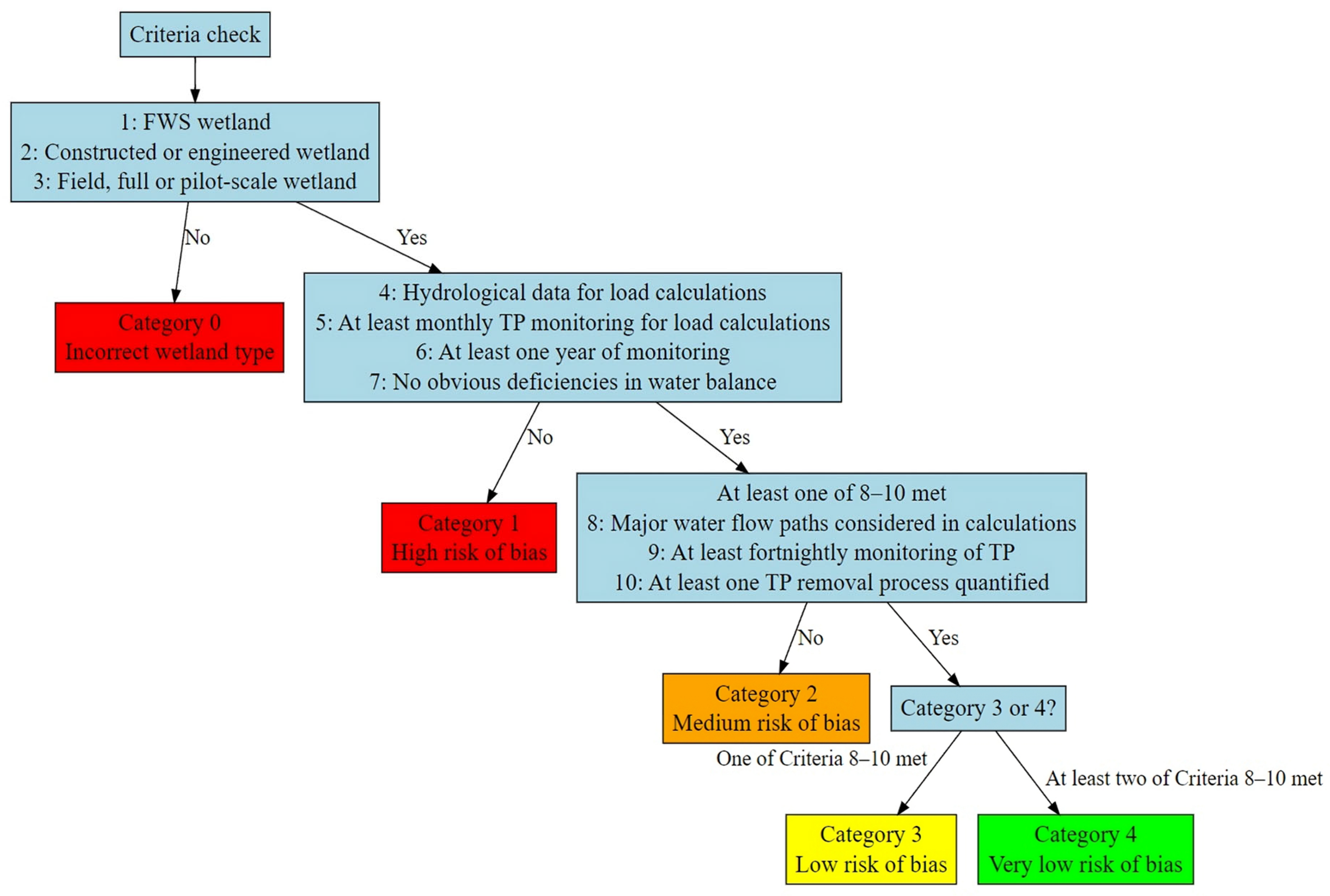
2.2. Selection Criteria and Data Extraction
- Title and abstract screening against essential criteria (1–7) to exclude out-of-scope studies or those at high risk of bias.
- Methods screening to confirm that criteria 1–7 were met. Additionally, studies not available in English were excluded from progressing to the third stage.
- Full-text review, with scoring against all criteria (1–10). Studies assigned to categories 2–4 were included in the meta-analysis.
2.3. Data Analysis
- Regression analyses to explore the relationship between response and predictor variables and guide the selection of variables for the global model.
- Informed selection of model variables balancing data cover and regression outputs (R2, p values).
- Selected variables were rescaled to ensure they met model assumptions. Wetland area was transformed from m2 to ha, while TP retention efficiency was expressed as proportions.
- Global models were constructed using the glmmTMB R package (version 1.1.10) [31], with fixed effects (predictors) and a random effect (wetland ID) to account for variability among the grouping factors.
- Diagnostic checks for collinearity, normality of residuals, and R2 calculations using the performance R package (version 0.12.3) to evaluate whether the global models met the assumptions for analysis, with iterative refinement where needed.
- Candidate model selection based on second-order Akaike’s Information Criterion (AICc) values using the MuMIn R package (version 1.48.4). The model with the lowest AICc was considered to have performed best, balancing model complexity, and fit to the used dataset.
- Model validation using a randomly selected test dataset (20% of the overall dataset) to assess its generalisability in predictive performance and ensure outputs were robust and not overfitted to the training data (80% of the total dataset).
3. Results and Discussion
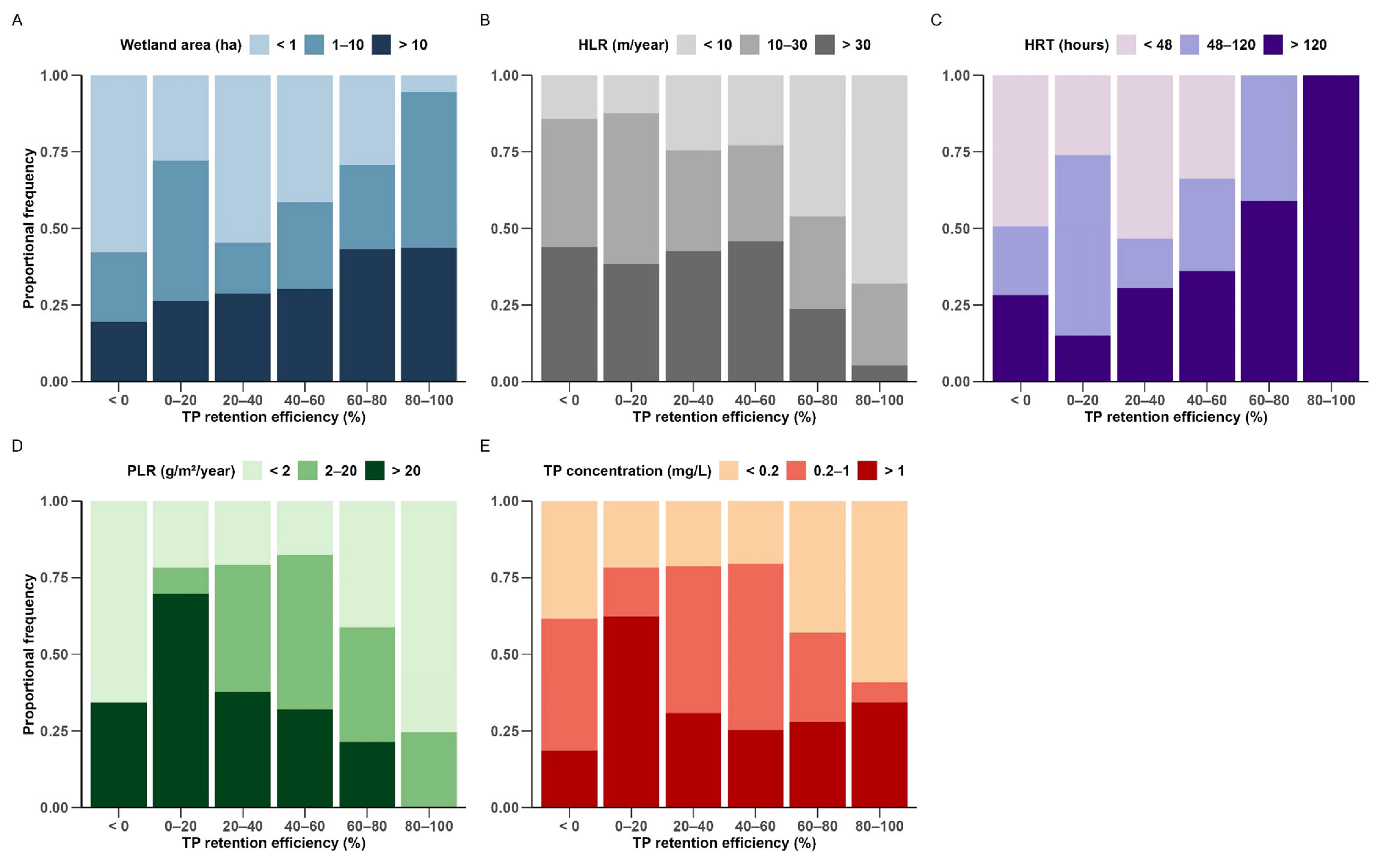
3.1. Phosphorus Retention Efficiency
3.1.1. Retention Efficiency Statistics and Distribution
3.1.2. Retention Efficiency Model
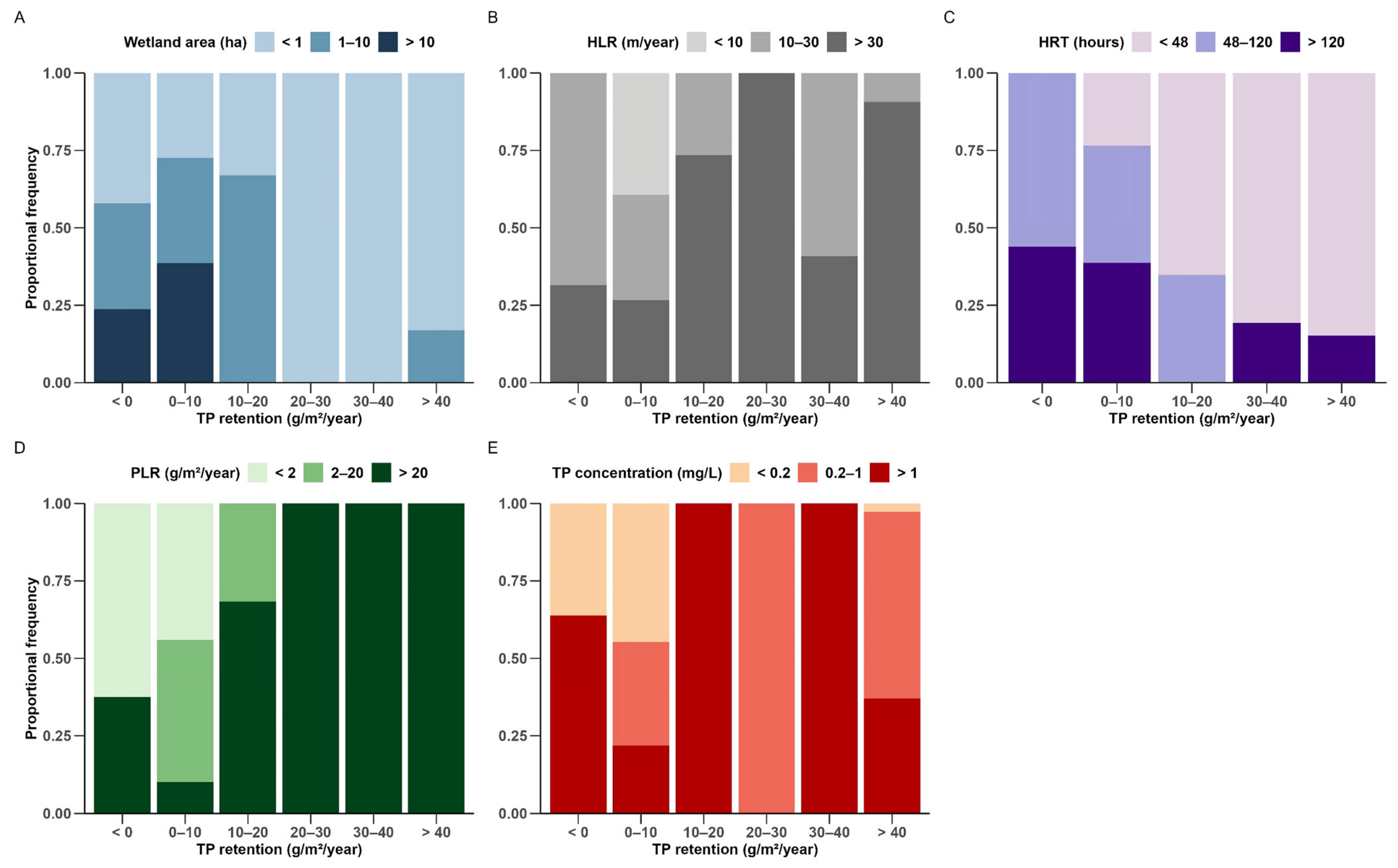
3.2. Phosphorus Retention Rate
3.2.1. Retention Rate Statistics and Distribution
3.2.2. Retention Rate Model
3.3. Synthesis and Implications
3.4. Recommendations for Wetland Design
3.5. Areas for Further Research
4. Conclusions
Supplementary Materials
Author Contributions
Funding
Data Availability Statement
Acknowledgments
Conflicts of Interest
References
- Land, M.; Granéli, W.; Grimvall, A.; Hoffmann, C.C.; Mitsch, W.J.; Tonderski, K.S.; Verhoeven, J.T.A. How effective are created or restored freshwater wetlands for nitrogen and phosphorus removal? A systematic review. Environ. Evid. 2016, 5, 9. [Google Scholar] [CrossRef]
- Lyu, T.; Headley, T.; Kadlec, R.H.; Jefferson, B.; Dotro, G. Phosphorus removal in surface flow treatment wetlands for domestic wastewater treatment: Global experiences, opportunities, and challenges. J. Environ. Manag. 2024, 369, 122392. [Google Scholar] [CrossRef] [PubMed]
- Braskerud, B.C. Factors affecting phosphorus retention in small constructed wetlands treating agricultural non-point source pollution. Ecol. Eng. 2002, 19, 41–61. [Google Scholar] [CrossRef]
- Dzakpasu, M.; Scholz, M.; McCarthy, V.; Jordan, S.N. Assessment of long-term phosphorus retention in an integrated constructed wetland treating domestic wastewater. Environ. Sci. Pollut. Res. 2015, 22, 305–313. [Google Scholar] [CrossRef]
- El Hanandeh, A.; Akrami, K. Assessment of Nutrient Removal in Surface Flow Constructed Wetland Treating Secondary Effluent with Low Organic, Nitrogen and Phosphorus Loads. Environments 2023, 10, 89. [Google Scholar] [CrossRef]
- Kadlec, R. Large Constructed Wetlands for Phosphorus Control: A Review. Water 2016, 8, 243. [Google Scholar] [CrossRef]
- Carstensen, M.V.; Hashemi, F.; Hoffmann, C.C.; Zak, D.; Audet, J.; Kronvang, B. Efficiency of mitigation measures targeting nutrient losses from agricultural drainage systems: A review. Ambio 2020, 49, 1820–1837. [Google Scholar] [CrossRef]
- Hoagland, C.R.; Gentry, L.E.; David, M.B.; Kovacic, D.A. Plant Nutrient Uptake and Biomass Accumulation in a Constructed Wetland. J. Freshw. Ecol. 2001, 16, 527–540. [Google Scholar] [CrossRef]
- Tanner, C.C.; Sukias, J.P.S. Multiyear Nutrient Removal Performance of Three Constructed Wetlands Intercepting Tile Drain Flows from Grazed Pastures. J. Environ. Qual. 2011, 40, 620–633. [Google Scholar] [CrossRef]
- Allen, D.J.; Farrell, M.; Huang, J.; Reynolds, C.; Rupasinghe, M.; Mosley, L.M. Long-term water quality response to increased hydraulic loadings in a field-scale free water surface constructed wetland treating domestic effluent. J. Environ. Manag. 2022, 311, 114858. [Google Scholar] [CrossRef]
- Ury, E.A.; Arrumugam, P.; Herbert, E.R.; Badiou, P.; Page, B.; Basu, N.B. Source or sink? Meta-analysis reveals diverging controls of phosphorus retention and release in restored and constructed wetlands. Environ. Res. Lett. 2023, 18, 083002. [Google Scholar] [CrossRef]
- Hickey, A.; Arnscheidt, J.; Joyce, E.; O’Toole, J.; Galvin, G.; Callaghan, M.O.; Conroy, K.; Killian, D.; Shryane, T.; Hughes, F.; et al. An assessment of the performance of municipal constructed wetlands in Ireland. J. Environ. Manag. 2018, 210, 263–272. [Google Scholar] [CrossRef] [PubMed]
- Wahlroos, O.; Valkama, P.; Mäkinen, E.; Ojala, A.; Vasander, H.; Väänänen, V.-M.; Halonen, A.; Lindén, L.; Nummi, P.; Ahponen, H.; et al. Urban wetland parks in Finland: Improving water quality and creating endangered habitats. Int. J. Biodivers. Sci. Ecosyst. Serv. Manag. 2015, 11, 46–60. [Google Scholar] [CrossRef]
- Mitsch, W.J.; Cronk, J.K.; Wu, X.; Nairn, R.W.; Hey, D.L. Phosphorus Retention in Constructed Freshwater Riparian Marshes. Ecol. Appl. 1995, 5, 830–845. [Google Scholar] [CrossRef]
- Abtew, W.; Piccone, T.; Pietro, K.C.; Xue, S.K. Hydrologic and Treatment Performance of Constructed Wetlands: The Everglades Stormwater Treatment Areas. In The Wetland Book; Finlayson, C.M., Everard, M., Irvine, K., McInnes, R.J., Middleton, B.A., Van Dam, A.A., Eds.; Springer: Dordrecht, The Netherlands, 2018; pp. 243–262. [Google Scholar]
- Andersson, J.; Bastviken, S.K.; Tonderski, K. Free water surface wetlands for wastewater treatment in Sweden: Nitrogen and phosphorus removal. Water Sci. Technol. 2005, 51, 39–46. [Google Scholar] [CrossRef]
- Kovacic, D.A.; David, M.B.; Gentry, L.E.; Starks, K.M.; Cooke, R.A. Effectiveness of Constructed Wetlands in Reducing Nitrogen and Phosphorus Export from Agricultural Tile Drainage. J. Environ. Qual. 2000, 29, 1262–1274. [Google Scholar] [CrossRef]
- Spieles, D.J.; Mitsch, W.J. The effects of season and hydrologic and chemical loading on nitrate retention in constructed wetlands: A comparison of low- and high-nutrient riverine systems. Ecol. Eng. 1999, 14, 77–91. [Google Scholar] [CrossRef]
- Mendes, L.R.D.; Tonderski, K.; Iversen, B.V.; Kjaergaard, C. Phosphorus retention in surface-flow constructed wetlands targeting agricultural drainage water. Ecol. Eng. 2018, 120, 94–103. [Google Scholar] [CrossRef]
- Oliver, N.; Martín, M.; Gargallo, S.; Hernández-Crespo, C. Influence of operational parameters on nutrient removal from eutrophic water in a constructed wetland. Hydrobiologia 2017, 792, 105–120. [Google Scholar] [CrossRef]
- Black, C.A.; Wise, W.R. Evaluation of past and potential phosphorus uptake at the Orlando Easterly Wetland. Ecol. Eng. 2003, 21, 277–290. [Google Scholar] [CrossRef]
- Mendes, L.R.D.; Tonderski, K.; Kjaergaard, C. Phosphorus accumulation and stability in sediments of surface-flow constructed wetlands. Geoderma 2018, 331, 109–120. [Google Scholar] [CrossRef]
- Anderson, K.J.; Adhikari, B.; Schloegel, O.F.; Mendonca, R.M.; Back, M.P.; Brocato, N.; Cianci-Gaskill, J.A.; McMurray, S.E.; Bahlai, C.; Costello, D.M.; et al. We know less about phosphorus retention in constructed wetlands than we think we do: A quantitative literature synthesis. Ecol. Indic. 2024, 169, 112969. [Google Scholar] [CrossRef]
- Bowes, M.J.; Smith, J.T.; Neal, C. The value of high-resolution nutrient monitoring: A case study of the River Frome, Dorset, UK. J. Hydrol. 2009, 378, 82–96. [Google Scholar] [CrossRef]
- Moustafa, M.Z.; Havensand, K.E. Identification of an optimal sampling strategy for a constructed wetland. JAWRA J. Am. Water Resour. Assoc. 2001, 37, 1015–1028. [Google Scholar] [CrossRef]
- Liberati, A.; Altman, D.G.; Tetzlaff, J.; Mulrow, C.; Gøtzsche, P.C.; Ioannidis, J.P.A.; Clarke, M.; Devereaux, P.J.; Kleijnen, J.; Moher, D. The PRISMA Statement for Reporting Systematic Reviews and Meta-Analyses of Studies That Evaluate Health Care Interventions: Explanation and Elaboration. PLoS Med. 2009, 6, e1000100. [Google Scholar] [CrossRef]
- Dotro, G.; Jefferson, B.; Lyu, T. Summarising the Evidence Base on the Use of Surface Flow Treatment Wetlands for Phosphorus Removal; Cranfield University: Cranfield, UK, 2021. [Google Scholar]
- R Core Team. R: A Language and Environment for Statistical Computing; R Foundation for Statistical Computing: Vienna, Austria, 2024. [Google Scholar]
- Kim, D.-G.; Park, J.; Lee, D.; Kang, H. Removal of Nitrogen and Phosphorus from Effluent of a Secondary Wastewater Treatment Plant Using a Pond–Marsh Wetland System. Water Air Soil Pollut. 2011, 214, 37–47. [Google Scholar] [CrossRef]
- Hernández-Crespo, C.; Gargallo, S.; Benedito-Durá, V.; Nácher-Rodríguez, B.; Rodrigo-Alacreu, M.; Martín, M. Performance of surface and subsurface flow constructed wetlands treating eutrophic waters. Sci. Total Environ. 2017, 595, 584–593. [Google Scholar] [CrossRef]
- Wood, K.A.; Newth, J.L.; Hilton, G.M.; Rees, E.C. Behavioural and energetic consequences of competition among three overwintering swan (Cygnus spp.) species. Avian Res. 2021, 12, 48. [Google Scholar] [CrossRef]
- Jarvie, H.P.; Pallett, D.W.; Schäfer, S.M.; Macrae, M.L.; Bowes, M.J.; Farrand, P.; Warwick, A.C.; King, S.M.; Williams, R.J.; Armstrong, L.; et al. Biogeochemical and climate drivers of wetland phosphorus and nitrogen release: Implications for nutrient legacies and eutrophication risk. J. Environ. Qual. 2020, 49, 1703–1716. [Google Scholar] [CrossRef]
- Abe, K.; Komada, M.; Ookuma, A. Efficiency of removal of nitrogen, phosphorus, and zinc from domestic wastewater by a constructed wetland system in rural areas: A case study. Water Sci. Technol. 2008, 58, 2427–2433. [Google Scholar] [CrossRef][Green Version]
- Griffiths, L.N.; Mitsch, W.J. Nutrient retention via sedimentation in a created urban stormwater treatment wetland. Sci. Total Environ. 2020, 727, 138337. [Google Scholar] [CrossRef] [PubMed]
- Braskerud, B.; Hartnik, T.; Løvstad, Ø. The effect of the redox-potential on the retention of phosphorus in a small constructed wetland. Water Sci. Technol. 2005, 51, 127–134. [Google Scholar] [CrossRef] [PubMed]
- Zhou, J.; Luo, P.; Liu, F.; Gong, D.; Li, B.; Xiao, R.; Wu, J. Unveiling the role of sediments in phosphorus removal in pilot-scale constructed wetlands for swine wastewater treatment. Sci. Total Environ. 2022, 807, 150684. [Google Scholar] [CrossRef] [PubMed]
- Dantas Mendes, L.R. Edge-of-Field Technologies for Phosphorus Retention from Agricultural Drainage Discharge. Appl. Sci. 2020, 10, 634. [Google Scholar] [CrossRef]
- Koskiaho, J.; Puustinen, M.; Kotamäki, N. Retention performance of a constructed wetland as measured automatically with sensors. Prog. Environ. Sci. Technol. 2009, 2, 1–11. [Google Scholar]
- Griffiths, L.N.; Mitsch, W.J. Removal of nutrients from urban stormwater runoff by storm-pulsed and seasonally pulsed created wetlands in the subtropics. Ecol. Eng. 2017, 108, 414–424. [Google Scholar] [CrossRef]
- Nesbit, T.A.; Mitsch, W.J. Hurricane and seasonal effects on hydrology and water quality of a subtropical urban stormwater wetland. Ecol. Eng. 2018, 120, 134–145. [Google Scholar] [CrossRef]
- Toet, S.; Logtestijn, R.S.P.; Kampf, R.; Schreijer, M.; Verhoeven, J.T.A. The effect of hydraulic retention time on the removal of pollutants from sewage treatment plant effluent in a surface-flow wetland system. Wetlands 2005, 25, 375–391. [Google Scholar] [CrossRef]
- Toet, S.; Van Logtestijn, R.S.; Schreijer, M.; Kampf, R.; Verhoeven, J.T. The functioning of a wetland system used for polishing effluent from a sewage treatment plant. Ecol. Eng. 2005, 25, 101–124. [Google Scholar] [CrossRef]
- Martín, M.; Oliver, N.; Hernández-Crespo, C.; Gargallo, S.; Regidor, M. The use of free water surface constructed wetland to treat the eutrophicated waters of lake L’Albufera de Valencia (Spain). Ecol. Eng. 2013, 50, 52–61. [Google Scholar] [CrossRef]
- Kumwimba, M.N.; Dzakpasu, M.; Xinzhu, L.; Wang, W.; Jie, Z.; Bao, L.; Su, J.; Li, X. Sequential detention pond-biogeochemical barrier-free water surface wetland system for effluent purification and river eutrophication control. J. Water Process Eng. 2021, 41, 102075. [Google Scholar] [CrossRef]
- Li, J.; Zheng, B.; Chen, X.; Li, Z.; Xia, Q.; Wang, H.; Yang, Y.; Zhou, Y.; Yang, H. The Use of Constructed Wetland for Mitigating Nitrogen and Phosphorus from Agricultural Runoff: A Review. Water 2021, 13, 476. [Google Scholar] [CrossRef]
- Shukla, A.; Parde, D.; Gupta, V.; Vijay, R.; Kumar, R. A review on effective design processes of constructed wetlands. Int. J. Environ. Sci. Technol. 2022, 19, 12749–12774. [Google Scholar] [CrossRef]
- Dunne, E.J.; Coveney, M.F.; Marzolf, E.R.; Hoge, V.R.; Conrow, R.; Naleway, R.; Lowe, E.F.; Battoe, L.E. Efficacy of a large-scale constructed wetland to remove phosphorus and suspended solids from Lake Apopka, Florida. Ecol. Eng. 2012, 42, 90–100. [Google Scholar] [CrossRef]
- Zhao, H.; Piccone, T. Large scale constructed wetlands for phosphorus removal, an effective nonpoint source pollution treatment technology. Ecol. Eng. 2020, 145, 105711. [Google Scholar] [CrossRef]
- Kadlec, R.H. Phosphorus Removal in Emergent Free Surface Wetlands. J. Environ. Sci. Health Part A 2005, 40, 1293–1306. [Google Scholar] [CrossRef]
- Chen, H.; Ivanoff, D.; Pietro, K. Long-term phosphorus removal in the Everglades stormwater treatment areas of South Florida in the United States. Ecol. Eng. 2015, 79, 158–168. [Google Scholar] [CrossRef]
- Slak, A.S.; Bulc, T.; Vrhovsek, D. Comparison of nutrient cycling in a surface-flow constructed wetland and in a facultative pond treating secondary effluent. Water Sci. Technol. 2005, 51, 291–298. [Google Scholar] [CrossRef]
- Koskiaho, J.; Puustinen, M. Suspended solids and nutrient retention in two constructed wetlands as determined from continuous data recorded with sensors. Ecol. Eng. 2019, 137, 65–75. [Google Scholar] [CrossRef]
- Greenway, M. The role of constructed wetlands in secondary effluent treatment and water reuse in subtropical and arid Australia. Ecol. Eng. 2005, 25, 501–509. [Google Scholar] [CrossRef]
- Dalsgaard, J.; von Ahnen, M.; Pedersen, P. Nutrient removal in a slow-flowing constructed wetland treating aquaculture effluent. Aquac. Environ. Interact. 2021, 13, 363–376. [Google Scholar] [CrossRef]
- Nairn, R.W.; Mitsch, W.J. Phosphorus removal in created wetland ponds receiving river overflow. Ecol. Eng. 1999, 14, 107–126. [Google Scholar] [CrossRef]
- Tanner, C.; Nguyen, M.; Sukias, J. Nutrient removal by a constructed wetland treating subsurface drainage from grazed dairy pasture. Agric. Ecosyst. Environ. 2005, 105, 145–162. [Google Scholar] [CrossRef]
- Hussey, V.L. Investigating Nutrient Cycling, Retention and Bioavailability of Effluents Discharged from Constructed Wetlands: Optimising Wetland Management to Reduce Emerging Risks to Freshwaters; University of Bristol: Bristol, UK, 2025. [Google Scholar]
- Herskowitz, J. Listowel Artificial Marsh Project Report; Research Advisory Committee, Ontario Ministry of the Environment and Energy: Listowel, ON, Canada, 1986.
- Greenaway, M.; Woolley, A. Changes in plant biomass and nutrient removal over 3 years in a constructed wetland in Cairns, Australia. Water Sci. Technol. 2001, 44, 303–310. [Google Scholar] [CrossRef]
- Gu, B.; Dreschel, T. Effects of plant community and phosphorus loading rate on constructed wetland performance in Florida, USA. Wetlands 2008, 28, 81–91. [Google Scholar] [CrossRef]
- Song, S.; Liu, B.; Zhang, W.; Wang, P.; Qiao, Y.; Zhao, D.; Yang, T.; An, S.; Leng, X. Performance of a large-scale wetland treatment system in treating tailwater from a sewage treatment plant. Mar. Freshw. Res. 2018, 69, 833. [Google Scholar] [CrossRef]
- Knight, R.L.; Winchester, B.H.; Higman, J.C. Ecology, hydrology, and advanced wastewater treatment potential of an artificial wetland in North-central, Florida. Wetlands 1985, 5, 167–180. [Google Scholar] [CrossRef]
- Jia, J.; Gao, Y.; Zhou, F.; Shi, K.; Johnes, P.J.; Dungait, J.A.; Ma, M.; Lu, Y. Identifying the main drivers of change of phytoplankton community structure and gross primary productivity in a river-lake system. J. Hydrol. 2020, 583, 124633. [Google Scholar] [CrossRef]
- Kadlec, R.H. Detention and mixing in free water wetlands. Ecol. Eng. 1994, 3, 345–380. [Google Scholar] [CrossRef]
- Kynkäänniemi, P.; Ulén, B.; Torstensson, G.; Tonderski, K.S. Phosphorus Retention in a Newly Constructed Wetland Receiving Agricultural Tile Drainage Water. J. Environ. Qual. 2013, 42, 596–605. [Google Scholar] [CrossRef]
- Braskerud, B.C. The Influence of Vegetation on Sedimentation and Resuspension of Soil Particles in Small Constructed Wetlands. J. Environ. Qual. 2001, 30, 1447–1457. [Google Scholar] [CrossRef]
- Pietro, K. Synopsis of the Everglades Stormwater Treatment Areas, Water Year 1996–2012; South Florida Water Management District: West Palm Beach, FL, USA, 2012.
- Mitsch, W.J.; Zhang, L.; Waletzko, E.; Bernal, B. Validation of the ecosystem services of created wetlands: Two decades of plant succession, nutrient retention, and carbon sequestration in experimental riverine marshes. Ecol. Eng. 2014, 72, 11–24. [Google Scholar] [CrossRef]
- Johannesson, K.M.; Andersson, J.L.; Tonderski, K.S. Efficiency of a constructed wetland for retention of sediment-associated phosphorus. Hydrobiologia 2011, 674, 179–190. [Google Scholar] [CrossRef][Green Version]
- Krzeminska, D.; Blankenberg, A.-G.B.; Bechmann, M.; Deelstra, J. The effectiveness of sediment and phosphorus removal by a small constructed wetland in Norway: 18 years of monitoring and perspectives for the future. CATENA 2023, 223, 106962. [Google Scholar] [CrossRef]
- Gu, B. Phosphorus removal in small constructed wetlands dominated by submersed aquatic vegetation in South Florida, USA. J. Plant Ecol. 2008, 1, 67–74. [Google Scholar] [CrossRef]
- Tunçsiper, B. Combined natural wastewater treatment systems for removal of organic matter and phosphorus from polluted streams. J. Clean. Prod. 2019, 228, 1368–1376. [Google Scholar] [CrossRef]
- Lu, S.Y.; Zhang, P.Y.; Cui, W.H. Impact of plant harvesting on nitrogen and phosphorus removal in constructed wetlands treating agricultural region wastewater. Int. J. Environ. Pollut. 2010, 43, 339. [Google Scholar] [CrossRef]
- Skinner, M. Wetland phosphorus dynamics and phosphorus removal potential. Water Environ. Res. 2022, 94, e10799. [Google Scholar] [CrossRef]
- Lu, S.Y.; Wu, F.C.; Lu, Y.F.; Xiang, C.S.; Zhang, P.Y.; Jin, C.X. Phosphorus removal from agricultural runoff by constructed wetland. Ecol. Eng. 2009, 35, 402–409. [Google Scholar] [CrossRef]
- Kill, K.; Pärn, J.; Lust, R.; Mander, Ü.; Kasak, K. Treatment Efficiency of Diffuse Agricultural Pollution in a Constructed Wetland Impacted by Groundwater Seepage. Water 2018, 10, 1601. [Google Scholar] [CrossRef]
- Altamira-Algarra, B.; Puigagut, J.; Day, J.W.; Mitsch, W.J.; Vymazal, J.; Hunter, R.G.; García, J. A review of technologies for closing the P loop in agriculture runoff: Contributing to the transition towards a circular economy. Ecol. Eng. 2022, 177, 106571. [Google Scholar] [CrossRef]
- Kumwimba, M.N.; Zhu, B.; Stefanakis, A.I.; Ajibade, F.O.; Dzakpasu, M.; Soana, E.; Wang, T.; Arif, M.; Muyembe, D.K.; Agboola, T.D. Advances in ecotechnological methods for diffuse nutrient pollution control: Wicked issues in agricultural and urban watersheds. Front. Environ. Sci. 2023, 11, 1199923. [Google Scholar] [CrossRef]
- Healy, M.; Cawley, A.M. Nutrient Processing Capacity of a Constructed Wetland in Western Ireland. J. Environ. Qual. 2002, 31, 1739–1747. [Google Scholar] [CrossRef]
- Zheng, Y.; Wang, X.; Dzakpasu, M.; Zhao, Y.; Ngo, H.H.; Guo, W.; Ge, Y.; Xiong, J. Effects of interspecific competition on the growth of macrophytes and nutrient removal in constructed wetlands: A comparative assessment of free water surface and horizontal subsurface flow systems. Bioresour. Technol. 2016, 207, 134–141. [Google Scholar] [CrossRef]
- Semeraro, T.; Giannuzzi, C.; Beccarisi, L.; Aretano, R.; De Marco, A.; Pasimeni, M.R.; Zurlini, G.; Petrosillo, I. A constructed treatment wetland as an opportunity to enhance biodiversity and ecosystem services. Ecol. Eng. 2015, 82, 517–526. [Google Scholar] [CrossRef]
- Wood, K.A.; Jupe, L.L.; Aguiar, F.C.; Collins, A.M.; Davidson, S.J.; Freeman, W.; Kirkpatrick, L.; Magalhães, T.L.-D.; McKinley, E.; Nuno, A.; et al. A global systematic review of the cultural ecosystem services provided by wetlands. Ecosyst. Serv. 2024, 70, 101673. [Google Scholar] [CrossRef]
- Page, M.J.; McKenzie, J.E.; Bossuyt, P.M.; Boutron, I.; Hoffmann, T.C.; Mulrow, C.D.; Shamseer, L.; Tetzlaff, J.M.; Akl, E.A.; Brennan, S.E.; et al. The PRISMA 2020 statement: An updated guideline for reporting systematic reviews. BMJ 2021, 372, n71. [Google Scholar] [CrossRef] [PubMed]






| Factor | Group 1 | Group 2 | Group 3 |
|---|---|---|---|
| Wetland area (ha) | <1 (a) | 1–10 (a, b) | >10 (b) |
| HLR (m/year) | <10 (a) | 10–30 (a, b) | >30 (b) |
| HRT (hours) | <48 (a) | 48–120 (a, b) | >120 (b) |
| PLR (g/m2/year) | <2 (a) | 2–20 (a, b) | >20 (b) |
| TP concentration (mg/L) | <0.2 (a) | 0.2–1 (a, b) | >1 (b) |
| Water source | Agriculture (a) | WwTW (b) | Urban (a, b) |
| Model | df | AICc | Delta | Weight | RL | ER | R2m | R2c |
|---|---|---|---|---|---|---|---|---|
| 1 + PLR + Wetland Area + Wetland ID | 5 | −12.33 | 0.00 | 0.702 | 1.000 | 1.00 | 0.262 | 0.482 |
| 1 + PLR + HLR + Wetland Area + Wetland ID | 6 | −10.29 | 2.04 | 0.253 | 0.361 | 2.77 | 0.264 | 0.485 |
| 1 + Wetland ID | 3 | 10.44 | 22.77 | 0.000 | 0.000 | 88,123.34 | 0.000 | 0.350 |
| Effect Type | Parameter | VIF | Estimate | SE | Variance | SD |
|---|---|---|---|---|---|---|
| Fixed | Intercept | - | 0.50736 | 0.026 | - | - |
| Fixed | PLR | 1.03 | −0.09540 | 0.024 | - | - |
| Fixed | Wetland Area | 1.03 | 0.07272 | 0.024 | - | - |
| Random | Wetland ID | - | -- | 0.014 | 0.119 | |
| Random | Residual | - | - | - | 0.033 | 0.182 |
| Factor | Group 1 | Group 2 | Group 3 |
|---|---|---|---|
| Wetland area (ha) | <1 (a) | 1–10 (a, b) | >10 (b) |
| HLR (m/year) | <10 (a) | 10–30 (a, b) | >30 (b) |
| HRT (hours) | <48 (a) | 48–120 (a, b) | >120 (b) |
| PLR (g/m2/year) | <2 (a) | 2–20 (a, b) | >20 (b) |
| TP concentration (mg/L) | <0.2 (a) | 0.2–1 (a, b) | >1 (b) |
| Water source | Agriculture (a) | WwTW (b) | Urban (c) |
| Model | df | AICc | Delta | Weight | RL | ER | R2m | R2c |
|---|---|---|---|---|---|---|---|---|
| 1 + PLR + HLR + Wetland ID | 5 | 131.79 | 0.00 | 0.712 | 1.000 | 1.00 | 0.486 | 0.995 |
| 1 + PLR + HLR + Wetland Area + Wetland ID | 6 | 133.84 | 2.05 | 0.255 | 0.359 | 2.79 | 0.487 | 0.995 |
| 1 + Wetland ID | 3 | 186.00 | 54.21 | 0.000 | 0.000 | 589,809,500,000.00 | 0.000 | 0.993 |
| Effect Type | Parameter | VIF | Estimate | SE | Variance | SD |
|---|---|---|---|---|---|---|
| Fixed | Intercept | - | 0.01690 | 0.093 | - | - |
| Fixed | PLR | 1.25 | 0.58744 | 0.090 | - | - |
| Fixed | HLR | 1.25 | 0.27931 | 0.093 | - | - |
| Random | Wetland ID | - | - | - | 0.597 | 0.773 |
| Random | Residual | - | - | - | 0.005 | 0.074 |
| Data Type | Importance | Suggested Monitoring Method |
|---|---|---|
| Total phosphorus concentration (mg/L) | Essential | Regular inflow/outflow monitoring, including storm sampling |
| Flow monitoring (m3/s) | Essential | Flow metres/calibrated weirs at inflow/outflow, monitored continuously |
| Phosphorus loading rate (g/m2/year) | Essential | Calculate from total phosphorus concentrations with flow data |
| Hydraulic loading rate (m/year) | Essential | Calculate using wetland flow and design parameters |
| Hydraulic retention time (hours or days) | Essential | Calculate using wetland flow and design parameters |
| Wetland depth (m), treatment area (m2), and volume (m3) | Essential | Determined as part of wetland design |
| Baseline substrate phosphorus content (mg/kg) | Important | Substrate analysed during wetland construction |
| Substrate iron and aluminium content (mg/kg) | Important | Bed sediment sampling and analysis |
| Soluble reactive phosphorus, particulate phosphorus concentrations (mg/L), and loading (g/m2/year) | Important | Regular water sampling at inflow/outflow, combine with flow data to calculate loadings. |
| Total suspended solids (mg/L) | Important | Water sampling and analysis |
| Bed sediment phosphorus content (mg/kg) | Important | Bed sediment sampling and analysis |
| Vegetation coverage (% coverage or biomass) | Important | Remote sensing or manual surveys to estimate percentage coverage |
| Sediment accretion rate (mm/year) | Optional | Sediment traps or marker horizons |
| Water temperature (°C) | Optional | In situ temperate probes |
| pH | Optional | In situ pH probes |
| Dissolved oxygen (mg/L) | Optional | In situ dissolved oxygen probes |
| Redox potential (mV) | Optional | Measure using redox electrodes |
| Vegetation species composition (%) | Optional | Manual surveys for species identification |
Disclaimer/Publisher’s Note: The statements, opinions and data contained in all publications are solely those of the individual author(s) and contributor(s) and not of MDPI and/or the editor(s). MDPI and/or the editor(s) disclaim responsibility for any injury to people or property resulting from any ideas, methods, instructions or products referred to in the content. |
© 2025 by the authors. Licensee MDPI, Basel, Switzerland. This article is an open access article distributed under the terms and conditions of the Creative Commons Attribution (CC BY) license (https://creativecommons.org/licenses/by/4.0/).
Share and Cite
Webb, C.J.; van Biervliet, O.; Wood, K.A.; Roberts, D.; Wake, H. Phosphorus Removal in Constructed Treatment Wetlands: A Systematic Review. Water 2025, 17, 3301. https://doi.org/10.3390/w17223301
Webb CJ, van Biervliet O, Wood KA, Roberts D, Wake H. Phosphorus Removal in Constructed Treatment Wetlands: A Systematic Review. Water. 2025; 17(22):3301. https://doi.org/10.3390/w17223301
Chicago/Turabian StyleWebb, Christopher J., Olly van Biervliet, Kevin A. Wood, Dan Roberts, and Helen Wake. 2025. "Phosphorus Removal in Constructed Treatment Wetlands: A Systematic Review" Water 17, no. 22: 3301. https://doi.org/10.3390/w17223301
APA StyleWebb, C. J., van Biervliet, O., Wood, K. A., Roberts, D., & Wake, H. (2025). Phosphorus Removal in Constructed Treatment Wetlands: A Systematic Review. Water, 17(22), 3301. https://doi.org/10.3390/w17223301

